当前位置:首页>文档>专题28.2解直角三角形与函数综合(压轴题专项讲练)(人教版)(教师版)_初中数学_九年级数学下册(人教版)_压轴题专项-V5_2024版

专题28.2解直角三角形与函数综合(压轴题专项讲练)(人教版)(教师版)_初中数学_九年级数学下册(人教版)_压轴题专项-V5_2024版

  • 2026-04-06 23:51:29 2026-04-06 23:51:29

文档预览

专题28.2解直角三角形与函数综合(压轴题专项讲练)(人教版)(教师版)_初中数学_九年级数学下册(人教版)_压轴题专项-V5_2024版
专题28.2解直角三角形与函数综合(压轴题专项讲练)(人教版)(教师版)_初中数学_九年级数学下册(人教版)_压轴题专项-V5_2024版
专题28.2解直角三角形与函数综合(压轴题专项讲练)(人教版)(教师版)_初中数学_九年级数学下册(人教版)_压轴题专项-V5_2024版
专题28.2解直角三角形与函数综合(压轴题专项讲练)(人教版)(教师版)_初中数学_九年级数学下册(人教版)_压轴题专项-V5_2024版
专题28.2解直角三角形与函数综合(压轴题专项讲练)(人教版)(教师版)_初中数学_九年级数学下册(人教版)_压轴题专项-V5_2024版
专题28.2解直角三角形与函数综合(压轴题专项讲练)(人教版)(教师版)_初中数学_九年级数学下册(人教版)_压轴题专项-V5_2024版
专题28.2解直角三角形与函数综合(压轴题专项讲练)(人教版)(教师版)_初中数学_九年级数学下册(人教版)_压轴题专项-V5_2024版
专题28.2解直角三角形与函数综合(压轴题专项讲练)(人教版)(教师版)_初中数学_九年级数学下册(人教版)_压轴题专项-V5_2024版
专题28.2解直角三角形与函数综合(压轴题专项讲练)(人教版)(教师版)_初中数学_九年级数学下册(人教版)_压轴题专项-V5_2024版
专题28.2解直角三角形与函数综合(压轴题专项讲练)(人教版)(教师版)_初中数学_九年级数学下册(人教版)_压轴题专项-V5_2024版
专题28.2解直角三角形与函数综合(压轴题专项讲练)(人教版)(教师版)_初中数学_九年级数学下册(人教版)_压轴题专项-V5_2024版
专题28.2解直角三角形与函数综合(压轴题专项讲练)(人教版)(教师版)_初中数学_九年级数学下册(人教版)_压轴题专项-V5_2024版
专题28.2解直角三角形与函数综合(压轴题专项讲练)(人教版)(教师版)_初中数学_九年级数学下册(人教版)_压轴题专项-V5_2024版
专题28.2解直角三角形与函数综合(压轴题专项讲练)(人教版)(教师版)_初中数学_九年级数学下册(人教版)_压轴题专项-V5_2024版
专题28.2解直角三角形与函数综合(压轴题专项讲练)(人教版)(教师版)_初中数学_九年级数学下册(人教版)_压轴题专项-V5_2024版
专题28.2解直角三角形与函数综合(压轴题专项讲练)(人教版)(教师版)_初中数学_九年级数学下册(人教版)_压轴题专项-V5_2024版
专题28.2解直角三角形与函数综合(压轴题专项讲练)(人教版)(教师版)_初中数学_九年级数学下册(人教版)_压轴题专项-V5_2024版
专题28.2解直角三角形与函数综合(压轴题专项讲练)(人教版)(教师版)_初中数学_九年级数学下册(人教版)_压轴题专项-V5_2024版
专题28.2解直角三角形与函数综合(压轴题专项讲练)(人教版)(教师版)_初中数学_九年级数学下册(人教版)_压轴题专项-V5_2024版
专题28.2解直角三角形与函数综合(压轴题专项讲练)(人教版)(教师版)_初中数学_九年级数学下册(人教版)_压轴题专项-V5_2024版
专题28.2解直角三角形与函数综合(压轴题专项讲练)(人教版)(教师版)_初中数学_九年级数学下册(人教版)_压轴题专项-V5_2024版
专题28.2解直角三角形与函数综合(压轴题专项讲练)(人教版)(教师版)_初中数学_九年级数学下册(人教版)_压轴题专项-V5_2024版
专题28.2解直角三角形与函数综合(压轴题专项讲练)(人教版)(教师版)_初中数学_九年级数学下册(人教版)_压轴题专项-V5_2024版
专题28.2解直角三角形与函数综合(压轴题专项讲练)(人教版)(教师版)_初中数学_九年级数学下册(人教版)_压轴题专项-V5_2024版
专题28.2解直角三角形与函数综合(压轴题专项讲练)(人教版)(教师版)_初中数学_九年级数学下册(人教版)_压轴题专项-V5_2024版
专题28.2解直角三角形与函数综合(压轴题专项讲练)(人教版)(教师版)_初中数学_九年级数学下册(人教版)_压轴题专项-V5_2024版
专题28.2解直角三角形与函数综合(压轴题专项讲练)(人教版)(教师版)_初中数学_九年级数学下册(人教版)_压轴题专项-V5_2024版
专题28.2解直角三角形与函数综合(压轴题专项讲练)(人教版)(教师版)_初中数学_九年级数学下册(人教版)_压轴题专项-V5_2024版
专题28.2解直角三角形与函数综合(压轴题专项讲练)(人教版)(教师版)_初中数学_九年级数学下册(人教版)_压轴题专项-V5_2024版
专题28.2解直角三角形与函数综合(压轴题专项讲练)(人教版)(教师版)_初中数学_九年级数学下册(人教版)_压轴题专项-V5_2024版
专题28.2解直角三角形与函数综合(压轴题专项讲练)(人教版)(教师版)_初中数学_九年级数学下册(人教版)_压轴题专项-V5_2024版
专题28.2解直角三角形与函数综合(压轴题专项讲练)(人教版)(教师版)_初中数学_九年级数学下册(人教版)_压轴题专项-V5_2024版
专题28.2解直角三角形与函数综合(压轴题专项讲练)(人教版)(教师版)_初中数学_九年级数学下册(人教版)_压轴题专项-V5_2024版
专题28.2解直角三角形与函数综合(压轴题专项讲练)(人教版)(教师版)_初中数学_九年级数学下册(人教版)_压轴题专项-V5_2024版
专题28.2解直角三角形与函数综合(压轴题专项讲练)(人教版)(教师版)_初中数学_九年级数学下册(人教版)_压轴题专项-V5_2024版
专题28.2解直角三角形与函数综合(压轴题专项讲练)(人教版)(教师版)_初中数学_九年级数学下册(人教版)_压轴题专项-V5_2024版
专题28.2解直角三角形与函数综合(压轴题专项讲练)(人教版)(教师版)_初中数学_九年级数学下册(人教版)_压轴题专项-V5_2024版
专题28.2解直角三角形与函数综合(压轴题专项讲练)(人教版)(教师版)_初中数学_九年级数学下册(人教版)_压轴题专项-V5_2024版
专题28.2解直角三角形与函数综合(压轴题专项讲练)(人教版)(教师版)_初中数学_九年级数学下册(人教版)_压轴题专项-V5_2024版
专题28.2解直角三角形与函数综合(压轴题专项讲练)(人教版)(教师版)_初中数学_九年级数学下册(人教版)_压轴题专项-V5_2024版
专题28.2解直角三角形与函数综合(压轴题专项讲练)(人教版)(教师版)_初中数学_九年级数学下册(人教版)_压轴题专项-V5_2024版
专题28.2解直角三角形与函数综合(压轴题专项讲练)(人教版)(教师版)_初中数学_九年级数学下册(人教版)_压轴题专项-V5_2024版
专题28.2解直角三角形与函数综合(压轴题专项讲练)(人教版)(教师版)_初中数学_九年级数学下册(人教版)_压轴题专项-V5_2024版
专题28.2解直角三角形与函数综合(压轴题专项讲练)(人教版)(教师版)_初中数学_九年级数学下册(人教版)_压轴题专项-V5_2024版
专题28.2解直角三角形与函数综合(压轴题专项讲练)(人教版)(教师版)_初中数学_九年级数学下册(人教版)_压轴题专项-V5_2024版
专题28.2解直角三角形与函数综合(压轴题专项讲练)(人教版)(教师版)_初中数学_九年级数学下册(人教版)_压轴题专项-V5_2024版
专题28.2解直角三角形与函数综合(压轴题专项讲练)(人教版)(教师版)_初中数学_九年级数学下册(人教版)_压轴题专项-V5_2024版
专题28.2解直角三角形与函数综合(压轴题专项讲练)(人教版)(教师版)_初中数学_九年级数学下册(人教版)_压轴题专项-V5_2024版
专题28.2解直角三角形与函数综合(压轴题专项讲练)(人教版)(教师版)_初中数学_九年级数学下册(人教版)_压轴题专项-V5_2024版
专题28.2解直角三角形与函数综合(压轴题专项讲练)(人教版)(教师版)_初中数学_九年级数学下册(人教版)_压轴题专项-V5_2024版
专题28.2解直角三角形与函数综合(压轴题专项讲练)(人教版)(教师版)_初中数学_九年级数学下册(人教版)_压轴题专项-V5_2024版
专题28.2解直角三角形与函数综合(压轴题专项讲练)(人教版)(教师版)_初中数学_九年级数学下册(人教版)_压轴题专项-V5_2024版
专题28.2解直角三角形与函数综合(压轴题专项讲练)(人教版)(教师版)_初中数学_九年级数学下册(人教版)_压轴题专项-V5_2024版
专题28.2解直角三角形与函数综合(压轴题专项讲练)(人教版)(教师版)_初中数学_九年级数学下册(人教版)_压轴题专项-V5_2024版
专题28.2解直角三角形与函数综合(压轴题专项讲练)(人教版)(教师版)_初中数学_九年级数学下册(人教版)_压轴题专项-V5_2024版
专题28.2解直角三角形与函数综合(压轴题专项讲练)(人教版)(教师版)_初中数学_九年级数学下册(人教版)_压轴题专项-V5_2024版
专题28.2解直角三角形与函数综合(压轴题专项讲练)(人教版)(教师版)_初中数学_九年级数学下册(人教版)_压轴题专项-V5_2024版
专题28.2解直角三角形与函数综合(压轴题专项讲练)(人教版)(教师版)_初中数学_九年级数学下册(人教版)_压轴题专项-V5_2024版
专题28.2解直角三角形与函数综合(压轴题专项讲练)(人教版)(教师版)_初中数学_九年级数学下册(人教版)_压轴题专项-V5_2024版
专题28.2解直角三角形与函数综合(压轴题专项讲练)(人教版)(教师版)_初中数学_九年级数学下册(人教版)_压轴题专项-V5_2024版
专题28.2解直角三角形与函数综合(压轴题专项讲练)(人教版)(教师版)_初中数学_九年级数学下册(人教版)_压轴题专项-V5_2024版
专题28.2解直角三角形与函数综合(压轴题专项讲练)(人教版)(教师版)_初中数学_九年级数学下册(人教版)_压轴题专项-V5_2024版
专题28.2解直角三角形与函数综合(压轴题专项讲练)(人教版)(教师版)_初中数学_九年级数学下册(人教版)_压轴题专项-V5_2024版
专题28.2解直角三角形与函数综合(压轴题专项讲练)(人教版)(教师版)_初中数学_九年级数学下册(人教版)_压轴题专项-V5_2024版
专题28.2解直角三角形与函数综合(压轴题专项讲练)(人教版)(教师版)_初中数学_九年级数学下册(人教版)_压轴题专项-V5_2024版
专题28.2解直角三角形与函数综合(压轴题专项讲练)(人教版)(教师版)_初中数学_九年级数学下册(人教版)_压轴题专项-V5_2024版
专题28.2解直角三角形与函数综合(压轴题专项讲练)(人教版)(教师版)_初中数学_九年级数学下册(人教版)_压轴题专项-V5_2024版
专题28.2解直角三角形与函数综合(压轴题专项讲练)(人教版)(教师版)_初中数学_九年级数学下册(人教版)_压轴题专项-V5_2024版
专题28.2解直角三角形与函数综合(压轴题专项讲练)(人教版)(教师版)_初中数学_九年级数学下册(人教版)_压轴题专项-V5_2024版
专题28.2解直角三角形与函数综合(压轴题专项讲练)(人教版)(教师版)_初中数学_九年级数学下册(人教版)_压轴题专项-V5_2024版
专题28.2解直角三角形与函数综合(压轴题专项讲练)(人教版)(教师版)_初中数学_九年级数学下册(人教版)_压轴题专项-V5_2024版
专题28.2解直角三角形与函数综合(压轴题专项讲练)(人教版)(教师版)_初中数学_九年级数学下册(人教版)_压轴题专项-V5_2024版
专题28.2解直角三角形与函数综合(压轴题专项讲练)(人教版)(教师版)_初中数学_九年级数学下册(人教版)_压轴题专项-V5_2024版
专题28.2解直角三角形与函数综合(压轴题专项讲练)(人教版)(教师版)_初中数学_九年级数学下册(人教版)_压轴题专项-V5_2024版
专题28.2解直角三角形与函数综合(压轴题专项讲练)(人教版)(教师版)_初中数学_九年级数学下册(人教版)_压轴题专项-V5_2024版
专题28.2解直角三角形与函数综合(压轴题专项讲练)(人教版)(教师版)_初中数学_九年级数学下册(人教版)_压轴题专项-V5_2024版
专题28.2解直角三角形与函数综合(压轴题专项讲练)(人教版)(教师版)_初中数学_九年级数学下册(人教版)_压轴题专项-V5_2024版
专题28.2解直角三角形与函数综合(压轴题专项讲练)(人教版)(教师版)_初中数学_九年级数学下册(人教版)_压轴题专项-V5_2024版
专题28.2解直角三角形与函数综合(压轴题专项讲练)(人教版)(教师版)_初中数学_九年级数学下册(人教版)_压轴题专项-V5_2024版
专题28.2解直角三角形与函数综合(压轴题专项讲练)(人教版)(教师版)_初中数学_九年级数学下册(人教版)_压轴题专项-V5_2024版
专题28.2解直角三角形与函数综合(压轴题专项讲练)(人教版)(教师版)_初中数学_九年级数学下册(人教版)_压轴题专项-V5_2024版
专题28.2解直角三角形与函数综合(压轴题专项讲练)(人教版)(教师版)_初中数学_九年级数学下册(人教版)_压轴题专项-V5_2024版
专题28.2解直角三角形与函数综合(压轴题专项讲练)(人教版)(教师版)_初中数学_九年级数学下册(人教版)_压轴题专项-V5_2024版
专题28.2解直角三角形与函数综合(压轴题专项讲练)(人教版)(教师版)_初中数学_九年级数学下册(人教版)_压轴题专项-V5_2024版
专题28.2解直角三角形与函数综合(压轴题专项讲练)(人教版)(教师版)_初中数学_九年级数学下册(人教版)_压轴题专项-V5_2024版
专题28.2解直角三角形与函数综合(压轴题专项讲练)(人教版)(教师版)_初中数学_九年级数学下册(人教版)_压轴题专项-V5_2024版
专题28.2解直角三角形与函数综合(压轴题专项讲练)(人教版)(教师版)_初中数学_九年级数学下册(人教版)_压轴题专项-V5_2024版
专题28.2解直角三角形与函数综合(压轴题专项讲练)(人教版)(教师版)_初中数学_九年级数学下册(人教版)_压轴题专项-V5_2024版
专题28.2解直角三角形与函数综合(压轴题专项讲练)(人教版)(教师版)_初中数学_九年级数学下册(人教版)_压轴题专项-V5_2024版

文档信息

文档格式
docx
文档大小
4.724 MB
文档页数
85 页
上传时间
2026-04-06 23:51:29

文档内容

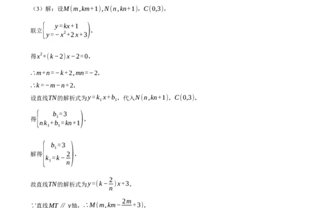
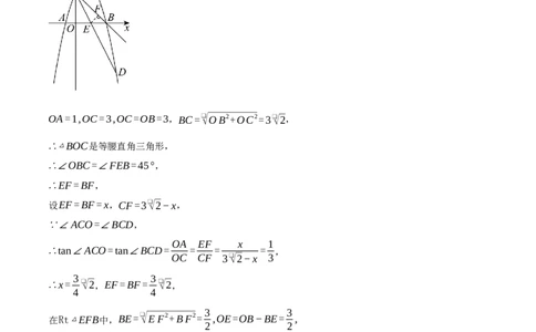
专题 28.2 解直角三角形与函数综合 【典例1】如图1,抛物线y=ax2+bx+3(a≠0)与x轴交于点A,B,与y轴交于点C.顶点为(1,4). (1)求拋物线的解析式; (2)若抛物线在第四象限上有一点D,∠ACO=∠BCD,求点D的坐标; (3)如图2,直线y=kx+1交抛物线于M,N两点.直线MT∥y轴,直线NC与MT交于点T,求TB的最 小值. 【思路点拨】 (1)先把抛物线表示为顶点式y=a(x−1) 2+4=ax2−2ax+a+4,再求a的值即可; (2)设直线CD与x轴交于点E,过点E作EF⊥BC于点F,设EF=BF=x,CF=3❑√2−x,根据三角函 OA EF x 1 数tan∠ACO=tan∠BCD= = = = 即可; OC CF 3❑√2−x 3 (3)设M(m,km+1),N(n,kn+1),C(0,3),先根据根与系数的关系,得m+n=−k+2,mn=−2,再 求出点M在直线y=2x+5上运动,设直线y=2x+5与x轴交于点G,与y轴交于点H,过点B作BI⊥GH, 当点T与点I重合时,TB有最小值即可. 【解题过程】 (1)解:抛物线y=ax2+bx+3(a≠0)的顶点为(1,4), ∴y=a(x−1) 2+4=ax2−2ax+a+4, ∴a+4=3, ∴a=−1,故拋物线的解析式为y=−x2+2x+3; (2)解:拋物线的解析式为y=−x2+2x+3, y=0时,−x2+2x+3=0, 解得:x =−1,x =3, 1 2 ∴A(−1,0),B(3,0),C(0,3), 设直线CD与x轴交于点E,过点E作EF⊥BC于点F, OA=1,OC=3,OC=OB=3,BC=❑√OB2+OC2=3❑√2, ∴△BOC是等腰直角三角形, ∴∠OBC=∠FEB=45°, ∴EF=BF, 设EF=BF=x,CF=3❑√2−x, ∵∠ACO=∠BCD, OA EF x 1 ∴tan∠ACO=tan∠BCD= = = = , OC CF 3❑√2−x 3 3 3 ∴x= ❑√2,EF=BF= ❑√2, 4 4 3 3 在Rt△EFB中,BE=❑√EF2+BF2= ,OE=OB−BE= , 2 2 3 ∴E( ,0), 2 3 设直线CD的解析式为y=kx+b,过点E( ,0),C(0,3), 2 {3 k+b=0) 2 , b=3 解得:k=−2,故直线CD的解析式为y=−2x+3, { y=−2x+3 ) 联立 , y=−x2+2x+3 {x =0) { x =4 ) 解得: 1 , 2 , y =3 y =−5 1 2 ∵点D在第四象限, 故D(4,−5); (3)解:设M(m,km+1),N(n,kn+1),C(0,3), { y=kx+1 ) 联立 , y=−x2+2x+3 得x2+(k−2)x−2=0, ∴m+n=−k+2,mn=−2, ∴k=−m−n+2, 设直线TN的解析式为y=k x+b ,代入N(n,kn+1),C(0,3), 1 1 { b =3 ) 得 1 , nk +b =kn+1 1 1 { b 1 =3 ) 解得 2 , k =k− 1 n 2 故直线TN的解析式为y=(k− )x+3, n 2m ∵直线MT∥y轴,∴M(m,km− +3), n 2m 2m ∴km− +3=(−m−n+2)m− +3=−mn+2m+3=2m+5 n −2 , m ∴M(m,2m+5), { x=m ) 设M(x,y),则 , y=2m+5 点M在直线y=2x+5上运动,设直线y=2x+5与x轴交于点G,与y轴交于点H,过点B作BI⊥GH, 当点T与点I重合时,TB有最小值, x=0时,y=5,H(0,5), 5 5 y=0时,x=− ,G(− ,0), 2 2 5 11 BG=OB+OG=3+ = , 2 2 √ 5 2 5 在Rt△GOH中,GH=❑√OG2+OH2=❑( ) +52= ❑√5, 2 2 OH BT BT 5 sin∠OGH= = = = GH BG 11 5 , ❑√5 2 2 11 BT= ❑√5. 5 1.(21·22下·长沙·开学考试)已知抛物线y=kx2−4kx+3k(k>0)与x轴交于A、B两点(点A在点B 的左边),与y轴交于点C,顶点为 D. (1)如图1,请求出A、B、C三点的坐标; (2)点E为x轴下方抛物线y=kx2−4kx+3k(k>0)上一动点.①如图2,若k=1时,抛物线的对称轴DH交x轴于点H,直线AE交y轴于点M,直线BE交对称轴DH于 点N,求MO+NH的值; ②如图3,若k=2时,点F在x轴上方的抛物线上运动,连接EF交x轴于点G,且满足∠FBA=∠EBA, 当线段EF运动时,∠FGO的度数大小发生变化吗?若不变,请求出tan∠FGO的值;若变化,请说明理 由. 【思路点拨】 (1)令x=0,可求出点C的坐标,令y=0,可求出点A、B的坐标; (2)过点E作EK⊥x轴于点K,证明△BKE∽△BHN,△AKE∽△AOM,根据相似三角形的性质列 出比例关系,求解即可;②过E作EN⊥x轴于点N,过点F作FH⊥x轴于点H,过点E作EM⊥FH, 交FH的延长线于点M,设点F(n,2n2−8n+6),E(a,2a2−8a+6),证明△FHB∽△ENB,根据三 角形相似列出比例关系,求出相关线段之间的数量关系,从而得出tan∠FGO的值. 【解题过程】 (1)解:令kx2−4kx+3k=0,解得x =1,x =3, 1 2 ∴A(1,0),B(3,0),, 令x=0,则有y=3k, ∴C(0,3k); (2)①当k=1时,抛物线的解析式y=x2−4x+3=(x−2) 2−1, ∴该抛物线的对称轴为x=2, 如图1,过点E作EK⊥x轴于点K, ∵OM⊥x轴,DH⊥x轴,EK⊥x轴, ∴OM∥DH∥EK, ∴△BKE∽△BHN,△AKE∽△AOM,设点E(m,m2−4m+3), KB KE KE AK ∴ = , = , HB HN MO AO 3−m −m2+4m−3 −m2+4m−3 m−1 即 = , = , 3−2 HN MO 1−0 整理可得HN=m−1,MO=−m+3, ∴MO+NH=m−1+(−m+3)=2. ②不会变化. 如图2所示,过E作EN⊥x轴于点N,过点F作FH⊥x轴于点H,过点E作EM⊥FH,交FH的延长线 于点M, 设点F(n,2n2−8n+6),E(a,2a2−8a+6), 当n>3时,不能满足∠FBA=∠EBA, ∴n<1, ∵∠FBA=∠EBA,∠FHB=∠ENB=90°, ∴△FHB∽△ENB, FH HB ∴ = , EN NB 2n2−8n+6 3−n ∴ = ,整理可得n+a=2, −2a2+8a−6 3−a ∵FH⊥x轴,EM⊥FH, ∴∠FHG=∠FME=90°, ∴HG∥ME, ∴∠FGO=∠FEM,FM 2n2−8n+6−(2a2−8a+6) ∴tan∠FGO=tan∠FEM= = =4. EM a−n 综上所述,当点F和点E在抛物线上运动时,tan∠FGO的值不会发生变化,且tan∠FGO=4. 1 2.(22·23下·武汉·模拟预测)抛物线y=ax2 (a>0)过点M(2,8a2+ ),N是抛物线上第二象限一动点, 2 (1)求抛物线的解析式; MA (2)若tan∠OMN=2,MN交y轴于A,求 的值; NA (3)过点M的不与y轴平行直线l 与抛物线只有一个公共点,点P与点M关于y轴对称,平移直线l 交抛物 1 1 线于E、F,求证PM平分∠EPF. 【思路点拨】 (1)用待定系数法求函数的解析式即可; (2)由已知可得tan∠MOA=tan∠OMN=2,所以AO=AM,设A(0,t),可得方程t=❑√4+(t−1) 2, 求出t的值可知A点坐标,求出直线MA与抛物线的交点即为N点,再由两点间距离公式分别求出MA、NA, 即可求解; 1 (3)设过直线l 的解析式为y=mx−2m+1,由题意可知 x2=mx−2m+1的方程只有一个实数根,利用 1 4 判别式△=0,求出m=1,则直线l 的解析式为y=x−1,设直线l 向左平移n个单位,则直线EF的解析式 1 1 1 为y=x+n−1,可知x+n−1= x2 的方程有两个实数根,则x +x =4,x ⋅x =4−4n,过点E作 4 E F E F 1 x 2−1 EG⊥PM交于G点,过点F作FH⊥PM交于H点,分别求得 EG 4 E , tan∠EPM= = PG x +2 E 1 1 1 1− x 2 x 2−1 1− x 2 tan∠MPF= FH = 4 F ,由作差法可得4 E − 4 F = (1−n)(x E +x F )−8+4+4n =0 , PH x +2 x +2 x +2 (x +2)(x +2) F E F E F即可证明∠EPM=∠MPF. 【解题过程】 1 (1)解:将点M(2,8a2+ )代入y=ax2, 2 1 ∴8a2+ =4a, 2 1 解得a= , 4 1 ∴y= x2 ; 4 1 (2)解:∵a= , 4 ∴M(2,1), ∴tan∠MOA=2, ∵tan∠OMN=2, ∴AO=AM, 设A(0,t), ∴t=❑√4+(t−1) 2, 5 解得t= , 2 5 ∴A(0, ), 2 5 设直线MA的解析式为y=kx+ , 2 5 ∴2k+ =1, 2 3 解得k=− , 4 3 5 ∴直线MA的解析式为y=− x+ , 4 2 3 5 1 当− x+ = x2 时,x=2或x=−5, 4 2 4 25 ∴N(−5, ), 45 25 ∴MA= ,NA= , 2 4 MA 2 ∴ = ; NA 5 (3)证明:设过直线l 的解析式为y=mx−2m+1, 1 ∵过点M的不与y轴平行直线l 与抛物线只有一个公共点, 1 1 ∴ x2=mx−2m+1的方程只有一个实数根, 4 ∴ Δ=m2−2m+1=0, ∴m=1, ∴直线l 的解析式为y=x−1, 1 ∵点P与点M关于y轴对称, ∴P(−2,1), 设直线l 向左平移n个单位,则直线EF的解析式为y=x+n−1, 1 1 ∴x+n−1= x2 的方程有两个实数根, 4 ∴x +x =4,x ⋅x =4−4n, E F E F 过点E作EG⊥PM交于G点,过点F作FH⊥PM交于H点, 1 1 ∴EG= y −1= x2−1,PG=x +2,FH=1−y =1− x2 ,HP=x +2, E 4 E E F 4 F F 1 1 x 2−1 1− x 2 EG 4 E , FH 4 F , ∴tan∠EPM= = tan∠MPF= = PG x +2 PH x +2 E F 1 1 x 2−1 1− x 2 ∵ 4 E − 4 F = (1−n)(x E +x F )−8+4+4n =0 , x +2 x +2 (x +2)(x +2) E F E F ∴tan∠EPM=tan∠MPF, ∴∠EPM=∠MPF, ∴PM平分∠EPF.1 3.(21·22下·恩施·模拟预测)如图,已知抛物线y= (x+ ℎ) 2+k.点A(−1,2)在抛物线的对称轴上, 4 ( 5) B 0, 是抛物线与y轴的交点,D为抛物线上一动点,过点D作x轴的垂线,垂足为点C. 4 (1)直接写出ℎ,k的值; (2)如图,若点D的坐标为(3,m),点Q为y轴上一动点,直线QK与抛物线对称轴垂直,垂足为点K.探 求DK+KQ+QC的值是否存在最小值,若存在,求出这个最小值及点Q的坐标;若不存在,请说明理由; (3)如图,连接AD,AC,若∠DAC=60°,求点D的坐标. 【思路点拨】 (1)根据二次函数性质进行分析,即可得到答案; 1 1 (2)由(1)可知y= (x+1) 2+1,求得D(3,5),作C点关于直线x=− 的对称点C′,连接C′D交抛物 4 2 线对称轴于点K,连接CQ,当C′、K、D三点共线时,C′D有最小值,即DK+KQ+QC的值最小,利用 坐标点的距离公式,得到C′D=❑√74,即可求出DK+KQ+QC的最小值,再利用待定系数法求出直线 5 20 C′D的解析式为y= x+ ,进而得到点K的坐标,即可求得点Q的坐标. 7 7 (3)如图,过D作DE⊥AC于E,设D ( m, 1 m2+ 1 m+ 5) ,则C(m,0),可得 4 2 4 CD2= (1 m2+ 1 m+ 5) 2 ,DE2= 3 AD2 CE2=AC2−AC⋅AD+ 1 AD2 , 4 2 4 4 4 DE2+CE2=AD2+AC2−AC⋅AD,而CD2=DE2+CE2,再建立方程求解即可. 【解题过程】 (1)解:∵点A(−1,2)在抛物线的对称轴上, ∴抛物线的对称轴为直线x=−1, ∴ℎ =1,1 ∴y= (x+1) 2+k, 4 ( 5) ∵B 0, 是抛物线与y轴的交点, 4 1 5 ∴ +k= , 4 4 ∴k=1; (2)解:存在最小值,理由如下: 1 由(1)可知,y= (x+1) 2+1, 4 ∵点D是抛物线上一点,坐标为(3,m), 1 ∴m= ×(3+1) 2+1=5, 4 ∴D(3,5), 1 作C点关于直线x=− 的对称点C′,连接C′D交抛物线对称轴于点K,连接CQ, 2 由对称性可知,C′K=CQ, ∴DK+KQ+QC=DK+KQ+C′K≥C′D+KQ, 当C′、K、D三点共线时,C′D有最小值,即DK+KQ+QC的值最小, ∵抛物线的对称轴为直线x=−1,QK与抛物线对称轴垂直, ∴KQ=1, ∵D(3,5),CD⊥x轴, ∴C(3,0), ∴C′(−4,0), ∴C′D=❑√(3+4) 2+(5−0) 2=❑√74, ∴DK+KQ+QC的最小值为❑√74+1,设直线C′D的解析式为y=kx+b, {−4k+b=0) ∴ , 3k+b=5 5 { k= ) 7 解得: , 20 b= 7 5 20 ∴直线C′D的解析式为y= x+ , 7 7 5 20 15 令x=−1,则y=− + = , 7 7 7 ( 15) ∴K −1, , 7 ( 15) ∴Q 0, . 7 1 1 1 5 (3)∵y= (x+1) 2+1= x2+ x+ , 4 4 2 4 如图,过D作DE⊥AC于E,设D ( m, 1 m2+ 1 m+ 5) ,则C(m,0), 4 2 4 ∴CD2= (1 m2+ 1 m+ 5) 2 , 4 2 4 ∵∠DAC=60°, 3 1 ∴DE2=(AD⋅sin60°) 2= AD2 ,CE2=(AC−AD⋅cos60°) 2=AC2−AC⋅AD+ AD2 , 4 4 ∴DE2+CE2=AD2+AC2−AC⋅AD =(m+1) 2+4+ (1 m2+ 1 m+ 5 −2 ) 2 +(m+1) 2−❑ √ (m+1) 2+ (1 m2+ 1 m− 3) 2 ⋅❑√(m+1) 2+4, 4 2 4 4 2 4 而CD2=DE2+CE2,解得:m=±2❑√3−1, ∵D在第二象限,则m>0, ∴m=2❑√3−1, ∴D(2❑√3−1,4). 4.(2022·黑龙江哈尔滨·一模)已知:在平面直角坐标系中,点O为坐标原点,点A在x轴的负半轴上, 7 直线y=−❑√3x+ ❑√3与x轴,y轴分别交于点C、B两点,直线AB与x轴交于点A,且点C与点A关于y轴 2 对称. (1)如图1,求点A的坐标; (2)如图2,点D为第三象限一点,以BD为边作等边△BDE,连接BD、OD、CD、AD、CE,设点D 的纵坐标为t,△BCD的面积与为△BCE的面积和为S(S≠0),求S与t之间的函数关系式(不要求写出自变 量的取值范围); 7 15❑√3 (3)在(2)的条件下,若∠CAD为钝角,△ABD的面积=− t− ,BD=2OD,求点D坐标. 2 4 【思路点拨】 7 (1)首先令y=0,解得x= ,即可确定点C坐标,结合轴对称的性质可得点A坐标; 2 (2)首先证明△ABC为等边三角形,然后证明△ABD≌△CBE(SAS),易得S =S ,然后根据 △ABD △CBE S=S +S =S +S =S +S ,即可获得答案; △BCD △CBE △BCD △ABD △ABC △ADC (3)由面积关系可求出t的值,由两点间距离公式可列方程,结合题意∠CAD为钝角,即可获得答案. 【解题过程】7 (1)解:对于直线y=−❑√3x+ ❑√3, 2 7 令y=0,可得−❑√3x+ ❑√3=0, 2 7 7 解得x= ,即C( ,0), 2 2 ∵点C与点A关于y轴对称, 7 ∴点A(− ,0); 2 7 7 (2)∵A(− ,0),C( ,0), 2 2 7 7 ∴AC= −(− )=7, 2 2 7 对于直线y=−❑√3x+ ❑√3, 2 7❑√3 令x=0,可得y= , 2 7❑√3 ∴B(0, ), 2 7❑√3 ∴OB= , 2 在Rt△BOC中, 7❑√3 OB 2 ∵tan∠BCO= = =❑√3, OC 7 2 ∴∠BCO=∠BAO=60°, ∴△ABC为等边三角形, ∴AB=BC,∠ABC=60°, ∵△BDE是等边三角形, ∴BD=BE,∠DBE=60°, ∴∠ABD+∠DBC=∠DBC+∠CBE, ∴∠ABD=∠CBE, ∴△ABD≌△CBE(SAS), ∴S =S , △ABD △CBE∴△BCD的面积与为△BCE的面积和S=S +S △BCD △CBE =S +S △BCD △ABD =S +S △ABC △ADC 1 1 = AC⋅OB+ AC⋅y 2 2 D 1 7❑√3 1 = ×7× + ×7×t 2 2 2 7 49❑√3 =− t+ , 2 4 7 49❑√3 即S与t之间的函数关系式为S=− t+ ; 2 4 (3)设点D(a,t), 7 49❑√3 由(2)可知,S +S =− t+ , △BCD △ABD 2 4 7 15❑√3 又∵S =− t− , △ABD 2 4 ∴S =16❑√3,即S +S +S =16❑√3, △BCD △BOC △BOD △OCD 1 7❑√3 7 1 7❑√3 1 7 ∴16❑√3= × × + × ×(−a)+ × ×(−t), 2 2 2 2 2 2 2 整理可得 128❑√3=49❑√3−14❑√3a−14t, −79❑√3−14❑√3a ∴t= , 14 ∵BD=2OD, ∴BD2=4OD2, 7❑√3 2 ∴a2+(t− ) =4(a2+t2 ), 2 147 ∴ −7❑√3t=3a2+3t2 , 4 ∴(28a+94) 2=256, 20 解得a =−4,a =− , 1 2 7 ∵∠CAD为钝角, ∴a=−4,135❑√3 ∴t=− , 14 135❑√3 ∴D(−4,− ). 14 5.(21·22九年级下·湖北武汉·自主招生)如图1在平面直角坐标系xOy中,四边形ABCD是菱形,顶点 4 A、C、D均在坐标轴上,且AB=5,2CE=OC,sinB= . 5 (1)求过A、D、E三点的拋物线C 的解析式; 1 (2)如图2,平行于y轴的直线x=2交抛物线C 于点G,交直线CD于点H,平行于y轴的直线x=a,在 1 抛物线C 的对称轴左侧,交抛物线C 于S,交直线AB于T,若GH:ST=4:3,求a的值; 1 1 (3)如图3,将抛物线C 平移使顶点落在原点上,在射线CD上确定一点P,过点P作直线PF,交y轴于 1 点F,交抛物线于M,N,若△MON的外心在边MN上,且∠NPC=∠OCP,求点P的坐标. 【思路点拨】 (1)根据菱形的性质求得AD=CD=5、∠B=∠ADC,解Rt△OCD求得OC,OD,然后用待定系数 法即可解答; 1 4 (2)先求出抛物线的对称轴可得a< ,再求出直线CD的解析式为y=− x+4、直线AB的解析式为 2 3 y=− 4 x− 8 ,然后再求得GH=4− 4 = 8 、ST= | −a2+ 7 a+ 26) ,再根据GH:ST=4:3列绝对值方程 3 3 3 3 3 3 即可解答; (3)由平移的性质可得平移后抛物线的解析式为y=−x2,设M(m,−m2),N(n,−n2), 1 再根据题意可得△MON是以MN为斜边的直角三角形,运用勾股定理列式化简可得mn=− ,即 mM(m,−m2),N ( − 1 ,− 1 );再运用待定系数法可得 y= 1−m4 x−1 ,进而确定F的坐标,进而确定 m m2 m3+m CF的长;再根据等腰三角形可得PF=FC,然后根据两点间的距离公式列方程解答即可. 【解题过程】 (1)解:∵四边形ABCD是边长为5的菱形, ∴AB=AD=CD=BC=5,∠B=∠ADC, 4 ∵sinB= , 5 4 ∴sin∠ADC=sinB= ; 5 在Rt△OCD中,OC=CD⋅sin∠ADC=4,OD=❑√DC2−OC2=3;OA=AD−OD=2, ∵2CE=OC, 1 4 ∴CE= OC= =2 2 2 ∴OE=OC+CE=4+2=6, 即:A(−2,0)、B(−5,4)、C(0,4)、D(3,0),E(0,6); 设抛物线的解析式为:y=a(x+2)(x−3),即:2×(−3)a=6,解得:a=−1. ∴抛物线y=−x2+x+6. (2)解:∵y=−x2+x+6=− ( x− 1) 2 +6 1 , 2 4 1 ∴抛物线的对称轴为x= , 2 1 ∴a< , 2 如图:设直线CD的解析式为y=kx+b ∵C(0,4)、D(3,0), { 4=b ) { b=4 ) ∴ ,解得: 4 0=3k+b k=− 3 4 4 8 ∴直线CD的解析式为y=− x+4,同理可得:直线AB的解析式为y=− x− ; 3 3 3 ∵平行于y轴的直线x=2交抛物线C 于点G,交直线CD于点H, 1( 4) ∴点G(2,4),H 2, , 3 4 8 ∴GH=4− = ; 3 3 同理:ST= | −a2+a+6− ( − 4 a− 8)) = | −a2+ 7 a+ 26) , 3 3 3 3 ∵GH:ST=4:3, 3 3 8 ∴ST= GH= × =2, 4 4 3 ∴ | −a2+ 7 a+ 26) =2,解得:a=− 5 或a=4或a= 7−❑√433 或a= 7+❑√433 3 3 3 6 6 1 7+❑√433 1 ∵a=4> ,a= > ,故舍去, 2 6 2 5 7−❑√433 ∴a=− 或a= . 3 6 (3)解:由平移的性质可得:平移后抛物线的解析式为:y=−x2, 设M(m,−m2),N(n,−n2), ∵△MON的外心在边MN上, ∴△MON是以MN为斜边的直角三角形, ∴M N2=OM2+ON2 1 ∴(m−n) 2+[−m2−(−n2)) 2 =(−m) 2+(−m2) 2 +(−n) 2+(−n2) 2 ,整理得:mn=−1,即n=− ; m ∴M(m,−m2),N ( − 1 ,− 1 ) , m m21−m4 由待定系数法可得直线MN的解析式为:y= x−1, m3+m 当x=0时,y=−1,即F(0,−1),则CF=OC+OF=4+1=5 设P点坐标为 ( a,− 4 a+4 ) ,则PF2=(a−0) 2+ ( − 4 a+4+1 ) 2 = 25 a2− 40 a+25, 3 3 9 3 ∵∠NPC=∠OCP, ∴PF=FC, ∴PF2=FC2=25, 25 40 24 ∴ a2− a+25=25,解得:a= 或a=0(不合题意舍去) 9 3 5 (24 36) ∴P点坐标为 ,− . 5 15 6.(21·22下·武汉·一模)已知抛物线y=ax2− ( 5a+ 1) x+4a+2(a<0). 2 (1)若抛物线的对称轴为x=2,求该抛物线的解析式; (2)如图1,在(1)的条件下,抛物线与x轴交于O,A两点,顶点为B,已知点C(0,2),连 AB,AC,BC,若点P为抛物线上一点,且满足∠OAC+∠POA=∠BAO,求点P的坐标; (3)如图2,抛物线过两个定点,其中一个定点为第一象限内的点E,另一个定点为x轴上的点F,过点 F作直线l与抛物线有且只有一个交点(l不与x轴垂直),直线l与直线x=−5交于点M.直线ME交抛物 线于另一点P.过点P作线段PQ⊥x轴于点Q,求证;线段FQ的长为定值. 【思路点拨】 (1)用待定系数法求函数关系式即可解题; (2)先求出直线AB的解析式y=−x+4,延长AB交轴于点K,过C作CH⊥AK于H,CK=2, ❑√2 1 1 KH=CH=❑√2,得到tan∠CAK= = ,即tan∠POA= ,代入解题即可; 3❑√2 3 3 ( 3) 17 (3)求出定点坐标E 1, ,F(4,0),求出直线MF、ME的解析式,然后求出x =x = ,代入解题 2 P Q 2即可. 【解题过程】 (1)∵若抛物线的对称轴为x=2, 1 5a+ ∴ 2 , =2 2a 1 解得:a=− , 2 1 ∴该抛物线的解析式为y=− x2+2x. 2 1 (2)∵抛物线的解式为y=− x2+2x, 2 1 令y=0,则0=− x2+2x,解得:x=0或x=4, 2 ∴A(4,0), 1 1 ∵y=− x2+2x=− (x−2) 2+2, 2 2 ∴B(2,2), 设直线AB的解析式为y=kx+b, {4k+b=0) {k=−1) 则 ,解得: , 2k+b=2 b=4 ∴y=−x+4, 令x=0,则y=4, 延长AB交y轴于点K,过C作CH⊥AK于H,则OC=2,OA=4,K(0,4), ∴AK=❑√OA2+OK2=❑√42+42=4❑√2, ∴CK=2,KH=CH=❑√2, ∴AH=AK−HK=4❑√2−❑√2=3❑√2,❑√2 1 ∴tan∠CAK= = . 3❑√2 3 ∵∠OAC+∠POA=∠BAO, ∴∠POA=∠CAK, 1 ∴tan∠POA= , 3 设P ( p,− 1 p2+2p ) , 2 | − 1 p2+2p ) ∴ 2 1, = p 3 10 14 解得:p= 或p= , 3 3 (10 10) (14 14) ∴P , ,P ,− ; 1 3 9 2 3 9 (3)∵y=ax2− ( 5a+ 1) x+4a+2 2 1 y=a(x2−5x+4)+(− x+2) 2 ∵过定点, ∴x2−5x+4=0, 解得:x =1,x =4, 1 2 3 ∴当x=1时,y= ,当当x=4时,y=0, 2 ( 3) ∴E 1, ,F(4,0), 2 设直线MF的解析式为y=mx+n, 将F(4,0)代入得4m+n=0,解得n=−4m, ∴y=mx−4m, ∵直线l与抛物线有且只有一个交点可求 ∴ax2− ( 5a+ 1) x+4a+2 =mx−4m有两个相等的实数根, 2 ( 1 ) 2 ∴Δ= 5a+ +m −4a(4a+2+4m)=0, 2 1 ∴m=3a− , 2( 1) ∴y= 3a− x+2−12a, 2 ( 1) 9 令x=5,得y=5 3a− +2−12a=−27a+ , 2 2 ( 9) ∴M −5,−27a+ , 2 ( 3) 又∵E 1, , 2 9 1 9 同理可得直线ME的解析式为:y=( a− )x+2− a 2 2 2 由ax2− ( 5a+ 1) x+4a+2=( 9 a− 1 )x+2− 9 a, 2 2 2 2 17 解得x =1,x = , 1 2 2 17 解得:x =x = , P Q 2 17 ∴FQ= −4=4.5为定值. 2 2❑√3 7.(22·23·河源·三模)如图1,抛物线y= x2+bx+c过B(3,0),C(0,−3❑√3)两点,动点M从点B 3 出发,以每秒2个单位长度的速度沿BC方向运动,设运动的时间为t秒. 2❑√3 (1)求抛物线y= x2+bx+c的表达式; 3 (2)如图1,过点M作DE⊥x轴于点D,交抛物线于点E,当t=1时,求四边形OBEC的面积; (3)如图2,动点N同时从点O出发,以每秒1个单位长度的速度沿OB方向运动,将△BMN绕点M逆时针旋转180°得到△GMF. ①当点N运动到多少秒时,四边形NBFG是菱形; ②当四边形NBFG是矩形时,将矩形NBFG沿x轴方向平移使得点F落在抛物线上时,直接写出此时点F 的坐标. 【思路点拨】 2❑√3 (1)利用待定系数法将B、C两点坐标代入抛物线y= x2+bx+c求解即可; 3 (2)当t=1时求得BC长度,并且利用平行线分线段成比例求得E点横坐标,代入抛物线解析式即可求得 E点纵坐标,再根据S =S +S 求解即可; 四边形OBEC 梯形ODEC △BDE (3)①根据题意可求出ON=t,BN=3−t,BM=2t.再根据旋转的性质易证四边形NBFG是平行四边 BM 2t 形,则四边形NBFG是菱形,只需BG⊥NF即可,又可求出cos∠MBN= = , BN 3−t OB 1 2t 1 cos∠CBO= = ,则 = ,解出t的值即可;②当四边形NBFG是矩形时,只需∠BNG=90°. BC 2 3−t 2 由∠BNG=∠BOC=90°,得出NG∥OC,利用平行线分线段成比例,求得t=1;将矩形NBFM沿x轴 方向平移时,点F落在抛物线的图象上,即y =−2❑√3,再代入解析式即可求得点F的坐标. F 【解题过程】 2❑√3 (1)解:∵抛物线y= x2+bx+c的图象过B(3,0),C(0,−3❑√3)两点, 3 {2❑√3 ×9+3b+c=0 ) {b=−❑√3 ) ∴ 3 ,解得: , c=−3❑√3 −3❑√3=c 2❑√3 ∴抛物线的表达式为y= x2−❑√3x−3❑√3; 3 (2)解:如图:∵B(3,0),C(0,−3❑√3), ∴OB=3,OC=3❑√3, ∴BC=❑√OB2+OC2=6. 当t=1时,BM=2t=2. ∵DM⊥AB,OC⊥AB, ∴DM∥OC, BD BM BD 2 ∴ = ,即 = , OB BC 3 6 ∴BD=1, ∴OD=OB−OD=3−1=2. 2❑√3 2❑√3 7❑√3 在y= x2−❑√3x−3❑√3中,令x=2,得:y= ×22−❑√3×2−3❑√3=− , 3 3 3 ( 7❑√3) ∴E 2,− ; 3 1 (7❑√3 ) 1 7❑√3 13❑√3 ∴S =S +S = × +3❑√3 ×2+ × ×1= ; 四边形OBEC 梯形ODEC △BDE 2 3 2 3 2 (3)解:①如图:根据题意得:ON=t,BN=3−t,BM=2t. ∵将△BMN绕点M逆时针旋转180°得到△GMF, ∴BM=GM,NM=FM, ∴四边形NBFG是平行四边形, 若四边形NBFG是菱形,只需BG⊥NF,即∠BMN=90°, BM 2t 此时cos∠MBN= = . BN 3−t OB 3 1 在Rt△BOC中,cos∠CBO= = = , BC 6 2 2t 1 ∴ = , 3−t 2 3 解得:t= , 5 3 答:当点N运动到 秒时,四边形NBFG是菱形; 5 ②如图: 由①得四边形NBFG是平行四边形.当四边形NBFG是矩形时,只需∠BNG=90°. ∴∠BNG=∠BOC=90°, ∴NG∥OC, BN BG 3−t 4t ∴ = ,即 = , OB BC 3 6 解得:t=1. ∴当点N运动1秒时,四边形NBFM是矩形. ∴NB=3−1=2,BG=4, ∴NG=❑√BG2−NB2=2❑√3. 将矩形NBFM沿x轴方向平移时,点F落在抛物线的图象上,即y =−2❑√3. F 2❑√3 当y =−2❑√3时,即 x2−❑√3x−3❑√3=−2❑√3, F 3 3+❑√33 3−❑√33 解得:x = ,x = , 1 4 2 4 (3+❑√33 ) (3−❑√33 ) ∴点F的坐标为 ,−2❑√3 或 ,−2❑√3 . 4 4 8.(21·22上·哈尔滨·期末)如图,在平面直角坐标系中,抛物线y=ax2+3ax−4a(a≠0)与x轴交与 A,B两点,与y轴交于点C,连接BC,tan∠CBO=2. (1)求抛物线的解析式; (2)点P为第二象限抛物线上一点,连接AP并延长交y轴于点R,设点P的横坐标为t,OR的长为d,求d 与t的函数关系式; (3)在(2)的条件下,当d=8时,过点P作PH⊥AB于点H,过点H作HD⊥AP于点D,过点B作 BE⊥BA交DH的延长线于点E,连接PE交x轴于点F,连接CF,G为线段BC上一点,连接FG,若∠BFG+∠CFO=90°,求△CFG的面积. 【思路点拨】 (1)根据抛物线与x的交点,可求点A,B的坐标,根据二次函数与y相交,可用含a的式子表示点C的坐 标,根据tan∠CBO=2,即可求解; (2)点P为第二象限抛物线上一点,设P ( t,− 1 t2− 3 t+2 ) (t<0),则R(0,d),如图所示,过P作 2 2 PP′⊥x轴于点P′,可证△APP′∽△ARO,由此即可求解; (3)根据题意作图,可求出点P,H的坐标,根据正切的值的计算可求出BE的长,确定点E的坐标,由此 可求出PE所在直线的解析式,确定点F的坐标,根据∠BFG+∠CFO=90°可证△BFG∽△BCO,由此 可求出CG,FG的值,根据三角形的面积计算公式即可求解. 【解题过程】 (1)解:∵抛物线y=ax2+3ax−4a(a≠0)与x轴交与A,B两点, ∴令y=0得,ax2+3ax−4a=0,且a≠0, ∴x2+3x−4=0,解得,x =−4,x =1, 1 2 ∴A(−4,0),B(1,0),则OA=4,OB=1, ∵抛物线y=ax2+3ax−4a(a≠0)与y轴交于点C, ∴C(0,−4a),则OC=−4a, OC 在Rt△BOC中,tan∠CBO= =2, OB −4a 1 ∴ =2,解得,a=− , 1 2 1 1 3 把a=− 代入抛物线y=ax2+3ax−4a(a≠0)得,y=− x2− x+2, 2 2 2 1 3 ∴抛物线的解析式为:y=− x2− x+2. 2 2 1 3 (2)解:由(1)可知,抛物线的解析式为:y=− x2− x+2,点P为第二象限抛物线上一点, 2 2 ∴设P ( t,− 1 t2− 3 t+2 ) (t<0),则R(0,d),且A(−4,0), 2 2 如图所示,过P作PP′⊥x轴于点P′,1 3 ∴PP′=− t2− t+2,AP′=t−(−4)=t+4,RO=d,OA=4, 2 2 ∴PP′∥∨¿, ∴△APP′∽△ARO, AP′ PP′ AP | − 1 t2− 3 t+2 ) ∴ = = ,即|t+4) 2 2 , AO RO AR = 4 |d) ∵点P在第二项象限, 1 3 ∴− t2− t+2>0,d>0,−40)与x轴从左至右依 8 ❑√3 次交于A,B两点,与y轴交于点C,经过点B的直线y=− x+b与抛物线的另一交点为D. 3 (1)若点D的横坐标为−5,求抛物线的函数表达式; (2)若在第一象限的拋物线上有点P,使得△PAB∽△ABC相似,求k的值;(3)在(1)的条件下,设F为线段BD上一点(不含端点),连接AF,一动点M从点A出发,沿线段 AF以每秒1个单位的速度运动到F,再沿线段FD以每秒2个单位的速度运动到D后停止.当点F的坐标 是多少时,点M在整个运动过程中用时最少? 【思路点拨】 (1)首先求出点A、B坐标,然后求出直线BD的解析式,求得点D坐标,代入抛物线解析式,求得k的值; (2)设P(x,y),过点P作PN⊥x轴于点N,则ON=x,PN= y,列方程求出P(6,2k),再由 AB CB △ABC∽△PAB可得 = ,代入数据列出方程求解即可; AP AB 1 1 (3)由题意,动点M运动的路径为折线AF+DF,运动时间:t=AF+ DF.作辅助线,将AF+ DF 2 2 转化为AF+FG;再由垂线段最短,得到垂线段AH与直线BD的交点,即为所求的F点. 【解题过程】 k (1)抛物线y= (x+2)(x−4), 8 令y=0,解得x=−2或x=4, ∴A(−2,0),B(4,0). ❑√3 ∵直线y=− x+b经过点B(4,0), 3 ❑√3 4❑√3 ∴− ×4+b=0,解得b= , 3 3 ❑√3 4❑√3 ∴直线BD解析式为:y=− x+ . 3 3 当x=−5时,y=3❑√3, ∴D(−5,3❑√3), k ∵点D(−5,3❑√3)在抛物线y= (x+2)(x−4)上, 8 k ∴ ×(−5+2)×(−5−4)=3❑√3, 8 8❑√3 ∴k= . 9 ❑√3 ∴抛物线的函数表达式为:y= (x+2)(x−4). 9❑√3 2❑√3 8❑√3 即y= x2− x− . 9 9 9 (2)由抛物线解析式,令x=0,得y=−k, ∴C(0,−k),OC=k. ∵点P在第一象限内的抛物线上, ∴∠ABP为钝角. 若△PAB∽△ABC,则有∠ABC=∠PAB,如图所示. 设P(x,y),过点P作PN⊥x轴于点N,则ON=x,PN= y. k y tan∠ABC=tan∠PAB,即: = , 4 x+2 k k ∴y= x+ . 4 2 ( k k) k ∴P x, x+ ,代入抛物线解析式y= (x+2)(x−4), 4 2 8 k k k 得 (x+2)(x−4)= x+ , 8 4 2 整理得:x2−4x−12=0, 解得:x=6或x=−2(与点A重合,舍去), ∴P(6,2k). ∵△ABC∽△PAB, AB CB = , AP AB 6 ❑√16+k2 ∴ = , ❑√64+4k2 6 解得k=±❑√2, ∵k>0, ∴k=❑√2,综上所述,k=❑√2. (3)如图,过点D作DN⊥x轴于点N, 由(1)知:D(−5,3❑√3), 则DN=3❑√3,ON=5,BN=4+5=9, DN 3❑√3 ❑√3 ∴tan∠DBA= = = , BN 9 3 ∴∠DBA=30°. 过点D作DK∥x轴,则∠KDF=∠DBA=30°. 1 过点F作FG⊥DK于点G,则FG= DF. 2 1 由题意,动点M运动的路径为折线AF+DF,运动时间:t=AF+ DF, 2 ∴t=AF+FG,即运动的时间值等于折线AF+FG的长度值. 由垂线段最短可知,折线AF+FG的长度的最小值为DK与x轴之间的垂线段. 过点A作AH⊥DK于点H,则t =AH,AH与直线BD的交点,即为所求之F点. 最小 ❑√3 4❑√3 ∵A点横坐标为−2,直线BD解析式为:y=− x+ , 3 3 ❑√3 4❑√3 ∴y=− ×(−2)+ =2❑√3, 3 3 ∴F(−2,2❑√3), 综上所述,当点F坐标为(−2,2❑√3)时,点M在整个运动过程中用时最少. 11.(2023九年级·山东·专题练习)如图,二次函数y=ax2+bx+4的图象经过点A(−4,0),B(−1,0),与 y轴交于点C.(1)求二次函数的表达式; (2)如图1,在抛物线的对称轴上是否存在一点P,使△BCP面积为5,若存在,求出点P的坐标;若不 存在,请说明理由; (3)如图2,小明经过探究发现:位于x轴下方的抛物线上,存在一点D,使∠DAB与∠ACB互为余角; 你认为他探究出的结论是否正确?若正确,求出点D的坐标;若不正确,请说明理由. 【思路点拨】 (1)设抛物线的解析式为:y=a(x+4)(x+1),代入点C(0,4),进一步得出结果; BQ TB (2)过点P作PT∥BC,交x轴于点T,作BQ⊥PT于Q,可得△TBQ∽△BCO,从而 = ,变 OC BC 1 形得出TB⋅OC=BC⋅BQ,由S =5得, BC⋅BQ=5,从而BC⋅BQ=10,从而求得TB,从而得 △PBC 2 出点T坐标,进而求得PT的解析式,进一步得出结果,同样求得另一种情形; (3)作BF⊥AC于F,设AD与y轴交于点E,可推出∠DAB=∠CBF,解斜三角形ABC,求得AF和 CF 5 OE 5 CF,根据tan∠DAB=tan∠CBD= = ,得出 = ,从而求得OE,进而求出AD的解析式,将 BF 3 OA 3 其和抛物线的解析式联立,从而求的点D坐标. 【解题过程】 (1)解:由题意得:C(0,4), 设抛物线的解析式为:y=a(x+4)(x+1), ∴4=a⋅4×1, ∴a=1, ∴y=(x+4)(x+1)=x2+5x+4; (2)如图1,过点P作PT∥BC,交x轴于点T,作BQ⊥PT于Q, ∴∠QTB=∠CBO,∠TQB=∠BOC=90°, ∴△TBQ∽△BCO, TB BQ ∴ = , BC OC ∴TB⋅OC=BC⋅BQ, ∵B(−1,0),C(0,4),A(−4,0), ∴OC=4,OB=1, 设直线BC的解析式为:y=kx+4,把B(−1,0)代入,得:k=4, ∴y=4x+4 ∵PT∥BC, ∴k =k =4, PT BC 1 由S =5得, BC⋅BQ=5, △PBC 2 ∴BC⋅BQ=10, ∴4TB=10, 5 ∴TB= , 2 5 7 ∴OT=OB+TB=1+ = , 2 2 ( 7 ) ∴T − ,0 , 2 ( 7 ) 设直线PT的解析式为y=4x+m,把T − ,0 ,代入,得:m=14, 2 ∴直线PT的解析式为y=4x+14,5 ∵抛物线的对称轴为:x=− , 2 5 ( 5) ∴当x=− 时,y=4× − +14=4, 2 2 ( 5 ) ∴P − ,4 , 1 2 同理可得:直线T′Q′的解析式为:y=4x−6, 5 ∴当x=− 时,y=−16, 2 ( 5 ) ∴P − ,−16 , 2 2 ( 5 ) ( 5 ) ∴P − ,4 或 − ,−16 ; 2 2 (3)如图2, ( 8 20) 存在D − ,− ,使∠DAB+∠ACB=90°,理由如下: 3 9 作BF⊥AC于F,设AD与y轴交于点E, ∴∠BFA=∠BFC=90°, ∴∠ACB+∠CBF=90°, ∵∠ACB+∠DAB=90°, ∴∠DAB=∠CBF, ∵∠AOC=90°,OA=OC=4, ∴∠CAO=45°,AC=4❑√2, ∵AB=3, ❑√2 3❑√2 ∴AF=BF=AB⋅sin45°= AB= , 2 23❑√2 5❑√2 ∴CF=AC−AF=4❑√2− = , 2 2 CF 5 ∴tan∠DAB=tan∠CBD= = , BF 3 OE 5 ∴ = , OA 3 OE 5 ∴ = , 4 3 20 ∴OE= , 3 ( 20) ∴E 0,− , 3 20 5 设直线AD的解析式为:y=nx− ,把A(−4,0),代入,得:n=− , 3 3 5 20 ∴直线AD的解析式为:y=− x− , 3 3 8 {y=x2+5x+4) {x=−4) { x 2 =− 3 ) 由 5 20 得, 或 , y=− x− y=0 20 3 3 y =− 2 9 ( 8 20) ∴D − ,− . 3 9 12.(21·22下·广州·二模)如图,抛物线y=ax2+bx+c经过点A(−2,5),与x轴相交于B(−1,0), C(3,0)两点. (1)求抛物线的函数表达式; (2)点D在抛物线的对称轴上,且位于x轴的上方,将△BCD沿直线BD翻折得到△BC′D,若点C′恰好 落在抛物线的对称轴上,求点C′和点D的坐标; (3)设P是抛物线上位于对称轴右侧的一点,点Q在抛物线的对称轴上,当△CPQ为等边三角形时,求直线BP的函数表达式. 【思路点拨】 (1)根据待定系数法,把点A(−2,5),B(−1,0),C(3,0)的坐标代入y=ax2+bx+c得到方程组 求解即可; (2)设抛物线的对称轴与x轴交于点H,则H点的坐标为(1,0),BH=2,由翻折得C′B=CB=4,求 出C′H的长,可得∠C′BH=60°,求出DH的长,则D坐标可求; (3)由题意可知△C′CB为等边三角形,分两种情况讨论:①当点P在x轴的上方时,点Q在x轴上方, 连接BQ,C′P,证出△BCQ≌△C′CP,可得BP垂直平分CC′,则D点在直线BP上,可求出直线BP 的解析式;②当点P在轴的下方时点Q在轴下方,同理可求出另一直线解析式. 【解题过程】 {4a−2b+c=5 ) (1)解:由题意得: a−b+c=0 , 9a+3b+c=0 { a=1 ) 解得 b=−2 , c=−3 ∴抛物线的函数表达式为y=x2−2x−3; (2)∵抛物线与x轴交于B(−1,0),C(3,0), ∴BC=4,抛物线的对称轴为直线x=1, 如图,设抛物线的对称轴与x轴交于点H,则H点的坐标为(1,0),BH=2, 由翻折得C′B=CB=4, 在Rt△BHC′中,由勾股定理,得C′H=❑√C′B2−BH2=❑√42−22=2❑√3, C′H 2❑√3 ∴点C′的坐标为(1,2❑√3),tan∠C′BH= = =❑√3, BH 2 ∴∠C′BH=60°,1 由翻折得∠DBH= ∠C′BH=30°, 2 2❑√3 在Rt△BHD中,DH=BH⋅tan∠DBH=2⋅tan30°= , 3 ( 2❑√3) ∴点D的坐标为 1, ; 3 (3)取(2)中的点C′,D,连接CC′, ∵BC′=BC,∠C′BC=60°, ∴△C′CB为等边三角形.分类讨论如下: 当点P在x轴的上方时,点Q在x轴上方,连接BQ,C′P, ∵△PCQ,△C′CB为等边三角形, ∴CQ=CP,BC=C′C,∠PCQ=∠C′CB=60°, ∴∠BCQ=∠C′CP, ∴△BCQ≌△C′CP(SAS), ∴BQ=C′P, ∵点Q在抛物线的对称轴上, ∴BQ=CQ, ∴C′P=CQ=CP, 又∵BC′=BC, ∴BP垂直平分CC′, 由翻折可知BD垂直平分CC′, ∴点D在直线BP上, 设直线BP的函数表达式为y=kx+b , 1{ 0=−k+b 1 ) { k= ❑√ 3 3 ) 则 2❑√3 ,解得 , =k+b ❑√3 3 1 b = 1 3 ❑√3 ❑√3 ∴直线BP的函数表达式为y= x+ , 3 3 当点P在x轴的下方时,点Q在x轴下方, ∵△PCQ,△C′CB为等边三角形, ∴CP=CQ,BC=CC′,∠CC′B=∠QCP=∠C′CB=60°, ∴∠BCP=∠C′CQ, ∴△BCP≌△C′CQ(SAS), ∴∠CBP=∠CC′Q, ∵BC′=CC′,C′H⊥BC, 1 ∴∠CC′Q= ∠CC′B=30°, 2 ∴∠CBP=30°, 设BP与y轴相交于点E, ❑√3 ❑√3 在Rt△BOE中,OE=OB⋅tan∠CBP=OB⋅tan30°=1× = , 3 3 ( ❑√3) ∴点E的坐标为 0,− , 3 设直线BP的函数表达式为y=mx+n,{0=−m+n ) { m=− ❑√3 ) 3 则 ❑√3 ,解得 , − =n ❑√3 3 n=− 3 ❑√3 ❑√3 ∴直线BP的函数表达式为y=− x− , 3 3 ❑√3 ❑√3 ❑√3 ❑√3 综上所述,直线BP的函数表达式为y= x+ 或y=− x− . 3 3 3 3 13.(22·23下·福州·期中)如图,平面直角坐标系中,抛物线y=−x2+nx+4过点A(−4,0),与y轴交 于点N,与x轴正半轴交于点B.直线l过定点A. (1)求抛物线解析式; (2)连接AN,BN,直线l交抛物线于另一点M,当∠MAN=∠BNO时,求点M的坐标; (3)过点T(t,−1)的任意直线EF(不与y轴平行)与抛物线交于点E、F,直线BE、BF分别交y轴于 点P、Q,是否存在t的值使得OP与OQ的积为定值?若存在,求t的值,若不存在,请说明理由. 【思路点拨】 (1)将点A(−4,0)代入y=−x2+nx+4,即可求解; 1 (2)求出tan∠BNO=tan∠MAN= ,分两种情况讨论:当M点在AN上方时,过点N作NH⊥AN交 4 5 20 于H点,过点H作HK⊥y轴交于K点,求出H(−1,5),从而求出直线AM的解析式为y= x+ , 3 3 { y= 5 x+ 20 ) ( 2 50) 联立方程组 3 3 ,可求M − , ;当M点在AN下方时,过点N作NG⊥AN交AM 3 9 y=−x2−3x+43 12 于点G,过点G作GW⊥y轴交于点W,求出G(1,3),直线AM的解析式为y= x+ ,联立方程组 5 5 { y= 3 x+ 12 ) (2 66) 5 5 ,可求M , ; 5 25 y=−x2−3x+4 (3)设E(e,−e2−3e+4),F(f,−f2−3f +4),通过求直线BE的解析式求得k=−e−4,则 P(0,e+4),再通过求直线BF的解析式为得m=−f −4,则Q(0,f +4),从而得到 OP⋅OQ=−ef −4e−4f −16,再设直线EF的解析式为y=k (x−t)−1,联立方程组 1 {y=k x−k t−1) 1 1 ,由根与系数的关系得e+f =−k −3,ef =−k t−5,得到OP⋅OQ=k (t+4)+1, y=−x2−3x+4 1 1 1 当t+4=0时,OP⋅OQ为定值. 【解题过程】 (1)解:将点A(−4,0)代入y=−x2+nx+4, 得−16−4n+4=0, 解得n=−3, ∴y=−x2−3x+4; (2)解:令y=0,则−x2−3x+4=0, 解得x=−4或x=1, ∴B(1,0), 令x=0,则y=4, ∴N(0,4), ∴ON=4,OB=1, 1 ∴tan∠BNO= , 4 如图1,当M点在AN上方时,过点N作NH⊥AN交于H点,过点H作HK⊥y轴交于K点,∵A(−4,0),N(0,4), ∴OA=ON,AN=4❑√2, ∴∠ANO=45°, ∵∠ANH=90°, ∴∠HNK=45°, ∴HK=KN, ∵∠HAN=∠ONB, HN 1 ∴ = , AN 4 ∴HN=❑√2, ∴KN=HK=1, ∴H(−1,5), 设直线AM的解析式为y=kx+b, {−4k+b=0) ∴ , −k+b=5 5 { k= ) 3 解得 , 20 b= 3 5 20 ∴y= x+ , 3 3{ y= 5 x+ 20 ) 联立方程组 3 3 , y=−x2−3x+4 2 解得x=− 或x=−4(舍), 3 ( 2 50) ∴M − , ; 3 9 如图2,当M点在AN下方时,过点N作NG⊥AN交AM于点G,过点G作GW⊥y轴交于点W, ∵∠ANO=45°,∠ANG=90°, ∴∠WNG=45°, ∴NW =WG, 1 NG NG ∵tan∠NAM= = = , 4 AN 4❑√2 ∴NG=❑√2, ∴WG=WN=1, ∴G(1,3), 3 12 则直线AM的解析式为y= x+ , 5 5 { y= 3 x+ 12 ) 联立方程组 5 5 , y=−x2−3x+4 2 解得x= 或x=−4(舍), 5 (2 66) ∴M , ; 5 25( 2 50) (2 66) 综上所述:点M的坐标为 − , 或 , ; 3 9 5 25 (3)解:存在t的值使得OP与OQ的积为定值,理由如下: 设E(e,−e2−3e+4),F(f,−f2−3f +4), 设直线BE的解析式为y=k(x−1), 将点E代入y=k(x−1),得k=−e−4, ∴y=−(e+4)(x−1), 令x=0,则y=e+4, ∴P(0,e+4), ∴OP=e+4, 设直线BF的解析式为y=m(x−1), 点F代入y=m(x−1),得m=−f −4, ∴y=−(f +4)(x−1), 令x=0,则y=f +4, ∴Q(0,f +4), ∴OQ=−f −4, ∴OP⋅OQ=(e+4)(−f −4)=−ef −4e−4f −16, 设直线EF的解析式为y=k (x−t)−1, 1 {y=k x−k t−1) 联立方程组 1 1 , y=−x2−3x+4 ∴x2+(k +3)x−k t−5=0, 1 1 ∴e+f =−k −3,ef =−k t−5, 1 1 ∴OP⋅OQ=k t+4k +1=k (t+4)+1, 1 1 1 当t+4=0时,OP⋅OQ为定值, ∴t=−4,OP⋅OQ=1. 3 14.(22·23九年级下·福建漳州·期中)如图1,经过点C(0,−4)且对称轴为直线x=− 的抛物线是由抛物 2 线y=x2平移得到的,并与x轴分别交于A,B两点(点A在点B的左侧).(1)求抛物线的解析式,并直接写出点A,B的坐标; 1 (2)如图,在第三象限的抛物线上有一动点P,若满足tan∠PCA= ,求△PAC的面积; 4 25 (3)如图2,点D,E为抛物线对称轴上的两动点,其纵坐标的积为− ,直线BD与BE分别交抛物线于 4 点F,G,试确定直线FG是否经过定点?并说明理由. 【思路点拨】 ( 3) 2 (1)根据题意设抛物线解析式为:y= x+ + ℎ,代入C(0,−4),即可得抛物线解析式,令y=0,则 2 ( 3) 2 25 有 x+ − =0,解方程即可求得点A,B的坐标; 2 4 (2)连接OP,过A点作AG⊥BC于点G,过P点作PM⊥y轴于点M,作PN⊥x轴于点N,设点P坐 标为: ,且 ,即有: , ,即有: , (x,x2+3x−4) −42); (3)解:如图所示,在AG上取一点M,使得DM=DA, 则∠DAM=∠DMA, 设∠BAG=n,则∠DAM=∠DMA=2n, ∵DG∥x轴, ∴∠DGA=∠BAG=n, ∴∠MDG=∠DMA−∠DGA=n, ∴∠MDG=∠MGD, ∴MD=MG, ∵∠ODG=90°, ∴∠MDE=∠GDE−∠MDG=90°−n,∠MED=90°−∠MGD=90°−n, ∴∠MED=∠MDE, ∴MD=ME, 设AD=DM=ME=MG=5m,连接DB,延长AD到N使得DN=DB,连接MN,GN, ∵OA=OB,OD⊥AB,∴DA=DB, ∴∠DAB=∠DBA=3n, ∴∠ADB=180°−6n, ∵AB∥DG, ∴∠ADG+∠DAB=180°,∠NDG=∠DAB=3n, ∴∠ADG=180°−3n, ∴∠BDG=3n, ∴∠BDG=∠NDG, 又∵ND=BD,DG=DG, ∴△NDG≌△BDG(SAS), ∴GN=BG=❑√61m, ∵DA=DB=DN=DM, ∴∠DAM=∠DMA,∠DNM=∠DMN, ∵∠DAM+∠DMA+∠DNM+∠DMN=180°, ∴∠DMA+∠DMN=90°,即∠AMN=90°, ∴MN=❑√NG2−MG2=6m, ∴AM=❑√AN2−M N2=8m, 1 过点D作DH⊥AG于H,则AH=MH= AM=4m, 2 ∴DH=❑√DM2−H M2=3m, ∵GH=MH+MG=9m, DH 1 ∴tan∠DGH= = GH 3 OE 1 ∴tan∠OAE=tan∠DGH= = , OA 3 2 ∴OE= , 3 ( 2) ∴E 0, , 3 设直线AE解析式为y=kx+b′,{−2k+b′=0) ∴ 2 , b′= 3 1 { k= ) 3 ∴ , 2 b′= 3 1 2 ∴直线AE解析式为y= x+ , 3 3 7 { y= 1 x+ 2 ) { x= 3 ) {x=−2) 联立 3 3 ,解得 或 , 13 y=0 y=x2−4 y= 9 (7 13) ∴P , 3 9 16.(21·22下·哈尔滨·阶段练习)在平面直角坐标系中,点O为坐标原点,抛物线y=ax2+2ax−3a与x ( 3) 轴相交点B、C,与y轴相交于点A,点A的坐标为 0, ,点D为抛物线的顶点. 2 (1)如图1,求抛物线的顶点D的坐标; (2)如图2,P是第二象限内抛物线上一点,连接CP,过点D作DE⊥CP于点H,交x轴于点E,设点P 的横坐标为t,E的横坐标为m,求t与m的函数关系式; (3)如图3,在(2)的条件下,在DE的延长线上取一点G,连接CD、BG、CG,在CG上取点M, 连BM,若HG=CH,BG+BM=CM,2∠DCG+∠BMG=180°,求点P的坐标. 【思路点拨】 (1)待定系数法求解析式,进而化为顶点式即可求解; (2)过点D作DF⊥x轴于点F,过点P作PQ⊥x轴于点Q,先求得B(3,0),C(1,0),根据题意证明∠PCQ=∠EDF,根据正切的定义得出等式,即可求解; (3)先证明BG⊥CG,过点D作DN⊥CG于点N,连接BN,将△DNC绕点D顺时针旋转90°得到 1 △DKB,证明四边形KDNG是正方形,进而证明△BGN≌△CND,得出BG= GN,设∠CDN=α,得 2 1 出tanα= ,进而根据(2)∠PCQ=∠EDF =α,可得t=−2,即可求解. 2 【解题过程】 ( 3) (1)解:∵抛物线y=ax2+2ax−3a,与y轴相交于点A,点A的坐标为 0, , 2 3 ∴−3a= , 2 1 解得:a=− , 2 1 3 1 ∴y=− x2−x+ =− (x+1) 2+2, 2 2 2 ∴D(−1,2); (2)解:如图所示,过点D作DF⊥x轴于点F,过点P作PQ⊥x轴于点Q 1 3 ∵y=− x2−x+ , 2 2 1 3 当x=0时,− x2−x+ =0 2 2 即(x+3)(x−1)=0, 解得:x =−3,x =1, 1 2 ∴B(3,0),C(1,0), 设点P的横坐标为t,E的横坐标为m,∴P ( t,− 1 t2−t+ 3) ,EF=−1−m,DF=2,CQ=1−t,PQ=− 1 t2−t+ 3 2 2 2 2 ∵DE⊥CP,DF⊥x轴 ∴∠EDF+∠≝=∠DEC+∠PCQ, ∴∠PCQ=∠EDF ∴tan∠PCQ=tan∠EDF 1 3 − t2−t+ 即 2 2 −1−m = 1−t 2 ∴t=−m−4; (3)解:∵B(3,0),C(1,0),D(−1,2), ∴DB=DC=2❑√2,BC=4, ∴BC2=DC2+BD2 ∴△BCD是等腰直角三角形,∠BDC=90°, ∵HC=HG,PC⊥DG, ∴△HGC是等腰直角三角形, 如图所示,过点D作DT⊥DG交GC的延长线于点T, ∵BD⊥DC,GD⊥DT ∴∠BDG=∠CDT 又∵∠DGT=45° ∴△DGT是等腰直角三角形, ∴DG=DT 又∵DB=DC, ∴△DBG≌△DCT ∴∠DTC=∠DGB=45°, ∴∠BGC=∠BGD+∠DGC=90°如图所示,过点D作DN⊥CG于点N,连接BN, 将△DNC绕点D顺时针旋转90°得到△DKB, ∴∠K=∠KDN=∠DKG=90° 则四边形DKGK是矩形, 又∵DN=DK ∴四边形KDNG是正方形, 设∠CDN=α, ∵2∠DCG+∠BMG=180°, 1 则∠DCG+ ∠BMG=90°, 2 又∵∠DCG+∠CDN=90°, ∴∠BMG=2α, ∵∠BDN=90°−α, ∴∠DNB=∠GBN=90°−∠MNB=90°−α=∠NDC, ∴∠BND=∠BDN, ∴BD=BN, ∴BN=AC, ∴△BGN≌△CND, ∴BG=NC, ∵BG+BM=CM =CN+MN, ∴BM=MN, 1 ∴BG= GN, 2 ∴BG=NC=KB, 1 ∴tanα= , 2∵∠CDN+∠NDF=45°,∠EDF+∠NDF=45°, ∴∠EDF=∠CDN=α, 由(2)∠PCQ=∠EDF =α, ∵P ( t,− 1 t2−t+ 3) , 2 2 1 3 − t2−t+ ∴ 2 2 1, = 1−t 2 解得:t=−2, ( 3) ∴P −2, . 2 17.(2023·黑龙江哈尔滨·中考真题)在平面直角坐标系中,O为坐标原点,抛物线y=ax2+bx+6❑√3与x 轴交于点A(−6,0),B(8,0),与y轴交于点C. (1)求a,b的值; (2)如图①,E是第二象限抛物线上的一个动点,连接OE,CE,设点E的横坐标为t,△OCE的面积为 S,求S关于t的函数解析式(不要求写出自变量t的取值范围); (3)如图②,在(2)的条件下,当S=6❑√3时,连接BE交y轴于点R,点F在y轴负半轴上,连接BF, 点D在BF上,连接ED,点L在线段RB上(点L不与点B重合),过点L作BR的垂线与过点B且平行于 1 ED的直线交于点G,M为LG的延长线上一点,连接BM,EG,使∠GBM= ∠BEG,P是x轴上一点, 2 1 且在点B的右侧,∠PBM−∠GBM=∠FRB+ ∠DEG,过点M作MN⊥BG,交BG的延长线于点N, 2 1 点V在BG上,连接MV,使BL−NV = BV,若∠EBF=∠VMN,求直线BF的解析式. 2【思路点拨】 {36a−6b+6❑√3=0) (1)把点A(−6,0),B(8,0)代入抛物线解析式y=ax2+bx+6❑√3,得方程组 ,求 64a+8b+6❑√3=0 出a,b的值即可; ❑√3 ❑√3 (2)过点E作EW⊥y轴,垂足为W,由(1)知,抛物线的解析式是y=− x2+ x+6❑√3,得 8 4 OC=6❑√3,根据“E是第二象限抛物线上的一个动点,点E的横坐标为t”,得EW=−t,根据 1 S= OC⋅EW,代入整理即可得到S关于t的函数解析式; 2 (3)以BM为一边作∠MBT=∠MBN,∠MBT的另一边BT交LM的延长线于点T;作MK⊥BT,垂 足为K;作FS⊥BE,垂足为S;作EQ⊥x轴,垂足为Q;根据S=6❑√3和S=−3❑√3t,求出 1 1 E(−2,5❑√3),根据“ED∥BG,∠GBM= ∠BEG,∠PBM−∠GBM=∠FRB+ ∠DEG, 2 2 1 ∠RBO+∠EBT+∠TBP=180°”推理出∠EBT=60°,∠T=30°,得到BL= BT,结合 2 1 BL−NV = BV,推理出NV =KT,用AAS证△MNB≌△MKB,用HL证Rt△NMV≌Rt△KMT,推理 2 出∠EBF=60°,根据“B(8,0),E(−2,5❑√3)”,得出OB=8,EQ=5❑√3,QB=10,代入 EQ OR FS OB 8 2❑√3 tan∠EBQ= = ,求出OR,勾股定理算出BR,根据“tan∠FRB= = = = , BQ OB RS OR 4❑√3 3 FS tan∠FBS=tan60°=❑√3= ”,设FS=2❑√3m,则RS=3m,BS=2m,代入RS+BS=BR,算出m, BS 运用勾股定理计算 RF= ❑√ FS2+ ˉ SR ˉ 2,计算OF=RF−∨¿,结合点F在y轴负半轴上,得F ( 0,− 8❑√3) , 5 ( 8❑√3) 设直线BF的解析式为y=kx+c,把B(8,0),F 0,− 代入求出完整解析式即可. 5 【解题过程】(1)∵点A(−6,0),B(8,0)在抛物线y=ax2+bx+6❑√3上, {36a−6b+6❑√3=0) ∴ , 64a+8b+6❑√3=0 { a=− ❑√3 ) 8 解得: , ❑√3 b= 4 ❑√3 ❑√3 ∴a=− ,b= 8 4 ❑√3 ❑√3 (2)由(1)知,抛物线的解析式是y=− x2+ x+6❑√3, 8 4 ∵C是抛物线与y轴的交点, ∴x=0时,y=6❑√3, ∴C(0,6❑√3), ∴OC=6❑√3, 如下图,过点E作EW⊥y轴,垂足为W, ∵E是第二象限抛物线上一点,点E的横坐标为t, ∴EW =−t, 1 1 ∴S= OC⋅EW = ×6❑√3⋅(−t)=−3❑√3t 2 2 (3)如下图,以BM为一边作∠MBT=∠MBN,∠MBT的另一边BT交LM的延长线于点T;作 MK⊥BT,垂足为K;作FS⊥BE,垂足为S;作EQ⊥x轴,垂足为Q,∵S=6❑√3,由(2)知S=−3❑√3t, ∴−3❑√3t=6❑√3, ∴t=−2, ❑√3 ❑√3 ∴y=− ×(−2) 2+ ×(−2)+6❑√3=5❑√3, 8 4 ∴E(−2,5❑√3), ∵ED∥BG, ∴∠DEB=∠EBG, 1 ∵∠GBM= ∠BEG,即∠GEB=2∠GBM, 2 ∴∠GEB=∠GBT, ∴∠DEB+∠GEB=∠EBG+∠GBT, ∴∠DEG=∠EBT, 1 ∵∠PBM−∠GBM=∠FRB+ ∠DEG,∠PBM−∠GBM=∠PBM−∠MBT=∠TBP, 2 ∠ROB=90°, ∴∠FRB=90°−∠RBO, 1 ∴∠TBP=90°−∠RBO+ ∠EBT, 2 又∵∠RBO+∠EBT+∠TBP=180°, ∴∠EBT=60°, ∵LG⊥EB, ∴∠GLB=90°, ∴∠T=30°,1 ∴BL= BT, 2 ∵MK⊥BT,MN⊥BG, ∴∠MKT=∠MNB=∠MKB=90°, 在△MNB和△MKB中, {∠MNB=∠MKB ) ∠MBN=∠MBK , MB=MB ∴△MNB≌△MKB(AAS), ∴NB=BK,MN=MK, 1 ∵BL−NV = BV, 2 ∴2BL−2NV =BV, ∴BT−NV =BV +NV =BN=BK, ∴BT−BK=NV =KT, ∴Rt△NMV≌Rt△KMT(HL), ∴∠T=∠NVM=30°, ∴∠NMV =60°, ∵∠EBF=∠VMN, ∴∠EBF=60°, ∵FS⊥BE,EQ⊥x轴, ∴∠EQB=∠RSF=∠BSF=90°, ∵B(8,0), ∴OB=8, ∵E(−2,5❑√3), ∴EQ=5❑√3,QB=10, EQ OR ∵tan∠EBQ= = , BQ OB 5❑√3 OR ∴ = , 10 8 ∴∨=4❑√3, ∴BR=❑√OR2+OB2=4❑√7,FS OB 8 2❑√3 FS ∵tan∠FRB= = = = ,tan∠FBS=tan60°=❑√3= , RS OR 4❑√3 3 BS ∴设FS=2❑√3m,则RS=3m,BS=2m, ∵RS+BS=BR, ∴3m+2m=4❑√7, 4❑√7 ∴m= , 5 ∵RF= ❑√ FS2+ ˉ SR ˉ 2=❑√21m= 28❑√3 , 5 8❑√3 ∴OF=RF−∨= , 5 又∵点F在y轴负半轴上, ( 8❑√3) ∴F 0,− , 5 设直线BF的解析式为y=kx+c, ( 8❑√3) { c=− 8❑√3 ) 把B(8,0),F 0,− 代入,得: 5 , 5 8k+c=0 { k= ❑√3 ) 5 解得: , 8❑√3 c=− 5 ❑√3 8❑√3 ∴直线BF的解析式为y= x− . 5 5 18.(2022·黑龙江哈尔滨·三模)在平面直角坐标系中,点O为坐标原点,抛物线y=ax2−3ax+4交x轴 于A,B两点,交y轴于点C,OB=OC.(1)求抛物线的解析式; (2)如图1,点D在第二象限的抛物线上,连接BD交y轴于点E,设点D的横坐标为m,线段OE的长为 d,求d与m的函数解析式; (3)如图2,在(2)的条件下,点F在第一象限的抛物线上,点G在OB上,点H在OB的延长线上, 25 GH= ,连接BC,CH,FG,BC交FG于点K,CH交FG于点Q,∠CQF=45°,连接EK, 6 ∠BEK=2∠ABD,过点K作KR⊥BD,交x轴于点R,若OE+∨=BR,求点F的坐标. 【思路点拨】 (1)求出B点坐标,将B点代入函数解析式即可求a的值,从而确定具体的函数解析式即可; EO OB d 4 (2)过点D作DH⊥AB交于H,则△BOE∽△BHD,根据 = ,得到等式 = , DH BH −m2+3m+4 4−m 化简后可得d=4m+4; (3)设∠ABD=α,则∠BEK=2α,∠BEO=90°−α=∠CEK,过点B作BM⊥x轴交于B,交EK的 延长线于点M,得到△BEM是等腰三角形,过点E作EN⊥BM交于N,可得MN=BN=OE=4m+4, BM=8m+8,设KR⊥BD于I,证明△BKR≌△BKM(AAS),得到BR=BM=8m+8, ( 2 14) 4 8 ¿=OB−BR=−8m−4,再由OE+∨=BR,求出m的值,从而确定点D − , ,EO= ,BR= , 3 9 3 3 4 ¿= ,证明△CEK≌△BRK(ASA),可得CK=BK,所以点K为等腰直角三角形BOC的斜边中点,能求 3 4❑√10 1 2❑√10 K(2,2),证明△CEK≌△BMK,求出BE= =EM,EK=MK= EM= ,过点G作 3 2 3 GW⊥BK交于W,则△BWG为等腰直角三角形,设GW =BW =❑√2a,则BG=2a,则GW a 25 49−12a KW =2❑√2−❑√2a,tan∠BKG= = ,BH= −2a,OH=OB+BH= ,得到 KW 2−a 6 6 24 a 24 3 (5 ) ∠BKG=∠CHG,由tan∠CHO= ,得到方程 = ,求出a= ,确定点G ,0 , 49−12a 2−a 49−12a 4 2 用待定系数法求出直线 的解析式为 ,联立方程组{ y=−4x+10 ),即可求 . KG y=−4x+10 F(1,6) y=−x2+3x+4 【解题过程】 (1)当x=0时,y=4, ∴C(0,4), ∵OB=OC, ∴B(4,0), 将B点代入y=ax2−3ax+4, ∴16a−12a+4=0, 解得a=−1, ∴抛物线的解析式为y=−x2+3x+4; (2)∵点D的横坐标为m, ∴D(m,−m2+3m+4), 如图1,过点D作DH⊥AB交于H, ∴△BOE∽△BHD, EO OB ∴ = , DH BHd 4 = ∴ , −m2+3m+4 4−m 解得d=4m+4; (3)设∠ABD=α,则∠BEK=2α, ∴∠BEO=90°−α,∠CEK=90°+α−2α=90°−α=∠BEO, 如图2,过点B作BM⊥x轴交于B,交EK的延长线于点M, ∵BM∥CE, ∴∠EBO=∠OEB,∠M=∠CEM, ∴∠EMB=∠EBM, ∴△BEM是等腰三角形, ∴BE=EM, 过点E作EN⊥BM交于N, ∴MN=BN=OE=4m+4, ∴BM=8m+8, 设KR⊥BD于I, ∴∠EOB+∠EIR=180°, ∴四边形EORI对角互补,∠KRB=∠BEO=90°−α=∠M, ∵BK=BK,∠RBK=∠MBK=45°, ∴△BKR≌△BKM(AAS), ∴BR=BM=8m+8, ∴∨=OB−BR=4−8m−8=−8m−4, ∵OE+∨=BR, ∴4m+4−8m−4=8m+8,2 解得m=− , 3 ( 2 19) ∴D − , , 3 4 4 8 4 ∴EO=4m+4= ,BR= ,¿=−8m−4= , 3 3 3 ∴∨=OE, ∴CE=BR, OE 1 在Rt△BOE中,tan∠OBE= = , OB 3 在△CEK和△BRK中,∠CEK=∠BRK=90°−α,∠BCE=∠RBK=45°,CE=BR, ∴△CEK≌△BRK(ASA), ∴CK=BK, ∴点K为等腰直角三角形BOC的斜边中点, 1 ∴BK=CK= BC=2❑√2, 2 ∴K(2,2), ∵BR=BM=CE, 又∵∠RBK=∠MBK, ∴△CEK≌△BMK, 1 ∴EK=MK= EM, 2 4❑√10 在Rt△BOE中,BE= =EM, 3 1 2❑√10 ∴EK=MK= EM= , 2 3 过点G作GW⊥BK交于W,则△BWG为等腰直角三角形, 设GW =BW =❑√2a,则BG=2a, ∴KW =BK−BW =2❑√2−❑√2a, GW a tan∠BKG= = , KW 2−a 25 25 49−12a BH=GH−GB= −2a,OH=OB+BH=4+ −2a= , 6 6 6 ∵∠CQF=∠GQH=45°=∠CBO,在△BGK和△QGH中,∠BKG=∠CHG, CO 24 在Rt△COH中,tan∠CHO= = , HO 49−12a a 24 ∴ = , 2−a 49−12a 16 3 解得a= (舍)或a= , 3 4 3 ∴BG=2a= , 2 3 5 ∴GO=4− = , 2 2 (5 ) ∴G ,0 , 2 设直线KG的解析式为y=kx+b, {2k+b=2 ) ∴ 5 , k+b=0 2 {k=−4) 解得 , b=10 ∴直线KG的解析式为y=−4x+10, { y=−4x+10 ) 联立方程组 , y=−x2+3x+4 解得x=1或x=6(舍), ∴F(1,6). 4 8 19.(22·23九年级下·重庆沙坪坝·期中)如图,在平面直角坐标系中,抛物线y=− x2− x+4与x轴交 3 3 于点A、点B(点A在点B的左侧),与y轴交于点C,连接AC.(1)求线段AC的长度; (2)如图1,点P为直线AC上方抛物线上一动点,过点B作BD∥AC交y轴于点D,连接PD交AC于点 E,连接BP,求△PBE面积的最大值及此时点P的坐标; (3)如图2,在(2)的条件下,点Q与点P关于原抛物线对称,将原抛物线沿着射线AQ方向平移❑√5个 13 单位,得到新抛物线y′,M为直线l:y=x+ 与y轴的交点,N为直线l上一点,将直线l绕着点N逆时针 3 旋转30°得到直线l′,交新抛物线于点G,点H为平面直角坐标系内任意一点,直接写出所有使得四边形 MNGH为菱形的点G的横坐标. 【思路点拨】 (1)分别令x=0,y=0,解方程即可求得:A(−3,0),B(1,0),C(0,4),再运用勾股定理即可求得AC; (2)过点P作PL∥y轴,交直线AC于点K,交直线BD于点L,作PH⊥BD于点H,交AC于点T,利 4 4 4 用待定系数法可得直线AC的解析式为y= x+4,直线BD的解析式为y= x− ,设 3 3 3 P ( t,− 4 t2− 8 t+4 ) ,则K ( t, 4 t+4 ) ,L ( t, 4 t− 4) ,利用△PKT∽△ACO,可得PT=− 4 t2− 12 t, 3 3 3 3 3 5 5 2( 3) 2 3 再由S =S −S =− t+ + ,利用二次函数性质即可求得答案; △PBE △PBD △EBD 3 2 2 4 16 (3)将原抛物线沿着射线AQ方向平移❑√5个单位,得到新抛物线y′,即将原抛物线y=− (x+1) 2+ 向 3 3 4 22 右平移1个单位,再向上平移2个单位得到新抛物线y′:y′=− x2+ ,根据当MG为菱形MNGH的对 3 313 ❑√3 13 角线时,画出相应的图象,利用待定系数法求得直线MG的解析式为y=❑√3x+ 或y=− x+ ,分 3 3 3 别与抛物线解析式联立即可求得答案. 【解题过程】 4 8 (1)∵抛物线y=− x2− x+4与x轴交于点A、点B(点A在点B的左侧),与y轴交于点C, 3 3 令x=0,得y=4, 4 8 令y=0,得− x2− x+4=0, 3 3 解得:x =−3,x =1, 1 2 ∴A(−3,0),B(1,0),C(0,4), ∴OA=3,OC=4, 在Rt△ACO中,AC=❑√OA2+OC2=❑√32+42=5; (2)如图1,过点P作PL∥y轴,交直线AC于点K,交直线BD于点L,作PH⊥BD于点H,交AC于 点T, {−3k+b=0) 设直线AC的解析式为y=kx+b,则 , b=4 { k= 4 ) 解得: 3 , b=4 4 ∴直线AC的解析式为y= x+4, 3 ∵BD∥AC, 4 4 ∴设直线BD的解析式为y= x+d,把B(1,0)代入,得 +d=0, 3 34 解得:d=− , 3 4 4 ∴直线BD的解析式为y= x− , 3 3 4 令x=0,得y=− , 3 ( 4) ∴D 0,− , 3 在Rt△BOD中,BD=❑√OB2+OD2=❑ √ 12+ (4) 2 = 5 , 3 3 设P ( t,− 4 t2− 8 t+4 ) ,则K ( t, 4 t+4 ) , 3 3 3 ∴PK=− 4 t2− 8 t+4− (4 t+4 ) =− 4 t2−4t, 3 3 3 3 ∵PL∥y轴, ∴∠PKT=∠ACO, ∵∠PTK=∠AOC=90°, ∴△PKT∽△ACO, 4 PT PK − t2−4t ∴ = ,即PT 3 , OA AC = 3 5 4 12 ∴PT=− t2− t, 5 5 ∴S =S −S △PBE △PBD △EBD 1 1 = BD⋅PH− BD⋅TH 2 2 1 = BD⋅(PH−TH) 2 1 = BD⋅PT 2 = 1 × 5( − 4 t2− 12 t ) 2 3 5 5 2( 3) 2 3 =− t+ + , 3 2 22 ∵− <0, 3 3 3 ( 3 ) ∴当t=− 时,S 取得最大值 ,此时点P的坐标为 − ,5 ; 2 △PBE 2 2 4 8 4 16 (3)∵y=− x2− x+4=− (x+1) 2+ , 3 3 3 3 ( 16) ∴抛物线的对称轴为直线x=−1,顶点为 −1, , 3 ( 3 ) ∵点Q与点P − ,5 ,关于直线x=−1对称, 2 ( 1 ) ∴Q − ,5 , 2 {−3k′+b′=0) 设直线AQ的解析式为y=k′x+b′,则 1 , − k′+b′=5 2 {k′=2) 解得: , b′=6 ∴直线AQ的解析式为y=2x+6, ∵将原抛物线沿着射线AQ方向平移❑√5个单位,得到新抛物线y′, 4 16 ∴即将原抛物线y=− (x+1) 2+ 向右平移1个单位,再向上平移2个单位得到新抛物线y′, 3 3 4 22 ∴新抛物线为y′=− x2+ , 3 3 13 ∵M为直线l:y=x+ 与y轴的交点, 3 ( 13) ∴M 0, , 3 ( 13) 设N n,n+ ,将直线l绕着点N逆时针旋转30°得到直线l′, 3 则∠GNT=30°, 当MG为菱形MNGH的对角线时,如图2、图3,设直线l交x轴于点L,直线MG交x轴于点K, 13 则MN=NG,OM=OL= , 3 ∴∠OCL=45°,∴∠GMN=∠MGN=15°, ∴∠LCK=∠GCN=15°, ∴∠KCO=∠OCL−∠LCK=45°−15°=30°, 13 13❑√3 ∴OK=OM⋅tan∠KCO= tan30°= , 3 9 ( 13❑√3 ) ∴K − ,0 , 9 { − 13❑√3 k″+b″=0) 9 设直线MG的解析式为y=k″x+b″,则 , 13 b″= 3 {k″=❑√3) 解得: 13 , b″= 3 13 ∴直线MG的解析式为y=❑√3x+ , 3 4 22 13 联立方程组,得,− x2+ =❑√3x+ , 3 3 3 3❑√3+3❑√19 3❑√19−3❑√3 解得:x =− ,x = , 1 8 2 8 当MG为菱形MNGH的对角线时,如图4、图5,设直线l交x轴于点L,直线MG交x轴于点K, 则MN=NG,NG//MH,∴∠HMN=180°−30°=150°, 1 ∴∠NMG= ∠HMN=75°, 2 ∴∠GMO=∠NMG+∠LMO=75°+45°=120°, ∴∠AMO=60°, 13 13❑√3 ∴OA=OM⋅tan∠AMO= tan60°= , 3 3 13❑√3 ∴K( ,0), 3 ❑√3 13 同理可得直线MG的解析式为y=− x+ , 3 3 4 22 ❑√3 13 联立方程组,得,− x2+ =− x+ , 3 3 3 3 3❑√3 解得:x =− ,x =❑√3, 1 4 2 3❑√3+3❑√19 3❑√19−3❑√3 3❑√3 综上所述,点G的横坐标为− 或 或− 或❑√3. 8 8 4 20.(22·23九年级下·江苏淮安·期中)如图,已知抛物线y=ax2+bx−5经过B(−5,0),C(−1,0)两点, 与y轴的交点H.(1)求该抛物线的表达式; 2❑√3 (2)点A在第二象限的抛物线上,且∠ACB=30°,点F从点C出发,在线段CA上以每秒 个单位长 3 度的速度向点A运动,同时点E从点B出发以每秒1个单位长度的速度向点C运动,当其中一个点到达终点 时,另外一个点也停止运动,设运动时间为t秒,求运动时间为多少时,△CEF的面积最大,并求出最大 面积和点E坐标; (3)在(2)的条件下,将△CEF绕平面内一点P顺时针旋转60°得到△C′E′F′,使得点C′落在直线GC ❑√3 ❑√3 上,已知直线GC的关系式为y= x+ . 3 3 ①连接BF,EE′,EE′所在直线与直线GC交于点Q,若∠FBC+EQC=45°,求点E′的横坐标. ②若点M坐标为(0,−2❑√3),连接MP,PE′,则MP+PE′的最小值为 . 【思路点拨】 (1)运用待定系数法即可求得抛物线解析式; 2❑√3 (2)过点F作FK⊥x轴于点K,由题意得:CF= t,BE=t,∠ACB=30°,进而可得 3 1 ❑√3 1 ❑√3 2❑√3 EC=BC−BE=4−t,FK= CF= t,由S = EC⋅FK=− (t−2) 2+ ,利用二次函数 2 3 △CEF 2 6 3 性质即可求得答案; 4❑√3 2❑√3 (3)①当t=2时,CE=2,CF= ,E(−3,0),F(−3, ),可证得FE⊥CE,由旋转可得点P 3 3 在直线AC上,分两种情况:当点P在AC的延长线上时,当点P在射线CA上时,利用解直角三角形分别 求得点E′的横坐标即可;②点E′是直线BF上的动点,点P是直线AC上的动点,当点M、P、E′三点在同 一条直线上时,MP+PE′=M E′,且M E′⊥BF时,M E′最小,过点M作MW⊥BF于点W,设BF交 ❑√3 5❑√3 5❑√3 y轴于点K,根据直线BF的解析式为y= x+ ,可得K(0, ),即 3 3 35❑√3 11❑√3 MK= −(−2❑√3)= ,再运用解直角三角形即可求得答案. 3 3 【解题过程】 (1)解:∵抛物线y=ax2+bx−5经过B(−5,0),C(−1,0)两点, {25a−5b−5=0) ∴ , a−b−5=0 {a=−1) 解得: , b=−6 ∴该抛物线的表达式为y=−x2−6x−5; (2)解:如图,过点F作FK⊥x轴于点K,则∠FKC=90°, ∵B(−5,0),C(−1,0), ∴BC=4, 2❑√3 由题意得:CF= t,BE=t,∠ACB=30°, 3 1 ❑√3 ∴EC=BC−BE=4−t,FK= CF= t, 2 3 1 1 ❑√3 ❑√3 2❑√3 ∴S = EC⋅FK= (4−t)× t=− (t−2) 2+ , △CEF 2 2 3 6 3 ❑√3 ∵− <0, 6 2❑√3 ∴当t=2时,S 取得最大值 ,此时点E的坐标为(−3,0); △CEF 3 4❑√3 2❑√3 (3)解:①当t=2时,CE=2,CF= ,E(−3,0),F(−3, ), 3 3 ∴FE⊥CE, ∵将△CEF绕平面内一点P顺时针旋转60°得到△C′E′F′,使得点C′落在直线GC上,如图, ∴点P在直线AC上,当点P在AC的延长线上时,设AC交y轴于点K,如图, 1 2❑√3 ∠FPF′=60°,PF′=PF,E′F′=EF= CF= , 2 3 ∴△PFF′是等边三角形, ∴∠PFF′=∠PF′F=60°, ∵∠KCO=∠ACB=30°, ∴∠CKO=60°=∠FPF′, ∴PF′∥y轴, ❑√3 ❑√3 ❑√3 ❑√3 ❑√3 5❑√3 设P(m,− m− ),则C′ (m, m+ ),F′ (m, m+ ), 3 3 3 3 3 3 ∵∠FCE=30°,∠CEF=90°, ∴∠EFC=60°, ∴∠E′F′C′=∠EFC=60°, ∵BE=2=CE,EF=EF,∠FEB=∠FEC=90°, ∴△BFE≌△CFE(SAS), ∴∠FBE=∠FCE=30°, ∴∠BFC=120°, ∴∠BFC+∠PFF′=180°, ∴B、F、F′、E′在同一条直线上, 2❑√3 1 ❑√3 过点E′作E′S⊥PF′于点S,则F′S=E′F′ ⋅cos60°= × = , 3 2 32❑√3 ❑√3 E′S=E′F′ ⋅sin60°= × =1, 3 2 ❑√3 4❑√3 ∴E′ (m−1, m+ ), 3 3 2❑√3 ❑√3 5❑√3 由B(−5,0),F(−3, ),可得直线BF的解析式为y= x+ , 3 3 3 2❑√3 ❑√3 ❑√3 由C(−3,0),F(−3, ),可得直线AC的解析式为y=− x− , 3 3 3 ∴BF∥GC, ∴∠BE′E=∠EQC, ∵∠FBC+∠EQC=45°, ∴∠FBC+∠BE′E=45°, ∴∠E′EO=45°, 过点E′作E′R⊥x轴于点R,则R(m−1,0), ❑√3 4❑√3 ∴ER=m+2,E′R= m+ , 3 3 E′R ∵ =tan45°=1, ER ∴E′R=ER, ❑√3 4❑√3 即 m+ =m+2, 3 3 解得:m=❑√3−1, ∴m−1=❑√3−2, 即点E′的横坐标为❑√3−2; 当点P在射线CA上时,如图,由上得:PF′∥y轴, ❑√3 ❑√3 ❑√3 ❑√3 ❑√3 5❑√3 设P(m,− m− ),则C′ (m, m+ ),F′ (m, m+ ), 3 3 3 3 3 3 过点E′作E′S⊥PF′于点S,过点Q作QT⊥x轴于点T, 2❑√3 1 ❑√3 2❑√3 ❑√3 则F′S=E′F′ ⋅cos60°= × = ,E′S=E′F′ ⋅sin60°= × =1, 3 2 3 3 2 ❑√3 4❑√3 ∴E′ (m−1, m+ ), 3 3 ∵∠FBC+∠EQC=45°, ∴∠EQC=45°−∠FBC=45°−30°=15°, ∵∠EQC+∠QEC=∠QCT=30°, ∴∠QEC=15°=∠EQC, ∴CQ=CE=2, 1 ❑√3 ∴QT= CQ=1,CT=CQ⋅cos30°=2× =❑√3, 2 2 ∴OT=❑√3−1, ∴Q(❑√3−1,1), { −3k+d=0 ) 设直线EQ的解析式为y=kx+d,把E(−3,0),Q(❑√3−1,1)代入得: , (❑√3−1)k+d=1 { k=2−❑√3 ) 解得: , d=6−3❑√3 ∴直线EQ的解析式为y=(2−❑√3)x+6−3❑√3,❑√3 4❑√3 ∵直线EQ经过点E′(m−1, m+ ), 3 3 ❑√3 4❑√3 ∴ m+ =(2−❑√3)(m−1)+6−3❑√3, 3 3 解得:m=−4−2❑√3, ∴m−1=−5−2❑√3, 即点E′的横坐标为−5−2❑√3; 综上所述,点E′的横坐标为❑√3−2或−5−2❑√3. ②如图,点E′是直线BF上的动点,点P是直线AC上的动点,当点M、P、E′三点在同一条直线上时, MP+PE′=M E′,且M E′⊥BF时,M E′最小, 过点M作MW⊥BF于点W,设BF交y轴于点K, ❑√3 5❑√3 ∵直线BF的解析式为y= x+ , 3 3 5❑√3 ∴K(0, ), 3 ∵M坐标为(0,−2❑√3), 5❑√3 11❑√3 ∴MK= −(−2❑√3)= , 3 3 ∵∠MKW=60°,∠MWK=90°, 11❑√3 11❑√3 ❑√3 11 ∴MW =MK⋅sin∠MKW = sin60°= × = , 3 3 2 2 11 即MP+PE′的最小值为 , 211 故答案为: . 2