当前位置:首页>文档>信息必刷卷03(上海卷)参考答案_2025年新高考资料_2025考前信息卷_2025年高考数学考前信息必刷卷(上海专用)3430959

信息必刷卷03(上海卷)参考答案_2025年新高考资料_2025考前信息卷_2025年高考数学考前信息必刷卷(上海专用)3430959

  • 2026-04-15 00:29:48 2026-04-15 00:29:48

文档预览

信息必刷卷03(上海卷)参考答案_2025年新高考资料_2025考前信息卷_2025年高考数学考前信息必刷卷(上海专用)3430959
信息必刷卷03(上海卷)参考答案_2025年新高考资料_2025考前信息卷_2025年高考数学考前信息必刷卷(上海专用)3430959
信息必刷卷03(上海卷)参考答案_2025年新高考资料_2025考前信息卷_2025年高考数学考前信息必刷卷(上海专用)3430959
信息必刷卷03(上海卷)参考答案_2025年新高考资料_2025考前信息卷_2025年高考数学考前信息必刷卷(上海专用)3430959
信息必刷卷03(上海卷)参考答案_2025年新高考资料_2025考前信息卷_2025年高考数学考前信息必刷卷(上海专用)3430959
信息必刷卷03(上海卷)参考答案_2025年新高考资料_2025考前信息卷_2025年高考数学考前信息必刷卷(上海专用)3430959
信息必刷卷03(上海卷)参考答案_2025年新高考资料_2025考前信息卷_2025年高考数学考前信息必刷卷(上海专用)3430959
信息必刷卷03(上海卷)参考答案_2025年新高考资料_2025考前信息卷_2025年高考数学考前信息必刷卷(上海专用)3430959
信息必刷卷03(上海卷)参考答案_2025年新高考资料_2025考前信息卷_2025年高考数学考前信息必刷卷(上海专用)3430959
信息必刷卷03(上海卷)参考答案_2025年新高考资料_2025考前信息卷_2025年高考数学考前信息必刷卷(上海专用)3430959
信息必刷卷03(上海卷)参考答案_2025年新高考资料_2025考前信息卷_2025年高考数学考前信息必刷卷(上海专用)3430959

文档信息

文档格式
docx
文档大小
0.397 MB
文档页数
7 页
上传时间
2026-04-15 00:29:48

文档内容

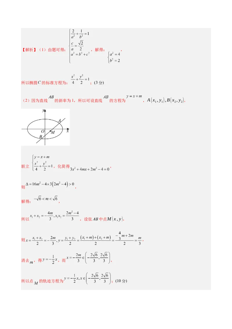
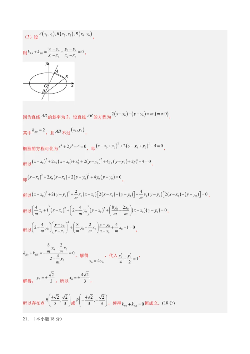
2025 年高考考前信息必刷卷(上海卷) 数 学·参考答案 一、填空题:本题共12小题,前6题每小题4分;后6题每小题5分,共54分.请在横线上方填写最终的、 最简的、完整的结果。 1. 2. 3. 5 4. 1 5. 6. 5 7. 8. 9. 充分不必要 10. 11. 12. 二、选择题题:本题共4小题,前2题每小题4分;后2题每小题5分,共18分,每小题给出的四个选项 中,只有一项是符合题目要求的,请填写符合要求的选项前的代号。 1 2 3 4 B B B C 三、解答题:本题共5小题,共78分.解答应写出文字说明、证明过程或演算步骤. 17.(本小题14分) 【解析】(1)因为 为棱 的中点, 所以 且 ,所以四边形 是平行四边形. 所以 ,又 平面 不在平面 上, 由线面平行的判定定理知, 平面 .(5分) (2)解法一:因为 ,即 ,且异面直线 与 所成的角为 ,即 , 又 平面 平面 , 又 ,由三垂线定理可得 , 因此 是二面角 的平面角, ,所以 ,不妨设 ,则 , 以 为坐标原点,平行于 的直线为 轴, 所在直线为 轴, 所在直线为 轴, 建立如图所示的空间直角坐标系, 所以 ,(其中 , 则 ,(9分) 设平面 的一个法向量为 , 则 ,可得 , 令 ,则 ,可得 , 设直线 与平面 所成角为 , 则 , 即直线 与平面 所成角的正弦值为 .(14分) 18.(本小题14分) 【解析】(1)由正弦定理可得 即 , 又 ,所以 ,即 ,解得 , 所以 .(5分) (2)因为 ,且 , ,所以 ,当且仅当 时等号成立, 当 取最小值时, 取最大值,最大值 , 所以 的面积的最大值为 .(14分) 19.(本小题14分) 【解析】(1)假设 :M社区的市民是否喜欢网上买菜与年龄无关. 由给定的 列联表,得: . 根据小概率值 的独立性检验,我们推断 不成立, 即认为是否喜欢网上买菜与年龄有关联,此推断犯错误的概率不大于 .(4分) (2)设 表示周 在A平台买菜, 表示周 在B平台买菜, 由题可得 , 由全概率公式,小张周二选择 平台买菜的概率为: ;(8分) (3)依题意,喜欢网上买菜的概率为: . 从M社区随机抽取20名市民,其中喜欢网上买菜的市民人数 服从二项分布: ,所以 , . 又 ,所以 , .(14分) 20.(本小题18分)【解析】(1)由题可得: ,解得: , 所以椭圆 的标准方程为: ;(3分) (2)因为直线 的斜率为1,所以可设直线 的方程为 ,A(x ,y ),B(x ,y ), 1 1 2 2 联立 ,化简得 , 则 , 解得: , 所以 ,设弦 中点M(x,y), 则 , 消去 ,得 ,而 , 所以点 的轨迹方程为 ;(10分)(3)设 , 则 , 因为直线 的斜率为2,设直线 的方程为 , 其中 ,且 不过 , 椭圆的方程可化为 ,即 , 所以 , 即 , 所以 , 所以 , 所以 , ,解得 ,代入 , 解得: ,所以 , 所以存在点 或 ,使得 恒成立.(18分) 21.(本小题18分)【解析】(1)由于 ,故对x∈(0,+∞)有 . 所以y=g(x)是否为“逆构造函数”.(3分) (2)由于 ,故 . 一方面,若函数 是“逆构造函数”,则 ,即 . 所以 对任意 成立. 特别地,取 ,得 ,从而 ,故 . 再取 ,得 ,从而 . 此即 ,故 ,解得 ; 另一方面,若 ,则 . 设 ,则 ,所以对 有 ,对 有 . 从而 在 上递减,在 上递增,故 . 所以对 ,有 . 从而此时函数 是“逆构造函数”. 综上, 的取值范围是 .(10分) (3)设 ,则 .所以ℎ(x)在(0,+∞)上单调递增. 一方面,对 ,有 . 所以对任意 ,有 ; 另一方面,对 ,假设 ,则根据 及零点存在定理,存在 使得 . 再由条件 ,知 ,矛盾. 所以对任意 ,有 . 假设存在 使得 ,则根据 及零点存在定理,存在 使得 . 从而对任意 ,有 . 但由 ,知 ,矛盾. 所以对任意 ,都有 . 综合两方面可知,对任意的 ,都有 . 所以对任意 ,关于 的方程 一定无解.(18分)