当前位置:首页>文档>专题13数列的通项与数列的求和(讲)解析版_02高考数学_新高考复习资料_2023年新高考资料_二轮复习_备战2023年高考数学二轮复习核心考点精讲精练(新教材·新高考)287235765

专题13数列的通项与数列的求和(讲)解析版_02高考数学_新高考复习资料_2023年新高考资料_二轮复习_备战2023年高考数学二轮复习核心考点精讲精练(新教材·新高考)287235765

  • 2026-04-12 02:22:59 2026-04-12 00:37:28

文档预览

专题13数列的通项与数列的求和(讲)解析版_02高考数学_新高考复习资料_2023年新高考资料_二轮复习_备战2023年高考数学二轮复习核心考点精讲精练(新教材·新高考)287235765
专题13数列的通项与数列的求和(讲)解析版_02高考数学_新高考复习资料_2023年新高考资料_二轮复习_备战2023年高考数学二轮复习核心考点精讲精练(新教材·新高考)287235765
专题13数列的通项与数列的求和(讲)解析版_02高考数学_新高考复习资料_2023年新高考资料_二轮复习_备战2023年高考数学二轮复习核心考点精讲精练(新教材·新高考)287235765
专题13数列的通项与数列的求和(讲)解析版_02高考数学_新高考复习资料_2023年新高考资料_二轮复习_备战2023年高考数学二轮复习核心考点精讲精练(新教材·新高考)287235765
专题13数列的通项与数列的求和(讲)解析版_02高考数学_新高考复习资料_2023年新高考资料_二轮复习_备战2023年高考数学二轮复习核心考点精讲精练(新教材·新高考)287235765
专题13数列的通项与数列的求和(讲)解析版_02高考数学_新高考复习资料_2023年新高考资料_二轮复习_备战2023年高考数学二轮复习核心考点精讲精练(新教材·新高考)287235765
专题13数列的通项与数列的求和(讲)解析版_02高考数学_新高考复习资料_2023年新高考资料_二轮复习_备战2023年高考数学二轮复习核心考点精讲精练(新教材·新高考)287235765
专题13数列的通项与数列的求和(讲)解析版_02高考数学_新高考复习资料_2023年新高考资料_二轮复习_备战2023年高考数学二轮复习核心考点精讲精练(新教材·新高考)287235765
专题13数列的通项与数列的求和(讲)解析版_02高考数学_新高考复习资料_2023年新高考资料_二轮复习_备战2023年高考数学二轮复习核心考点精讲精练(新教材·新高考)287235765
专题13数列的通项与数列的求和(讲)解析版_02高考数学_新高考复习资料_2023年新高考资料_二轮复习_备战2023年高考数学二轮复习核心考点精讲精练(新教材·新高考)287235765
专题13数列的通项与数列的求和(讲)解析版_02高考数学_新高考复习资料_2023年新高考资料_二轮复习_备战2023年高考数学二轮复习核心考点精讲精练(新教材·新高考)287235765
专题13数列的通项与数列的求和(讲)解析版_02高考数学_新高考复习资料_2023年新高考资料_二轮复习_备战2023年高考数学二轮复习核心考点精讲精练(新教材·新高考)287235765
专题13数列的通项与数列的求和(讲)解析版_02高考数学_新高考复习资料_2023年新高考资料_二轮复习_备战2023年高考数学二轮复习核心考点精讲精练(新教材·新高考)287235765
专题13数列的通项与数列的求和(讲)解析版_02高考数学_新高考复习资料_2023年新高考资料_二轮复习_备战2023年高考数学二轮复习核心考点精讲精练(新教材·新高考)287235765
专题13数列的通项与数列的求和(讲)解析版_02高考数学_新高考复习资料_2023年新高考资料_二轮复习_备战2023年高考数学二轮复习核心考点精讲精练(新教材·新高考)287235765
专题13数列的通项与数列的求和(讲)解析版_02高考数学_新高考复习资料_2023年新高考资料_二轮复习_备战2023年高考数学二轮复习核心考点精讲精练(新教材·新高考)287235765
专题13数列的通项与数列的求和(讲)解析版_02高考数学_新高考复习资料_2023年新高考资料_二轮复习_备战2023年高考数学二轮复习核心考点精讲精练(新教材·新高考)287235765
专题13数列的通项与数列的求和(讲)解析版_02高考数学_新高考复习资料_2023年新高考资料_二轮复习_备战2023年高考数学二轮复习核心考点精讲精练(新教材·新高考)287235765
专题13数列的通项与数列的求和(讲)解析版_02高考数学_新高考复习资料_2023年新高考资料_二轮复习_备战2023年高考数学二轮复习核心考点精讲精练(新教材·新高考)287235765
专题13数列的通项与数列的求和(讲)解析版_02高考数学_新高考复习资料_2023年新高考资料_二轮复习_备战2023年高考数学二轮复习核心考点精讲精练(新教材·新高考)287235765
专题13数列的通项与数列的求和(讲)解析版_02高考数学_新高考复习资料_2023年新高考资料_二轮复习_备战2023年高考数学二轮复习核心考点精讲精练(新教材·新高考)287235765
专题13数列的通项与数列的求和(讲)解析版_02高考数学_新高考复习资料_2023年新高考资料_二轮复习_备战2023年高考数学二轮复习核心考点精讲精练(新教材·新高考)287235765
专题13数列的通项与数列的求和(讲)解析版_02高考数学_新高考复习资料_2023年新高考资料_二轮复习_备战2023年高考数学二轮复习核心考点精讲精练(新教材·新高考)287235765
专题13数列的通项与数列的求和(讲)解析版_02高考数学_新高考复习资料_2023年新高考资料_二轮复习_备战2023年高考数学二轮复习核心考点精讲精练(新教材·新高考)287235765
专题13数列的通项与数列的求和(讲)解析版_02高考数学_新高考复习资料_2023年新高考资料_二轮复习_备战2023年高考数学二轮复习核心考点精讲精练(新教材·新高考)287235765
专题13数列的通项与数列的求和(讲)解析版_02高考数学_新高考复习资料_2023年新高考资料_二轮复习_备战2023年高考数学二轮复习核心考点精讲精练(新教材·新高考)287235765
专题13数列的通项与数列的求和(讲)解析版_02高考数学_新高考复习资料_2023年新高考资料_二轮复习_备战2023年高考数学二轮复习核心考点精讲精练(新教材·新高考)287235765
专题13数列的通项与数列的求和(讲)解析版_02高考数学_新高考复习资料_2023年新高考资料_二轮复习_备战2023年高考数学二轮复习核心考点精讲精练(新教材·新高考)287235765
专题13数列的通项与数列的求和(讲)解析版_02高考数学_新高考复习资料_2023年新高考资料_二轮复习_备战2023年高考数学二轮复习核心考点精讲精练(新教材·新高考)287235765
专题13数列的通项与数列的求和(讲)解析版_02高考数学_新高考复习资料_2023年新高考资料_二轮复习_备战2023年高考数学二轮复习核心考点精讲精练(新教材·新高考)287235765
专题13数列的通项与数列的求和(讲)解析版_02高考数学_新高考复习资料_2023年新高考资料_二轮复习_备战2023年高考数学二轮复习核心考点精讲精练(新教材·新高考)287235765
专题13数列的通项与数列的求和(讲)解析版_02高考数学_新高考复习资料_2023年新高考资料_二轮复习_备战2023年高考数学二轮复习核心考点精讲精练(新教材·新高考)287235765
专题13数列的通项与数列的求和(讲)解析版_02高考数学_新高考复习资料_2023年新高考资料_二轮复习_备战2023年高考数学二轮复习核心考点精讲精练(新教材·新高考)287235765
专题13数列的通项与数列的求和(讲)解析版_02高考数学_新高考复习资料_2023年新高考资料_二轮复习_备战2023年高考数学二轮复习核心考点精讲精练(新教材·新高考)287235765
专题13数列的通项与数列的求和(讲)解析版_02高考数学_新高考复习资料_2023年新高考资料_二轮复习_备战2023年高考数学二轮复习核心考点精讲精练(新教材·新高考)287235765
专题13数列的通项与数列的求和(讲)解析版_02高考数学_新高考复习资料_2023年新高考资料_二轮复习_备战2023年高考数学二轮复习核心考点精讲精练(新教材·新高考)287235765
专题13数列的通项与数列的求和(讲)解析版_02高考数学_新高考复习资料_2023年新高考资料_二轮复习_备战2023年高考数学二轮复习核心考点精讲精练(新教材·新高考)287235765
专题13数列的通项与数列的求和(讲)解析版_02高考数学_新高考复习资料_2023年新高考资料_二轮复习_备战2023年高考数学二轮复习核心考点精讲精练(新教材·新高考)287235765
专题13数列的通项与数列的求和(讲)解析版_02高考数学_新高考复习资料_2023年新高考资料_二轮复习_备战2023年高考数学二轮复习核心考点精讲精练(新教材·新高考)287235765

文档信息

文档格式
docx
文档大小
1.630 MB
文档页数
39 页
上传时间
2026-04-12 00:37:28

文档内容

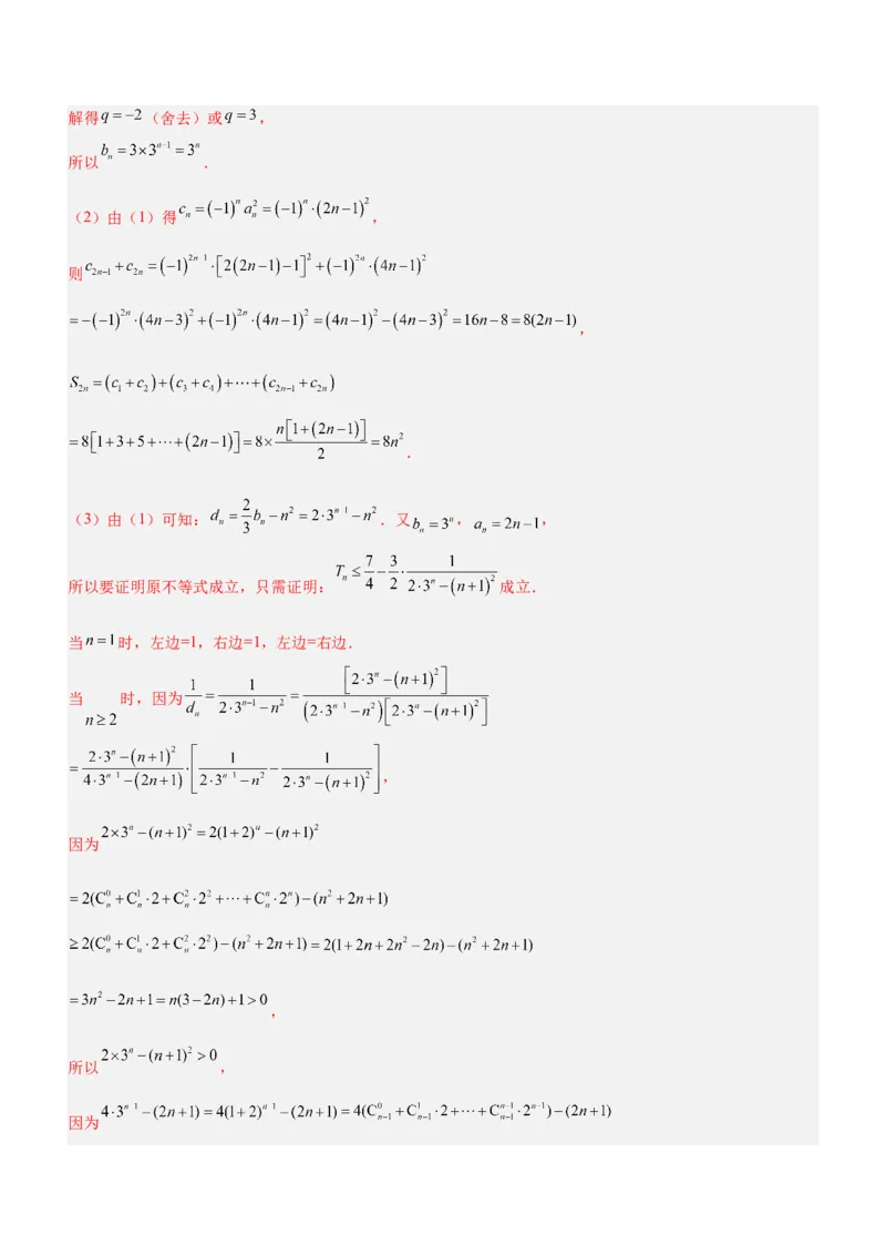
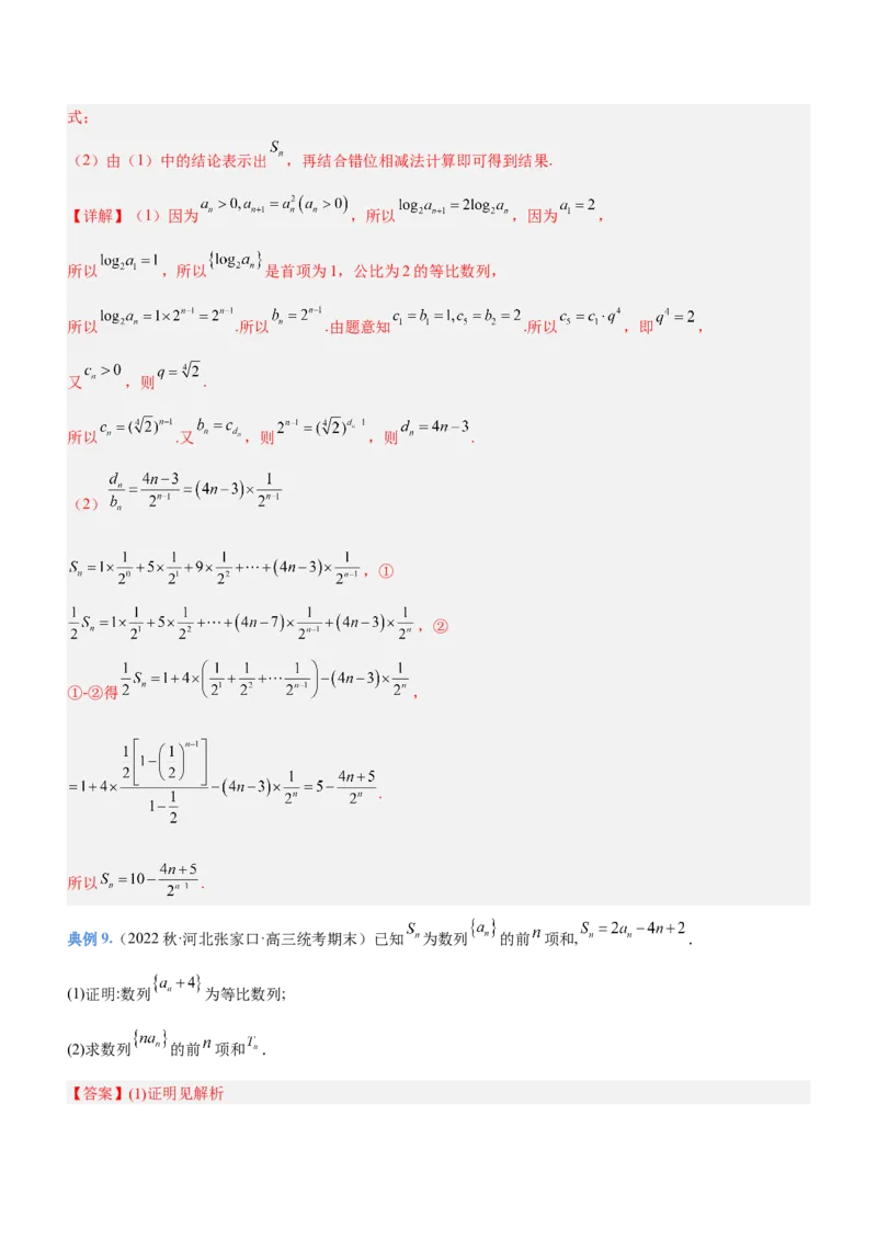
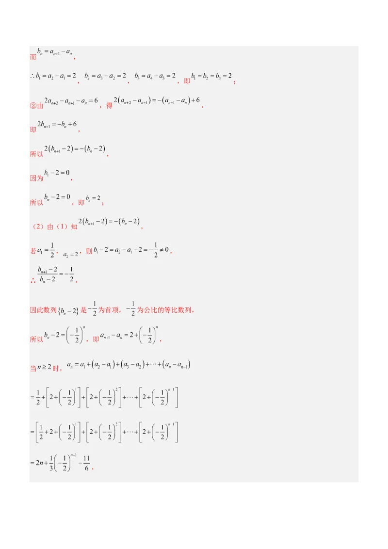
第一篇 热点、难点突破篇 专题13 数列的通项与数列的求和(讲) 真题体验 感悟高考 1.(2022·浙江·统考高考真题)已知数列 满足 ,则( ) A. B. C. D. 【答案】B 【分析】先通过递推关系式确定 除去 ,其他项都在 范围内,再利用递推公式变形得到 ,累加可求出 ,得出 ,再利用 ,累加可求出 ,再次放缩可得出 . 【详解】∵ ,易得 ,依次类推可得 由题意, ,即 , ∴ , 即 , , ,…, , 累加可得 ,即 , ∴ ,即 , ,又 , ∴ , , ,…, , 累加可得 , ∴ , 即 ,∴ ,即 ; 综上: . 故选:B. 2.(2022·全国·统考高考真题)嫦娥二号卫星在完成探月任务后,继续进行深空探测,成为我国第一颗环绕 太阳飞行的人造行星,为研究嫦娥二号绕日周期与地球绕日周期的比值,用到数列 : , , ,…,依此类推,其中 .则( ) A. B. C. D. 【答案】D 【分析】根据 ,再利用数列 与 的关系判断 中各项的大小,即可求解. 【详解】[方法一]:常规解法 因为 ,所以 , ,得到 , 同理 ,可得 , 又因为 , 故 , ; 以此类推,可得 , ,故A错误; ,故B错误; ,得 ,故C错误; ,得 ,故D正确. [方法二]:特值法 不妨设 则 故D正确. 3.(2022·全国·统考高考真题)记 为数列 的前n项和,已知 是公差为 的等差数列. (1)求 的通项公式; (2)证明: .【答案】(1) (2)见解析 【分析】(1)利用等差数列的通项公式求得 ,得到 ,利用和与项的关系 得到当 时, ,进而得: ,利用累乘法求得 ,检 验对于 也成立,得到 的通项公式 ; (2)由(1)的结论,利用裂项求和法得到 ,进而证得. 【详解】(1)∵ ,∴ ,∴ , 又∵ 是公差为 的等差数列, ∴ ,∴ , ∴当 时, , ∴ , 整理得: , 即 , ∴, 显然对于 也成立, ∴ 的通项公式 ; (2) ∴ 总结规律 预测考向 (一)规律与预测 1. 等差(等比)数列的定义、通项公式及求和公式是高考的基础考点与高频考点.以小题居多,属于容易题. 2. 数列求和方法中的公式法、错位相减法、裂项相消法及分组求和法是高考的高频考点,以小题或解答题形 式出现,难易程度有些起伏,从趋势看,与不等式等相结合,其难度有所增大,总体属于中档题.涉及数列的 通项、递推与不等式相结合的客观题有所增加. (二)本专题考向展示 考点突破 典例分析 考向一 分组转化法求和 【核心知识】 1.等差数列的求和公式: ; 2.等比数列的求和公式: 【典例分析】典例1.(2023秋·黑龙江牡丹江·高三牡丹江市第三高级中学校考阶段练习)已知各项均不相等的等差数列 的前4项和为10,且 是等比数列 的前3项. (1)求 ; (2)设 ,求 的前n项和 . 【答案】(1) , (2) 【分析】(1)利用等差数列的通项公式与等比中项公式求得基本量 ,从而利用公式法依次求得 ; (2)结合(1)中结论,利用分组求和法与裂项相消法即可得解. 【详解】(1)设等差数列 的公差为 ,前 项和为 ,则 , 因为 ,则 ,即 , 又因为 成等比数列,所以 ,即 ,整理得 , 又因为 ,所以 , 联立 ,解得 , 所以 , 又 , , 是等比数列, 所以 ,则 . (2)由(1)得 ,所以 , 所以数列 的前n项和 . 典例2.(2022秋·北京·高三统考阶段练习)已知数列 满足 , . (1)若 , , ①求 , , ; ②求数列 的通项公式; (2)若 , ,求数列 的通项公式. 【答案】(1)① ;② (2) 【分析】(1)由已知条件取n的值代入计算可得 ,然后利用递推关系,验证 ,即为数列 的通项公式; (2)由(1)可证数列 是 为首项, 为公比的等比数列,进而求得 ,利用累 加法可求数列 的通项公式. 【详解】(1)①已知 , 若 , ,则 , ,而 , , , ,即 ; ②由 ,得 , 即 , 所以 , 因为 , 所以 ,即 ; (2)由(1)知 , 若 , ,则 , ∴ , 因此数列 是 为首项, 为公比的等比数列, 所以 ,即 , 当 时, ,又当 时, 也满足上式, 所以 . 典例3. (2022秋·辽宁丹东·高三校联考阶段练习)已知数列 的前n项和为 ,且满足 , , (1)求数列 的通项公式; (2)若数列 ,求数列 的前2n项和 . 【答案】(1) (2) 【分析】(1)利用 进行类比作差法即可求解;(2)分组求和,等比数列求和以及等差数列求和 方法即可得解. 【详解】(1)∵ ,∴ , 当 时, , ∴ ,即 , ∴ , ∴ , ∴ , 又当 时, , ,∴ ,又 ,适合上式,则数列 的通项公式为 ; (2)由题意可得, 则 , ∴ . 【规律方法】 分组转化法求和的常见类型 (1)若a=b±c,且{b},{c}为等差或等比数列,可采用分组转化法求{a}的前n项和. n n n n n n (2)通项公式为a=的数列,其中数列{b},{c}是等比数列或等差数列,可采用分组转化法求和. n n n 考向二 裂项相消法求和 【核心知识】 裂项相消法是指把数列和式中的各项分别裂开后,某些项可以相互抵消从而求和的方法,主要适用于或(其中 {a}为等差数列)等形式的数列求和. n 【典例分析】 典例4.(2023秋·湖北十堰·高三统考阶段练习)设等差数列 的前 项和为 ,且 , . (1)求 的通项公式; (2)若 ,求数列 的前 项和 . 【答案】(1) (2) 【分析】(1)由等差数列的通项公式以及等差数列的前n项和公式展开可求得结果; (2)由裂项相消求和可得结果. 【详解】(1)设数列 的公差为 ,由题意可得 解得 , 则 (2)由(1)可知 , 则 典例5. (2023秋·云南·高三云南师大附中校考阶段练习)已知公差不为0的等差数列 的前 项和为 , 、 、 成等差数列,且 、 、 成等比数列. (1)求 的通项公式; (2)若 ,数列 的前 项和为 ,证明: . 【答案】(1) (2)证明见解析 【分析】(1)公式法列方程组解决即可;(2)运用裂项相消解决即可. 【详解】(1)由题知, 设 的公差为 ,由题意得 , 即 ,解得 , 所以 ,所以 的通项公式为 . (2)证明:由(1)得 , 所以 , 所以 . 典例6. (2022秋·江西南昌·高三校联考阶段练习)已知数列 的各项均为正数, 是其前 项的和.若 ,且 ( ). (1)求数列 的通项公式; (2)设 ,求数列 的前 项和 . 【答案】(1) (2) (或 ) 【分析】(1)利用 与 的关系进行求解; (2)使用裂项相消法进行求和. 【详解】(1)∵ ,∴ , ① 时, ,即 ,解得 或 , ∵ ,∴ ; ② 时,由 ,有 ,两式相减得 , ∴ , ∴ , ∴ , ∴ , ∵数列 的各项均为正数,∴ , ∴ ,即 ∴综上所述, 是首项 ,公差 的等差数列, ∴ , ∴数列 的通项公式为 . (2)由(1)知 ,∴ , ∴ , ∴ ∴数列 的前 项和 .注:结果也可以为 . 【总结提升】 利用裂项相消法求和的注意事项 1.抵消后并不一定只剩下第一项和最后一项,也有可能前面剩两项,后面也剩两项; 2.将通项裂项后,有时需要调整前面的系数,使裂开的两项之差和系数之积与原通项相等.如:若{a}是等 n 差数列,则=,=. 3.裂项相消法就是把数列的每一项分解,使得相加后项与项之间能够相互抵消,但在抵消的过程中,有的是依 次项抵消,有的是间隔项抵消.常见的裂项方式有: 1 11 1  1 1 1       nnk k n nk  k 1 nn1 n n1 (1) ,特别地当 时, ; 1 1  1  nk  n  n1 n nk  n k k 1 n1 n (2) ,特别地当 时, ; 2n2 1 1 1  a  1    n 2n12n1 22n1 2n1 (3) 1 1 1 1  a      n nn1n2 2  nn1 n1n2   (4) 1 1 1 1  (  ) (p  q) pq q p p q (5) 考向三 错位相减法求和 【核心知识】 错位相减法是在推导等比数列的前n项和公式时所用的方法,这种方法主要用于求数列{a·b}的前n项和,其 n n 中{a},{b}分别是等差数列和等比数列. n n 【典例分析】 典例7.(2022·天津·统考高考真题)设 是等差数列, 是等比数列,且 . (1)求 与 的通项公式; (2)设 的前n项和为 ,求证: ;(3)求 . 【答案】(1) (2)证明见解析 (3) 【分析】(1)利用等差等比数列的通项公式进行基本量运算即可得解; (2)由等比数列的性质及通项与前n项和的关系结合分析法即可得证; (3)先求得 ,进而由并项求和可得 ,再结合错位相 减法可得解. 【详解】(1)设 公差为d, 公比为 ,则 , 由 可得 ( 舍去), 所以 ; (2)证明:因为 所以要证 , 即证 ,即证 , 即证 , 而 显然成立,所以 ; (3)因为 , 所以, 设 所以 , 则 , 作差得 , 所以 , 所以 . 典例8.(2022·浙江杭州·模拟预测)已知数列 满足 ,记 ,在 中每相邻 两项之间都插入3个数,使它们和原数列的数一起构成一个新的正项等比数列 ,若数列 中的第 项是 数列 中的第 项. (1)求数列 及 的通项公式. (2)求数列 的前 项和 . 【答案】(1) , (2) 【分析】(1)根据题意结合等比数列的定义即可得到数列 的通项公式,从而得到数列 的通项公式; (2)由(1)中的结论表示出 ,再结合错位相减法计算即可得到结果. 【详解】(1)因为 ,所以 ,因为 , 所以 ,所以 是首项为1,公比为2的等比数列, 所以 .所以 .由题意知 .所以 ,即 , 又 ,则 . 所以 .又 ,则 ,则 . (2) ,① ,② ①-②得 , . 所以 . 典例9.(2022秋·河北张家口·高三统考期末)已知 为数列 的前 项和, . (1)证明:数列 为等比数列; (2)求数列 的前 项和 . 【答案】(1)证明见解析(2) 【分析】(1)先求出 ,根据 ,写出 , ,两式相减即可得 ,要证 数列 为等比数列,只需证明 为一个常数,将 代入即可; (2)由(1)得出数列 的通项公式,若求 前 项和,需要进行分组求和,先利用错位相减求出 的前 项和,再求等差数列的前 项和,即可得 . 【详解】(1)证明:由题知 , , 解得: 故 , 由 , 可得 , , 两式相减可得: , , 所以 , , 所以 , , 所以数列 是以6为首项,2为公比的等比数列; (2)由(1)得数列 是以6为首项,2为公比的等比数列, 所以 ,故 , 则 , 设 ,其前n项和为 , 则 ①, ②, ①-②可得: , 所以 , 所以 , 综上: . 【规律方法】 1.求解此类题需掌握三个技巧:一是巧分拆,即把数列的通项转化为等差数列、等比数列的通项的积,并求 出等比数列的公比;二是构差式,求出前n项和的表达式,然后乘以等比数列的公比,两式作差;三是得结论, 即根据差式的特征进行准确求和. 2.运用错位相减法求和时应注意三点:一是判断模型,即判断数列{a},{b}一个为等差数列,一个为等比数 n n 列;二是错开位置;三是相减时一定要注意最后一项的符号. 3.用错位相减法求和时,应注意: (1)等比数列的公比为负数的情形; (2)在写出“S”和“qS”的表达式时应特别注意将两式“错项对齐”,以便准确写出“S-qS”的表达式. n n n n(3)在应用错位相减法求和时,若等比数列的公比为参数,应分公比等于1和不等于1两种情况求解. 考向四 数列的综合问题 【核心知识】 数列与函数、不等式的综合问题是高考命题的一个方向,此类问题突破的关键在于通过函数关系寻找数列的递 推关系,通过放缩进行等式的证明. 【典例分析】 典例10.(2022秋·江苏南通·高三期末)已知数列 成等比数列, 是其前 项的和,若 成等差数列. (1)证明: 成等差数列; (2)比较 与 的大小; (3)若 , 为大于1的奇数,证明: 【答案】(1)证明见解析 (2) (3)证明见解析 【分析】(1)根据等差中项得 , 即可; (2)作差法比较即可; (3)利用等比数列求和公式可得 ,然后进行求和即可得到答案 【详解】(1)由题知, , 所以 , 所以 ,所以公比 , 所以 , 所以 , 所以 成等差数列.得证 (2)由(1)得 , 因为 , 所以 , 所以 . (3)由(1)和题意得, , 所以 , 所以 .得证 典例11.(2021·浙江·统考高考真题)已知数列 的前n项和为 , ,且 . (1)求数列 的通项;(2)设数列 满足 ,记 的前n项和为 ,若 对任意 恒成立,求 实数 的取值范围. 【答案】(1) ;(2) . 【分析】(1)由 ,结合 与 的关系,分 讨论,得到数列 为等比数列,即可得 出结论; (2)由 结合 的结论,利用错位相减法求出 , 对任意 恒成立,分类讨论分 离参数 ,转化为 与关于 的函数的范围关系,即可求解. 【详解】(1)当 时, , , 当 时,由 ①, 得 ②,① ②得 , 又 是首项为 ,公比为 的等比数列, ; (2)由 ,得 , 所以 , ,两式相减得 , 所以 , 由 得 恒成立, 即 恒成立, 时不等式恒成立; 时, ,得 ; 时, ,得 ; 所以 . 【点睛】易错点点睛:(1)已知 求 不要忽略 情况;(2)恒成立分离参数时,要注意变量的正负零 讨论,如(2)中 恒成立,要对 讨论,还要注意 时,分离参 数不等式要变号. 典例12.(2022·云南昆明·昆明一中校考模拟预测)已知函数 ,其中 (1)当 时,求 ; (2)设 ,记数列 的前n项和为 ,求使得 恒成立的m的最小整数. 【答案】(1) (2)2 【分析】(1)依据题给条件,利用等差数列前n项和公式即可求得 ; (2)先利用裂项相消法求得数列 的前n项和 ,再依据题给条件列出关于m的不等式,解之即可求得m 的最小整数 【详解】(1)由 ,可得 则当 时, (2)由(1)可得,当 时, 则当 时, , 则当 时,数列 的前n项和 又当 时, , , 由 恒成立,可得 ,解之得 则当 时,使得 恒成立的m的最小整数为2 当 时, 成立,综上,使得 恒成立的m的最小整数为2 典例13.(2022秋·天津南开·高三南开中学校考阶段练习)已知公差不为零的等差数列 , 为等比数列, 且满足 , , , , , 成等比数列. (1)求数列 和 的通项公式; (2)设数列 的前 项和为 ,若不等式 恒成立,求实数 的取值范围. 【答案】(1) , (2) 【分析】(1)利用通项公式以及等比中项公式即可求解; (2)利用错位相减法求和,再利用导数讨论单调性求最值即可. 【详解】(1)设等差数列 的公差为 ,等比数列 的公比为 . , , , ①, ②, , , 成等比数列, , ③, 由①②③解得: , , , . (2)由(1)知:所以: , 即: ①, 所以: ②, 由① ②得: , 化简得: , 由 ,即 , 所以 . 令 ,则 , 由 解得: , 所以, 时, , 单调递增, 时, , 单调递减, 又 , , . 所以,若不等式 恒成立,实数 的取值范围为: . 典例14. (2022秋·天津和平·高三耀华中学校考阶段练习)已知数列 是公差为2的等差数列,其前8项的 和为64.数列 是公比大于0的等比数列, , . (1)求数列 和 的通项公式; (2)记 , ,求数列 的前 项和 ; (3)设 ,记 ,证明:当 时, . 【答案】(1) ; (2) (3)证明见解析 【分析】(1)根据等差、等比数列的通项公式、前 项和公式进行计算可求出结果; (2)根据 进行并项求和可求出结果; (3)转化为证明 ,根据 进行裂项求和可证明不等 式成立. 【详解】(1)因为 是公差为2的等差数列,且 , 所以 ,解得 , 所以 ; 设等比数列 的公比为 , 因为 , ,所以 ,即 ,解得 (舍去)或 , 所以 . (2)由(1)得 , 则 , . (3)由(1)可知: .又 , , 所以要证明原不等式成立,只需证明: 成立. 当 时,左边=1,右边=1,左边=右边. 当 时,因为 , 因为 , 所以 , 因为, 所以 , 因为 ,所以 , 所以 , 即 . 所以当 时,有 , 所以 即 , 所以 , 于是,当 时, 成立. 综上所述:当 时, . 【点睛】关键点点睛:通过放缩得到 ,并利用它进行裂项求和是解题关键. 【总结提升】 1.数列与不等式的综合应用是高考命题的一个重要方向.此类问题的常见类型及求解策略: (1)依据数列的单 调性解答数列中的最值问题.求解策略:一是根据数列的结构特征构建对应的函数,利用函数的性质、导数等判断函数的单调性,从而得到数列的单调性;二是通过对数列相邻项的比较( 作差、作商) 得到数列的单调性. (2)利用“放缩法”证明数列型不等式.求解策略:一是在求和过程中将通项“放缩”为“可求和的数列”; 二是求和后再 “放缩”. 2.易错提醒: (1)公式a=S-S 适用于所有数列,但易忽略n≥2这个前提. n n n-1 (2)数列和不等式的综合问题,要注意条件n∈N*,求最值要注意等号成立的条件,放缩不等式要适度. 考向五 数列中的奇、偶项问题 【核心知识】 数列中的奇、偶项问题是对一个数列分成两个新数列进行单独研究,利用新数列的特征(等差、等比数列或其 他特征)求解原数列. 【典例分析】 典例15.(2021·全国·统考高考真题)已知数列 满足 , (1)记 ,写出 , ,并求数列 的通项公式; (2)求 的前20项和. 【答案】(1) ;(2) . 【分析】(1)方法一:由题意结合递推关系式确定数列 的特征,然后求和其通项公式即可; (2)方法二:分组求和,结合等差数列前 项和公式即可求得数列的前20项和. 【详解】解:(1)[方法一]【最优解】: 显然 为偶数,则 , 所以 ,即 ,且 , 所以 是以2为首项,3为公差的等差数列, 于是 . [方法二]:奇偶分类讨论 由题意知 ,所以 .由 ( 为奇数)及 ( 为偶数)可知, 数列从第一项起, 若 为奇数,则其后一项减去该项的差为1, 若 为偶数,则其后一项减去该项的差为2. 所以 ,则 . [方法三]:累加法 由题意知数列 满足 . 所以 , , 则 . 所以 ,数列 的通项公式 . (2)[方法一]:奇偶分类讨论 . [方法二]:分组求和 由题意知数列 满足 , 所以 . 所以数列 的奇数项是以1为首项,3为公差的等差数列; 同理,由 知数列 的偶数项是以2为首项,3为公差的等差数列. 从而数列 的前20项和为:. 【整体点评】(1)方法一:由题意讨论 的性质为最一般的思路和最优的解法; 方法二:利用递推关系式分类讨论奇偶两种情况,然后利用递推关系式确定数列的性质; b  方法三:写出数列 的通项公式,然后累加求数列 n 的通项公式,是一种更加灵活的思路. n (2)方法一:由通项公式分奇偶的情况求解前 项和是一种常规的方法; 方法二:分组求和是常见的数列求和的一种方法,结合等差数列前n项和公式和分组的方法进行求和是一种不 错的选择. 典例16.(2022秋·广东东莞·高三统考期末)已知数列 的前n项和为 ,且对于任意的 都有 . (1)求数列 的通项公式; (2)记数列 的前n项中的最大值为 ,最小值为 ,令 ,求数列 的前20项和 . 【答案】(1) (2) 【分析】(1)根据 可得 是以公比为 的等比数列,进而可求解, (2)根据数列 的通项性质可对 分奇偶,进而可得 , ,分组求和即可求解. 【详解】(1)对于任意的 都有 , 当 时, ,两式相减得 ,即 , 进而得 , 当 时, ,故 ,所以数列 是以首项为1,公比为 的等比数列, 所以 (2)当 为奇数时, ,且 ,当 为偶数时, ,且 , 因此当 为大于1的奇数时, 的前n项中的最大值为 ,最小值为 ,此时 , 因此当 为偶数时, 的前n项中的最大值为 ,最小值为 ,此时 , 当 时, , 因此 的前20项和 典例17.(2022秋·天津静海·高三静海一中校考阶段练习)已知数列 为等差数列,数列 为等比数列, 且 , , , . (1)求 , 的通项公式. (2)已知 ,求数列 的前2n项和 .(3)求证: . 【答案】(1) , . (2) ; (3)证明见解析. 【分析】(1)由等差等比的通项公式即可求解; (2)分 是奇数和 是偶数,分别利用错位相减法和裂项相消法求和即可; (3)根据 ,裂项求和即可证明. 【详解】(1)设等差数列 的公差为 ,等比数列 的公比为 , 由 得 ①, 将①代入 ,得 , 即 ② 将①代入 ,得 ③, 将②代入③,得 ,又 , 所以 解得: ,所以 , 所以 , ,故 , 所以 .(2)当 是奇数时, , 当 是偶数时, , 则 ① ② ①-②得: 即 化简得: . 所以 . (3) , 当 时, , 因为 ,所以 ; 当 时, 也成立.故 . 【点睛】方法点睛:本题的核心是考查错位相减求和.一般地,如果数列 是等差数列, 是等比数列, 求数列 的前n项和时,可采用错位相减法求和,一般是和式两边同乘以等比数列 的公比,然后作 差求解. 【规律方法】 1.数列中的奇、偶项问题的常见题型 ①数列中连续两项和或积的问题(a+a =f(n)或a·a =f(n)); n n+1 n n+1 ②含有(-1)n的类型; ③含有{a },{a }的类型; 2n 2n-1 ④已知条件明确的奇偶项问题. 2.对于通项公式分奇、偶不同的数列{a}求S 时,我们可以分别求出奇数项的和与偶数项的和,也可以把 n n 看作一项,求出S ,再求S =S -a . 2k 2k-1 2k 2k 考向六 数列中的创新与数学文化问题 【核心知识】 数学文化问题是近年来高考命题的亮点,此类问题把数学史、数学美、数学语言、数学思维及数学方法结合起 来,可有效考查学生在新情境中对数学文化的鉴赏、对数学知识的理解、对数学方法的迁移,因此备受命题者 青睐.在我国浩瀚的传统文化中,有丰富的与数列有关的数学文化背景知识,故也成为近年高考命题的热点. 【典例分析】 典例18. (2020·全国·统考高考真题)北京天坛的圜丘坛为古代祭天的场所,分上、中、下三层,上层中心有 一块圆形石板(称为天心石),环绕天心石砌9块扇面形石板构成第一环,向外每环依次增加9块,下一层的第 一环比上一层的最后一环多9块,向外每环依次也增加9块,已知每层环数相同,且下层比中层多729块,则 三层共有扇面形石板(不含天心石)( )A.3699块 B.3474块 C.3402块 D.3339块 【答案】C 【分析】第n环天石心块数为 ,第一层共有n环,则 是以9为首项,9为公差的等差数列, 设 为 的前n项和,由题意可得 ,解方程即可得到n,进一步得到 . 【详解】设第n环天石心块数为 ,第一层共有n环, 则 是以9为首项,9为公差的等差数列, , 设 为 的前n项和,则第一层、第二层、第三层的块数分 别为 ,因为下层比中层多729块, 所以 , 即 即 ,解得 , 所以 . 故选:C 典例19. (2022秋·安徽·高三合肥一六八中学校联考阶段练习)我国古代数学著作《九章算术》中有如下问题: “今有人持金出五关,前关二税一;次关三而税一,次关四而税一,次关五而税一,次关六而税一,并五关所 税,适重一斤.问本持金几何?”其意思为“今有人持金出五关,第1关收税金为持金的 ,第2关收税金为剩 余金的 ,第3关收税金为剩余金的 ,第4关收税金为剩余金的 ,第5关收税金为剩余金的 ,5关所收 税金之和恰好重1斤.问原来持金多少?”.记这个人原来持金为 斤,设 ,则 ( ) A.0 B.1 C.-1 D.2【答案】C 【分析】设这个人原来持金为 斤,分别计算每关收税金,让5关所收税金之和为1斤,列出方程,求出 的 值. 【详解】由题意知:这个人原来持金为 斤, 第1关收税金为: 斤; 第2关收税金为 斤; 第3关收税金为 斤, 以此类推可得的,第4关收税金为 斤,第5关收税金为 斤, 所以 , 即 ,解得 , 又由 ,所以 . 故选:C. 【规律方法】 对于数学文化中所涉及的数列模型,解题时应认真审题,从问题背景中提取相关信息并分析归纳,然后构造恰 当的数列模型,再利用数列的有关知识进行解答,最后对实际问题作出解释,必要时要进行检验.