当前位置:首页>文档>专题07实数的相关运算(解析版)-重难点突破2021-2022学年八年级数学上册常考题专练(北师大版)_北师大初中数学_8上-北师大版初中数学_旧版_06专项讲练

专题07实数的相关运算(解析版)-重难点突破2021-2022学年八年级数学上册常考题专练(北师大版)_北师大初中数学_8上-北师大版初中数学_旧版_06专项讲练

  • 2026-05-14 10:45:57 2026-04-12 21:30:15

文档预览

专题07实数的相关运算(解析版)-重难点突破2021-2022学年八年级数学上册常考题专练(北师大版)_北师大初中数学_8上-北师大版初中数学_旧版_06专项讲练
专题07实数的相关运算(解析版)-重难点突破2021-2022学年八年级数学上册常考题专练(北师大版)_北师大初中数学_8上-北师大版初中数学_旧版_06专项讲练
专题07实数的相关运算(解析版)-重难点突破2021-2022学年八年级数学上册常考题专练(北师大版)_北师大初中数学_8上-北师大版初中数学_旧版_06专项讲练
专题07实数的相关运算(解析版)-重难点突破2021-2022学年八年级数学上册常考题专练(北师大版)_北师大初中数学_8上-北师大版初中数学_旧版_06专项讲练
专题07实数的相关运算(解析版)-重难点突破2021-2022学年八年级数学上册常考题专练(北师大版)_北师大初中数学_8上-北师大版初中数学_旧版_06专项讲练
专题07实数的相关运算(解析版)-重难点突破2021-2022学年八年级数学上册常考题专练(北师大版)_北师大初中数学_8上-北师大版初中数学_旧版_06专项讲练
专题07实数的相关运算(解析版)-重难点突破2021-2022学年八年级数学上册常考题专练(北师大版)_北师大初中数学_8上-北师大版初中数学_旧版_06专项讲练
专题07实数的相关运算(解析版)-重难点突破2021-2022学年八年级数学上册常考题专练(北师大版)_北师大初中数学_8上-北师大版初中数学_旧版_06专项讲练
专题07实数的相关运算(解析版)-重难点突破2021-2022学年八年级数学上册常考题专练(北师大版)_北师大初中数学_8上-北师大版初中数学_旧版_06专项讲练
专题07实数的相关运算(解析版)-重难点突破2021-2022学年八年级数学上册常考题专练(北师大版)_北师大初中数学_8上-北师大版初中数学_旧版_06专项讲练
专题07实数的相关运算(解析版)-重难点突破2021-2022学年八年级数学上册常考题专练(北师大版)_北师大初中数学_8上-北师大版初中数学_旧版_06专项讲练
专题07实数的相关运算(解析版)-重难点突破2021-2022学年八年级数学上册常考题专练(北师大版)_北师大初中数学_8上-北师大版初中数学_旧版_06专项讲练
专题07实数的相关运算(解析版)-重难点突破2021-2022学年八年级数学上册常考题专练(北师大版)_北师大初中数学_8上-北师大版初中数学_旧版_06专项讲练
专题07实数的相关运算(解析版)-重难点突破2021-2022学年八年级数学上册常考题专练(北师大版)_北师大初中数学_8上-北师大版初中数学_旧版_06专项讲练
专题07实数的相关运算(解析版)-重难点突破2021-2022学年八年级数学上册常考题专练(北师大版)_北师大初中数学_8上-北师大版初中数学_旧版_06专项讲练
专题07实数的相关运算(解析版)-重难点突破2021-2022学年八年级数学上册常考题专练(北师大版)_北师大初中数学_8上-北师大版初中数学_旧版_06专项讲练
专题07实数的相关运算(解析版)-重难点突破2021-2022学年八年级数学上册常考题专练(北师大版)_北师大初中数学_8上-北师大版初中数学_旧版_06专项讲练
专题07实数的相关运算(解析版)-重难点突破2021-2022学年八年级数学上册常考题专练(北师大版)_北师大初中数学_8上-北师大版初中数学_旧版_06专项讲练
专题07实数的相关运算(解析版)-重难点突破2021-2022学年八年级数学上册常考题专练(北师大版)_北师大初中数学_8上-北师大版初中数学_旧版_06专项讲练
专题07实数的相关运算(解析版)-重难点突破2021-2022学年八年级数学上册常考题专练(北师大版)_北师大初中数学_8上-北师大版初中数学_旧版_06专项讲练
专题07实数的相关运算(解析版)-重难点突破2021-2022学年八年级数学上册常考题专练(北师大版)_北师大初中数学_8上-北师大版初中数学_旧版_06专项讲练

文档信息

文档格式
docx
文档大小
0.787 MB
文档页数
17 页
上传时间
2026-04-12 21:30:15

文档内容

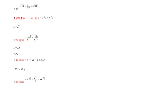
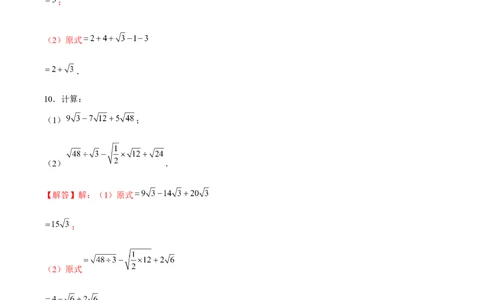
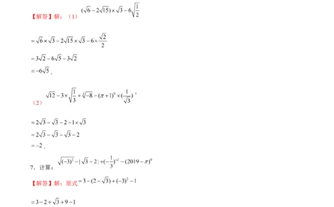
专题 07 实数的相关运算 题型一 实数的基本运算 一.实数的基本计算(共17小题) 1.下列计算中正确的是 A. B. C. D. 【解答】解: 、原式 ,所以 选项的计算错误; 、 与 不能合并,所以 选项的计算错误; 、原式 ,所以 选项的计算正确; 、原式 ,所以 选项的计算错误. 故选: . 2.下列计算结果,正确的是 A. B. C. D. 【解答】解: 、原式 ,所以 选项错误; 、 与 不能合并,所以 选项错误; 、原式 ,所以 选项错误; 、原式 ,所以 选项正确. 故选: . 3.计算: 的结果为 1 . 【解答】解:原式 , , ,故答案为:1. 4.计算 (1) ; (2) ; (3) ; (4) . 【解答】解:(1)原式 ; (2)原式 ; (3)原式 ; (4)原式 . 5.计算: . 【解答】解:原式. 6.计算. (1) . (2) . 【解答】解:(1) . (2) . 7.计算: 【解答】解:原式 . 8.计算: . 【解答】解:原式. 9.计算: (1) ; (2) . 【解答】解:(1)原式 ; (2)原式 . 10.计算: (1) ; (2) . 【解答】解:(1)原式 ; (2)原式 . 11.计算: (1) ; (2) .【解答】解:(1)原式 ; (2)原式 . 12.计算. (1) ; (2) . 【解答】解:(1)原式 ; (2)原式 . 13.计算: (1) ; (2) . 【解答】解:(1)原式 ;(2)原式 . 14.(1)计算: ; (2)计算: . 【解答】解:(1)原式 ; (2)原式 . 15.计算: (1) ; (2) . 【解答】解:(1)原式 ; (2)原式. 16.计算下列各题: (1) ; (2) . 【解答】解:(1)原式 ; (2)原式 . 17.计算题 (1) ; (2) . 【解答】解:(1)原式 ; (2)原式. 题型二 实数的化简求值 18.已知:如图: 化简: . 【解答】解:由已知 , , , , 则原式 . 19.已知三角形的两边长分别为3和5,第三边长为 ,化简 . 【解答】解:由三边关系定理,得 , ,即 , 原式 . 20.化简求值: ,其中 . 【解答】解:原式 , 当 时,原式 . 21.先化简,再求值:,其中 , . 【解答】解:原式 , 当 , 时,原式 . 22.先化简,再求值:已知 , ,试求 的值. 【解答】解: 当 , 时, 原式 23.化简: . 【解答】解:原式 . 题型三 实数的探究性问题24.晓明同学根据学习“数与式”积累的经验,想通过“由特殊到一般”的方法探究下面二次根式的运算 规律. 下面是晓明的探究过程,请你补充完整: (1)具体运算,发现规律. 特例 , 特例 , 特例 , 特例 (填写一个符合上述运算特征的例子). (2)观察、归纳,得出猜想. 如果 为正整数,用含 的式子表示上述的运算规律为: . (3)应用运算规律,化简: . 【解答】解:(1)答案为 ; (2)答案为 为正整数); (3)原式 .25.阅读理解:把分母中的根号化去叫做分母有理化,例如: ① ;② ,等运算都是分母有理化,根据上述材料: (1)化简: ; ; ; (2)求下列式子的值. . 【解答】解:(1)化简: ; ; ; 故答案为 ; ; ; (2)原式 . 26.写作业时,小明被一道题难住了:“若 ,求 的值.” 老师给予了必要的方法提示;不宜直接代入计算,需要先化简已知式,如 . , . 请你根据老师的提示,解决如下问题: (1)计算: ;(2)若 ,求 的值. 【解答】解:(1) ; 故答案为: ; (2) , , . 27.先阅读下面的解题过程,然后再解答: 形如 的化简,只要我们找到两个数 , ,使 , ,即 , ,则有: . (1)根据上述方法化简: ① ; ② . (2)已知 ,则 . 【解答】解:(1)①原式 ; ②原式 ; (2) , ,, 即 , , . 故答案为 . 28.阅读下列解题过程: ; ; ; 解答下列各题 ① ; ②观察下面的解题过程,请直接写出式子 . ③利用这一规律计算: . 【解答】解:①原式 ; 故答案为 ; ② ; 故答案为 ;③原式 . 29.阅读材料:小明在学习二次根式后,发现一些含根号的式子可以写成另一个式子的平方,如 ,善于思考的小明进行了以下探索: 设 (其中 、 、 、 均为正整数),则有 , , .这样小明就找到了一种把部分 的式子化为平方式的方法. 请你仿照小明的方法探索并解决下列问题: (1)当 、 、 、 均为正整数时,若 ,用含 、 的式子分别表示 、 ,得: , ; (2)若 ,且 、 、 均为正整数,求 的值; (3)化简: . 【解答】解:(1) , , , . 故答案为 , ; (2) , , , , 、 均为正整数, 、 或 , , 或7;(3) , 则 . 30.观察下列各式: 请利用你所发现的规律,解决下列问题: (1)第4个算式为: ; (2)求 的值; (3)请直接写出 的结果. 【解答】解: (1)依题意:接下来的第4个算式为: 故答案为(2)原式 (3) 原式 31.阅读下列解题过程: ; ; ; 解答下列各题 ① ; ; ②观察下面的解题过程,请直接写出式子 . ③利用这一规律计算: .【解答】解:① ; ; ② .