当前位置:首页>文档>第七周 周五_02高考数学_2025年新高考资料_二轮复习_2025年高考数学大二轮_2025数学二轮专题复习学生用书Word版文档_每日一练_第七周

第七周 周五_02高考数学_2025年新高考资料_二轮复习_2025年高考数学大二轮_2025数学二轮专题复习学生用书Word版文档_每日一练_第七周

  • 2026-04-19 07:16:35 2026-04-19 07:16:35

文档预览

第七周 周五_02高考数学_2025年新高考资料_二轮复习_2025年高考数学大二轮_2025数学二轮专题复习学生用书Word版文档_每日一练_第七周
第七周 周五_02高考数学_2025年新高考资料_二轮复习_2025年高考数学大二轮_2025数学二轮专题复习学生用书Word版文档_每日一练_第七周
第七周 周五_02高考数学_2025年新高考资料_二轮复习_2025年高考数学大二轮_2025数学二轮专题复习学生用书Word版文档_每日一练_第七周
第七周 周五_02高考数学_2025年新高考资料_二轮复习_2025年高考数学大二轮_2025数学二轮专题复习学生用书Word版文档_每日一练_第七周
第七周 周五_02高考数学_2025年新高考资料_二轮复习_2025年高考数学大二轮_2025数学二轮专题复习学生用书Word版文档_每日一练_第七周
第七周 周五_02高考数学_2025年新高考资料_二轮复习_2025年高考数学大二轮_2025数学二轮专题复习学生用书Word版文档_每日一练_第七周
第七周 周五_02高考数学_2025年新高考资料_二轮复习_2025年高考数学大二轮_2025数学二轮专题复习学生用书Word版文档_每日一练_第七周
第七周 周五_02高考数学_2025年新高考资料_二轮复习_2025年高考数学大二轮_2025数学二轮专题复习学生用书Word版文档_每日一练_第七周

文档信息

文档格式
docx
文档大小
0.840 MB
文档页数
4 页
上传时间
2026-04-19 07:16:35

文档内容

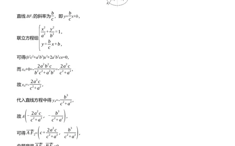
周五 1.(2024·嘉兴模拟)若正数x,y满足x2-2xy+2=0,则x+y的最小值是( ) √6 A.√6 B. 2 C.2√2 D.2 2.(2024·梅州模拟)某学校为参加辩论比赛,选出8名学生,其中3名男生和5名女生,为了更好备赛和做 进一步选拔,现将这8名学生随机地平均分成两队进行试赛,那么两队中均有男生的概率是( ) 3 4 A. B. 7 7 5 6 C. D. 7 7 (1 )( π) 3.(多选)(2024·惠州模拟)已知函数f(x)=2sin x+φ |φ|< ,直线x=-π为f(x)图象的一条对称轴,则下列 3 2 说法正确的是( ) π A.φ= 6 [ π] B.f(x)在区间 -π,- 上单调递增 2 C.f(x)在区间[-π,π]上的最大值为2 D.若f(x+θ)为偶函数,则θ=2π+3kπ(k∈Z) x2 y2 4.(2024·安顺模拟)设F ,F 分别为椭圆C: + =1(a>b>0)的左、右焦点,B为椭圆C的上顶点,直线 1 2 a2 b2 BF 与椭圆C的另一个交点为A.若⃗AF ·⃗BF =0,则椭圆C的离心率为 . 1 2 2 5.(2024·温州模拟)数列{a },{b }满足:{b }是等比数列,b =2,a =5,且a b +a b +… n n n 1 2 1 1 2 2 +a b =2(a -3)b +8(n∈N*). n n n n (1)求数列{a },{b }的通项公式; n n (2)求集合A={x|(x-a)(x-b)=0,i≤2n,i∈N*}中所有元素的和; i i (3)对数列{c },若存在互不相等的正整数k ,k ,…,k(j≥2),使得c +c +…+c 也是数列{c }中的项,则 n 1 2 j k k k n 1 2 j 称数列{c }是“和稳定数列”.试分别判断数列{a },{b }是否是“和稳定数列”.若是,求出所有j的值;若 n n n 不是,说明理由.答案精析 1.A 2.D 3.BD √5 4. 5 解析 由题意得F (c,0),B(0,b),F (-c,0),则⃗BF =(c,-b), 2 1 2 b b 直线BF 的斜率为 ,即y= x+b, 1 c c {x2 y2 + =1, a2 b2 联立方程组 b y= x+b, c 可得(b2c2+a2b2)x2+2a2b2cx=0, 2a2b2c 2a2c 而x +0=- =- , A b2c2+a2b2 c2+a2 2a2c 故x =- , A c2+a2 b3 代入直线方程中得y =- , A c2+a2 ( 2a2c b3 ) 故A - ,- , c2+a2 c2+a2 ( 2a2c b3 ) 可得⃗AF = c+ , , 2 c2+a2 c2+a2 由题意得⃗AF ·⃗BF =0, 2 2 ( 2a2c ) b3 可得c· c+ +(-b)· c2+a2 c2+a2 =0, 3a2c2+c4-b4 化简得 =0, c2+a2 即3a2c2+c4-b4=0, 化简得5a2c2-a4=0, 同除以a4得5e2-1=0,且e>0,√5 解得e= . 5 5.解 (1)∵a b =2(a -3)b +8, 1 1 1 1 b =2,∴a =2, 1 1 又a b +a b =2(a -3)b +8, 1 1 2 2 2 2 解得b =4. 2 ∵数列{b }是等比数列, n b 2 ∴数列{b }的公比q= =2, n b 1 ∴b =2n; n 又当n≥2时,a b +a b +…+a b =2(a -3)b +8, 1 1 2 2 n-1 n-1 n-1 n-1 作差得a b =2(a -3)b -2(a -3)b , n n n n n-1 n-1 将b =2n代入, n 化简a =2(a -3)-(a -3), n n n-1 得a -a =3(n≥2), n n-1 ∴数列{a }是公差d=3的等差数列,∴a =a +(n-1)d=3n-1. n n 1 (2)记集合A的全体元素的和为S, 2n(6n-1+2) 集合M={a ,a ,…,a }的所有元素的和为A = =6n2+n, 1 2 2n 2n 2 2(1-22n ) 集合N={b ,b ,…,b }的所有元素的和为B = =22n+1-2, 1 2 2n 2n 1-2 集合M∩N的所有元素的和为T,则有S=A +B -T. 2n 2n 对于数列{b }, n 当n=2k-1(k∈N*)时,b =22k-1=(3-1)2k-1=3p-1(p∈N*)是数列{a }中的项; 2k-1 n 当n=2k(k∈N*)时,b =2b =2(3p-1)=3q-2(q∈N*)不是数列{a }中的项, 2k 2k-1 n ∴T=b +b +…+b , 1 3 2k-1 {b ≤a , log (6n-1)-1 log (6n-1)+1 其中 2k-1 2n ⇒ 2 a 2 2 2k+1 2n [log (6n-1)+1] 即k= 2 (其中[x]表示不超过实数x的最大整数), 2 2(1-4k ) 2 ∴T= = (4k-1) 1-4 3 2 ( [log 2 (6n-1)+1] ) = 4 2 -1 , 32 [log(6n-1)+1] 4 ∴S=6n2+n+22n+1- · 2 - . 3 4 2 3 (3)①因为a +a +…+a k k k 1 2 j =3(k +k +…+k)-j, 1 2 j 当j=3m(m∈N*)时, a +a +…+a 是3的正整数倍, k k k 1 2 j 故一定不是数列{a }中的项; n 当j=3m-1(m∈N*)时, a +a +…+a =1(mod 3)(表示用3来除余数为1),不是数列{a }中的项; k k k n 1 2 j 当j=3m+1(m∈N*)时, a +a +…+a =2(mod 3),是数列{a }中的项, k k k n 1 2 j 综上,数列{a }是“和稳定数列”, n j=3m+1(m∈N*); ②数列{b }不是“和稳定数列”,理由如下: n 不妨设1≤k b ,且 k k k k 1 2 j j b k +b k +…+b k ≤b 1 +b 2 +…+b k =21+22+…+2k j 1 2 j j =2k j +1-2<2k j +1=b k +1 , j 故b +b +…+b 不是数列{b }中的项. k k k n 1 2 j 数列{b }不是“和稳定数列”. n