当前位置:首页>文档>考点28三角恒等变换(2)(解析版)_新高考复习资料_2022年新高考资料_备战2022年高考数学一轮复习考点帮(新高考地区专用)8.2更新

考点28三角恒等变换(2)(解析版)_新高考复习资料_2022年新高考资料_备战2022年高考数学一轮复习考点帮(新高考地区专用)8.2更新

  • 2026-04-24 08:53:55 2026-04-24 08:53:55

文档预览

考点28三角恒等变换(2)(解析版)_新高考复习资料_2022年新高考资料_备战2022年高考数学一轮复习考点帮(新高考地区专用)8.2更新
考点28三角恒等变换(2)(解析版)_新高考复习资料_2022年新高考资料_备战2022年高考数学一轮复习考点帮(新高考地区专用)8.2更新
考点28三角恒等变换(2)(解析版)_新高考复习资料_2022年新高考资料_备战2022年高考数学一轮复习考点帮(新高考地区专用)8.2更新
考点28三角恒等变换(2)(解析版)_新高考复习资料_2022年新高考资料_备战2022年高考数学一轮复习考点帮(新高考地区专用)8.2更新
考点28三角恒等变换(2)(解析版)_新高考复习资料_2022年新高考资料_备战2022年高考数学一轮复习考点帮(新高考地区专用)8.2更新
考点28三角恒等变换(2)(解析版)_新高考复习资料_2022年新高考资料_备战2022年高考数学一轮复习考点帮(新高考地区专用)8.2更新
考点28三角恒等变换(2)(解析版)_新高考复习资料_2022年新高考资料_备战2022年高考数学一轮复习考点帮(新高考地区专用)8.2更新
考点28三角恒等变换(2)(解析版)_新高考复习资料_2022年新高考资料_备战2022年高考数学一轮复习考点帮(新高考地区专用)8.2更新
考点28三角恒等变换(2)(解析版)_新高考复习资料_2022年新高考资料_备战2022年高考数学一轮复习考点帮(新高考地区专用)8.2更新
考点28三角恒等变换(2)(解析版)_新高考复习资料_2022年新高考资料_备战2022年高考数学一轮复习考点帮(新高考地区专用)8.2更新
考点28三角恒等变换(2)(解析版)_新高考复习资料_2022年新高考资料_备战2022年高考数学一轮复习考点帮(新高考地区专用)8.2更新
考点28三角恒等变换(2)(解析版)_新高考复习资料_2022年新高考资料_备战2022年高考数学一轮复习考点帮(新高考地区专用)8.2更新
考点28三角恒等变换(2)(解析版)_新高考复习资料_2022年新高考资料_备战2022年高考数学一轮复习考点帮(新高考地区专用)8.2更新
考点28三角恒等变换(2)(解析版)_新高考复习资料_2022年新高考资料_备战2022年高考数学一轮复习考点帮(新高考地区专用)8.2更新
考点28三角恒等变换(2)(解析版)_新高考复习资料_2022年新高考资料_备战2022年高考数学一轮复习考点帮(新高考地区专用)8.2更新
考点28三角恒等变换(2)(解析版)_新高考复习资料_2022年新高考资料_备战2022年高考数学一轮复习考点帮(新高考地区专用)8.2更新
考点28三角恒等变换(2)(解析版)_新高考复习资料_2022年新高考资料_备战2022年高考数学一轮复习考点帮(新高考地区专用)8.2更新
考点28三角恒等变换(2)(解析版)_新高考复习资料_2022年新高考资料_备战2022年高考数学一轮复习考点帮(新高考地区专用)8.2更新

文档信息

文档格式
docx
文档大小
0.498 MB
文档页数
14 页
上传时间
2026-04-24 08:53:55

文档内容

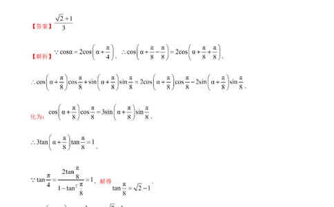
考点 28 三角恒等变换(2) 【命题解读】 运用两角和与差以及二倍角进行化简求值;能熟练解决变角问题;能熟练的运用公式进行求角 【基础知识回顾】 知识梳理 1. 在三角函数式的化简、求值、证明等三角恒等变换中,要注意将不同名的三角函数化成同名的三角 函数,如遇到正切、正弦、余弦并存的情况,一般要切化弦. 2. 要注意对“1”的代换: 如1=sin2α+cos2α=tan,还有1+cosα=2cos2,1-cosα=2sin2. 3. 对于sinαcosα与sinβ±cosα同时存在的试题,可通过换元完成: 如设t=sinα±cosα,则sinαcosα=±. 4. 要注意角的变换,熟悉角的拆拼技巧,理解倍角与半角是相对的,如2α=(α+β)+(α-β),α=(α+ β)-β=(α-β)+β,是的半角,是的倍角等. 5. 用三角方法求三角函数的最值常见的函数形式: (1)y=asinx+bcosx=sin(x+φ),其中cosφ=,sinφ=.则-≤y≤. (2)y=asin2x+bsinxcosx+ccos2x可先降次,整理转化为上一种形式. (3)y=(或y=) 可转化为只有分母含sinx或cosx的函数式sinx=f(y)的形式,由正、余弦函数的有界性求解. 6. 用代数方法求三角函数的最值常见的函数形式: (1)y=asin2x+bcosx+c可转化为关于cosx的二次函数式. (2)y=asinx+(a,b,c>0),令sinx=t,则转化为求y=at+(-1≤t≤1)的最值,一般可用基本不等式 或单调性求解. 1、若sin 2α=,sin(β-α)=,且α∈,β∈,则α+β的值是( ) A. B. C.或 D.或 【答案】A 【解析】∵α∈, ∴2α∈, ∵sin 2α=,∴2α∈. ∴α∈且cos 2α=-. 又∵sin(β-α)=,β∈, ∴β-α∈,cos(β-α)=-,∴cos(α+β)=cos[(β-α)+2α] =cos(β-α)cos 2α-sin(β-α)sin 2α =×-×=, 又∵α+β∈,∴α+β=. 2、已知α,β∈,若sin=,cos=,则sin(α-β)的值为____________. A. B. C. D. 【答案】:A 【解析】:由题意可得α+∈,β-∈,所以cos=-,sin(β-)=-, 所以sin(α-β)=-sin[(α+)-(β-)]=-=. 3、已知sin α=,sin(α-β)=-,α,β均为锐角,则β=________. 【答案】 【解析】因为α,β均为锐角,所以-<α-β<. 又sin(α-β)=-,所以cos(α-β)=. 又sin α=,所以cos α=, 所以sin β=sin[α-(α-β)]=sin αcos(α-β)-cos αsin(α-β) =×-×=. 所以β=. 4、(一题两空)如图,在平面直角坐标系xOy中,以x轴正半轴为始边的锐角α与钝角β的终边与单位圆分 别交于 A,B 两点,x 轴正半轴与单位圆交于点 M,已知 S =,点 B 的纵坐标是.则 cos(α-β)= △OAM ________,2α-β=________. 【答案】- - 【解析】由题意,OA=OM=1, 因为S =和α为锐角,所以sin α=,cos α=. △OAM 又点B的纵坐标是,所以sin β=,cos β=-, 所以cos(α-β)=cos αcos β+sin αsin β=×+×=-. 因为cos 2α=2cos2α-1=2×2-1=-, sin 2α=2sin αcos α=2××=,所以2α∈.因为β∈,所以2α-β∈. 因为sin(2α-β)=sin 2αcos β-cos 2αsin β=-, 所以2α-β=-. 5、【江苏省南通市海安高级中学2019-2020学年3月线上考试】若 ,则 ______. 【答案】 【解析】 , , , 化为: , , ,解得 . , 故答案为考向一 变角的运用 例1、(2020江苏苏州五校12月月考)已知 , ,则 的值为 ______. 【答案】 【解析】 , ,又 , , , , = . 变式1、【江苏省南通市如皋市2019-2020学年高三下学期期初考】已知 为锐角,且 , 则 __________. 【答案】 【解析】因为 为锐角, ,则 , 所以 , . 故答案为: . 变式2、(2019通州、海门、启东期末)设α∈,已知向量a=(sinα,),b=,且a⊥b. (1) 求tan的值; (2) 求cos的值. 【解析】 (1) 因为a=(sina,),b=,且a⊥b. 所以sina+cosα=,所以sin=.2分 因为α∈,所以α+∈,(4分) 所以cos=, 故sin== 所以tan=.(6分) (2) 由(1)得cos=2cos2-1=2×-1=.(8分) 因为α∈,所以2α+∈, 所以sin=.(10分) 所以cos=coscos-sinsin(12分) =.(14分) 方法总结:所谓边角就是用已知角表示所求的角,要重点把握住它们之间的关系,然后运用有关公式进行 求解。 考向二 求角 例2、(2019苏州期初调查)已知cosα=,α∈. (1) 求sin的值; (2) 若cos(α+β)=,β∈,求β的值. 【解析】 (1) 由cosα=,α∈, 得sinα===.(2分) 所以sin=sincosα+cossinα(4分) =×+×=.(6分) (2) 因为α,β∈,所以α+β∈(0,π). 又cos(α+β)=,则sin(α+β)===.(8分) 所以sinβ=sin(α+β-α)=sin(α+β)cosα-cos(α+β)sinα(10分) =×-×=.(12分)因为β∈,所以β=.(14分) 变式1、如图,在平面直角坐标系xOy中,以Ox轴为始边作两个锐角α,β,它们的终边分别与单位圆相 交于A,B两点,已知A,B的横坐标分别为,.求: (1) tan(α+β)的值; (2) α+2β的大小. 【解析】: 由条件得cosα=,cosβ=. ∵ α,β为锐角, ∴ sinα==,sinβ==. 因此tanα==7,tanβ==. (1) tan(α+β)===-3. (2) ∵ tan2β===, ∴ tan(α+2β)===-1. ∵ α,β为锐角,∴ 0<α+2β<,∴ α+2β=. 变式2、(2020江苏扬州高邮上学期开学考)在平面直角坐标系 中,锐角 的顶点为坐标原点 , 始边为 轴的非负半轴,终边上有一点 . (1)求 的值; (2)若 ,且 ,求角 的值. 【解析】(1) 角 的终边上有一点P∴ , , ∴ , , ∴ .(2)由 , 得 ,∵ , ∴ , 则 ,因 ,则 . 方法总结:求角的步棸:1、求角的某一个三角函数值,(结合具体情况确定是正弦、余弦还是正切)2、 确定角的范围(范围尽量缩小)3、根据范围和值确定角的大小。 考向三 公式的综合运用 例3、【江苏省南通市西亭高级中学2019-2020学年高三下学期学情调研】已知函数 , (1)求 的最小正周期和单调递减区间。 (2)若方程 在区间 上有两个不同的实数解,求实数m的取值范围。 【解析】(1)∴ 由 ,解得: ∴ 的单调递减区间为: (2)即 在区间 上的图象与直线 有两个不同的交点. 由(1)知: 在 上单调减,在 上单调增, ∴ , , ∴当 时, 在区间 上的图象与直线 有两个不同的交点,即方程 在区间 上两个不同的实数解. ∴ 的取值范围为 . 变式1、(2020江苏淮安楚州中学月考)已知函数 . (1)求函数 的最小值,并写出 取得最小值时自变量x的取值集合; (2)若 ,求函数 的单调增区间. 【解析】(1). 当 ,即 时, 取得最小值0. 此时, 取得最小值时自变量x的取值集合为 . (2)因为 ,令 , 解得 ,又 ,令 , ,令 , ,所以函数在 的单调增区间是 和 .    f x2sin  x  cosx 0 x 变式2、(2020江苏如东高级中学月考)已知函数  3 .若 2 ,求函数 f x 的值域.   f x sinx 3cosx cosxsinxcosx 3cos2 x 【解析】 1 3 3   3  sin2x cos2x sin 2x    2 2 2  3 2 ,    4 3   0 x 2x   sin  2x  1 由 2 得, 3 3 3 , 2  3 .   3 3  3 ∴ 0sin   2x 3    2 1 2 ,即函数 f x的值域为   0,1 2   . 方法总结:降幂公式是解决含有cos2x、sin2x式子的问题较常用的变形之一,它体现了逆用二倍角公式的解 题技巧.1、(2016•新课标Ⅱ,理9)若 ,则 A. B. C. D. 【答案】D 【解析】法 , , 法 , , , 故选 . 2、(2011浙江)若 , , , ,则 A. B. C. D. 【答案】C 【解析】 ,而 , , 因此 , , 则 . Δ AEB 3、(2015江苏)已知 , ,则 的值为_______. ¿ [ 【答案】3 【解析】 . 4、(2012江苏)设 为锐角,若 ,则 的值为 .17√2 【答案】 50 π π π 24 【解析】 因为 为锐角,cos( α+ )= ,∴sin( α+ )= ,∴sin2( α+ )= cos2( , 6 6 6 25, α π π π √2 17 17√2 所以sin( 2α+ )=sin[2(α+ )− ]= × = . 12 6 4 2 25 50   f(x) 2cos x ,xR 5、(2013广东)已知函数   .  12  f (1) 求  的值;  3 3 3    (2) 若cos ,  ,2 ,求 f   . 5  2   6  【解析】(1) (2) <θ<2π,所以 , 因此 6、(2019年高考浙江卷)设函数 . (1)已知 函数 是偶函数,求 的值; (2)求函数 的值域. 【 解 析 】 ( 1 ) 因 为 是 偶 函 数 , 所 以 , 对 任 意 实 数 x 都 有 , 即 , 故 , 所以 .又 , 因此 或 . (2) . 因此,函数的值域是 . 7、(2017年高考浙江卷)已知函数 . (1)求 的值. (2)求 的最小正周期及单调递增区间. 【解析】(1)由 , , . 得 . (2)由 与 得 .所以 的最小正周期是 . 由正弦函数的性质得 , 解得 , 所以, 的单调递增区间是 . 8、(2018年高考浙江卷)已知角α的顶点与原点O重合,始边与x轴的非负半轴重合,它的终边过点P( ). (1)求sin(α+π)的值; (2)若角β满足sin(α+β)= ,求cosβ的值. 【解析】(1)由角 的终边过点 得 , 所以 . (2)由角 的终边过点 得 , 由 得 . 由 得 , 所以 或 . 9、【江苏省南通市如皋市2019-2020学年高三下学期期初考】已知 .(1)求函数的最小正周期; (2)求函数 , 的值域. 【答案】(1)最小正周期为 (2) 【解析】(1) , , 所以函数 的最小正周期为 , (2) , , 因为 ,所以 , 所以 , 所以函数 的值域为 .