当前位置:首页>文档>第六章反比函数单元测试(解析版)_北师大初中数学_9上-北师大版初中数学_05习题试卷_2单元试卷_单元测试(第3套)

第六章反比函数单元测试(解析版)_北师大初中数学_9上-北师大版初中数学_05习题试卷_2单元试卷_单元测试(第3套)

  • 2026-05-13 14:29:32 2026-04-14 23:16:00

文档预览

第六章反比函数单元测试(解析版)_北师大初中数学_9上-北师大版初中数学_05习题试卷_2单元试卷_单元测试(第3套)
第六章反比函数单元测试(解析版)_北师大初中数学_9上-北师大版初中数学_05习题试卷_2单元试卷_单元测试(第3套)
第六章反比函数单元测试(解析版)_北师大初中数学_9上-北师大版初中数学_05习题试卷_2单元试卷_单元测试(第3套)
第六章反比函数单元测试(解析版)_北师大初中数学_9上-北师大版初中数学_05习题试卷_2单元试卷_单元测试(第3套)
第六章反比函数单元测试(解析版)_北师大初中数学_9上-北师大版初中数学_05习题试卷_2单元试卷_单元测试(第3套)
第六章反比函数单元测试(解析版)_北师大初中数学_9上-北师大版初中数学_05习题试卷_2单元试卷_单元测试(第3套)
第六章反比函数单元测试(解析版)_北师大初中数学_9上-北师大版初中数学_05习题试卷_2单元试卷_单元测试(第3套)
第六章反比函数单元测试(解析版)_北师大初中数学_9上-北师大版初中数学_05习题试卷_2单元试卷_单元测试(第3套)
第六章反比函数单元测试(解析版)_北师大初中数学_9上-北师大版初中数学_05习题试卷_2单元试卷_单元测试(第3套)
第六章反比函数单元测试(解析版)_北师大初中数学_9上-北师大版初中数学_05习题试卷_2单元试卷_单元测试(第3套)
第六章反比函数单元测试(解析版)_北师大初中数学_9上-北师大版初中数学_05习题试卷_2单元试卷_单元测试(第3套)
第六章反比函数单元测试(解析版)_北师大初中数学_9上-北师大版初中数学_05习题试卷_2单元试卷_单元测试(第3套)
第六章反比函数单元测试(解析版)_北师大初中数学_9上-北师大版初中数学_05习题试卷_2单元试卷_单元测试(第3套)
第六章反比函数单元测试(解析版)_北师大初中数学_9上-北师大版初中数学_05习题试卷_2单元试卷_单元测试(第3套)
第六章反比函数单元测试(解析版)_北师大初中数学_9上-北师大版初中数学_05习题试卷_2单元试卷_单元测试(第3套)
第六章反比函数单元测试(解析版)_北师大初中数学_9上-北师大版初中数学_05习题试卷_2单元试卷_单元测试(第3套)
第六章反比函数单元测试(解析版)_北师大初中数学_9上-北师大版初中数学_05习题试卷_2单元试卷_单元测试(第3套)
第六章反比函数单元测试(解析版)_北师大初中数学_9上-北师大版初中数学_05习题试卷_2单元试卷_单元测试(第3套)
第六章反比函数单元测试(解析版)_北师大初中数学_9上-北师大版初中数学_05习题试卷_2单元试卷_单元测试(第3套)
第六章反比函数单元测试(解析版)_北师大初中数学_9上-北师大版初中数学_05习题试卷_2单元试卷_单元测试(第3套)
第六章反比函数单元测试(解析版)_北师大初中数学_9上-北师大版初中数学_05习题试卷_2单元试卷_单元测试(第3套)
第六章反比函数单元测试(解析版)_北师大初中数学_9上-北师大版初中数学_05习题试卷_2单元试卷_单元测试(第3套)
第六章反比函数单元测试(解析版)_北师大初中数学_9上-北师大版初中数学_05习题试卷_2单元试卷_单元测试(第3套)
第六章反比函数单元测试(解析版)_北师大初中数学_9上-北师大版初中数学_05习题试卷_2单元试卷_单元测试(第3套)
第六章反比函数单元测试(解析版)_北师大初中数学_9上-北师大版初中数学_05习题试卷_2单元试卷_单元测试(第3套)
第六章反比函数单元测试(解析版)_北师大初中数学_9上-北师大版初中数学_05习题试卷_2单元试卷_单元测试(第3套)
第六章反比函数单元测试(解析版)_北师大初中数学_9上-北师大版初中数学_05习题试卷_2单元试卷_单元测试(第3套)
第六章反比函数单元测试(解析版)_北师大初中数学_9上-北师大版初中数学_05习题试卷_2单元试卷_单元测试(第3套)
第六章反比函数单元测试(解析版)_北师大初中数学_9上-北师大版初中数学_05习题试卷_2单元试卷_单元测试(第3套)
第六章反比函数单元测试(解析版)_北师大初中数学_9上-北师大版初中数学_05习题试卷_2单元试卷_单元测试(第3套)
第六章反比函数单元测试(解析版)_北师大初中数学_9上-北师大版初中数学_05习题试卷_2单元试卷_单元测试(第3套)

文档信息

文档格式
docx
文档大小
0.265 MB
文档页数
27 页
上传时间
2026-04-14 23:16:00

文档内容

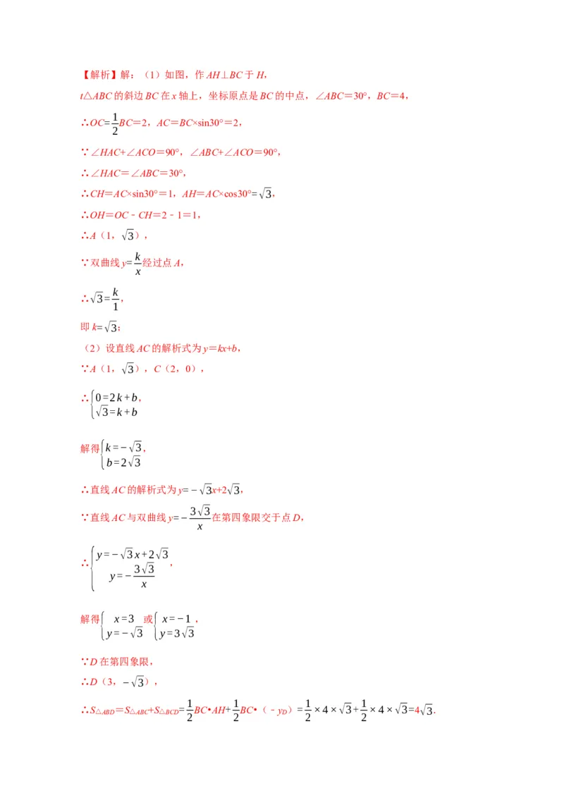
北师大版九上第六章 反比例函数单元测试 一.选择题(共10小题) 5 1.(2021•黔西南州)对于反比例函数y=− ,下列说法错误的是( ) x A.图象经过点(1,﹣5) B.图象位于第二、第四象限 C.当x<0时,y随x的增大而减小 D.当x>0时,y随x的增大而增大 【答案】C 5 【解析】解:∵反比例函数y=− , x 5 ∴当x=1时,y=− =−5,故选项A不符合题意; 1 k=﹣5,故该函数图象位于第二、四象限,故选项B不符合题意; 当x<0,y随x的增大而增大,故选项C符合题意; 当x>0时,y随x的增大而增大,故选项D不符合题意; 故选:C. 2.(2021•大连)下列说法正确的是( ) 2 ①反比例函数y= 中自变量x的取值范围是x≠0; x 6 ②点P(﹣3,2)在反比例函数y=− 的图象上; x 3 ③反比例函数y= 的图象,在每一个象限内,y随x的增大而增大. x A.①② B.①③ C.②③ D.①②③ 【答案】A 2 【解析】解:①反比例函数y= 中自变量x的取值范围是x≠0,故说法正确; x ②因为﹣3×2=﹣6,故说法正确; 3 ③因为k=3>0,反比例函数y= 的图象,在每一个象限内,y随x的增大而减小,故说法错误; x 故选:A.k 3.(2021•兴安盟)点(﹣5,y ),(﹣3,y ),(3,y )都在反比例函数y= (k>0)的图象 1 2 3 x 上,则( ) A.y >y >y B.y >y >y C.y >y >y D.y >y >y 1 2 3 3 1 2 2 1 3 1 3 2 【答案】B k 【解析】解:∵反比例函数y= 中k>0, x ∴函数图象的两个分支分别位于一、三象限,且在每一象限内y随x的增大而减小. ∵﹣5<﹣3<0, ∴0>y >y , 1 2 ∵3>0, ∴y >0, 3 ∴y >y >y , 3 1 2 故选:B. k 4.(2021•济南)反比例函数y= (k≠0)图象的两个分支分别位于第一、三象限,则一次函数y x =kx﹣k的图象大致是( ) A. B. C. D. 【答案】D k 【解析】解:∵反比例函数y= (k≠0)图象的两个分支分别位于第一、三象限, x ∴k>0, ∴﹣k<0, ∴一次函数y=kx﹣k的图象图象经过第一、三、四象限, 故选:D. 5.(2021•朝阳)如图,O是坐标原点,点B在x轴上,在△OAB中,AO=AB=5,OB=6,点A k 在反比例函数y= (k≠0)图象上,则k的值( ) xA.﹣12 B.﹣15 C.﹣20 D.﹣30 【答案】A 【解析】解:过A点作AC⊥OB, ∵AO=AB,AC⊥OB,OB=6, ∴OC=BC=3, 在Rt△AOC中,OA=5, ∵AC=√OA2−AC2=√52−32=4, ∴A(﹣3,4), k 把A(﹣3,4)代入y= ,可得k=﹣12, x 故选:A. 4 6.(2021•梧州)如图,在同一平面直角坐标系中,直线y=t(t为常数)与反比例函数y = ,y 1 x 2 1 =− 的图象分别交于点A,B,连接OA,OB,则△OAB的面积为( ) x5t 5 A.5t B. C. D.5 2 2 【答案】C 【解析】解:如图,设AB交y轴于T. ∵AB⊥y轴, 1 4 ∴S△OBT = 2 ,S△OAT = 2 = 2, 1 5 ∴S△AOB =S△OBT +S△OAT = 2 + 2 = 2 , 故选:C. k 7.(2021•遵义)已知反比例函数y= (k≠0)的图象如图所示,则一次函数y=kx+2的图象经过 x ( ) A.第一、二、三象限 B.第一、三、四象限 C.第一、二、四象限 D.第二、三、四象限 【答案】C 【解析】解:由反比例函数图象经过二、四象限,可知,k<0, ∴y=kx+2的图象经过一、二、四象限. 故选:C. 8.(2021•营口)如图,在平面直角坐标系中,菱形ABCD的边BC与x轴平行,A,B两点纵坐标 k 分别为4,2,反比例函数y= 经过A,B两点,若菱形ABCD面积为8,则k值为( ) xA.﹣8√3 B.﹣2√3 C.﹣8 D.﹣6√3 【答案】A 【解析】解:方法一:∵四边形ABCD是菱形, ∴AB=BC,AD∥BC, k ∵A、B两点的纵坐标分别是4、2,反比例函数y= 经过A、B两点, x k k k k ∴x = ,x = ,即A( ,4),B( ,2), B 2 A 4 4 2 k k k2 ∴AB2=( − )2+(4﹣2)2= +4, 4 2 16 √ k2 ∴BC=AB= +4, 16 又∵菱形ABCD的面积为8, ∴BC×(y ﹣y )=8, A B 即√ k2 (4﹣2)=8, +4× 16 整理得√ k2 4, +4= 16 解得k=±8√3, ∵函数图象在第二象限, ∴k<0,即k=﹣8√3, 方法二:过点A作AE⊥BC于点E,∵A、B两点的纵坐标分别是4、2, ∴AE=4﹣2=2, ∵菱形ABCD的面积为8, ∴BC•AE=8, ∴BC=4, ∴AB=BC=4, ∴BE 2 , =√AB2−AE2=√42−22= √3 设A点坐标为(a,4),则B点的坐标为(a﹣2√3,2), k ∵反比例函数y= 经过A、B两点, x k { 4= ∴ a , k 2= a−2√3 解得{k=−8√3, a=−2√3 故选:A. k 9.(2021•威海)一次函数y =k x+b(k ≠0)与反比例函数y = 2(k ≠0)的图象交于点A(﹣ 1 1 1 2 2 x 1,﹣2),点B(2,1).当y <y 时,x的取值范围是( ) 1 2 A.x<﹣1 B.﹣1<x<0或x>2 C.0<x<2 D.0<x<2或x<﹣1 【答案】D 【解析】解:∵一次函数和反比例函数相交于A,B两点, ∴根据A,B两点坐标,可以知道反比例函数位于第一、三象限,画出反比例函数和一次函数草图,如图1, 由题可得,当y =y 时,x=﹣1或2, 1 2 由图可得,当y <y 时,0<x<2或x<﹣1, 1 2 故选:D. k 10.(2021•扬州)如图,点P是函数y= 1(k >0,x>0)的图象上一点,过点P分别作x轴和y 1 x k 轴的垂线,垂足分别为点A、B,交函数y= 2(k >0,x>0)的图象于点C、D,连接OC、 2 x k −k OD、CD、AB,其中 k 1 >k 2 .下列结论:① CD∥AB;② S△OCD = 1 2;③ S△DCP 2 (k −k ) 2 ,其中正确的是( ) = 1 2 2k 1 A.①② B.①③ C.②③ D.① 【答案】Bk k 【解析】解:∵PB⊥y轴,PA⊥x轴,点P在y= 1上,点C,D在y= 2上, x x k 设P(m, 1), m k k k k 则C(m, 2),A(m,0),B(0, 1),令 1= 2, m m m x 则 k m,即D(k m,k ), x= 2 2 1 k k m 1 1 ∴PC k k k −k ,PD k m m(k −k ), = 1− 2= 1 2 =m− 2 = 1 2 m m m k k 1 1 k −k m(k −k ) 1 2 1 2 PC m k −k PD PC ∵PD k k −k , = = 1 2 ,即 = , = 1 = 1 2 PA k k PB PA PB m k 1 1 1 m 又∠DPC=∠BPA, ∴△PDC∽△PBA, ∴∠PDC=∠PBA, ∴CD∥AB,故①正确; △PDC的面积 = 1 ×PD×PC= (k 1 −k 2 ) 2 ,故③正确; 2 2k 1 S△OCD =S四边形OAPB ﹣S△OCA ﹣S△OBD ﹣S△DPC 1 1 (k −k ) 2 =k − k − k − 1 2 1 2 2 2 2 2k 1 = k 1 2−k 2 2 ,故②错误; 2k 1 故选:B. 二.填空题(共6小题) k 11.(2021•阿坝州)如图,点A,B在反比例函数y= (k>0)的图象上,点A的横坐标为2,点 x B的纵坐标为1,OA⊥AB,则k的值为 8 .【答案】8 【解析】解:过点A作AM⊥x轴于点M,过点B作BN⊥AM于N, ∵∠OAB=90°, ∴∠OAM+∠BAN=90°, ∵∠AOM+∠OAM=90°, ∴∠BAN=∠AOM, ∴△AOM∽△BAN, AM OM ∴ = , BN AN k ∵点A,B在反比例函数y= (k>0)的图象上,点A的横坐标为2,点B的纵坐标为1, x k ∴A(2, ),B(k,1), 2 k k ∴OM=2,AM= ,AN= −1,BN=k﹣2, 2 2 k 2 2 ∴ = , k−2 k −1 2 解得k =2(舍去),k =8, 1 2 ∴k的值为8, 故答案为:8.3 12.(2021•陕西)若点A(a,3)、B(5a,b)在同一个反比例函数的图象上,则b的值为 5 . 3 【答案】 5 【解析】解:∵点A(a,3)、B(5a,b)在同一个反比例函数的图象上, ∴3a=5ab, 3 解得b= , 5 3 故答案为: . 5 13.(2021•日照)如图,在平面直角坐标系xOy中,正方形OABC的边OC、OA分别在x轴和y 轴上,OA=10,点 D 是边 AB 上靠近点 A 的三等分点,将△OAD 沿直线 OD 折叠后得到 k △OA′D,若反比例函数y= (k≠0)的图象经过A′点,则k的值为 4 8 . . x 【答案】48 【解析】解:过A′作EF⊥OC于F,交AB于E, ∵∠OA′D=90°, ∴∠OA′F+∠DA′E=90°, ∵∠OA′F+∠A′OF=90°, ∴∠DA′E=∠A′OF, ∵∠A′FO=∠DEA′, ∴△A′OF∽△DA′E, OF A′F OA′ ∴ = = , A′E DE A′D 设A′(m,n),∴OF=m,A′F=n, ∵正方形OABC的边OC、OA分别在x轴和y轴上,OA=10,点D是边AB上靠近点A的三等分 点, 10 ∴DE=m− ,A′E=10﹣n, 3 m n = = ∴10−n 10 3, m− 3 解得m=6,n=8, ∴A′(6,8), k ∵反比例函数y= (k≠0)的图象经过A′点, x ∴k=6×8=48, 故答案为48. k 2 14.(2021•巴中)如图,平行于y轴的直线与函数y = (x>0)和y = (x>0)的图象分别交 1 2 x x 2 于A、B两点,OA交双曲线y = 于点C,连接CD,若△OCD的面积为2,则k= 8 . 2 x 【答案】8 k 2 2 【解析】解一:设A(m, ),则B(m, ),D(m,0),设C(n, ), m m n1 1 2 ∵S△OCD = OD•y c = •m• =2, 2 2 n m ∴ =2, n n 1 ∴ = . m 2 又S△OCD =S△OAD ﹣S△ACD 1 1 k = k− • •(m﹣n) 2 2 m 1 m−n = k(1− ) 2 m 1 n = k• 2 m 1 = k, 4 1 ∴ k=2, 4 ∴k=8. 解二:如图,过点C作CE⊥x轴于E, 2 ∵点C在双曲线y = 上, 2 x ∴S△OCE =1, ∵S△OCD =2, ∴S△ECD =S△OCE =1, ∴点E为OD的中点, ∵CE∥AD, ∴点C是OA的中点, ∴S△OAD =2S△OCD =4, k ∵函数y = (x>0)的图象过点A,AD⊥x轴, 1 x ∴k=8. 故答案为:8.3 15.(2021•黄石)如图,A、B两点在反比例函数y=− (x<0)的图象上,AB的延长线交x轴 x 于点C,且AB=2BC,则△AOC的面积是 6 . 【答案】6 【解析】解:过A作AH⊥OC,过B作BG⊥OC, 3 ∵A、B两点在反比例函数y=− (x<0)的图象上, x 3 3 ∴设A(x,− ),S△AOH = , x 2 ∵AB=2BC, BG CB 1 CG CB 1 ∴ = = , = = , AH CA 3 HG AB 2 1 ∴BG= AH,HG=2CG 3 1 1 ∴点B的纵坐标为− ,代入反比例函数中得点B的坐标为(3x,− ), x x ∴OG=﹣3x,HG=﹣2x,CG=﹣x,则OC=﹣4x, 1 1 3 ∴S△AOC = ⋅OC⋅AH= •(﹣4x)•(− )=6 2 2 x故答案为:6. k 16.(2021•荆州)如图,过反比例函数y= (k>0,x>0)图象上的四点P ,P ,P ,P 分别作 1 2 3 4 x x轴的垂线,垂足分别为A ,A ,A ,A ,再过P ,P ,P ,P 分别作y轴,P A ,P A ,P A 1 2 3 4 1 2 3 4 1 1 2 2 3 3 的垂线,构造了四个相邻的矩形.若这四个矩形的面积从左到右依次为 S ,S ,S ,S ,OA = 1 2 3 4 1 A A =A A =A A ,则S 与S 的数量关系为 S = 4 S . 1 2 2 3 3 4 1 4 1 4 【答案】S =4S 1 4 【解析】解:∵过双曲线上任意一点、向坐标轴作垂线所围成的矩形面积 S是个定值,OA = 1 A A =A A =A A , 1 2 2 3 3 4 1 1 1 ∴S =k,S = k,S = k,S = k, 1 2 3 4 2 3 4 ∴S =4S . 1 4 故答案为:S =4S . 1 4 三.解答题(共8小题) 12 17.(2021•阿坝州)如图,一次函数y=kx+b与反比例函数y= (x>0)的图象交于A(m, x 6),B(n,3)两点.(1)求一次函数的解析式; (2)求△AOB的面积. 12 【解析】解:(1)把A(m,6),B(n,3)两点坐标代入y= (x>0)可得m=2,n=4, x ∴A(2,6),B(4,3), ∵一次函数y=kx+b的图象经过点A、B, { 3 ∴{2k+b=6,解得 k=− , 2 4k+b=3 b=9 3 ∴一次函数的解析式为y=− x+9. 2 (2)设直线与x轴的交点为C, 3 3 把y=0代入y=− x+9,则− x+9=0,解得x=6, 2 2 ∴C(6,0), 1 1 ∴S△AOB =S△AOC ﹣S△BOC = ×6×6− ×6×3=9. 2 2 1 10 k 18.(2021•兰州)如图,一次函数y=− x+b与反比例函数y=− (x<0),y= (x>0)的 2 x x 图象分别交于点A(﹣2,m),B(4,n),与y轴交于点C,连接OA,OB.1 k (1)求一次函数y=− x+b和反比例函数y= (x>0)的表达式; 2 x (2)求△AOB的面积. 10 【解析】解:(1)∵点A在反比例函数y=− 上, x ∴﹣2m=﹣10, 解得m=5, ∴点A坐标为(﹣2,5). 1 把(﹣2,5)代入y=− x+b得5=1+b, 2 解得b=4, 1 ∴一次函数表达式为y=− x+4, 2 1 把B(4,n)代入y=− x+4得n=﹣2+4=2, 2 ∴点B坐标为(4,2), k ∵点B在反比例函数y= 图象上, x ∴k=4×2=8, 8 ∴反比例函数表达式为y= . x 1 (2)把x=0代入y=− x+4得y=4, 2 ∴点C坐标为(0,4), 1 1 ∴S△AOB =S△AOC +S△BOC = ×4×2+ ×4×4=12. 2 2 4 4 19.(2021•盘锦)如图,直线y= x− 交x轴于点M,四边形OMAE是矩形,S矩形OMAE =4,反 5 5k 4 4 比例函数y= (x>0)的图象经过点A,EA的延长线交直线y= x− 于点D. x 5 5 (1)求反比例函数的解析式; (2)若点B在x轴上,且AB=AD,求点B的坐标. 【解析】解:(1)∵S矩形OMAE =4,即|k|=4, 又∵k>0, ∴k=4, 4 ∴反比例函数的关系式为y= ; x 4 4 (2)当y=4时,即4= x− , 5 5 解得x=6, 即D(6,4),而A(1,4), ∴AD=DE﹣AE=6﹣1=5, 由于AB=AD=5,AM=4,点B在x轴上, 在Rt△AMB中,由勾股定理得, MB 3, =√52−42= ①当点B在点M的左侧时, 点B的横坐标为1﹣3=﹣2, ∴点B(﹣2,0), ②当点B在点M的右侧时, 点B的横坐标为1+3=4, ∴点B(4,0), 因此点B的坐标为(﹣2,0)或(4,0).20.(2021•鞍山)如图,在平面直角坐标系中,一次函数 y=k x+b的图象分别与x轴、y轴交于 1 k A,B两点,与反比例函数y= 2的图象在第二象限交于C,D(﹣6,2)两点,DE∥OC交x轴 x AD 1 于点E,若 = . AC 3 (1)求一次函数和反比例函数的表达式. (2)求四边形OCDE的面积. k 【解析】解:(1)将D(﹣6,2)代入y= 2中, x k =﹣6×2=﹣12, 2 12 ∴反比例函数的解析式为y=− ; x 过点D作DM⊥x轴,过点C作CN⊥x轴, ∵DE∥OC, ∴△ADE∽△ACO,AD AE DM 1 ∴ = = = , AC AO CN 3 ∴CN=3DM=6, 12 将y=6代入y=− 中, x 12 − =6, x 解得:x=﹣2, ∴C点坐标为(﹣2,6), 将C(﹣2,6),D(﹣6,2)代入y=k x+b中, 1 可得{−2k +b=6 , 1 −6k +b=2 1 解得:{k =1, 1 b=8 ∴一次函数的解析式为y=x+8; (2)解法一:设直线OC的解析式为y=mx, 将C(﹣2,6)代入,得:﹣2m=6, 解得:m=﹣3, ∴直线OC的解析式为y=﹣3x, 由DE∥OC,设直线DE的解析式为y=﹣3x+n, 将D(﹣6,2)代入可得:﹣3×(﹣6)+n=2, 解得:n=﹣16, ∴直线DE的解析式为y=﹣3x﹣16, 当y=0时,﹣3x﹣16=0, 16 解得:x=− , 3 16 ∴E点坐标为(− ,0), 3 16 ∴OE= , 3 在y=x+8中,当y=0时,x+8=0, 解得:x=﹣8, ∴A点坐标为(﹣8,0),∴OA=8, 16 8 ∴AE=8− = , 3 3 S四边形OCDE =S△AOC ﹣S△AED 1 1 = OA⋅CN− AE⋅DM 2 2 1 1 8 = ×8×6− × ×2 2 2 3 8 =24− 3 64 = . 3 解法二:在y=x+8中,当y=0时,x=﹣8, ∴A点坐标为(﹣8,0), 又∵DE∥OC, ∴△ADE∽△ACO, AD AE 1 ∴ = = , AC AO 3 1 8 ∴AE= AO= , 3 3 ∴S四边形OCDE =S△AOC ﹣S△AED 1 1 = OA⋅CN− AE⋅DM 2 2 1 1 8 = ×8×6− × ×2 2 2 3 8 =24− 3 64 = . 3 k 21.(2021•淄博)如图,在平面直角坐标系中,直线y =k x+b与双曲线y = 2相交于A(﹣2, 1 1 2 x 3),B(m,﹣2)两点. (1)求y ,y 对应的函数表达式; 1 2 (2)过点B作BP∥x轴交y轴于点P,求△ABP的面积;k (3)根据函数图象,直接写出关于x的不等式k x+b< 2的解集. 1 x k 【解析】解:(1)∵直线y =k x+b与双曲线y = 2相交于A(﹣2,3),B(m,﹣2)两点, 1 1 2 x k ∴3= 2 ,解得:k =﹣6, 2 −2 6 ∴双曲线的表达式为:y =− , 2 x 6 −6 ∴把B(m,﹣2)代入y =− ,得:−2= ,解得:m=3, 2 x m ∴B(3,﹣2), 把A(﹣2,3)和B(3,﹣2)代入y 1 =k 1 x+b得:{−2k 1 +b=3 , 3k +b=−2 1 解得:{k =−1, 1 b=1 ∴直线的表达式为:y =﹣x+1; 1 (2)过点A作AD⊥BP,交BP的延长线于点D,如图∵BP∥x轴, ∴AD⊥x轴,BP⊥y轴, ∵A(﹣2,3),B(3,﹣2), ∴BP=3,AD=3﹣(﹣2)=5, 1 1 15 ∴S = BP⋅AD= ×3×5= ; △ABP 2 2 2 k (3)k x+b< 2的解集,则是双曲线的图象在一次函数的图象的上方对应的x的取值, 1 x 故其解集为:﹣2<x<0或x>3. 22.(2021•随州)如图,一次函数y =kx+b的图象与x轴、y轴分别交于点A,B,与反比例函数 1 m y = (m>0)的图象交于点C(1,2),D(2,n). 2 x (1)分别求出两个函数的解析式; (2)连接OD,求△BOD的面积. m 【解析】解:(1)由y = 过点C(1,2)和D(2,n)可得: 2 xm {2= 1 , m n= 2 {m=2 解得: , n=1 2 故y = , 2 x 又由y =kx+b过点C(1,2)和D(2,1)可得: 1 {k+b=2 , 2k+b=1 {k=−1 解得 , b=3 故y =﹣x+3. 1 (2)由y =﹣x+3过点B,可知B(0,3), 1 故OB=3, 而点D到y轴的距离为2, 1 ∴S△BOD = ×3×2=3. 2 23.(2021•恩施州)如图,在平面直角坐标系中,Rt△ABC的斜边BC在x轴上,坐标原点是BC k 的中点,∠ABC=30°,BC=4,双曲线y= 经过点A. x (1)求k; 3√3 (2)直线AC与双曲线y=− 在第四象限交于点D,求△ABD的面积. x【解析】解:(1)如图,作AH⊥BC于H, t△ABC的斜边BC在x轴上,坐标原点是BC的中点,∠ABC=30°,BC=4, 1 ∴OC= BC=2,AC=BC×sin30°=2, 2 ∵∠HAC+∠ACO=90°,∠ABC+∠ACO=90°, ∴∠HAC=∠ABC=30°, ∴CH=AC×sin30°=1,AH=AC×cos30°=√3, ∴OH=OC﹣CH=2﹣1=1, ∴A(1,√3), k ∵双曲线y= 经过点A, x k ∴√3= , 1 即k=√3; (2)设直线AC的解析式为y=kx+b, ∵A(1,√3),C(2,0), ∴{0=2k+b, √3=k+b 解得{k=−√3, b=2√3 ∴直线AC的解析式为y=−√3x+2√3, 3√3 ∵直线AC与双曲线y=− 在第四象限交于点D, x {y=−√3x+2√3 ∴ , 3√3 y=− x 解得{ x=3 或{ x=−1 , y=−√3 y=3√3 ∵D在第四象限, ∴D(3,−√3), 1 1 1 1 ∴S△ABD =S△ABC +S△BCD = BC•AH+ BC•(﹣y D )= ×4×√3+ ×4×√3=4√3. 2 2 2 224.(2021•菏泽)如图,在平面直角坐标系中,矩形OABC的两边OC、OA分别在坐标轴上,且 k OA=2,OC=4,连接OB.反比例函数y= 1(x>0)的图象经过线段OB的中点D,并与AB、 x BC分别交于点E、F.一次函数y=k x+b的图象经过E、F两点. 2 (1)分别求出一次函数和反比例函数的表达式; 17 (2)点P是x轴上一动点,当PE+PF的值最小时,点P的坐标为 ( , 0 ) . 5 【解析】解:(1)∵四边形OABC为矩形,OA=BC=2,OC=4, ∴B(4,2). 由中点坐标公式可得点D坐标为(2,1), k ∵反比例函数y= 1(x>0)的图象经过线段OB的中点D, x ∴k =xy=2×1=2, 1 2 故反比例函数表达式为y= . x 1 令y=2,则x=1;令x=4,则y= . 2 1 故点E坐标为(1,2),F(4, ). 2 设直线EF的解析式为y=k x+b,代入E、F坐标得: 21 { 2=k +b {k =− 2 ,解得: 2 2. 1 =4k +b 5 2 2 b= 2 1 5 故一次函数的解析式为y=− x+ . 2 2 (2)作点E关于x轴的对称点E',连接E'F交x轴于点P,则此时PE+PF最小.如图. 由E坐标可得对称点E'(1,﹣2), 设直线E'F的解析式为y=mx+n,代入点E'、F坐标,得: 5 {−2=m+n { m= ,解得: 6 . 1 =4m+n 17 2 n=− 6 5 17 则直线E'F的解析式为y= x− , 6 6 17 令y=0,则x= . 5 17 ∴点P坐标为( ,0). 5 17 故答案为:( ,0). 5