当前位置:首页>文档>信息必刷卷04(江苏专用)参考答案_02高考数学_2025年新高考资料_2025考前信息卷_2025年高考数学考前信息必刷卷(江苏专用)3430960

信息必刷卷04(江苏专用)参考答案_02高考数学_2025年新高考资料_2025考前信息卷_2025年高考数学考前信息必刷卷(江苏专用)3430960

  • 2026-04-15 01:15:04 2026-04-15 01:15:04

文档预览

信息必刷卷04(江苏专用)参考答案_02高考数学_2025年新高考资料_2025考前信息卷_2025年高考数学考前信息必刷卷(江苏专用)3430960
信息必刷卷04(江苏专用)参考答案_02高考数学_2025年新高考资料_2025考前信息卷_2025年高考数学考前信息必刷卷(江苏专用)3430960
信息必刷卷04(江苏专用)参考答案_02高考数学_2025年新高考资料_2025考前信息卷_2025年高考数学考前信息必刷卷(江苏专用)3430960
信息必刷卷04(江苏专用)参考答案_02高考数学_2025年新高考资料_2025考前信息卷_2025年高考数学考前信息必刷卷(江苏专用)3430960
信息必刷卷04(江苏专用)参考答案_02高考数学_2025年新高考资料_2025考前信息卷_2025年高考数学考前信息必刷卷(江苏专用)3430960
信息必刷卷04(江苏专用)参考答案_02高考数学_2025年新高考资料_2025考前信息卷_2025年高考数学考前信息必刷卷(江苏专用)3430960
信息必刷卷04(江苏专用)参考答案_02高考数学_2025年新高考资料_2025考前信息卷_2025年高考数学考前信息必刷卷(江苏专用)3430960
信息必刷卷04(江苏专用)参考答案_02高考数学_2025年新高考资料_2025考前信息卷_2025年高考数学考前信息必刷卷(江苏专用)3430960
信息必刷卷04(江苏专用)参考答案_02高考数学_2025年新高考资料_2025考前信息卷_2025年高考数学考前信息必刷卷(江苏专用)3430960
信息必刷卷04(江苏专用)参考答案_02高考数学_2025年新高考资料_2025考前信息卷_2025年高考数学考前信息必刷卷(江苏专用)3430960
信息必刷卷04(江苏专用)参考答案_02高考数学_2025年新高考资料_2025考前信息卷_2025年高考数学考前信息必刷卷(江苏专用)3430960
信息必刷卷04(江苏专用)参考答案_02高考数学_2025年新高考资料_2025考前信息卷_2025年高考数学考前信息必刷卷(江苏专用)3430960
信息必刷卷04(江苏专用)参考答案_02高考数学_2025年新高考资料_2025考前信息卷_2025年高考数学考前信息必刷卷(江苏专用)3430960

文档信息

文档格式
docx
文档大小
0.659 MB
文档页数
9 页
上传时间
2026-04-15 01:15:04

文档内容

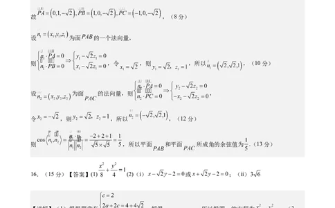
2025 年高考考前信息必刷卷 04(江苏专用) 数 学·参考答案 一、单项选择题:本题共8小题,每小题5分,共40分.在每小题给出的四个选项中,只有一项是符合题 目要求的. 1 2 3 4 5 6 7 8 A B A B C D D C 二、多项选择题:本题共3小题,每小题6分,共18分.在每小题给出的选项中,有多项符合题目要求, 全部选对的得6分,部分选对的得部分分,有选错的得0分. 9 10 11 ACD ABD BCD 第二部分(非选择题 共92分) 三、填空题:本题共3小题,每小题5分,共15分. 12.38 13. 14. 四、解答题:本题共5小题,共77分.解答应写出文字说明、证明过程或演算步骤. 15.(13分)【答案】(1)证明见解析(2) 【详解】(1)取 中点 ,连接 、 ,(1分) 因为 、 、 为圆锥三条母线, ,所以 ,(2分)又因为 平面 平面 ,所以 平面 ,(3分) 因为 平面 ,所以 .(4分) (2)因为 为直径,故 为底面圆的圆心,故 平面 ,而 ,(5分) 故以 为原点,可建立如图所示的空间直角坐标系, 因为圆锥侧面积为 为底面直径, ,所以底面半径为1,母线长为 ,(7分) 所以 ,则可得 , 故 ,(8分) 设 为面 的一个法向量, 则 ,令 ,则 ,所以 ,(10分) 设 为面 的法向量,则 , 令 ,则 ,所以 ,(12分) 则 ,所以平面 和平面 所成角的余弦值为 .(13分) 16.(15分)【答案】(1) (2)(i) 或 ;(ii) 【详解】(1)根据题意有 ,解得 ,所以椭圆 的方程为 .(3 分) (2)(i)若直线 的斜率不存在,其垂直平分线与 轴重合,不符合题意;(4分) 不妨设直线 的方程为 的中点为 ,设 ,与椭圆方程联立有 ,整理得 ,(6分) 直线过椭圆焦点,必有 ,则 ,(7分) 所以 ,(8分) 由题意知 ,即 ,解得 ,(9分) 即 ,整理得直线 的方程为 或 (10分) (ii)由弦长公式可知 ,(13分) 由直线的对称性,知点 到两条直线 的距离相同,即 , 所以 的面积为 .(15分) 17.(15分)【答案】(1)① , , ;②分布列见解析; .(2) 【详解】(1)①两次移动的所有路径可能如下: ; ; ; . 所以两次移动后,该棋子所有可能的位置有: , , .(3分)②棋子两次移动后,最终停留在 时,得1分,对应概率为: ; 棋子两次移动后,最终停留在 时,得1分,对应概率为: ; 棋子两次移动后,最终停留在 时,得3分,对应概率为: . 所以 , .所以最终得分 的分布列为: 1 3 所以 .(6分) (2)将棋盘按如图所示编号: 将棋子可以去的区域用箭头连接起来,若从3可以连接到4或8,记做 ;从8可以连接3或1,记 做 ;然后将它们串联起来: .依次类推,可以串联处环状回路: ,如下图所示: 则棋子等价于在这个环状回路中运动. (8分) 问题(2)可以转化为将两个棋子放在环状回路中的3号、7号位置,每回合3号、7号棋子有四种运动模式:(顺,顺),(顺,逆),(逆,顺),(逆,逆),发生概率均为 . 为了转化问题,现规定: “两棋子之间的最短节点数”,例如: 特别规定两棋子重合时, .并统计四种运动模式下 会如何变化.(10分) 假设3号棋子顺时针走过 个节点可以与7号棋子重合;或逆时针走过 个节点也可以与之重合. 为了简化问题,不妨假设 ,于是有下表: (逆, (顺,顺) (顺,逆) (逆,逆) 顺) 设 “ 回合后, 的概率”, “ 回合后, 的概率”, “ 回合后, 的概率”, (12分) 则有: ,所以 ,(14分) 显然: , ,所以 ,所以 .(15分) 18.(17分)【答案】(1) 的最小值为 ; 的最小值为 .(2)(i)证明见解析;(ii)【详解】(1)设 , ,则 ,(1分) 因为 ,所以 ,所以 ,所以 , 即 的最小值为: ,(2分) 当 时, , 表示点 到点(0,2)和 的距离之和,所以 . 综上, 的最小值为: .(4分) (2)(i)因为 ,(5分) 所以 (6分) (7分) ,证毕.(8分) (ii)因为 ,故 ,故 ,同理 . 若 ,(9分)当 为三角形内角时,由(i)可得: ,(10分) 若 有一个为零或 ,不妨设 或 , 若 ,则 ,(11分) 若 ,则 ,(12分) 若(i)中可以推广为:若 ,则 . 在(i)中,令 ,则 且 ,(13分) 因为 ,设 , ,所以 可得 ( ),(14分) 则 (16分) 其表示点 到点 和(1,0)的距离之差再加上 , 所以 ,当且仅当 , 即 时等号取得,此时满足 .(17分) 19.(17分)【答案】(1) ;(2)证明见解析;(3) . 【详解】(1)由题意,可设 ,且 ,则 ,(1分)而 , ,且 ,则 ,所以 .(3分) (2)当 时,恒有 ,令 ,且 ,则 ,(4分) 当 时, ,即 在 上递增;当 时, ,即 在 上递减;(5 分) 所以 ,故 ,得证.(6分) (3)令 在 处的 阶帕德近似为 , 由 ,则 ,故 ,(8分) 由 , ,而 ,则 ,(9分) 所以 ,故 ,(10分) 由 ,而 ,则 ,综上, ,且 ,(11分) 令 ,则 恒成立, 所以 在R上递增,即 ,故 时 , 时 , 所以 时 , 时 , 此时, 时 不是 极值点;(12分) 以 为界,讨论如下:由连续函数 ,当 ,则 ,而 , 在 上 , 递减,在 上 , 递增,则 , 所以,在 两侧 恒成立, 是极小值点;(13分) 当 ,则 ,而 , 在 上 , 递增,在 上 , 递减,则 , 所以,在 两侧 恒成立, 为极大值点;(14分) 当 ,有 ,在 上 , 递增,在 上 , 递减,则 , 所以,在 两侧 恒成立, 为极大值点;(15分) 当 ,则 ,而 ,(16分) 在 上 , 递增,在 上 , 递减,则 , 所以,在 两侧 恒成立, 为极大值点;综上, .(17分)