当前位置:首页>文档>易错13解分式方程易错(解析版)-八年级数学下册期末突破易错挑战满分(北师大版)_北师大初中数学_8下-北师大版初中数学_旧版-可参考_06专项讲练

易错13解分式方程易错(解析版)-八年级数学下册期末突破易错挑战满分(北师大版)_北师大初中数学_8下-北师大版初中数学_旧版-可参考_06专项讲练

  • 2026-04-14 08:26:44 2026-04-14 03:38:44

文档预览

易错13解分式方程易错(解析版)-八年级数学下册期末突破易错挑战满分(北师大版)_北师大初中数学_8下-北师大版初中数学_旧版-可参考_06专项讲练
易错13解分式方程易错(解析版)-八年级数学下册期末突破易错挑战满分(北师大版)_北师大初中数学_8下-北师大版初中数学_旧版-可参考_06专项讲练
易错13解分式方程易错(解析版)-八年级数学下册期末突破易错挑战满分(北师大版)_北师大初中数学_8下-北师大版初中数学_旧版-可参考_06专项讲练
易错13解分式方程易错(解析版)-八年级数学下册期末突破易错挑战满分(北师大版)_北师大初中数学_8下-北师大版初中数学_旧版-可参考_06专项讲练
易错13解分式方程易错(解析版)-八年级数学下册期末突破易错挑战满分(北师大版)_北师大初中数学_8下-北师大版初中数学_旧版-可参考_06专项讲练
易错13解分式方程易错(解析版)-八年级数学下册期末突破易错挑战满分(北师大版)_北师大初中数学_8下-北师大版初中数学_旧版-可参考_06专项讲练
易错13解分式方程易错(解析版)-八年级数学下册期末突破易错挑战满分(北师大版)_北师大初中数学_8下-北师大版初中数学_旧版-可参考_06专项讲练
易错13解分式方程易错(解析版)-八年级数学下册期末突破易错挑战满分(北师大版)_北师大初中数学_8下-北师大版初中数学_旧版-可参考_06专项讲练
易错13解分式方程易错(解析版)-八年级数学下册期末突破易错挑战满分(北师大版)_北师大初中数学_8下-北师大版初中数学_旧版-可参考_06专项讲练
易错13解分式方程易错(解析版)-八年级数学下册期末突破易错挑战满分(北师大版)_北师大初中数学_8下-北师大版初中数学_旧版-可参考_06专项讲练
易错13解分式方程易错(解析版)-八年级数学下册期末突破易错挑战满分(北师大版)_北师大初中数学_8下-北师大版初中数学_旧版-可参考_06专项讲练
易错13解分式方程易错(解析版)-八年级数学下册期末突破易错挑战满分(北师大版)_北师大初中数学_8下-北师大版初中数学_旧版-可参考_06专项讲练
易错13解分式方程易错(解析版)-八年级数学下册期末突破易错挑战满分(北师大版)_北师大初中数学_8下-北师大版初中数学_旧版-可参考_06专项讲练
易错13解分式方程易错(解析版)-八年级数学下册期末突破易错挑战满分(北师大版)_北师大初中数学_8下-北师大版初中数学_旧版-可参考_06专项讲练
易错13解分式方程易错(解析版)-八年级数学下册期末突破易错挑战满分(北师大版)_北师大初中数学_8下-北师大版初中数学_旧版-可参考_06专项讲练
易错13解分式方程易错(解析版)-八年级数学下册期末突破易错挑战满分(北师大版)_北师大初中数学_8下-北师大版初中数学_旧版-可参考_06专项讲练
易错13解分式方程易错(解析版)-八年级数学下册期末突破易错挑战满分(北师大版)_北师大初中数学_8下-北师大版初中数学_旧版-可参考_06专项讲练
易错13解分式方程易错(解析版)-八年级数学下册期末突破易错挑战满分(北师大版)_北师大初中数学_8下-北师大版初中数学_旧版-可参考_06专项讲练
易错13解分式方程易错(解析版)-八年级数学下册期末突破易错挑战满分(北师大版)_北师大初中数学_8下-北师大版初中数学_旧版-可参考_06专项讲练
易错13解分式方程易错(解析版)-八年级数学下册期末突破易错挑战满分(北师大版)_北师大初中数学_8下-北师大版初中数学_旧版-可参考_06专项讲练
易错13解分式方程易错(解析版)-八年级数学下册期末突破易错挑战满分(北师大版)_北师大初中数学_8下-北师大版初中数学_旧版-可参考_06专项讲练
易错13解分式方程易错(解析版)-八年级数学下册期末突破易错挑战满分(北师大版)_北师大初中数学_8下-北师大版初中数学_旧版-可参考_06专项讲练
易错13解分式方程易错(解析版)-八年级数学下册期末突破易错挑战满分(北师大版)_北师大初中数学_8下-北师大版初中数学_旧版-可参考_06专项讲练

文档信息

文档格式
docx
文档大小
0.271 MB
文档页数
19 页
上传时间
2026-04-14 03:38:44

文档内容

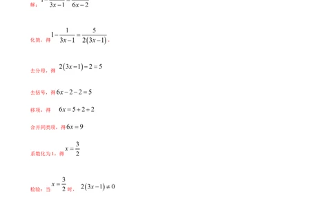
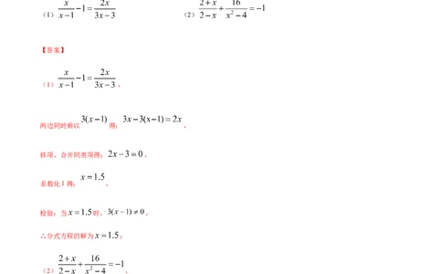
2020-2021 学年八年级数学下册期末突破易错挑战满分(北师大版) 易错13 解分式方程易错 【典型例题】 1.(2021·河南商丘市·八年级期末)解下列分式方程: (1) (2) 【答案】 (1) , 两边同时乘以 得: , 移项、合并同类项得: , 系数化1得: , 检验:当 时, , ∴分式方程的解为 ; (2) , 两边同时乘以 得: , 移项、合并同类项得: , 系数化1得: ,检验,当 时, , ∴ 是增根,分式方程无解. 【点睛】 本题考查了解分式方程,解分式方程的基本思想是“转化思想”,把分式方程转化为整式方程求解,解答本题的关键是掌握 解分式方程的方法,并注意验根. 【专题训练】 一、解答题 1.(2021·广西河池市·八年级期末)解分式方程: 【答案】 解: 两边同时乘以 得: 移项得: 合并同类项得: 检验:当 时, 所以,原分式方程的解为 .【点睛】 此题考查了解分式方程,利用了转化的思想,解分式方程注意要检验. 2.(2021·云南曲靖市·曲靖一中八年级期末)解方程: 【答案】 解: 去分母得: , 去括号得: , 解之得: , 经检验, 是原方程的解. 【点睛】 本题考查了解分式方程,熟练掌握运算法则是解本题的关键. 3.(2021·吉林延边朝鲜族自治州·八年级期末)解方程: . 【答案】 解:方程两边同时乘 , 得 , 解得 , 检验:当 时, , 所以,原方程的解是 . 【点睛】本题考查了解分式方程的能力,注意:(1)解分式方程的基本思想是“转化思想”,把分式方程转化为整式方程求解; (2)去分母时要注意符号的变化;(3)解分式方程一定注意要验根. 4.(2021·内蒙古赤峰市·八年级期末)解方程: 【答案】 解: 化简,得 , 去分母,得 去括号,得 移项,得 合并同类项,得 系数化为1,得 检验:当 时, 所以 是原方程的解. 【点睛】 本题考查了分式方程的解法,注:(1)解分式方程的基本思想是“转化思想”,把分式方程转化为整式方程求解.(2)解 分式方程一定注意要验根.5.(2021·西安市第二十三中学九年级开学考试)解方程: . 【答案】 解:方程两边同乘 ,得 , 去括号、移项、合并同类项,得 , 解得 , 检验:当 时, , ∴ 是原分式方程的解. 【点睛】 本题考查了分式方程的解法,属于基础题目,熟练掌握求解的方法是解题的关键. 6.(2021·安徽合肥市·八年级期末)解方程: . 【答案】 解:两边同乘 得 , , , , 解得 ,检验:当 时, , 因此, 不是原分式方程的解. 所以,原分式方程无解. 【点睛】 此题考查了解分式方程,利用了转化的思想,解分式方程注意要检验. 7.(2021·广西玉林市·八年级期末)解分式方程: . 【答案】 解:去分母得: , 解得: , 经检验, 是原分式方程的解. 【点睛】 本题考查解分式方程,是重要考点,难度较易,掌握相关知识是解题关键. 8.(2021·河南周口市·八年级期末)解分式方程: 【答案】 解: 方程两边同时乘以(x-4)得 5-x=x-4+1, 解得 , 检验:当x=4时, ,∴ 不是分式方程的解,原分式方程无解. 【点睛】 本题考查了分式方程的解法,熟练掌握解分式方程的步骤是解题关键,注意解分式方式中检验是必备步骤,不能省略. 9.(2021·广东云浮市·八年级期末)解方程: . 【答案】 解:两边同时乘以 得: 解得: 经检验, 是原方程的解,所以原方程的解是 ; 【点睛】 本题考查了解分式方程,利用了转化的思想,解分式方程注意要检验; 10.(2021·云南红河哈尼族彝族自治州·八年级期末)解方程: . 【答案】 解: , 方程两边同时乘 得: , 整理得: , 去括号得: ,移项合并得: , ∴ . 检验:当 时, , ∴原方程的解是 . 【点睛】 本题考查了解分式方程,利用了转化的思想,解分式方程注意要检验. 11.(2021·河南安阳市·八年级期末)解分式方程: . 【答案】 解: 去分母得: , 去括号、移项得: , 解得: , 经检验:当 时,分母为零, ∴原方程无解. 【点睛】 本题主要考查分式方程的解法,熟练掌握分式方程的解法是解题的关键. 12.(2021·江西赣州市·八年级期末)解方程: . 【答案】解:方程两边同乘 ,得: 去括号,得: 移项,得: 合并同类项,得: 系数化为1,得: 检验:5-3=2≠0, 是原方程的解. 【点睛】 本题考查解分式方程,解题的关键是熟练掌握解分式方程的步骤,且最后注意要验证是否是方程的根. 13.(2021·江西上饶市·八年级期末)解方程: 【答案】 解:方程两边同时乘以2(x-1),得 , 去括号,得 , 移项,合并同类项,得 , 系数化为1,得 ,经检验, 是原方程的根, 所以原方程的解为 . 【点睛】 本题考查了分式方程的解法,熟练确定最简公分母是解题的关键,解后要验根是注意事项,不能漏落. 14.(2021·河南安阳市·八年级期末)解分式方程: . 【答案】 解:方程两边同乘以 ,得, , 解这个整式方程得, , , 解得 , 检验:当 时, ,因此 不是原分式方程的解, 所以原分式方程无解. 【点睛】 本题考查解分式方程,是重要考点,难度较易,掌握相关知识是解题关键. 15.(2021·山东烟台市·八年级期末)解方程: .【答案】 解: 整理,得: . 方程两边同乘以 ,得 . 解这个方程,得 . 检验:当 时, . 所以, 是原方程的解. 【点睛】 本题考查解分式方程,掌握解方程的步骤和计算法则正确计算是解题关键,注意分式方程的结果要进行检验. 16.(2021·湖北省直辖县级行政单位·八年级期末)解分式方程: . 【答案】 去分母得: , 移项合并得: , 检验:当 时, ∴ 是增根,原分式方程无解. 【点睛】 此题考查了解分式方程,利用了转化的思想,解分式方程注意要检验.17.(2021·江苏九年级专题练习)解方程: . 【答案】 解:方程两边同乘以( 1),得 . 解这个一元一次方程,得 . 经检验, 是原方程的解. 【点睛】 本题主要考查了解分式方程,熟练掌握把分式方程转化为整式方程是解答本题的关键. 18.(2021·陕西宝鸡市·八年级期末)解方程: (1) ; (2) . 【答案】 解:(1)去分母得: , 整理得: 解得:x=7, 经检验x=7是原方程的增根, ∴原方程无解; (2)去分母得: , 整理得:解得:x= , 经检验x=﹣ 是分式方程的解. 【点睛】 本题考查分式方程的解法,解题的关键是化分式方程为整式方程的方法,同时注意检验方程的根. 19.(2021·山东潍坊市·八年级期末)解方程 (1) ; (2) 【答案】 解:(1) , 方程两边乘6(x+5)得,6x=x+5, 解得,x=1, 检验:当x=1时,6(x+5)≠0, 所以原分式方程的解为x=1. (2) , 方程两边乘 得, , 解得,y=2, 检验:当y=2时, ,因此y=2不是原方程的解,所以原分式方程无解. 【点睛】 本题考查分式方程的解法,解题关键是熟练掌握解分式方程的步骤,准确进行计算,注意:分式方程要检验. 20.(2021·山东菏泽市·八年级期末)解下列方程 (1) ; (2) 【答案】 解:(1) , 方程的两边同乘x(x+3),得: , 解得:x=6, 经检验:x=6是原方程的解; (2) , 方程的两边同乘(x+2)(x-2),得: , 解得:x=-2, 经检验:x=-2是原方程的增根, 故方程无解. 【点睛】本题考查了解分式方程.(1)解分式方程的基本思想是“转化思想”,把分式方程转化为整式方程求解;(2)解分式方程 一定注意要验根. 21.(2021·山东聊城市·八年级期末)解方程 (1) ; (2) . 【答案】 (1)方程两边同乘以x-2,得 1-3(x-2)= -(x-1), 去括号,得 1-3x+6=-x+1, 移项,得 7-1=3x-x, 合并同类项,得 2x=6, 系数化为1,得 x=3; 经检验,得x=3是原方程的解. 所以原方程的解为x=3. (2) 方程两边同乘以(x+1)(x-1),得 4= , 去括号,得 4= ,移项,得 4-2=2x, 合并同类项,得 2x=2, 系数化为1,得 x=1; 经检验,x=1时,x-1=0, , 所以x=1是原方程增根. 所以原方程的无解. 【点睛】 本题考查了分式方程的解法,熟练确定最简公分母,化分式方程为整式方程是解题的关键,其次,千万注意要验根. 22.(2021·山东临沂市·八年级期末)解方程: (1) (2) 【答案】 解:(1) 去分母得: , 解得: , 经检验 是分式方程的解.(2) 两边都乘以 ,得: , 解得 , 当 时, , 所以x=2是原方程的增根, 所以原分式方程无解. 【点睛】 本题考查了分式方程的解法.题目相对简单.求解本题需要注意:(1)分式方程需检验;(2)去分母时勿漏乘不含分母的 项. 23.(2021·云南大理白族自治州·八年级期末)解方程: (1) ; (2) 【答案】 解:(1) 解:方程两边乘3(x-2),得 3(x-2)+3(5x-4)=4x-4. 解得x=1. 检验:当x=1时,3(x-2) 0. 所以x=1为原分式方程的解(2) 解:去分母,方程两边乘 ,得: , 解得x=1. 检验:当x=1时, , 所以原分式方程无解. 【点睛】 本题考查了解分式方程,掌握解分式方程的一般步骤是解题关键. 24.(2020·浙江杭州市·七年级期中)解方程: (1) (2) 【答案】 解:(1)去分母得: 1-3(x-2)=-(x-1), 解得:x=3, 经检验:x=3是原方程的解, 即原方程的解为x=3; (2)去分母得:5x+2=3x, 解得:x=-1, 经检验x=-1是分式方程的增根,即原方程无解. 【点睛】 此题考查了解分式方程,利用了转化的思想,解分式方程注意要检验. 25.(2021·山东聊城市·八年级期末)解下列分式方程 (1) ; (2) . 【答案】 解:(1)方程左右两边同乘( ),得 , 移项合并同类项,得 , 系数化为1,得 , 经险验, 是原方程的根; (2)方程左右两边同乘 ,得 , 去括号,得 , 移项合并同类项,得 , 经检验: 是原方程的根. 【点睛】 本题考查了解分式方程,利用了转化的思想,解分式方程注意要检验.