当前位置:首页>文档>第35课反比例函数的图像(解析版)_北师大初中数学_9上-北师大版初中数学_05习题试卷_1课时练习_同步练习(第2套)

第35课反比例函数的图像(解析版)_北师大初中数学_9上-北师大版初中数学_05习题试卷_1课时练习_同步练习(第2套)

  • 2026-04-14 16:45:07 2026-04-14 15:11:55

文档预览

第35课反比例函数的图像(解析版)_北师大初中数学_9上-北师大版初中数学_05习题试卷_1课时练习_同步练习(第2套)
第35课反比例函数的图像(解析版)_北师大初中数学_9上-北师大版初中数学_05习题试卷_1课时练习_同步练习(第2套)
第35课反比例函数的图像(解析版)_北师大初中数学_9上-北师大版初中数学_05习题试卷_1课时练习_同步练习(第2套)
第35课反比例函数的图像(解析版)_北师大初中数学_9上-北师大版初中数学_05习题试卷_1课时练习_同步练习(第2套)
第35课反比例函数的图像(解析版)_北师大初中数学_9上-北师大版初中数学_05习题试卷_1课时练习_同步练习(第2套)
第35课反比例函数的图像(解析版)_北师大初中数学_9上-北师大版初中数学_05习题试卷_1课时练习_同步练习(第2套)
第35课反比例函数的图像(解析版)_北师大初中数学_9上-北师大版初中数学_05习题试卷_1课时练习_同步练习(第2套)
第35课反比例函数的图像(解析版)_北师大初中数学_9上-北师大版初中数学_05习题试卷_1课时练习_同步练习(第2套)
第35课反比例函数的图像(解析版)_北师大初中数学_9上-北师大版初中数学_05习题试卷_1课时练习_同步练习(第2套)
第35课反比例函数的图像(解析版)_北师大初中数学_9上-北师大版初中数学_05习题试卷_1课时练习_同步练习(第2套)
第35课反比例函数的图像(解析版)_北师大初中数学_9上-北师大版初中数学_05习题试卷_1课时练习_同步练习(第2套)
第35课反比例函数的图像(解析版)_北师大初中数学_9上-北师大版初中数学_05习题试卷_1课时练习_同步练习(第2套)
第35课反比例函数的图像(解析版)_北师大初中数学_9上-北师大版初中数学_05习题试卷_1课时练习_同步练习(第2套)
第35课反比例函数的图像(解析版)_北师大初中数学_9上-北师大版初中数学_05习题试卷_1课时练习_同步练习(第2套)
第35课反比例函数的图像(解析版)_北师大初中数学_9上-北师大版初中数学_05习题试卷_1课时练习_同步练习(第2套)
第35课反比例函数的图像(解析版)_北师大初中数学_9上-北师大版初中数学_05习题试卷_1课时练习_同步练习(第2套)
第35课反比例函数的图像(解析版)_北师大初中数学_9上-北师大版初中数学_05习题试卷_1课时练习_同步练习(第2套)
第35课反比例函数的图像(解析版)_北师大初中数学_9上-北师大版初中数学_05习题试卷_1课时练习_同步练习(第2套)
第35课反比例函数的图像(解析版)_北师大初中数学_9上-北师大版初中数学_05习题试卷_1课时练习_同步练习(第2套)
第35课反比例函数的图像(解析版)_北师大初中数学_9上-北师大版初中数学_05习题试卷_1课时练习_同步练习(第2套)
第35课反比例函数的图像(解析版)_北师大初中数学_9上-北师大版初中数学_05习题试卷_1课时练习_同步练习(第2套)
第35课反比例函数的图像(解析版)_北师大初中数学_9上-北师大版初中数学_05习题试卷_1课时练习_同步练习(第2套)
第35课反比例函数的图像(解析版)_北师大初中数学_9上-北师大版初中数学_05习题试卷_1课时练习_同步练习(第2套)
第35课反比例函数的图像(解析版)_北师大初中数学_9上-北师大版初中数学_05习题试卷_1课时练习_同步练习(第2套)
第35课反比例函数的图像(解析版)_北师大初中数学_9上-北师大版初中数学_05习题试卷_1课时练习_同步练习(第2套)
第35课反比例函数的图像(解析版)_北师大初中数学_9上-北师大版初中数学_05习题试卷_1课时练习_同步练习(第2套)
第35课反比例函数的图像(解析版)_北师大初中数学_9上-北师大版初中数学_05习题试卷_1课时练习_同步练习(第2套)
第35课反比例函数的图像(解析版)_北师大初中数学_9上-北师大版初中数学_05习题试卷_1课时练习_同步练习(第2套)
第35课反比例函数的图像(解析版)_北师大初中数学_9上-北师大版初中数学_05习题试卷_1课时练习_同步练习(第2套)
第35课反比例函数的图像(解析版)_北师大初中数学_9上-北师大版初中数学_05习题试卷_1课时练习_同步练习(第2套)
第35课反比例函数的图像(解析版)_北师大初中数学_9上-北师大版初中数学_05习题试卷_1课时练习_同步练习(第2套)
第35课反比例函数的图像(解析版)_北师大初中数学_9上-北师大版初中数学_05习题试卷_1课时练习_同步练习(第2套)
第35课反比例函数的图像(解析版)_北师大初中数学_9上-北师大版初中数学_05习题试卷_1课时练习_同步练习(第2套)
第35课反比例函数的图像(解析版)_北师大初中数学_9上-北师大版初中数学_05习题试卷_1课时练习_同步练习(第2套)
第35课反比例函数的图像(解析版)_北师大初中数学_9上-北师大版初中数学_05习题试卷_1课时练习_同步练习(第2套)
第35课反比例函数的图像(解析版)_北师大初中数学_9上-北师大版初中数学_05习题试卷_1课时练习_同步练习(第2套)
第35课反比例函数的图像(解析版)_北师大初中数学_9上-北师大版初中数学_05习题试卷_1课时练习_同步练习(第2套)
第35课反比例函数的图像(解析版)_北师大初中数学_9上-北师大版初中数学_05习题试卷_1课时练习_同步练习(第2套)
第35课反比例函数的图像(解析版)_北师大初中数学_9上-北师大版初中数学_05习题试卷_1课时练习_同步练习(第2套)
第35课反比例函数的图像(解析版)_北师大初中数学_9上-北师大版初中数学_05习题试卷_1课时练习_同步练习(第2套)
第35课反比例函数的图像(解析版)_北师大初中数学_9上-北师大版初中数学_05习题试卷_1课时练习_同步练习(第2套)
第35课反比例函数的图像(解析版)_北师大初中数学_9上-北师大版初中数学_05习题试卷_1课时练习_同步练习(第2套)
第35课反比例函数的图像(解析版)_北师大初中数学_9上-北师大版初中数学_05习题试卷_1课时练习_同步练习(第2套)
第35课反比例函数的图像(解析版)_北师大初中数学_9上-北师大版初中数学_05习题试卷_1课时练习_同步练习(第2套)
第35课反比例函数的图像(解析版)_北师大初中数学_9上-北师大版初中数学_05习题试卷_1课时练习_同步练习(第2套)
第35课反比例函数的图像(解析版)_北师大初中数学_9上-北师大版初中数学_05习题试卷_1课时练习_同步练习(第2套)
第35课反比例函数的图像(解析版)_北师大初中数学_9上-北师大版初中数学_05习题试卷_1课时练习_同步练习(第2套)
第35课反比例函数的图像(解析版)_北师大初中数学_9上-北师大版初中数学_05习题试卷_1课时练习_同步练习(第2套)
第35课反比例函数的图像(解析版)_北师大初中数学_9上-北师大版初中数学_05习题试卷_1课时练习_同步练习(第2套)
第35课反比例函数的图像(解析版)_北师大初中数学_9上-北师大版初中数学_05习题试卷_1课时练习_同步练习(第2套)
第35课反比例函数的图像(解析版)_北师大初中数学_9上-北师大版初中数学_05习题试卷_1课时练习_同步练习(第2套)
第35课反比例函数的图像(解析版)_北师大初中数学_9上-北师大版初中数学_05习题试卷_1课时练习_同步练习(第2套)
第35课反比例函数的图像(解析版)_北师大初中数学_9上-北师大版初中数学_05习题试卷_1课时练习_同步练习(第2套)
第35课反比例函数的图像(解析版)_北师大初中数学_9上-北师大版初中数学_05习题试卷_1课时练习_同步练习(第2套)
第35课反比例函数的图像(解析版)_北师大初中数学_9上-北师大版初中数学_05习题试卷_1课时练习_同步练习(第2套)
第35课反比例函数的图像(解析版)_北师大初中数学_9上-北师大版初中数学_05习题试卷_1课时练习_同步练习(第2套)
第35课反比例函数的图像(解析版)_北师大初中数学_9上-北师大版初中数学_05习题试卷_1课时练习_同步练习(第2套)
第35课反比例函数的图像(解析版)_北师大初中数学_9上-北师大版初中数学_05习题试卷_1课时练习_同步练习(第2套)
第35课反比例函数的图像(解析版)_北师大初中数学_9上-北师大版初中数学_05习题试卷_1课时练习_同步练习(第2套)
第35课反比例函数的图像(解析版)_北师大初中数学_9上-北师大版初中数学_05习题试卷_1课时练习_同步练习(第2套)
第35课反比例函数的图像(解析版)_北师大初中数学_9上-北师大版初中数学_05习题试卷_1课时练习_同步练习(第2套)
第35课反比例函数的图像(解析版)_北师大初中数学_9上-北师大版初中数学_05习题试卷_1课时练习_同步练习(第2套)
第35课反比例函数的图像(解析版)_北师大初中数学_9上-北师大版初中数学_05习题试卷_1课时练习_同步练习(第2套)
第35课反比例函数的图像(解析版)_北师大初中数学_9上-北师大版初中数学_05习题试卷_1课时练习_同步练习(第2套)
第35课反比例函数的图像(解析版)_北师大初中数学_9上-北师大版初中数学_05习题试卷_1课时练习_同步练习(第2套)
第35课反比例函数的图像(解析版)_北师大初中数学_9上-北师大版初中数学_05习题试卷_1课时练习_同步练习(第2套)
第35课反比例函数的图像(解析版)_北师大初中数学_9上-北师大版初中数学_05习题试卷_1课时练习_同步练习(第2套)
第35课反比例函数的图像(解析版)_北师大初中数学_9上-北师大版初中数学_05习题试卷_1课时练习_同步练习(第2套)

文档信息

文档格式
docx
文档大小
3.153 MB
文档页数
64 页
上传时间
2026-04-14 15:11:55

文档内容

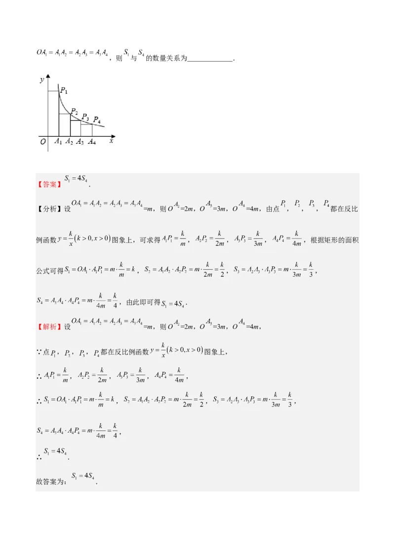
第 35 课 反比例函数的图像 课后培优练级 练 培优第一阶——基础过关练 一、解答题 1.先填表,再画出反比例函数 的函数图像. x 1 2 3 4 y 【答案】见解析 【分析】将点的横坐标代入到反比例函数的解析式后求得y值,然后再画出双曲线. 【解析】解:填表如下: x 1 2 3 4 y 4 2 1 作出图像为: 【点睛】此题主要考查了反比例函数图象画法,明确函数图象上点的坐标满足解析式是解决问题的关键. 2.分别画出函数 和 的图象. 【答案】见详解 【分析】根据五点作图法可直接画出函数图形.【解析】解:函数 的图象如图所示: 函数 的图象如图所示: 【点睛】本题主要考查反比例函数的图象,熟练掌握反比例函数的图象是解题的关键. 3.(1)在所给平面直角坐标系中,画出反比例函数 的图象; (2)函数 的图象是轴对称图形吗?有几条对称轴? (3)上述图象的两个分支是否成中心对称,请指出对称中心,并写出两对对称点坐标.【答案】(1)见解析(2)函数 的图象是轴对称图形,有 条对称轴;(3)图象的两个分支成中心 对称,对称中心是原点,两对对称点坐标为 和 、 和 . 【分析】(1)从正数,负数中各选几个值作为x的值,进而得到y的值,描点,连线即可; (2)观察函数的图象即可确定其对称性; (3)观察函数的图象得到中心对称图形,从而确定对称中心和两对对称点的坐标即可. 【解析】(1)列表得: 描点,连线得: (2)函数 的图象是轴对称图形,有 条对称轴;(3)图象的两个分支成中心对称,对称中心是原点, 两对对称点坐标为 和 、 和 . 【点睛】本题主要考查画反比例函数图像及反比例函数的对称性. 4.已知 和 是同一个反比例函数图象上的两个点.(1)求m的值; (2)画出这个反比例函数的图象; (3)将A,B两点标在函数图象上. 【答案】(1)-6;(2)见解析;(3)见解析 【分析】(1)利用反比例函数解析式列方程,解方程即可; (2)先求出点A,再求反比例函数解析式,然后列表描点,连结平滑曲线即可; (3)在反比例函数图像上标出点A,点B即可. 【解析】解:(1)设反比例函数解析式为 , ∵ 和 是同一个反比例函数图象上, ∴ , 解得 ; (2)点A(-3,2),点B(3,-2), ∴ , 解得 , ∴反比例函数解析式为 , 列表: x -6 -3 -2 -1 1 2 3 6 y 1 2 3 6 -6 -3 -2 -1 在平面直角坐标系中描点(-6,1),(-3,2),(-2,3),(-1,6),(1,-6),(2,-3),(3,- 2),(6,-1), 用平滑曲线连结,可得 的图像,(3)点A,B如图所示. 【点睛】本题考查待定系数法求反比例函数解析式,列一元一次方程与解方程,用描点法画函数图像, 掌握待定系数法求反比例函数解析式,列一元一次方程与解方程,用描点法画函数图像是解题关键. 5.把下列函数的解析式与其图象对应起来. (1) ;(2) ;(3) ;(4) . A. B. C. D.【答案】(1)B;(2)A;(3)C;(4)D 【分析】根据反比例函数的选择即可得到结论. 【解析】解:(1) 的图象在一,三象限,对应着图象B; (2) 的图象关于y轴对称,且函数值为正,在x轴上方,对应着图象A; (3) 的图象在二,四象限,对应着图象C; (4) 的图象关于y轴对称,且函数值为负,在x轴方下方,对应着图象D. 【点睛】本题考查了反比例函数的选择,熟练掌握反比例函数的性质是解题的关键. 二、单选题 6.当k<0,x>0时,反比例函数y= 的图象在( ) A.第一象限 B.第二象限 C.第三象限 D.第四象限 【答案】B 【解析】k<0,反比例函数图像位于第二、四象限, ∵x<0,∴反比例函数图像位于第二象限. 故选B. 点睛:反比例函数y= (k≠0),若k>0,那么反比例函数图像位于第一、三象限;若k<0,那么反比例 函数图像位于第二、四象限. 7.对于反比例函数y= 的图象的对称性叙述错误的是( ) A.关于原点中心对称 B.关于直线y=x对称 C.关于直线y=﹣x对称 D.关于x轴对称 【答案】D 【分析】根据反比例函数图象的对称性判断即可. 【解析】解:反比例函数y= 的图象关于原点中心对称、关于直线y=x对称、关于直线y=-x对称, ∵它的图象在第一、三象限,∴不关于x轴对称, A、B、C说法正确,不符合题意,D说法错误,符合题意, 故选D. 【点睛】本题考查反比例函数的图象和性质,掌握反比例函数图象既是轴对称图形又是中心对称图形,对 称轴分别是:①二、四象限的角平分线y=-x;②一、三象限的角平分线y=x;对称中心是:坐标原点是解 题关键. 8.点 在反比例函 的图象上,则下列说法正确的是( ) A. B.函数的图象关于 对称 C.函数的图象经过点(6,1) D.函数的图象关于原点对称 【答案】D 【分析】根据反比例函数图象上点的坐标特征对A、C进行判断;根据反比例函数的性质对B、D进行判 断. 【解析】解:A、点(3,-2)在反比例函数 的图象上,则k=3×(-2)=-6,故错误; B、函数的图象关于y=-x对称,故错误; C、函数图象经过点(6,-1)或(-6,1),故错误; D、函数图象关于原点成中心对称,故正确, 故选:D. 【点睛】本题考查了反比例函数的性质:反比例函数 (k≠0)的图象是双曲线;当k>0,双曲线的两 支分别位于第一、第三象限,在每一象限内y随x的增大而减小;当k<0,双曲线的两支分别位于第二、 第四象限,在每一象限内y随x的增大而增大. 9.函数y= 的图象可能是( ) A. B. C. D. 【答案】C 【解析】解:函数y= 是反比例y= 的图象向左移动一个单位,即函数y= 是图象是反比例y= 的图象双曲线向左移动一个单位. 故选C 点睛:本题考虑利用排除法进行求解,由y= ,可得x≠-1,故可排除A、B; 当x<-1时,y<0,故图象有一部分在第三象限,据此即可解答. 10.反比例函数 的图像在第二、四象限内,则点 在( ) A.第一象限 B.第二象限 C.第三象限 D.第四象限 【答案】C 【分析】先根据反比例函数 的图象在二、四象限判断出m的符号,进而得出点 ,由此即可得 出结论. 【解析】∵反比例函数 的图象在二、四象限, ∴m<0, ∴点 在第三象限. 故选:C. 【点睛】考查反比例函数的性质,反比例函数 当 时,图象在第一、三象限.在每个象限,y随着x的增大而减小, 当 时,图象在第二、四象限.在每个象限,y随着x的增大而增大. 11.在平面直角坐标系中,反比例函数经过点 ,则反比例图象所在象限为( ) A.第一、三象限 B.第二、四象限 C.第一、二象限 D.第三、四象限 【答案】A 【分析】设反比例函数为: ,把 代入解析式,得到 > ,从而可得答案. 【解析】解:设反比例函数为: ,把 代入解析式: > 所以反比例函数的图像在第一,三象限,故选A. 【点睛】本题考查非负数的性质,反比例函数的图像与性质,掌握以上知识是解题的关键. 12.已知k<0<k,则函数y=kx和 的图像大致是( ) 1 2 1 A. B. C. D. 【答案】D 【解析】∵k<0<k, 1 2 ∴直线过二、四象限,并且经过原点;双曲线位于一、三象限. 故选D. 13.定义新运算:a⊕b= ,则函数y=2⊕x(x≠0)的图象大致是( ) A. B. C. D. 【答案】D 【分析】根据题干中定义的新运算求出y=2⊕x的解析式,进而判断. 【解析】解:由题意得y=2⊕x= , ∴函数图象大致为:故选:D. 【点睛】本题考查反比例函数图象,解题关键是理解题意,正确得出y=2⊕x的解析式. 三、填空题 14.反比例函数的图象是_________. 【答案】双曲线 【分析】根据反比例函数的性质:反比例函数的图象是双曲线. 【解析】反比例函数的图象是双曲线. 故答案为双曲线 【点睛】本题考核知识点:反比例函数的性质.解题关键点:熟记反比例函数的性质. 15.已知反比例函数 ( 是常数, )的图像有一支在第四象限,那么 的取值范围是 __________. 【答案】 【分析】根据反比例函数所在象限,可以判断比例系数小于0,列不等式求解即可. 【解析】解:∵反比例函数 ( 是常数, )的图像有一支在第四象限, ∴ <0, 解得 , 故答案为: . 【点睛】本题考查了反比例函数图象的性质,解题关键是熟知反比例函数图象的性质. 16.函数 的图像经过第一、三象限,则 的图像一定不在第____________象限 【答案】一、三 【分析】因为正比例函数y=kx的图象经过第一、三象限,所以k>0,则-k<0,所以 经过二、四象限,即可得解. 【解析】因为函数 的图像经过第一、三象限,所以k>0,则-k<0,故 的图像经过第二、四 象限,那么 的图像一定不在第一、三象限. 故答案为:一、三. 【点睛】本题考查正比例函数和反比例函数的图象性质,需注意判断x的系数的符号. 17.如果反比例函数 的图象位于第二、四象限内,那么满足条件的非负整数k的值是__________. 【答案】0或1或2 【分析】根据反比例函数图象所在的象限求得k-3<0,然后得到非负整数k的取值即可. 【解析】解:∵反比例函数y= 的图象位于第二、四象限内, ∴k-3<0, 则k<3. 又k是非负整数, ∴k=0,1,2, 故答案是:0或1或2. 【点睛】本题考查了反比例函数的图象的性质,重点是比例系数k的正负. 18.如图,已知反比例函数: , , 在 轴上方的图象,则 , , 的大小依次排列 为________.(从大到小排列) 【答案】 【分析】根据反比例函数的性质可得k<0,k3<0,k>0,再根据图象距原点越远,k的绝对值越大,可 2 1 得k<k<0,进而得到答案. 2 3 【解析】∵三个反比例函数 , 的图象在第二象限; ∴k<0,k<0, 2 3∵ 的图象距原点较远, ∴k<k<0, 2 3 ∵y= 在第一象限, ∴k>0, 1 综合可得:k>k>k, 1 3 2 故答案为k>k>k. 1 3 2 此题主要考查了反比例函数性质,反比例函数y= 的图象是双曲线,当k>0时,它的两个分支分别位于 第一、三象限;当k<0时,它的两个分支分别位于第二、四象限.且图象据距原点越远,k的绝对值越大. 19.已知函数 ,当 时,函数的图象在第______象限. 【答案】四 【分析】反比例函数 的图象 时位于第四象限. 【解析】解:∵ ∴图象在第二、四象限 ∴当 时,函数的图象在第四象限 故答案为:四. 【点睛】本题考查了反比例函数图象的性质,当 时,函数位于一、三象限;当 时,函数位于二、 四象限. 培优第二阶——拓展培优练 一、单选题 1.已知一次函数y=kx+b的图象经过第二、三、四象限,则反比例函数 的图象在( ) A.第一、二象限 B.第三、四象限 C.第一、三象限 D.第二、四象限. 【答案】C 【分析】先根据一次函数的性质求出kb的正负情况,再利用反比例函数的性质解答. 【解析】∵一次函数y=kx+b的图象经过第二、三、四象限, ∴k<0,b<0, ∴kb>0,∴反比例函数y= 的图象位于第一、三象限内. 故选C. 【点睛】本题考查了反比例函数的性质:y= (k≠0)的图象为双曲线,当k>0,图象分布在第一、三象 限,在每一象限,y随x的增大而减小;当k<0,图象分布在第二、四象限,在每一象限,y随x的增大而 增大.也考查了一次函数的性质. 2.如图,在 AOB中,∠AOB=90°,点A的坐标为(2,1),BO=2 ,反比例函数y= 的图象经过 △ 点B,则k的值为( ) A.﹣2 B.﹣4 C.4 D.﹣8 【答案】D 【分析】根据∠AOB=90°,先过点A作AC⊥x轴,过点B作BD⊥x轴,构造相似三角形,再利用相似三角 形的对应边成比例,列出比例式进行计算,求得点B的坐标,进而得出k的值. 【解析】过点A作AC⊥x轴,过点B作BD⊥x轴,垂足分别为C、D, 则∠OCA=∠BDO=90°, ∴∠DBO+∠BOD=90°, ∵∠AOB=90°, ∴∠AOC+∠BOD=90°,∴∠DBO=∠AOC, ∴△DBO∽△COA, ∴ = = , ∵点A的坐标为(2,1), ∴AC=1,OC=2, ∴AO= = , ∴ = = ,即BD=4,DO=2, ∴B(﹣2,4), ∵反比例函数y= 的图象经过点B, ∴k的值为﹣2×4=﹣8. 故选:D. 【点睛】本题主要考查了反比例函数图象上点的坐标特征以及相似三角形,注意:反比例函数图象上的点 (x,y)的横、纵坐标的积是定值k,即xy=k,这是解决问题的关键. 3.如图,两个反比例函数y= 和y= 在第一象限内的图象分别是C 和C ,设点P在C上,PA⊥x轴于 1 2 1 2 点A,交C 于点B,则 POB的面积为( ) 2 △ A.4 B.2 C.1 D.6 【答案】C 【分析】根据反比例函数y= (k≠0)系数k的几何意义得到 ,然后利用 进行计算即可.【解析】解:∵PA⊥x轴于点A,交 于点B, ∴ , ∴ . 故选:C. 【点睛】本题考查了反比例函数y= (k≠0)系数k的几何意义:从反比例函数y= (k≠0)图象上任意一 点向x轴和y轴作垂线,垂线与坐标轴所围成的矩形面积为|k|. 4.如图,等腰三角形 ABC的顶点A在原点固定,且始终有 ,当顶点C在函数 的图象 上从上到下运动时,顶点B在x轴的正半轴上移动,则 ABC的面积大小变化情况是( ) A.先减小后增大 B.先增大后减小 C.一直不变 D.先增大后不变 【答案】C 【分析】根据三角形ABC的面积是点C的横坐标与纵坐标的乘积除以2,和点C在函数 的图 象上,可以解答本题. 【解析】解:∵等腰三角形ABC的顶点A在原点,顶点B在x轴的正半轴上,顶点C在函数 的图象上运动,且AC=BC, 设点C的坐标为 , ∴ , 即△ABC的面积不变, 故选:C.【点睛】本题考查反比例函数系数k的几何意义,解题的关键是将反比例的系数k与三角形的面积联系在 一起. 5.已知关于x的方程(k﹣2)2x2+(2k+1)x+1=0有实数解,且反比例函数y= 的图象经过第二、 四象限,若k是常数,则k的值为( ) A.4 B.3 C.2 D.1 【答案】D 【分析】根据根判别式得(2k+1)2-4(k-2)2≥0,及反比例函数性质得2k-3<0,求出不等式的解集,再 取整数解即可. 【解析】∵方程为一元二次方程, ∴k-2≠0,即k≠2. ∵方程有实数根, ∴△≥0, ∴(2k+1)2-4(k-2)2≥0, 即(2k+1-2k+4)(2k+1+2k-4)≥0, ∴5(4k-3)≥0, ∴k≥ . 又∵反比例函数y= 的图象经过第二、四象限, ∴2k-3<0, ∴k< , ∴k的取值范围是 ≤k< . 又∵k是整数, ∴k=1. 故选D 【点睛】本题考核知识点:一元二次方程的根和反比例函数性质. 解题关键点:熟记一元二次方程的根判 别式和反比例函数性质. 6.如图,菱形 的顶点分别在反比例函数 和 的图象上,且边长为 ,则菱形 的 面积为( )A. B. C. D. 【答案】A 【分析】连接 、 ,过点 作 轴于点 ,过点 作 轴于点 ,根据菱形的性质,易 证 ,根据相似三角形的性质与反比例函数 的几何意义,可求出 ,根据勾 股定理,即可求出 和 的长,进一步求出 , ,即可求出菱形 的面积. 【解析】解:连接 、 ,过点 作 轴于点 ,过点 作 轴于点 ,如图所示: 则有 , , 在菱形 中, , 菱形 的顶点分别在反比例函数 和 图象上, 与 、 与 关于原点对称, 、 经过点 , , , , ,, , 分别在反比例函数 和 图象上, , , 设 , , 菱形边长为 , 根据勾股定理,得 , 解得 , , , , , 菱形 的面积为 , 故选:A 【点睛】本题考查了反比例函数 的几何意义,涉及菱形的性质,相似三角形的性质与判定等,构造相似 三角形以及熟练掌握反比例函数 的几何意义是解题的关键. 二、填空题 7. 是y关于x的反比例函数,且图象在第二、四象限,则m的值为_____. 【答案】-2 【分析】根据反比例函数的定义可得m2-m-7=-1,且m-1≠0,从而解出m的值,再由图象在第二、四象限 可得m-1<0,进而可确定m的值. 【解析】由题意得:m2-m-7=-1,且m-1≠0, 解得:m=3,m=-2, 1 2 ∵图象在第二、四象限, ∴m-1<0,∴m<1, ∴m=-2, 故答案为:-2. 【知识点】本题考查了反比例函数、一元二次方程、一元一次不等式的知识;解题的关键是熟练掌握反比 例函数、一元二次方程的性质,从而完成求解. 8.如图,已知反比例函数: , , 在 轴上方的图象,则 , , 的大小依次排列为 ________.(从大到小排列) 【答案】 【分析】根据反比例函数的性质可得k<0,k3<0,k>0,再根据图象距原点越远,k的绝对值越大,可 2 1 得k<k<0,进而得到答案. 2 3 【解析】∵三个反比例函数 , 的图象在第二象限; ∴k<0,k<0, 2 3 ∵ 的图象距原点较远, ∴k<k<0, 2 3 ∵y= 在第一象限, ∴k>0, 1 综合可得:k>k>k, 1 3 2 故答案为k>k>k. 1 3 2 此题主要考查了反比例函数性质,反比例函数y= 的图象是双曲线,当k>0时,它的两个分支分别位于 第一、三象限;当k<0时,它的两个分支分别位于第二、四象限.且图象据距原点越远,k的绝对值越大. 9.若点 与点 是正比例函数 图象与反比例西数 图象的两个不同的 交点,则 __________.【答案】 【分析】根据正比例函数与反比例函数图象都关于原点对称,则交点也关于原点对称,进而求得 的值, 即可求解. 【解析】解:∵点 与点 是正比例函数 图象与反比例西数 图象的 两个不同的交点, ∴ , 解得 , , 故答案为: . 【点睛】本题考查了正比例函数与反比例函数图象的性质,关于原点对称的点的坐标特征,掌握以上知识 是解题的关键. 10.在平面直角坐标系中,一次函数 与反比例函数 的图象交于 , 两点, 则 的值是____________. 【答案】0 【分析】根据正比例函数和反比例函数的图像关于原点对称,则交点也关于原点对称,即可求得 【解析】 一次函数 与反比例函数 的图象交于 , 两点, 一次函数 与反比例函数 的图象关于原点对称, 故答案为:0 【点睛】本题考查了正比例函数和反比例函数图像的性质,掌握以上性质是解题的关键. 11.如图,过原点的直线交反比例函数 图象于P、Q点,过点Р分别作x轴,y轴的垂线,交反比例 函数 的图象于A、B点,已知 ,则图中阴影部分的面积为_____________;且当时, 的值为_____________. 【答案】 6 【分析】连接OA,OB,延长BP交x轴于点C,易求 , 由P,Q关于与原点成中心对称,得OP=OQ,利用等底同高的三角形的面积相等可得 ,易求 ,同理可得: 所以 .设点C(m,0)m>0.则P(m, ),A (m, ),B( ),即可求得AP= ,利用三角形面积公式得到 ,解得a=1.5,进一步求得 . 【解析】 连接PQ,OA,OB,延长BP交x轴于点C, 设点C对应的数为m,m>0.则P(m, ),B(m, )∴OC=m,PC= ,BC= ∴ , ∴ ∵P、Q关于原点成中心对称, ∴OP=OQ ∴ ∴ 同理可得: 所以 设点C(m,0)m>0. 则P(m, ),A(m, ),B( , ), ∴AP= , ∵S =3, APB △ ∴ ∴a= , ∵b−a=3,∴b= , 故答案为:6, . 【点睛】本题主要考查了反比例函数系数k的几何意义,反比例函数图象上点的坐标的特征,关于原点对 称的点的坐标的性质,三角形的面积.利用点的坐标表示出相应线段的长度是解题的关键.12.设 是反比例函数 图象上的任意四点,现有以下结论: ①四边形 可以是平行四边形; ②四边形 可以是菱形; ③四边形 不可能是矩形; ④四边形 不可能是正方形. 其中正确的是_______.(写出所有正确结论的序号) 【答案】①④ 【分析】利用反比例函数的对称性,画好图形,结合平行四边形,矩形,菱形,正方形的判定可以得到结 论,特别是对②的判断可以利用反证法. 【解析】解:如图, 反比例函数 的图象关于原点成中心对称, 四边形 是平行四边形,故①正确, 如图,若四边形 是菱形, 则 显然: < 所以四边形 不可能是菱形,故②错误, 如图, 反比例函数 的图象关于直线 成轴对称, 当 垂直于对称轴时,四边形 是矩形,故③错误, 四边形 不可能是菱形, 四边形 不可能是正方形,故④正确, 故答案为:①④. 【点睛】本题考查的是平行四边形,矩形,菱形,正方形的判定,反比例函数的对称性,掌握以上知识是 解题的关键. 三、解答题 13.在同一平面直角坐标系中,画出反比例函数 与 的图象. 【答案】见解析. 【分析】用描点法画反比例函数的图象,步骤:列表---描点---连线. 【解析】解:列表如下: x -4 -3 -2 -1 1 2 3 4 -2 -4 -8 8 4 2 2 4 8 -8 -4 -2 描点、连线,如图所示.【点睛】本题主要考查了反比例函数的图象,列表取值时,x≠0,因为x=0函数无意义,为了使描出的点具 有代表性,可以以“0”为中心,向两边对称式取值,即正、负数各一半,且互为相反数,这样也便于求y 值. 14.点A是反比例函数 的图像 上一点,直线 轴,交反比例函数 ( )的图 像 于点B,直线 轴,交 于点C,直线 轴,交 于点D. (1)若点A(1,1),分别求线段AB和CD的长度; (2)对于任意的点A(a,b),试探究线段AB和CD的数量关系,并说明理由. 【答案】(1) , (2) ,理由见解析 【分析】(1)根据题意求得B(3,1),C(1,3),D( ,3),即可求得AB和CD的长度; (2)根据题意得到A(a, ),B(3a, ).C(a, ),D( , ),进一步求得AB=2a,CD= a.即可求得AB>CD. (1)解:如图, ∵ 轴,A(1,1),B在反比例函数 的图象上, ∴B(3,1). 同理可求:C(1,3),D( ,3). ∴ , (2) 解: . 证明:如图, ∵A(a,b),A在反比例函数 的图象上, ∴A(a, ). ∵ 轴,B在反比例函数 的图象上, ∴B(3a, ). 同理可求:C(a, ),D( , ).∴ , . ∴ ∴ . 【点睛】本题考查了反比例函数图象上点的坐标特征,表示出A、B、C、D的坐标是解题的关键. 15.如图,已知点A(2,m)是反比例函数y= 的图象上一点,过点A作x轴的垂线,垂足为B,连结 OA,△ABO的面积为6. (1)求k和m的值; (2)直线y=2x+a(a≤0)与直线AB交于点C与反比例函数图象交于点E,F; ①若a=0,已知E(p,q),则F的坐标为 (用含p,q的坐标表示); ②若a=﹣2.求AC的长. 【答案】(1)k=12,m=6;(2)①(﹣p,﹣q);②4. 【分析】(1)根据反比例系数k的几何意义求得k,得到反比例函数的解析式,代入A(2,m),即可求 得m的值. (2)①根据反比例函数的中心对称性即可求得C点的坐标; ②求得C的坐标,即可求得AC的长. 【解析】解:(1)∵点A(2,m)是反比例函数y= 的图象上一点,过点A作AB⊥x轴于点B, ∴S AOB= |k|=6, △ ∴|k|=2×6=12, ∵图象在第一、三象限,∴k=12, ∴反比例函数为y= , ∴2m=12,解得:m=6;(2)①若a=0,则y=2x是正比例函数, ∵直线y=2x与反比例函数图象交于点E,F,且E(p,q), ∴F(﹣p,﹣q), 故答案为(﹣p,﹣q); ②若a=﹣2,则函数为y=2x﹣2, 把x=2代入y=2x﹣2得,y=2, ∴C(2,2), ∵A(2,6), ∴AC=6﹣2=4. 【点睛】本题考查了反比例函数系数k的几何意义、反比例函数的性质以及函数图象上点的坐标特点等知 识,属于基本知识题型,熟练掌握反比例函数的图象与性质及其系数k的几何意义是解题关键. 16.点 是反比例函数 的图象 上一点,直线 轴,交反比例函数 的图象 于点 , 直线 轴,交 于点 , 直线 轴,交 于点 . (1)若点 ,求线段 和 的长度; (2)对于任意的点 ,判断线段 和 的大小关系,并证明. 【答案】(1) , ;(2) ,证明见解析 【分析】(1)根据题意求得B(3,1),C(1,3),D( ,3),即可求得AB和CD的长度;(2)根据题意得到 , , , ,进一步求得AB=2a, .即可求得AB> CD. 【解析】解(1) 轴, , 在反比例函数 的图象上 同理可求: , , (2) 证明, , 在反比例函数 的图象上 轴, 在反比例函数 的图象上 同理可求: , , 【点睛】此题考查反比例函数图象上点的坐标特征,表示出A、B、C、D的坐标是解题的关键. 17.已知,在平面直角坐标系中,有反比例函数y= 的函数图像:(1)如图1,点A是该函数图像第一象限上的点,且横坐标为a(a>0),延长AO使得AO=A'O,判断点 A'是否为该函数图像第三象限上的点,并说明理由; (2)如图2,点B、C均为该函数图像第一象限中的点,连接BC,点D为线段BC的中点,请仅用一把无刻 度的直尺作出点D关于点O的对称点D'.(不写作图过程,保留作图痕迹) 【答案】(1)点A'是该函数图像第三象限上的点,理由见解析 (2)见解析 【分析】(1)过点A作AM⊥x轴于点M,过点 作 轴于点N,先求出点A的坐标,再证明 ,得出 ,即可得出结论; (2)连接BO、CO并延长,交反比例函数第三象限的图像于点 、点 ,连接 ,连接DO并延长, 交 于点 ,即可得到点点 . (1) 点A'是该函数图像第三象限上的点,理由如下:过点A作AM⊥x轴于点M,过点 作 轴于点N, 点A是反比例函数y= 的图像第一象限上的点,且横坐标为a(a>0), ,即 , , , , , , , 点A'是该函数图像第三象限上的点; (2)连接BO并延长,交反比例函数第三象限的图像于点 ,连接CO并延长,交反比例函数第三象限的图像 于点 ,连接 ,连接DO并延长,交 于点 , 此时,点 即为所求. 【点睛】本题考查了反比例函数的图像上的点的坐标特征,关于原点对称点的特点即作图,掌握知识点是 解题的关键. 18.某班数学兴趣小组对函数 的图象和性质进行了探究,探究过程如下: (1)绘制函数图象 ①列表:下面是x与y的几组对应值,其中 ______. … -4 -2 -1 1 2 4 … … -2 … ②描点:根据表中的数据描点 ,请补充描出点 ; ③连线:用平滑的曲线顺次连接各点,请把图象补充完整;(2)探究函数性质 按要求填写函数性质: ①对称性:______. ②最值: 时,此函数有最______值(填大或小) ③增减性:若y随x增大而减小,则x的值范围是______. (3)函数图象和性质的运用 已知矩形ABCD一边的长为x,面积为1,相邻两边之和为y,当 ______时 ,y有值最小. 【答案】(1)① ;②描点见解析;③画图见解析; (2)①函数 的图象关于原点成中心对称;②大;③ 或 . (3) 【分析】(1)①把 代入函数解析式 进行计算即可;②直接在坐标系内描点即可,③利用平 滑的曲线连第一象限接各点即可, (2)①根据函数的图象可得答案;②根据函数在第二象限的图象可得答案;③根据函数的图象可得 或 时,y随x增大而减小; (3)先表示矩形的另外一边,再得到函数关系式为 ,再结合(1)(2)可得答案. (1) 解:①当 时, ②描点如图, ③利用平滑的曲线连接各点如下图,(2) 解:①对称性:函数 的图象关于原点成中心对称; ②最值: 时,此函数有最大值; ③增减性:若y随x增大而减小,则x的值范围是 或 . (3) 解: 矩形ABCD一边的长为x,面积为1, 矩形的另一边为 , 由(1)得:当 时,当 时,函数 的最小值为 【点睛】本题考查的是画函数的图象,根据函数的图象总结函数的性质,以及利用函数的图象解决问题, 掌握“画函数图象的基本步骤”是解本题的关键. 19.商丘市睢县古称襄邑,西汉时期为全国织锦生产供应中心,朝廷专门在此设服官,负责文武大臣官服 供应.已知一块长方形织锦的两边长分别是2米与3米,现在要把这个长方形织锦按照如图1的方式扩大 到面积为原来的2倍,设原长方形织锦的一边加长a米,另一边加长b米,可得a与b之间的函数关系式b = -2,某班“数学兴趣小组”对此函数进一步推广,得到更一般的函数y= -2,现对这个函数 的图象和性质进行了探究,研究过程如下,请补充完整:(1)类比反比例函数可知,函数y= -2的自变量x的取值范围是________,这个函数值y的取值范围 是________. (2)“数学兴趣小组”进一步思考函数y=| -2|的图象和性质,请根据函数y= -2的图象(图 2),画出函数y=| -2|的图象; (3)根据函数y=| -2|的图象,写出两条函数的性质; (4)根据函数y=| -2|的图象解答下列问题: ①方程| -2|=0有________个解,该方程的解是________; ②如果方程| -2|=a有两个不相等解,则a的取值范围是________. 【答案】(1) ; (2)见解析 (3)①函数有最小值,最小值为0;②当 时, 随 的增大而增大 (4)①1, ;②a>0且a≠2 【分析】(1)根据分式有意义的条件确定自变量x的取值范围,根据 ≠0,确定y的值即可; (2)描点法作出函数图象; (3)根据函数的图象,可得结论;(4)①根据函数图象即可求解;②根据函数图象以及y的取值范围分析求解. (1) 解:根据分式有意义的条件得, , 所以x的取值范围为: ;因为 ,所以 , 因此 的取值范围为: , 故答案为: ; . (2) 由绝对值定义,将函数y= ﹣2的图像在 轴下方的部分, 沿 轴向上翻折即可得到y=| ﹣2|的图象,如图, (3) 观察函数图象可知:①函数有最小值,最小值为0; ②当 时, 随 的增大而增大. (4) ①根据函数图象可知,| -2|=0与 轴有1个交点,交点坐标为 , ∴方程| -2|=0有1个解,该方程的解是 ;②故函数图象可得,如果方程| -2|=a有两个不相等解, 由(1)可知 ,则 , 则a的取值范围是a>0且a≠2. 【点睛】本题属于反比例函数综合题,考查了反比例函数的性质,函数图象等知识,解题的关键是正确画 出函数图象,学会利用图象法解决问题. 培优第三阶——中考沙场点兵 一、单选题 1.(2022·云南·中考真题)反比例函数y= 的图象分别位于( ) A.第一、第三象限 B.第一、第四象限 C.第二、第三象限 D.第二、第四象限 【答案】A 【分析】根据反比函数的图象和性质,即可求解. 【解析】解:∵6>0, ∴反比例函数y= 的图象分别位于第一、第三象限. 故选:A 【点睛】本题主要考查了反比函数的图象和性质,熟练掌握反比例函数 ,当 时,图象位 于第一、三象限内,在每一象限内,y随x的增大而减小;当 时,图象位于第二、四象限内,在每一 象限内,y随x的增大而增大是解题的关键. 2.(2018·四川凉山·中考真题)若mn<0,则正比例函数y=mx与反比例函数y= 在同一平面直角坐标 系中的大致图象可能是( ) A. B. C. D. 【答案】B 【分析】由mn<0可知,m、n异号,然后分m>0,n<0和m<0,n>0两种情况进行讨论,即可得出本题答案. 【解析】解:∵ mn<0, ∴m、n异号, ①当m>0,n<0时,正比例函数y=mx的图像过一三象限且过原点,而反比例函数y= 的图像过二四象 限;观察A、B、C、D四个选项都不符合要求,故不选; ②当m<0,n>0时,正比例函数y=mx的图像过二四象限且过原点,而反比例函数y= 的图像过一三象 限;观察A、B、C、D四个选项,易知选项B符合题意要求; 故选B. 【点睛】本题主要考查了正比例函数及反比例函数的图像所在象限与比例系数k值符号的关系的问题.理 清思路,能分m>0,n<0和m<0,n>0两种情况分进行讨论,是解答本题的关键. 3.(2022·黑龙江·中考真题)如图,在平面直角坐标系中,点O为坐标原点,平行四边形OBAD的顶点B 在反比例函数 的图象上,顶点A在反比例函数 的图象上,顶点D在x轴的负半轴上.若平行四 边形OBAD的面积是5,则k的值是( ) A.2 B.1 C. D. 【答案】D 【分析】连接OA,设AB交y轴于点C,根据平行四边形的性质可得 ,AB∥OD,再根 据反比例函数比例系数的几何意义,即可求解. 【解析】解:如图,连接OA,设AB交y轴于点C, ∵四边形OBAD是平行四边形,平行四边形OBAD的面积是5, ∴ ,AB∥OD, ∴AB⊥y轴,∵点B在反比例函数 的图象上,顶点A在反比例函数 的图象上, ∴ , ∴ , 解得: . 故选:D. 【点睛】本题主要考查了平行四边形的性质,反比例函数比例系数的几何意义,熟练掌握平行四边形的性 质,反比例函数比例系数的几何意义是解题的关键. 4.(2022·湖南郴州·中考真题)如图,在函数 的图像上任取一点A,过点A作y轴的垂线交函 数 的图像于点B,连接OA,OB,则 的面积是( ) A.3 B.5 C.6 D.10 【答案】B 【分析】作AD⊥x轴,BC⊥x轴,由 即可求解; 【解析】解:如图,作AD⊥x轴,BC⊥x轴,∵ , ∴ ∵ ∴ 故选:B. 【点睛】本题主要考查反比例函数的应用,掌握反比例函数相关知识,结合图像进行求解是解题的关键. 5.(2022·山东日照·中考真题)如图,矩形OABC与反比例函数 (k 是非零常数,x>0)的图象交 1 于点M,N,与反比例函数 (k 是非零常数,x>0)的图象交于点B,连接OM,ON.若四边形 2 OMBN的面积为3,则k-k=( ) 1 2 A.3 B.-3 C. D. 【答案】B 【分析】根据矩形的性质以及反比例函数系数k的几何意义即可得出结论.【解析】解:∵点M、N均是反比例函数 (k 是非零常数,x>0)的图象上, 1 ∴ , ∵矩形OABC的顶点B在反比例函数 (k 是非零常数,x>0)的图象上, 2 ∴S OABC=k, 矩形 2 ∴S =S OABC-S OAM-S OCN=3, 四边形OMBN 矩形 ∴k-k=3, △ △ 2 1 ∴k-k=-3, 1 2 故选:B. 【点睛】本题考查了矩形的性质,反比例函数系数k的几何意义:在反比例函数 图象中任取一点,过 这一个点向x轴和y轴分别作垂线,与坐标轴围成的矩形的面积是定值|k|. 6.(2022·湖南衡阳·中考真题)如图,在四边形 中, , , , 平分 .设 , ,则 关于 的函数关系用图象大致可以表示为( ) A. B. C. D.【答案】D 【分析】先证明 ,过 点做 于点 ,证明 ,利用相似三角形的性 质可得函数关系式,从而可得答案. 【解析】解:∵ ,∴ , ∵ 平分 ,∴ , ∴ ,则 ,即 为等腰三角形, 过 点做 于点 . 则 垂直平分 , , , ∵ , , ∴ , ∴ , ∴ , ∴ , ∵在 中, , ∴ , 故选D. 【点睛】本题考查的是角平分线的定义,等腰三角形的判定与性质,相似三角形的判定与性质,反比例函 数的图象,证明 是解本题的关键.二、填空题 7.(2022·湖北黄石·中考真题)如图,反比例函数 的图象经过矩形 对角线的交点E和点A, 点B、C在x轴上, 的面积为6,则 ______________. 【答案】8 【分析】如图作EF⊥BC,由矩形的性质可知 ,设E点坐标为(a,b),则A点坐标为(c, 2b),根据点A,E在反比例函数 上,根据反比例函数系数的几何意义可列出ab=k=2bc,根据三角形 OEC的面积可列出等式,进而求出k的值. 【解析】解:如图作EF⊥BC,则 , 设E点坐标为(a,b),则A点的纵坐标为2b, 则可设A点坐标为坐标为(c,2b), ∵点A,E在反比例函数 上, ∴ab=k=2bc,解得:a=2c,故BF=FC=2c-c=c, ∴OC=3c, 故 ,解得:bc=4,∴k=2bc=8, 故答案为:8. 【点睛】本题考查矩形的性质,反比例函数的图形,反比例函数系数k的几何意义,能够熟练掌握反比例 函数系数k的几何意义是解决本题的关键. 8.(2022·浙江衢州·中考真题)如图,在 中,边 在 轴上,边 交 轴于点 .反比例函数 的图象恰好经过点 ,与边 交于点 .若 , , ,则 =____. 【答案】 【分析】过点 作 轴于点 ,过点 作 轴于点 ,设点 的坐标为 ,则 ,先根据相似三角形的判定可得 ,根据相似三角形的性质可得 ,又根据相似三角形的判定证出 ,根据相似三角形的性质可得 , ,再根据反比例函数的解析式可得 ,从而可得 ,然后根据 即可得出答案. 【解析】解:如图,过点 作 轴于点 ,过点 作 轴于点 , 设点 的坐标为 ,则 , , , , ,轴, 轴, , , ,即 , , 又 轴, 轴, , , ,即 , 解得 , , 将 代入反比例函数 得: , , , 由 得: , , , , 解得 , 即 , 故答案为: . 【点睛】本题考查了反比例函数的几何应用、相似三角形的判定与性质,通过作辅助线,构造相似三角形 是解题关键. 9.(2022·山东烟台·中考真题)如图,A,B是双曲线y= (x>0)上的两点,连接OA,OB.过点A作AC⊥x轴于点C,交OB于点D.若D为AC的中点,△AOD的面积为3,点B的坐标为(m,2),则m的 值为 _____. 【答案】6 【分析】应用k的几何意义及中线的性质求解. 【解析】解: D为AC的中点, 的面积为3, 的面积为6, 所以 , 解得:m=6. 故答案为:6. 【点睛】本题考查了反比例函数中k的几何意义,关键是利用 的面积转化为三角形AOC的面积. 10.(2022·辽宁鞍山·中考真题)如图,在平面直角坐标系中, 是坐标原点.在 中, ,边 在 轴上,点 是边 上一点,且 ,反比例函数 的图象经过 点 交 于点 ,连接 .若 ,则 的值为_________. 【答案】1 【分析】设D(m, ),由OD:DB=1:2,得出B(3m, ),根据三角形的面积公式以及反比例函数系数k的几何意义得到 ,解得k=1. 【解析】解:∵反比例函数 的图象经过点D,∠OAB=90°, ∴D(m, ), ∵OD:DB=1:2, ∴B(3m, ), ∴AB=3m,OA= , ∴反比例函数 的图象经过点D交AB于点C,∠OAB=90°, ∴ , ∵ , ∴ ,即 , 解得k=1, 故答案为:1. 【点睛】本题考查的是反比例函数系数k的几何意义、反比例函数图象上点的坐标特征,三角形的面积, 掌握反比例函数的性质、正确表示出B的坐标是解题的关键. 11.(2022·内蒙古鄂尔多斯·中考真题)如图,正方形OABC的顶点A、C分别在x轴和y轴上,E、F分别 是边AB、OA上的点,且∠ECF=45°,将△ECF沿着CF翻折,点E落在x轴上的点D处.已知反比例函 数y= 和y= 分别经过点B、点E,若S COD=5,则k﹣k=_____. 1 2 1 2 △【答案】10 【分析】作EH⊥y轴于点F,则四边形BCHE、AEHO都为矩形,利用折叠的性质得∠DCH=∠BCE, 证明△BCE≌△OCD,则面积相等,根据反比例函数系数k的几何意义得k﹣k 的值. 1 2 【解析】解:作EH⊥y轴于点H, 则四边形BCHE、AEHO都为矩形, ∵∠ECF=45°,△ECF翻折得到 , ∴∠BCE+∠OCF=45°, ∵∠DOC+∠OCF=45°, ∴∠BCE=∠OCD, ∵BC=OC,∠B=∠COD, ∴△BCE≌△OCD(ASA), ∴S BCE=S COD=5, △ △ ∴S CEH=5, △ S BCHE=10, 矩形 ∴根据反比例函数系数k的几何意义得: k﹣k=S BCHE=10, 1 2 矩形 故答案为:10. 【点睛】本题考查了反比例函数系数k的几何意义,折叠的性质,正方形的性质和全等三角形的判定和性 质,利用折叠和全等进行转化是关键. 12.(2021·湖北荆州·中考真题)如图,过反比例函数 图象上的四点 , , , 分 别作 轴的垂线,垂足分别为 , , , ,再过 , , , 分别作 轴, , , 的 垂线,构造了四个相邻的矩形.若这四个矩形的面积从左到右依次为 , , , ,,则 与 的数量关系为_____________. 【答案】 . 【分析】设 =m,则O =2m,O =3m,O =4m,由点 , , , 都在反比 例函数 图象上,可求得 , , , ,根据矩形的面积 公式可得 , , , ,由此即可得 . 【解析】设 =m,则O =2m,O =3m,O =4m, ∵点 , , , 都在反比例函数 图象上, ∴ , , , , ∴ , , , , ∴ . 故答案为: .【点睛】本题考查了反比例函数图象上点的特征,根据反比例函数图象上点的特征求得 、 、 、 是解决问题的关键. 三、解答题 13.(2020·山东枣庄·中考真题)如图,在平面直角坐标系 中,一次函数 和 的图 象相交于点 ,反比例函数 的图象经过点 . (1)求反比例函数的表达式; (2)设一次函数 的图象与反比例函数 的图象的另一个交点为 ,连接 ,求 的面积. 【答案】(1)反比例函数的表达式为 ;(2) 的面积为 . 【分析】(1)联立两一次函数解出A点坐标,再代入反比例函数即可求解; (2)联立一次函数与反比例函数求出B点坐标,再根据反比例函数的性质求解三角形的面积. 【解析】(1)由题意:联立直线方程 ,可得 ,故A点坐标为(-2,4) 将A(-2,4)代入反比例函数表达式 ,有 ,∴ 故反比例函数的表达式为 (2)联立直线 与反比例函数 ,解得 ,当 时, ,故B(-8,1) 如图,过A,B两点分别作 轴的垂线,交 轴于M、N两点,由模型可知 S =S , 梯形AMNB AOB △ ∴S =S = = = 梯形AMNB AOB △ 【点睛】此题主要考查一次函数与反比例函数综合,解题的关键是熟知一次函数与反比例函数的图像与性 质. 14.(2021·江苏泰州·中考真题)如图,点A(﹣2,y)、B(﹣6,y)在反比例函数y= (k<0)的图 1 2 象上,AC⊥x轴,BD⊥y轴,垂足分别为C、D,AC与BD相交于点E. (1)根据图象直接写出y、y 的大小关系,并通过计算加以验证; 1 2 (2)结合以上信息,从①四边形OCED的面积为2,②BE=2AE这两个条件中任选一个作为补充条件, 求k的值.你选择的条件是 (只填序号). 【答案】(1) ,见解析;(2)见解析,①(也可以选择②) 【分析】(1)观察函数的图象即可作出判断,再根据A、B两点在反比例函数图象上,把两点的坐标代入 后作差比较即可; (2)若选择条件①,由面积的值及OC的长度,可得OD的长度,从而可得点B的坐标,把此点坐标代入 函数解析式中,即可求得k;若选择条件②,由DB=6及OC=2,可得BE的长度,从而可得AE长度,此长 度即为A、B两点纵坐标的差,(1)所求得的差即可求得k.【解析】(1)由于图象从左往右是上升的,即自变量增大,函数值也随之增大,故 ; 当x=-6时, ;当x=-2时, ∵ ,k<0 ∴ 即 (2)选择条件① ∵AC⊥x轴,BD⊥y轴,OC⊥OD ∴四边形OCED是矩形 ∴ODOC=2 ∵OC=∙2 ∴OD=1 即 ∴点B的坐标为(-6,1) 把点B的坐标代入y= 中,得k=-6 若选择条件②,即BE=2AE ∵AC⊥x轴,BD⊥y轴,OC⊥OD ∴四边形OCED是矩形 ∴DE=OC,CE=OD ∵OC=2,DB=6 ∴BE=DB-DE=DB-OC=4 ∴ ∵AE=AC-CE=AC-OD= 即 由(1)知: ∴k=-6【点睛】本题考查了反比例函数的图象和性质、矩形的判定与性质、大小比较,熟练掌握反比例函数的图 象与性质是解决本题的关键. 15.(2020·湖北恩施·中考真题)如图,在平面直角坐标系中,直线 与 轴、 轴分别相 交于 、 两点,与双曲线 的一个交点为 ,且 . (1)求点 的坐标; (2)当 时,求 和 的值. 【答案】(1) (3,0);(2) , 【分析】(1)令 中 即可求出点A的坐标; (2)过C点作y轴的垂线交y轴于M点,作x轴的垂线交x轴于N点,证明△BCM∽△BAO,利用 和OA=3进而求出CM的长,再由 求出CN的长,进而求出点C坐标即可求解. 【解析】解:(1)由题意得:令 中 , 即 ,解得 , ∴点A的坐标为(3,0), 故答案为(3,0) . (2) 过C点作y轴的垂线交y轴于M点,作x轴的垂线交x轴于N点,如下图所示:显然,CM OA,∴∠BCM=∠BAO,且∠ABO=∠CBO, ∴△BCM∽△BAO, ∴ ,代入数据: 即: ,∴ =1, 又 即: ,∴ , ∴C点的坐标为(1,2), 故反比例函数的 , 再将点C(1,2)代入一次函数 中, 即 ,解得 , 故答案为: , . 【点睛】本题考查了反比例函数与一次函数的图像及性质,相似三角形的判定和性质等,熟练掌握其图像 性质是解决此题的关键. 16.(2019·辽宁盘锦·中考真题)如图,四边形ABCD是矩形,点A在第四象限y=﹣ 的图象上,点B 1 在第一象限y= 的图象上,AB交x轴于点E,点C与点D在y轴上,AD= ,S OCBE= S 2 矩形 矩形 ODAE. (1)求点B的坐标. (2)若点P在x轴上,S BPE=3,求直线BP的解析式. △【答案】(1)B( ,2);(2)直线BP的解析式是y= x+1或y=﹣ x+3. 【分析】(1)根据反比例函数系数k的几何意义求得k=3,得出 ,由题意可知B的横坐标为 ,代 入即可求得B的坐标; (2)设P(a,0),根据三角形面积求得P的坐标,然后根据待定系数法即可求得直线BP的解析式. 【解析】(1)∵S = S ,点B在第一象限y= 的图象上, 矩形OCBE 矩形ODAE 2 ∵点A在第四象限y=﹣ 的图象上, 1 ∴S =2 矩形ODEA ∴S = ×2=3, 矩形OCBE ∴k=3, ∴y= , 2 ∵OE=AD= , ∴B的横坐标为 , 代入y= 得,y= =2, 2 ∴B( ,2); (2)设P(a,0), ∵S = PE•BE= , BPE △解得a=﹣ 或 , ∴点P(﹣ ,0)或( ,0), 设直线BP的解析式为y=mx+n(m≠0), ①若直线过( ,2),(﹣ ,0), 则 ,解得 , ∴直线BP的解析式为y= x+1; ②若直线过( ,2),( ,0), 则 ,解得 , ∴直线BP的解析式为y=﹣ x+3; 综上,直线BP的解析式是y= x+1或y=﹣ x+3. 【点睛】本题考查了反比例函数系数k的几何意义,反比例函数图象上点的坐标特征,待定系数法求一次 函数的解析式,求得B点的坐标是解题的关键. 17.(2020·黑龙江大庆·中考真题)如图,反比例函数 与一次函数 的图象在第二象限 的交点为 ,在第四象限的交点为 ,直线 ( 为坐标原点)与函数 的图象交于另一点 .过点 作 轴的平行线,过点 作 轴的平行线,两直线相交于点 , 的面积为6.(1)求反比例函数 的表达式; (2)求点 , 的坐标和 的面积. 【答案】(1) ;(2) 的面积为 【分析】(1)联立 与 求解 的坐标,利用 得到 关于原点成中心对称,求 解 的坐标,结合已知得到 的坐标,利用面积列方程求解即可得到答案; (2)由(1)得到 的值,得到 的坐标, 的解析式,记 与 轴的交点为 求解 的坐标,利 用 可得答案. 【解析】解:(1)由题意得: 当当 经检验:符合题意. < 为 与 的交点, 轴, 轴, 的面积为6. 反比例函数的解析式为: (2) 直线 为 , 记 与 轴的交点为 , 令 则【点睛】本题考查的是一次函数与反比例函数的综合题,考查了一次函数与反比例函数的交点问题,反比 例函数与一次函数的性质,考查了方程组与一元二次方程的解法,图形与坐标,图形面积问题,掌握以上 知识是解题的关键. 18.(2020·四川遂宁·中考真题)如图,在平面直角坐标系中,已知点A的坐标为(0,2),点B的坐标 为(1,0),连结AB,以AB为边在第一象限内作正方形ABCD,直线BD交双曲线y═ (k≠0)于D、E 两点,连结CE,交x轴于点F. (1)求双曲线y= (k≠0)和直线DE的解析式. (2)求 的面积. 【答案】(1)y= ,y=3x﹣3;(2) 【分析】(1)作DM⊥y轴于M,通过证得 (AAS),求得D的坐标,然后根据待定系数法即可求得双曲线y= (k≠0)和直线DE的解析式. (2)解析式联立求得E的坐标,然后根据勾股定理求得DE和DB,进而求得CN的长,即可根据三角形 面积公式求得 DEC的面积. 【解析】解:△∵点A的坐标为(0,2),点B的坐标为(1,0), ∴OA=2,OB=1, 作DM⊥y轴于M, ∵四边形ABCD是正方形, ∴∠BAD=90°,AB=AD, ∴∠OAB+∠DAM=90°, ∵∠OAB+∠ABO=90°, ∴∠DAM=∠ABO, 在 和 中 , ∴ (AAS), ∴AM=OB=1,DM=OA=2, ∴D(2,3), ∵双曲线 经过D点, ∴k=2×3=6, ∴双曲线为y= , 设直线DE的解析式为y=mx+n, 把B(1,0),D(2,3)代入得 , 解得 , ∴直线DE的解析式为y=3x﹣3; (2)连接AC,交BD于N, ∵四边形ABCD是正方形,∴BD垂直平分AC,AC=BD, 解 得 或 , 经检验:两组解都符合题意, ∴E(﹣1,﹣6), ∵B(1,0),D(2,3), ∴DE= = ,DB= = , ∴CN= BD= , ∴ 【点睛】本题考查的是正方形的性质,三角形全等的判定与性质,利用 待定系数法求解一次函数与反比例函数的解析式,函数的交点坐标的求解,化为一元二次方程的分式方程 的解法,勾股定理的应用,掌握以上知识是解题的关键. 19.(2022·湖北襄阳·中考真题)探究函数性质时,我们经历了列表、描点、连线画出函数图象,观察分 析图象特征,概括函数性质的过程.结合已有经验,请画出函数y= -|x|的图象,并探究该函数性质. (1)绘制函数图象 ①列表:下列是x与y的几组对应值,其中a= . ﹣ x …… ﹣5 ﹣4 ﹣3 ﹣2 1 2 3 4 5 …… 1﹣ y …… ﹣3.8 ﹣2.5 ﹣1 1 5 5 a ﹣2.5 ﹣3.8 …… 1 ②描点:根据表中的数值描点(x,y),请补充描出点(2,a); ③连线:请用平滑的曲线顺次连接各点,画出函数图象; (2)探究函数性质,请写出函数y= -|x|的一条性质: ; (3)运用函数图象及性质 ①写出方程 -|x|=5的解 ; ②写出不等式 -|x|≤1的解集 . 【答案】(1)①1;②见解析,③见解析 (2) 的图象关于 轴对称轴(答案不唯一) (3)① 或 ;② 或 【分析】(1)①把x=2代入解析式即可得a的值;②③按要求描点,连线即可; (2)观察函数图象,可得函数性质; (3)①由函数图象可得答案;②观察函数图象即得答案. (1) ①列表:当x=2时, , 故答案为:1; ②描点,③连线如下:(2) 观察函数图象可得: 的图象关于y轴对称, 故答案为: 的图象关于y轴对称; (3) ①观察函数图象可得:当y=5时,x=1或x=-1, 的解是x=1或x=-1, 故答案为:x=1或x=-1, ②观察函数图象可得,当x≤-2或x≥2时,y≤1, ∴ 的解集是x≤-2或x≥2, 故答案为:x≤-2或x≥2. 【点睛】本题考查了列表描点画函数图象,根据函数图象获取信息,画出函数图象,从函数图象获取信息 是解题的关键.