当前位置:首页>文档>1998考研数一真题解析公众号“考研小舟”持续更新中公众号:考研小舟_27考研真题_考研数学一、二、三历年真题+考研数学资料(1994-2026)_考研数学真题(1987-2026)_数学一

1998考研数一真题解析公众号“考研小舟”持续更新中公众号:考研小舟_27考研真题_考研数学一、二、三历年真题+考研数学资料(1994-2026)_考研数学真题(1987-2026)_数学一

  • 2026-04-16 09:32:07 2026-04-16 09:21:30

文档预览

1998考研数一真题解析公众号“考研小舟”持续更新中公众号:考研小舟_27考研真题_考研数学一、二、三历年真题+考研数学资料(1994-2026)_考研数学真题(1987-2026)_数学一
1998考研数一真题解析公众号“考研小舟”持续更新中公众号:考研小舟_27考研真题_考研数学一、二、三历年真题+考研数学资料(1994-2026)_考研数学真题(1987-2026)_数学一
1998考研数一真题解析公众号“考研小舟”持续更新中公众号:考研小舟_27考研真题_考研数学一、二、三历年真题+考研数学资料(1994-2026)_考研数学真题(1987-2026)_数学一
1998考研数一真题解析公众号“考研小舟”持续更新中公众号:考研小舟_27考研真题_考研数学一、二、三历年真题+考研数学资料(1994-2026)_考研数学真题(1987-2026)_数学一
1998考研数一真题解析公众号“考研小舟”持续更新中公众号:考研小舟_27考研真题_考研数学一、二、三历年真题+考研数学资料(1994-2026)_考研数学真题(1987-2026)_数学一
1998考研数一真题解析公众号“考研小舟”持续更新中公众号:考研小舟_27考研真题_考研数学一、二、三历年真题+考研数学资料(1994-2026)_考研数学真题(1987-2026)_数学一
1998考研数一真题解析公众号“考研小舟”持续更新中公众号:考研小舟_27考研真题_考研数学一、二、三历年真题+考研数学资料(1994-2026)_考研数学真题(1987-2026)_数学一
1998考研数一真题解析公众号“考研小舟”持续更新中公众号:考研小舟_27考研真题_考研数学一、二、三历年真题+考研数学资料(1994-2026)_考研数学真题(1987-2026)_数学一
1998考研数一真题解析公众号“考研小舟”持续更新中公众号:考研小舟_27考研真题_考研数学一、二、三历年真题+考研数学资料(1994-2026)_考研数学真题(1987-2026)_数学一
1998考研数一真题解析公众号“考研小舟”持续更新中公众号:考研小舟_27考研真题_考研数学一、二、三历年真题+考研数学资料(1994-2026)_考研数学真题(1987-2026)_数学一
1998考研数一真题解析公众号“考研小舟”持续更新中公众号:考研小舟_27考研真题_考研数学一、二、三历年真题+考研数学资料(1994-2026)_考研数学真题(1987-2026)_数学一
1998考研数一真题解析公众号“考研小舟”持续更新中公众号:考研小舟_27考研真题_考研数学一、二、三历年真题+考研数学资料(1994-2026)_考研数学真题(1987-2026)_数学一
1998考研数一真题解析公众号“考研小舟”持续更新中公众号:考研小舟_27考研真题_考研数学一、二、三历年真题+考研数学资料(1994-2026)_考研数学真题(1987-2026)_数学一
1998考研数一真题解析公众号“考研小舟”持续更新中公众号:考研小舟_27考研真题_考研数学一、二、三历年真题+考研数学资料(1994-2026)_考研数学真题(1987-2026)_数学一
1998考研数一真题解析公众号“考研小舟”持续更新中公众号:考研小舟_27考研真题_考研数学一、二、三历年真题+考研数学资料(1994-2026)_考研数学真题(1987-2026)_数学一
1998考研数一真题解析公众号“考研小舟”持续更新中公众号:考研小舟_27考研真题_考研数学一、二、三历年真题+考研数学资料(1994-2026)_考研数学真题(1987-2026)_数学一
1998考研数一真题解析公众号“考研小舟”持续更新中公众号:考研小舟_27考研真题_考研数学一、二、三历年真题+考研数学资料(1994-2026)_考研数学真题(1987-2026)_数学一
1998考研数一真题解析公众号“考研小舟”持续更新中公众号:考研小舟_27考研真题_考研数学一、二、三历年真题+考研数学资料(1994-2026)_考研数学真题(1987-2026)_数学一
1998考研数一真题解析公众号“考研小舟”持续更新中公众号:考研小舟_27考研真题_考研数学一、二、三历年真题+考研数学资料(1994-2026)_考研数学真题(1987-2026)_数学一
1998考研数一真题解析公众号“考研小舟”持续更新中公众号:考研小舟_27考研真题_考研数学一、二、三历年真题+考研数学资料(1994-2026)_考研数学真题(1987-2026)_数学一
1998考研数一真题解析公众号“考研小舟”持续更新中公众号:考研小舟_27考研真题_考研数学一、二、三历年真题+考研数学资料(1994-2026)_考研数学真题(1987-2026)_数学一
1998考研数一真题解析公众号“考研小舟”持续更新中公众号:考研小舟_27考研真题_考研数学一、二、三历年真题+考研数学资料(1994-2026)_考研数学真题(1987-2026)_数学一
1998考研数一真题解析公众号“考研小舟”持续更新中公众号:考研小舟_27考研真题_考研数学一、二、三历年真题+考研数学资料(1994-2026)_考研数学真题(1987-2026)_数学一
1998考研数一真题解析公众号“考研小舟”持续更新中公众号:考研小舟_27考研真题_考研数学一、二、三历年真题+考研数学资料(1994-2026)_考研数学真题(1987-2026)_数学一
1998考研数一真题解析公众号“考研小舟”持续更新中公众号:考研小舟_27考研真题_考研数学一、二、三历年真题+考研数学资料(1994-2026)_考研数学真题(1987-2026)_数学一
1998考研数一真题解析公众号“考研小舟”持续更新中公众号:考研小舟_27考研真题_考研数学一、二、三历年真题+考研数学资料(1994-2026)_考研数学真题(1987-2026)_数学一
1998考研数一真题解析公众号“考研小舟”持续更新中公众号:考研小舟_27考研真题_考研数学一、二、三历年真题+考研数学资料(1994-2026)_考研数学真题(1987-2026)_数学一

文档信息

文档格式
pdf
文档大小
0.785 MB
文档页数
23 页
上传时间
2026-04-16 09:21:30

文档内容

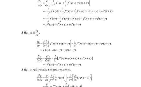
1998年全国硕士研究生入学统一考试数学一试题解析 一、填空题(本题共5小题,每小题3分,满分15分.) 1 (1)【答案】 4 【解析】方法1:用四则运算将分子化简,再用等价无穷小替换,    1x  1x 2 1x  1x 2 原式lim   x0 x2 1x  1x 2  1x  1x 2 4 2  1x2 1  lim lim x0 x2  1x  1x 2  x0 4x2 1  x2 1 2 1  1x2 1 x2lim  . 2 x0 2x2 4 方法2:采用洛必达法则. 1 1    1x  1x 2 2 1x 2 1x 原式洛lim lim x0  x2  x0 2x 1 1  1x  1x 1x  1x 2 1x 2 1x lim lim 洛lim x0 4x 1x2 x0 4x x0 4  1 1  lim   x02 1x 2 1x  1   . 4 4 方法3:将分子按佩亚诺余项泰勒公式展开至x2项, 1 1   1 1   1x 1 x x2o x2 , 1x 1 x x2o x2 , 2 8 1 2 8 2 1 1   1 1   1 x x2o x2 1 x x2o x2 2 2 8 1 2 8 2 从而 原式lim x0 x2 1      x2o x2 o x2 4 1 2 1 lim  . x0 x2 4 (2)【答案】 yf(xy)(x y) y(x y) 11 【分析】因为z  f (xy) y(x y), f,具有二阶连续导数,利用混合偏导数在连续 x z z 的条件下与求导次序无关,先求 或 均可,但不同的选择可能影响计算的繁简. x y z 方法1:先求 . x z  1  1 y  f(xy) y(x y)  f(xy) f (xy) y(x y) ,   x x x  x2 x 2z   1 y     f(xy) f (xy) y(x y) xy y x2 x  1 1 y  f(xy)x f(xy) f(xy)x(x y) y(x y) x2 x x 1 1  f(xy) f(xy) yf(xy)(x y) y(x y) x x  yf(xy)(x y) y(x y). z 方法2:先求 . y z  1  1  f(xy) y(x y)  f (xy)x(x y) y(x y)   y y x  x  f(xy)(x y) y(x y), 2z 2z     f(xy)(x y) y(x y)  xy yx x  yf(xy)(x y) y(x y). 方法3:对两项分别采取不同的顺序更简单些: 2z    1         f(xy)    y(x y)   xy x y x  y x   1    f(xy)x   y(x y)    xx  y     f(xy)   y(x y)  x y  yf(xy)(x y) y(x y). 评注:本题中, f,中的中间变量均为一元,因此本题实质上是一元复合函数的求导,只要注 意到对x求导时, y视为常数;对 y求导时,x视为常数就可以了. (3)【答案】12a 【解析】L关于x轴(y轴)对称,2xy关于 y(关于x)为奇函数  2xyds0. L 2又在L上, x2 y2  13x24y2 12  (3x24y2)ds  12ds12a. 4 3 L L 因此, 原式  2xyds (3x24y2)ds12a. L L 【相关知识点】对称性:平面第一型曲线积分 f  x,y  ds,设 f  x,y 在l上连续,如果l关 l 于 y轴对称,l 为l上x0的部分,则有结论: 1 2 f  x,y  ds,f  x,y 关于x为偶函数,   f  x,y  ds  l 1 l 0,f  x, y 关于x为奇函数.  类似地,如果l关于x轴对称,l 为l上 y0的部分,则有结论: 2 2 f  x,y  ds,f  x,y 关于y为偶函数,   f  x,y  ds  l 2 l 0,f  x, y 关于y为奇函数.  2  A  (4)【答案】   1    【解析】方法1:设A的对应于特征值的特征向量为,由特征向量的定义有 A, (0). 由 A 0,知0(如果0是A的特征值 A 0),将上式两端左乘A,得 AA A AA, A A 从而有 A* ,(即A的特征值为 ).   将此式两端左乘A,得 2 A  A   2 A*  A*  .      2  2    A   A  又E,所以  A* 2 E    1,故(A*)2 E 的特征值为  1.           方法2:由 A 0,A的特征值0(如果0是A的特征值 A 0),则A1有特征值 32 1 A  A  ,A的特征值为 ;(A*)2 E 的特征值为  1.      【相关知识点】1.矩阵特征值与特征向量的定义:设A是n阶矩阵,若存在数及非零的n 维列向量X 使得AX X 成立,则称是矩阵A的特征值,称非零向量X 是矩阵A的特 征向量. 由为A的特征值可知,存在非零向量使A,两端左乘A1,得A1. 1 1 因为0,故0,于是有A1 .按特征值定义知 是A1的特征值.   若AX X ,则(AkE)X  AX kX (k)X .即若是A的特征值,则 AkE的特征值是k. 1 2.矩阵A可逆的充要条件是 A 0,且A1  A. A 1 (5)【答案】 4 y 1 y  【解析】首先求(X,Y)的联合概率密度 f(x,y). x  1 D (x,y)|1 xe2,0 y  , 1 (2, )  x 2 区域D的面积为S   e2 1 dx  lnx e2  2. D 1 x 1 O 1 2 e2 x 1  , (x,y)D, f(x,y)2  0, 其他. 其次求关于X 的边缘概率密度. 当x1或xe2时, f (x)0; X  1 1 1 当1 xe2时, f (x)  f(x,y)dy  x dy  . X  0 2 2x 1 故 f (2) . X 4 二、选择题(本题共5小题,每小题3分,共15分.) (1)【答案】(A) 【解析】为变限所定义的函数求导数,作积分变量代换u  x2 t2, t:0xu:x2 0,du d  x2t2  2tdt dt  1 du, 2t 4x 0  1   tf(x2 t2)dt u  x2 t2 tf(u)  dt 0 x2  2t 0 1 1 x2    f(u)du  f(u)du, x2 2 2 0 d x 1 d x2  tf(x2 t2)dt   f(u)du dx 0 2dx 0 1   1  f(x2) x2  f(x2)2x xf(x2), 2 2 选(A). (t) 【相关知识点】对积分上限的函数的求导公式:若F(t)  f(x)dx ,(t),(t)均一阶 (t) 可导,则F(t)(t) f (t) (t) f (t) . (2)【答案】(B) 【解析】当函数中出现绝对值号时,就有可能出现不可导的“尖点”,因为这时的函数是 分段函数. f(x)(x2 x2) x x2 1 ,当x0,1时 f(x)可导,因而只需在x0,1处 考察 f(x)是否可导.在这些点我们分别考察其左、右导数. (x2 x2)x(1x2), x1,  (x2 x2)x(x2 1), 1 x0, 由 f(x) (x2 x2)x(1x2), 0 x1,  (x2 x2)x(x2 1), 1 x, f  x  f 1  (x2 x2)x(1x2)0  f(1) lim  lim 0 ,  x1 x1 x1 x1 f  x  f 1  (x2 x2)x(1x2)0 f(1) lim  lim 0 ,  x1 x1 x1 x1 即 f(x)在x1处可导.又 f  x  f  0  (x2 x2)x(x2 1)0 f(0) lim  lim 2 ,  x0 x x0 x f  x  f  0  (x2 x2)x(1x2)0 f(0) lim  lim 2 ,  x0 x x0 x 所以 f(x)在x0处不可导. 类似,函数 f(x)在x1处亦不可导.因此 f(x)只有2个不可导点,故应选(B). 5评注:本题也可利用下列结论进行判断: 设函数 f(x) xa(x),其中(x)在xa处连续,则 f(x)在xa处可导的充要 条件是(a)0. (3)【答案】(D) yx y y  【解析】由y  ,有   . 1x2 x 1x2 x  令x0,得是x的高阶无穷小,则lim 0, x0x y  y  y  y lim  lim    lim  lim  x0x x01x2 x x01x2 x0x 1x2 dy y 即  . dx 1x2 dy dx 分离变量,得  , y 1x2 两边积分,得 ln y arctanxC ,即 y Cearctanx. 1 代入初始条件 y(0),得y  0 Cearctan0 C .所以, y earctanx. 1 1  故 y(1)earctanx earctan1 e4. x1 【相关知识点】无穷小的比较: (x) 设在同一个极限过程中,(x),(x)为无穷小且存在极限 lim l, (x) (1) 若l 0,称(x),(x)在该极限过程中为同阶无穷小; (2) 若l 1,称(x),(x)在该极限过程中为等价无穷小,记为(x)(x); (3) 若l 0,称在该极限过程中(x)是(x)的高阶无穷小,记为(x)o (x) . (x) 若lim 不存在(不为),称(x),(x)不可比较. (x) (4)【答案】(A) xa yb zc xa yb zc 【解析】设L : 3  3  3 ,L : 1  1  1 ,题设矩阵 1 a a b b c c 2 a a b b c c 1 2 1 2 1 2 2 3 2 3 2 3 6a b c  1 1 1   a b c 是满秩的,则由行列式的性质,可知  2 2 2  a b c   3 3 3 a b c a a b b c c 1 1 1 1 2 1 2 1 2 a b c 1行减2行,2行减3行a a b b c c 0 , 2 2 2 2 3 2 3 2 3 a b c a b c 3 3 3 3 3 3 故向量组(a a ,b b ,c c )与(a a ,b b ,c c ) 线性无关,否则由线性相关的定 1 2 1 2 1 2 2 3 2 3 2 3 义知,一定存在k ,k ,使得k (a a ,b b ,c c )k (a a ,b b ,c c )0 ,这样 1 2 1 1 2 1 2 1 2 2 2 3 2 3 2 3 上面行列式经过初等行变换值应为零,产生矛盾. (a a ,b b ,c c )与(a a ,b b ,c c ) 分别为L,L 的方向向量,由方向向 1 2 1 2 1 2 2 3 2 3 2 3 1 2 量线性相关,两直线平行,可知L,L 不平行. 1 2 xa yb zc 又由 3  3  3 得 a a b b c c 1 2 1 2 1 2 xa yb zc 3 1 3 1 3 1, a a b b c c 1 2 1 2 1 2 xa  a a  yb  b b  zc   c c  即 3 1 2  3 1 2  3 1 2 . a a b b c c 1 2 1 2 1 2 xa yb zc 同样由 1  1  1 ,得 a a b b c c 2 3 2 3 2 3 xa yb zc 1 1 1 1 1 1, a a b b c c 2 3 2 3 2 3 xa  a a  yb  b b  zc   c c  即 1 2 3  3 2 3  3 2 3 , a a b b c c 2 3 2 3 2 3 可见L,L 均过点 a a a ,b b b ,c c c ,故两直线相交于一点,选(A). 1 2 2 1 3 2 1 3 2 1 3 (5)【答案】C 【分析】由题设条件P(B| A)P(B| A),知A发生与A不发生条件下B发生的条件概 率相等,即A发生不发生不影响B的发生概率,故A,B相互独立.而本题选项(A)和(B)是考 虑P(A|B)与P(A|B)是否相等,选项(C)和(D)才是事件A与B是否独立. 7【解析】由条件概率公式及条件P(B| A)P(B| A),知   P  AB  P AB P  B P  AB    , P  A  P  A  1P  A  于是有 P  AB 1P  A  P  A P  B P  AB  ,     可见 P  AB P  A  P  B . 应选(C).   P AB 【相关知识点】条件概率公式:P  B| A  .   P A 三、(本题满分5分) 【解析】方法1:求直线L在平面上的投影L : 0 x1t,  方法1:先求L与的交点N .以L:y t, 代入平面的方程,得 1  z 1t (1t)t2(1t)10t1. x1 y z1 从而交点为N (2,1,0);再过直线L上点M (1,0,1)作平面 的垂线L:   , 1 0 1 1 2 x1t,  即y t,  z 12t. 并求L与平面的交点N : 2 1 (1t)(t)2(12t)10t , 3 2 1 1 交点为N ( , , ). 2 3 3 3 x2 y1 z N 与N 的连接线即为所求L :   . 1 2 0 4 2 1 方法2:求L在平面上的投影线的最简方法是过L作垂直于平面的平面 ,所求投影 0 线就是平面与 的交线.平面 过直线L上的点(1,0,1)与不共线的向量l (1,1,1) 0 0 (直线L的方向向量)及n(1,1,2)(平面的法向量)平行,于是 的方程是 0 8x1 y z1 1 1 1 0,即x3y2z10. 1 1 2 x y2z10, 投影线为 L : 0 x3y2z10. 下面求L 绕y轴旋转一周所成的旋转曲面S的方程.为此,将L 写成参数y的方程: 0 0 x2y,   1 z  (y1).  2 按参数式表示的旋转面方程得S的参数方程为  1 x (2y)2( (1 y))2 cos, 2   y  y,  1  z  (2y)2( (1 y))2 sin.  2 2  1  消去得S的方程为x2 z2  2y 2  (y1) ,即4x2 17y2 4z2 2y10.    2  四、(本题满分6分) 【解析】令P(x,y)2xy(x4  y2),Q(x,y)x2(x4  y2), 则A(x,y)(P(x,y),Q(x,y)) 在单联通区域右半平面x0上为某二元函数u(x,y)的梯度 PdxQdy在x0上原 Q P 函数u(x,y)  ,x0. x y Q 其中, 2x(x4 y2)x2(x4 y2)14x3 , x P 2x(x4  y2)2xy(x4  y2)12y . y Q P 由  ,即满足 x y 2x(x4  y2)x2(x4  y2)14x3 2x(x4  y2)2xy(x4  y2)12y ,  4x(x4 y2)(1)01. 9可见,当1时,所给向量场为某二元函数的梯度场. 为求u(x,y),采用折线法,在x0半平面内任取一点,比如点(1,0)作为积分路径的起 点,则根据积分与路径无关,有 (x,y)2xydxx2dy u(x,y)  C (1,0) x4  y2 x 2x0 y x2   dx dyC (折线法) 1 x4 0 0 x4  y2 y x2   dyC 0 x4  y2 y x2   dyC (第一类换元法) 0  y  2 x4(1   )  x2  y x2x2  y  y 1  y   d  C d  C 0  y  2  x2  0  y  2  x2  x4(1   ) (1   )  x2   x2  y arctan C (基本积分公式) x2 其中C为任意常数. u u 【相关知识点】1.二元可微函数u(x,y)的梯度公式:gradu  i+ j . x y 2.定理:设D为平面上的单连通区域,函数P(x,y)与Q(x,y)在D内连续且有连续的一 阶偏导数,则下列六个命题等价: Q P (1)  ,(x,y)D; x y (2)  PdxQdy0,L 为D内任意一条逐项光滑的封闭曲线; L (3)  PdxQdy仅与点A,B有关,与连接A,B什么样的分段光滑曲线无关; LAB (4) 存在二元单值可微函数u(x,y),使 duPdxQdy (即PdxQdy为某二元单值可微函数u(x,y)的全微分; (5) 微分方程PdxQdy0为全微分方程; (6) 向量场Pi+Qj为某二元函数u(x,y)的梯度graduPi+Qj . 10换言之,其中任一组条件成立时,其它五组条件皆成立.当条件成立时,可用试图法或折线 法求函数u(x,y). 五、(本题满分6分) 【解析】先建立坐标系,取沉放点为原点O,铅直向下作为Oy轴正向,探测器在下沉过程中 受重力、浮力和阻力的作用,其中重力大小:mg ,浮力的大小:F B;阻力:kv, 浮 则由牛顿第二定律得 d2y m mg Bg kv,y  0,v  0. (*) dt2 t0 t0 dy d2y dv dv dy dv dy 由 v,    v v ,代入(*)得y与v之间的微分方程 dt dt2 dt dy dt dy dv 1 dy mv  mg Bkv, v  0. dv y0 mv 分离变量得 dy  dv , mgBkv mv 两边积分得 dy  dv , mgBkv Bm m2g Bm m2g mv    k k k k y   dv mgBkv m Bm m2g  (mgBkv)  k k k   dv mgBkv  m2gBm    m k    dv  k mg Bkv     m m(mg B)   dv dv k k(mg Bkv) 1 m(mg B)( ) m k  v d(mgBkv) (第一类换元法) k k(mg Bkv) m m(mg B)  v ln(mgBkv)C . k k2 11再根据初始条件v| 0,即 y0 m(mg B) m(mg B)  ln(mg B)C 0 C ln(mg B) . k2 k2 故所求 y与v函数关系为 m m  mg B mg Bkv  y  v ln . k k2  mg B  六、(本题满分7分) 【解析】方法1:本题属于求第二类区面积分,且不属于封闭区面,则考虑添加一平面使被积 1 区域封闭后用高斯公式进行计算,但由于被积函数分母中包含(x2  y2 z2) 2,因此不能立 x2  y2 a2 即加、减辅助面 : ,宜先将曲面方程代入被积表达式先化简: 1 z 0 axdydz(za)2dxdy 1 I    axdydz (za)2dxdy. (x2  y2 z2) 1 2 a   x2  y2 a2 添加辅助面 : ,其侧向下(由于为下半球面z  a2x2 y2 的上 1 z 0 侧,而高斯公式要求是整个边界区面的外侧,这里我们取辅助面的下侧,和的上侧组成整个 边界区面的内侧,前面取负号即可),由高斯公式,有 1 1 I   axdydz(za)2dxdy axdydz(za)2dxdy a a   1 1 1  (ax)   (za)2     (  )dV a2dxdy. a   x z  D    第一个积分前面加负号是由于我们取边界区面的内侧,第二个积分前面加负号是由于  的方向向下;另外由曲面片 在yoz平面投影面积为零,则axdydz 0,而 上z0, 1 1 1  1 则za2 a2. 1  I  (a2(za))dV a2dxdy , a   D 其中为与 所围成的有界闭区域,D为 在xoy面上的投影D{(x,y)|x2 y2 a2}. 1 1 从而, 121  I  3adv2zdva2dxdy a    D 1 2 2 a 0    3a a32 d rdr zdza2a2 . a 3 0 0  a2r2  第一个积分用球体体积公式;第二个用柱面坐标求三重积分;第三个用圆的面积公式. 1 2 a 1 0   I   2a42 d r z2 dra4  a 0 0 2  a2r2   1 2 a  1     a42 d r  (a2r2)dr a 0 0  2   1 2 a   a4 d (a2rr3)dr a 0 0  a 1 a2r2 r4  1  a2a2 a4   a42    a42   a  2 4   a   2 4   0 1 a4   a42   a3 a 4  2 方法2:逐项计算: axdydz(za)2dxdy 1 I    axdydz (za)2dxdy (x2  y2 z2) 1 2 a   1  xdydz (za)2dxdy I I . a 1 2   其中, I  xdydz  a2x2 y2dydz  a2x2 y2dydz 1  Dyz Dyz 2 a2x2 y2dydz, Dyz 第一个负号是由于在x轴的正半空间区域的上侧方向与x轴反向;第二个负号是由于被积 函数在x取负数. D 为在yoz平面上的投影域D {(y,z)|y2z2 a2,z0},用极坐标,得 yz yz 2 a I 2 d a2r2rdr 1  0 1 a 2  a2r2d(a2r2) 2 0 a 2 3 2 2  (a2r2)2  (0a3) a3, 3 3 3 0 131 1  2 I  (za)2dxdy   a a2x2 y2 dxdy 2 a a  Dxy 1 2 a   d (2a22a a2r2 r2)rdr a 0 0 2 a   (2a2r2ar a2r2 r3)dr a 0 2  a a a    2a2rdr2a r a2r2dr r3dr a  0 0 0   a 2 a 1  r4   a2r2 2a  a3     a  0 3   4    0 2 2 a4   (a4 a4 ) a3, a 3 4 6  其中D 为在yoz平面上的投影域D {(y,z)|y2z2 a2}.故I  I I  a3. yz yz 1 2 2 【相关知识点】高斯公式:设空间闭区域是由分片光滑的闭曲面所围成,函数 P(x,y,z)、Q(x,y,z)、R(x,y,z)在上具有一阶连续偏导数,则有 P Q R     dv PdydzQdzdx Rdxdy,  x y z    P Q R 或     dv   PcosQcos Rcos dS,  x y z    这里是的整个边界曲面的外侧,cos、cos、cos是在点(x,y,z)处的法向量的 方向余弦.上述两个公式叫做高斯公式. 七、(本题满分6分) 【分析】这是n项和式的极限,和式极限通常的方法就两种:一、把和式放缩,利用夹逼准则 求极限;二、把和式转换成定积分的定义形式,利用定积分求极限.这道题,把两种方法结合 到一起来求极限. 当各项分母均相同是n时,n项和式  2 n sin sin sin n n n x    n n n n 1 是函数sinx在[0,1]区间上的一个积分和.于是可由定积分 sinxdx求得极限limx . n 0 n i i i sin sin sin n n n 【解析】由于   ,i1,2,,n, n1 1 n n i 14i i i sin sin sin n n n 于是,  n  n  n . n1 1 n i1 i1 n i1 i i sin 由于 lim n n lim 1  n sin i   1 sinxdx 2 , n n n n n 0  i1 i1 i sin lim n n lim  n  1  n sin i lim 1  n sin i   1 sinxdx 2   n n1 nn1 n n  n n n 0  i1 i1 i1 i sin 根据夹逼定理知,lim n n  2 . n 1  i1 n i 【相关知识点】夹逼准则:若存在N ,当n N 时, y  x  z ,且有 lim y  lim z a, n n n n n n n 则 lim x a. n n 八、(本题满分5分) 【解析】方法1:因正项数列 a 单调减少有下界0,知极限lima 存在,记为a,则a a且 n n n n a0.   又(1)na 发散,根据莱布尼茨判别法知,必有a 0(否则级数(1)na 收敛). n n n1 n1  1  n  1  n 1  1 又正项级数 a 单调减少,有     ,而0 1,级数( )n n a n 1 a1 a1 n1 a1  1 收敛.根据正项级数的比较判别法,知级数( )n 也收敛. a 1 n1 n n  1  方法2:同方法1,可证明lima a 0.令b   ,则 n n n a 1 n 1 1 lim n b lim  1, n n n a 1 a1 n  1 根据根值判别法,知级数( )n 也收敛. a 1 n1 n 【相关知识点】1.交错级数的莱布尼茨判别法: 15 设交错级数(1)n1u 满足: n n1 (1)u u ,n1,2,; (2)limu 0. n n1 n n   则(1)n1u 收敛,且其和满足0(1)n1u u,余项 r u . n n 1 n n1 n1 n1  反之,若交错级数(1)n1u 发散,只是满足条件(1),则可以反证说明此级数一定不满足 n n1  条件(2)limu 0,所以有limu 0.(否则级数(1)n1u 收敛) n n n n n n1 2.正项级数的比较判别法:   v 设u 和v 都是正项级数,且lim n  A,则 n n nu n1 n1 n   (1)当0 A时,u 和v 同时收敛或同时发散; n n n1 n1     (2)当A0时,若u 收敛,则v 收敛;若v 发散,则u 发散; n n n n n1 n1 n1 n1     (3)当A时,若v 收敛,则u 收敛;若u 发散,则v 发散. n n n n n1 n1 n1 n1 3.根值判别法:   1时, u 收敛,  n  n1   设u 0,则当 lim n u 1时, u 发散,且limu 0, n n n n n  n1 n 1时, 此判别法无效.   九、(本题满分6分) 1 1 【解析】(1)要证x (0,1),使x f(x )  f(x)dx ;令(x) xf(x) f(t)dt ,要证 0 0 0 x x 0 x x (0,1),使(x )0.可以对(x)的原函数(x)  (t)dt 使用罗尔定理: 0 0 0 (0)0, 161 1 1 1 (1)  (x)dx  xf(x)dx ( f(t)dt)dx 0 0 0 x 分部 1  1 x1 1    xf(x)dx x f(t)dt  xf(x)dx 0, 0  x x0 0  又由 f(x)在[0,1]连续(x)在[0,1]连续,(x)在[0,1]连续,在(0,1)可导.根据罗尔定 理,x (0,1),使(x )(x )0. 0 0 0 (2) 由(x) xf(x) f(x) f(x) xf(x)2f(x)0 ,知(x)在(0,1)内单调增,故(1) 中的x 是唯一的. 0 评注:若直接对(x)使用零点定理,会遇到麻烦: 1 (0) f(t)dt0,(1) f(1)0 . 0 当 f(x)0时,对任何的x (0,1)结论都成立; 0 当 f(x)0时,(0)0,但(1)0,若(1)0,则难以说明在(0,1)内存在x .当直 0 接对(x)用零点定理遇到麻烦时,不妨对(x)的原函数使用罗尔定理. 【相关知识点】1.罗尔定理:如果函数 f(x)满足 (1) 在闭区间[a,b]上连续; (2) 在开区间(a,b)内可导; (3) 在区间端点处的函数值相等,即 f(a) f(b), 那么在(a,b)内至少有一点(ab),使得 f()0. 十、(本题满分6分) 【解析】经正交变换化二次型为标准形,二次型矩阵与标准形矩阵既合同又相似.由题设知, 1 b 1   二次曲面方程左端二次型对应矩阵为A b a 1 ,则存在正交矩阵P,使得    1 1 1  0 0 0   P1AP  0 1 0 记B,    0 0 4  17即A与B相似. 由相似矩阵有相同的特征值,知矩阵A有特征值0,1,4.从而, 1a1014,  a3,b1.  A (b1)2  B 0. 1 1 1   从而,A 1 3 1 .    1 1 1  当 0时, 1 1 1 1 1 1 1      0EA  1 3 1 1行(1)分别加到2,3行 0 2 0        1 1 1    0 0 0   x x x  0, 于是得方程组(0EA)x0的同解方程组为 1 2 3  2x 0. 2 r(0EA)2,可知基础解系的个数为nr(0EA)321,故有1个自由未知量, 选x 为自由未知量,取x 1,解得基础解系为 (1,0,1)T. 1 1 1 当 1时, 2  0 1 1  0 1 1      EA  1 2 1 3(1)加到2行 0 1 1        1 1 0     1 1 0    0 1 1  0 1 1     1行(1)加到2行 0 0 0 2,3行互换 1 1 0 ,         1 1 0     0 0 0   x x 0, 于是得方程组(EA)x0的同解方程组为 2 3  x x 0. 1 2 r(EA)2,可知基础解系的个数为nr(EA)321,故有1个自由未知量, 选x 为自由未知量,取x 1,解得基础解系为 (1,1,1)T. 1 1 2 当 4时, 3 18 3 1 1 1 1 1      4EA  1 1 1 1,2行互换 3 1 1        1 1 3     1 1 3   1 1 1 1 1 1     1行的3,(-1)倍分别加到2,3行 0 2 4 2行加到3行 0 2 4 ,         0 2 4     0 0 0   x x x  0, 于是得方程组(4EA)x0的同解方程组为 1 2 3 2x 4x 0. 2 3 r(4EA)2,可知基础解系的个数为nr(4EA)321,故有1个自由未知量, 选x 为自由未知量,取x 2,解得基础解系为 (1,2,1)T. 2 2 3 由实对称矩阵不同特征值对应的特征向量相互正交,可知,, 相互正交. 1 2 3 将,, 单位化,得 1 2 3  1 1   1 ( ,0, )T, 1  2 2 1  1 1 1   2 ( , , )T, 2  3 3 3 2  1 2 1   3 ( , , )T. 3  6 6 6 3  1 1 1    2 3 6    1 2  因此所求正交矩阵为P  0  .   3 6    1 1 1      2 3 6 评注:利用相似的必要条件求参数时,a b 是比较好用的一个关系式.亦可用 ii ii EA  EB 比较同次方的系数来求参数. n n 【相关知识点】1.特征值的性质:a i ii i1 i1 2.相似矩阵的性质:若矩阵A与B相似,则 A  B . 十一、(本题满分4分) 19【解析】用线性无关的定义证明. 设有常数,,, ,使得 0 1 k1 A Ak1 0. () 0 1 k1 两边左乘Ak1,则有 Ak1  A Ak1   0, 0 1 k1 即 Ak1Ak A2(k1) 0. 0 1 k1 上式中因Ak0,可知Ak1 A2k1  0,代入上式可得Ak10. 0 由题设Ak10,所以 0. 0 将 0代入(),有A Ak1 0. 0 1 k1 两边左乘Ak2,则有 Ak2  A Ak1   0, 1 k1 即Ak1 A2k3 0. 1 k1 同样,由Ak0,Ak1A2k1  0,可得Ak10. 1 由题设Ak10,所以 0. 1 类似地可证明   0,因此向量组,A,,Ak1是线性无关的. 2 k1 【相关知识点】向量组线性相关和线性无关的定义:存在一组不全为零的数k ,k ,,k 使 1 2 m k k k   0,则称, ,, 线性相关;否则,称, ,, 线性无关. 1 1 2 2 m m 1 2 m 1 2 m 十二、(本题满分5分) 【解析】(II)的通解为 kk k , 1 1 2 2 n n 其中, (a ,a ,,a )T,  (a ,a ,,a )T,,  (a ,a ,,a )T , 1 11 12 1,2n 2 21 22 2,2n n n1 n2 n,2n k ,k ,,k 为任意常数. 1 2 n 理由:可记方程组(I)A X 0, (II)B Y 0, (I),(II)的系数矩阵分别记为A,B,由 n2n n2n 于B的每一行都是A X 0的解,故ABT 0.BT 的列是(I)的基础解系,故由基础解系 n2n 资料搜集QQ1836989006 微信1836989006 20的定义知,BT 的列向量是线性无关的,因此r(B)n.故基础解系所含向量的个数 n2nr(A),得r(A)2nnn.因此,A的行向量线性无关. 对ABT 0两边取转置,有  ABT T BAT 0,则有AT 的列向量,即A的行向量是 BY 0的线性无关的解. 又r(B)n,故BY 0基础解系所含向量的个数应为2nr(B)2nnn ,恰好等 于A的行向量个数.故A的行向量组是BY 0的基础解系,其通解为 kk k , 1 1 2 2 n n 其中, (a ,a ,,a )T,  (a ,a ,,a )T,,  (a ,a ,,a )T , 1 11 12 1,2n 2 21 22 2,2n n n1 n2 n,2n k ,k ,,k 为任意常数. 1 2 n 十三、(本题满分6分) 【分析】把X Y 看成一个随机变量,根据独立正态随机变量的线性组合必然为正态分布的 性质,可以知道X Y  N(0,1),这样可以简化整题的计算. 【解析】令Z  X Y ,由于X,Y 相互独立,且都服从正态分布,因此Z 也服从正态分布,且 1 1 E(Z)E(X)E(Y)0 ,D(Z)D(X)D(Y)  1. 2 2 于是,Z  X Y  N(0,1). D X Y D  Z  E  Z 2    E Z 2  D(Z)  E  Z 2   E Z 2 1  E Z 2 .  1  z2 2   z2 而 E Z   z  e 2dz   ze 2dz  2 2 0  2   z2  z2  2   z2  2   e 2d  e 2   , 2 0  2  2    0 2 故D X Y 1 .  【相关知识点】1.对于随机变量X 与Y 均服从正态分布,则X 与Y 的线性组合亦服从正态 分布. 若X 与Y 相互独立,由数学期望和方差的性质,有 E(aX bY c)aE(X)bE(Y)c , 21D(aX bY c)a2D(X)b2D(Y) , 其中a,b,c为常数. 2.方差的定义:DX EX2(EX)2.  3.随机变量函数期望的定义:若Y  g(X),则EY   g(x)f (x)dx .  十四、(本题满分4分) 1 n 【解析】由题知: X ,X ,,X ~ N(3.4,62),X  X ,各样本相互独立,根据独立 1 2 n n n i i1 1 n 1 n  正态随机变量的性质,X  X ~ N(,2).其中 EX  E X  , n n i n n i  i1 i1 1 n  2  DX  D X  . n n i  i1 根据期望和方差的性质, 1 n  1 n 3.4n  EX  E X   EX   3.4, n n i  n i n i1 i1 1 n  1  n  1 n 62n 62 2  DX  D X   D X   DX   . n n i  n2  i  n2 i n2 n i1 i1 i1 1 n 62 X 3.4 所以,X  X ~ N(3.4, ).把X 标准化,U  n ~ N(0,1). n n i n n 6/ n i1 从而,     P 1.4X5.4 P 1.43.4X3.45.43.4      P 2 X3.4 2  P X3.4  2   X3.4 2 n    n   P n   2 1 0.95,    6 6   3     n  n 故 0.975,查表得到 1.96,即n 1.963 2 34.57,所以n至少应取35.    3  3 【相关知识点】1.对于随机变量X 与Y 均服从正态分布,则X 与Y 的线性组合亦服从正态 分布. 若X 与Y 相互独立,由数学期望和方差的性质,有 E(aX bY c)aE(X)bE(Y)c , 22D(aX bY c)a2D(X)b2D(Y) , 其中a,b,c为常数. Z u 2.若Z ~ N(u,2),则 ~ N(0,1)  十五、(本题满分4分) 【解析】设该次考试的考生成绩为X ,则X ~ N(,2),设X 为从总体X 抽取的样本容量 为n的样本均值,S 为样本标准差,则在显著性水平0.05下建立检验假设: H : 70,H :70, 0 0 1 由于2未知,故用t检验. 选取检验统计量, X  X 70 T  0 n  36 S S 在 70时,X ~ N(70,2),T ~t(35). 0   选择拒绝域为R  T  ,其中满足:     P T  0.05,即P T  0.975,t (35) 2.0301. 0.975 由n 36,x 66.5, 70,s 15, 可算得统计量T 的值: 0 66.570 t  361.4 2.0301. 15 所以接受假设H :70,即在显著性水平0.05下,可以认为这次考试全体考生的平均成绩 0 为70分. 23