文档内容
2020年军队文职考试《物理》真题
即刻题库 www.jike.vip
1 、 单选题
图中BCD是以O点为圆心,以R为半径的半圆弧,在A点有一电量为+q的点电荷,O点有
一电量为-q的点电荷,线段BA=R,现将一单位正电荷从B点沿半圆弧轨道BCD移到D点,
则电场力所作的功为()。
A :
B :
C :
D :
2 、 单选题
对于理想气体系统来说,在下列过程中,系统所吸收的热量、内能的增量和对外作的功
三者均为正值的是()。
A : 等体升压过程
B : 等温膨胀过程
C : 绝热膨胀过程
D : 等压膨胀过程3 、 单选题
摩尔数相同的三种气体:H2、N2、O2(均视为刚性分子理想气体),它们从相同的初
态出发,都经历等体吸热过程,若吸收相同的热量,则三者压强增加的关系是()。
A :
B :
C :
D : 无法判断
4 、 单选题
一定量的某种理想气体,若体积保持不变,则其平均自由程
与温度的关系是()。
A :
B :
C :
D :
5 、 单选题
在标准状态下体积比为1:2的氧气和氦气(均视为刚性分子理想气体)相混合,混合气体
中氧气和氦气的内能之比为()。
A : 5:6
B : 5:3
C : 1:2
D : 10:3
6 、 单选题
如图所示,两个大小不同的容器用均匀的细管相连,管中有一水银滴作活塞,大容器装
有氧气,小容器装有氢气。当温度相同时,水银滴静止于细管中央,则此时这两种气体中()。
A : 氧气的密度较大
B : 氢气的密度较大
C : 两种气体的密度一样大
D : 哪种气体的密度较大是无法判断的
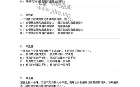
7 、 单选题
一个物体正在绕固定光滑轴自由转动,则()。
A : 它受热膨胀时角速度变大, 遇冷收缩时角速度变小
B : 它受热膨胀或遇冷收缩时, 角速度不变
C : 它受热膨胀时角速度变小, 遇冷收缩时角速度变大
D : 它受热膨胀或遇冷收缩时, 角速度均变大
8 、 单选题
一质点在几个外力同时作用下运动时,下列说法正确的是()。
A : 质点的动量改变时, 质点的动能一定改变
B : 质点的动能不变时, 质点的动量也一定不变
C : 外力的功为零时, 外力的冲量一定为零
D : 外力的冲量为零时, 外力的功一定为零
9 、 单选题
竖直上抛一小球。若空气阻力的大小不变,则球上升到最高点所需用的时间,与从最高
点下降到原位置所需用的时间相比()。
A : 前者短
B : 前者长
C : 两者相等
D : 无法判断其长短
10 、 单选题
一水平放置的飞轮可绕通过中心的竖直轴转动,飞轮的辐条上装有一个小滑块,它可在
辐条上无摩擦地滑动。一轻弹簧一端固定在飞轮转轴上,另一端与滑块联接。当飞轮以角速度旋转时,弹簧的长度为原长的f倍,已知 则w与f的
函数关系为()。
A :
B :
C :
D :
11 、 单选题
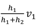
路灯距路面高度为 1,一身高为 2的人在路灯下以v匀1沿速着直线靠近或远离路灯行走,
则人影顶端的速度大小为()。
A :
B :
C :
D :
12 、 单选题
不确定关系式 表示在x方向上( )
A : 粒子位置不能准确确定
B : 粒子动量不能准确确定
C : 粒子位置和动量都不能准确确定
D : 粒子位置和动量不能同时准确确定
13 、 单选题
当电子的动能等于它静止的能量时,用m 表示电子的静止质量,c表示真空中 的光
e0
速,h表示普朗克常数,则该电子的德布罗意波长是()。A :
B :
C :
D :
14 、 单选题
光电效应中的红限依赖于()。
A : 入射光的强度
B : 入射光的频率
C : 金属的逸出功
D : 入射光的颜色
15 、 单选题
已知电子的静能为0.51MeV,若电子的动能为0.25MeV,则它所增加的质量△m 与静止
质量m0的比值近似为()。
A : 0.1
B : 0.2
C : 0.5
D : 0.9
16 、 单选题
一火箭的固有长度为L,相对于地面作匀速直线运动的速度为v ,火箭上有一个人 从火
1
箭的后端向火箭前端上的一个靶子发射一瞬相对于火箭速度为v 的子弹,则 在火箭上测得
2
子弹从射出到击中靶的时间间隔是()(c表示真空中光速)。
A :
B :
C :
D :
17 、 单选题
一平面简谐波在弹性媒介中传播时,某一时刻媒介中某质元在负的最大位移处, 则它的
能量是()。
A : 动能为零, 势能为零
B : 动能为零, 势能最大
C : 动能最大, 势能为零
D : 动能最大, 势能最大
18 、 单选题
设空气中声速为330m/s。一列火车以30m/s的速度行驶,机车上汽笛的频率为600Hz。
一静止的观察者在机车的正前方听到的声音的频率是()。
A : 660Hz
B : 550Hz
C : 600Hz
D : 680Hz
19 、 单选题
下列函数f(x,t)可表示弹性介质中的意味波动,始终A、a和b是正常量、其中 表示沿x轴
正向传播的行波函数是()。
A :
B :
C :
D :
20 、 单选题
两个正电荷 q1 ,q2 ,当它们相距为d时,运动速度各为 v1 和 v2 ,如图所示,则 作用于q1 的电磁力为( )。
A :
B :
C :
D :
21 、 单选题
某电荷Q,分成q和(Q−q)两部分,并将两部分分离开一定距离,则它们之间的库仑力为
最大的条件是()。
A :
B :
C :
D :
22 、 单选题
热力学第二定律表明()。
A : 不可能从单一热源吸收热量使之全部变为有用的功
B : 在一个可逆过程中, 工作物质净吸热等于对外作的功C : 摩擦生热的过程是不可逆的
D : 热量不可能从温度低的物体传到温度高的物体
23 、 单选题
三个容器A、B、C装有同种理想气体,其分子密度n相同,而方均根速率之比为
( )。
A : 1: 2: 4
B : 4: 2: 1
C : 1: 4: 16
D : 1: 4: 9
24 、 单选题
两容器内分别盛有氢气和氦气,若它们的温度和质量分别相等,则()。
A : 两种气体分子的平均动能相等
B : 两种气体分子的平均平动动能相等
C : 两种气体分子的平均速率相等
D : 两种气体的内能相等
25 、 单选题
两瓶不同种类的理想气体,若其分子的平均平动动能相同,但分子的数密度不同, 则两
瓶气体()。
A : 温度相同, 压强相同
B : 温度相同, 体积相同
C : 温度相同, 压强不同
D : 温度不同, 压强不同
26 、 单选题
体重、身高相同的甲乙两人,分别用双手握住跨过无摩擦轻滑轮的绳子各一端。他们 从
同一高度由初速为零向上爬,经过一定时间,甲相对绳子的速率是已相对绳子的速率的
两倍,则到达顶点的情况是()。
A : 甲先到达
B : 乙先到达
C : 同时到达
D : 谁先到达不能确定
27 、 单选题
一船浮于静水中,船长L,直接量为m,一质量也为m的人从船尾走到船头,不计水和空气的阻力,则在此过程中船将()。
A : 不动
B : 后退L
C : 后退L/2
D : 后退L/3
28 、 单选题
一沿x轴正方向的作用在一质量为3.0kg的质点上,已知质点的运动学方程
为x=3t-4t2+t3(SI), 则当t=1s时,力的瞬时功率为()。
A : 2W
B : 3W
C : 8W
D : 12W
29 、 单选题
对于功的概念,以下说法:(1)像变力做功时,系统的相应的势能增加;(2)质地运动
经一闭路径,保持力对质点做的功为0;(3)作用力和反作用力大小相等,方向相反,所
以两直线和必为0;在上述说法中()。
A : 只有( 2) 正确
B : 只有( 3) 正确
C : ( 1) ( 2) 正确
D : ( 2) ( 3) 正确
30 、 单选题
用水平压力 把一个物体压着靠在合适的竖直墙面上保持静止,当 逐渐增大时,物
体所受的静摩擦力 ()。
A : 恒为 0
B : 不为 0, 但保持不变
C :
D : 开始随
增大, 达到某一最大值后, 就保持
不变了
31 、 单选题
有一N匝细导线绕成的平面正三角形线圈,边长为a,通有电流I,置于均匀外磁场 中,
当线圈平面的法向与外磁场同向时,该线圈所受的磁力矩M 值为()。
mA : 0
B :
C :
D :
32 、 单选题
无限长载流空心圆柱导体的内外半径分别为a、b,电流在导体截面上均匀分布,则空间
各处的大小与场点到圆柱中心轴线的距离r的关系定性地如图所示。正确的图是()。
A : ( A)
B : ( B)
C : ( C)
D : ( D)
33 、 单选题
两个半径相同的金属球,一为空心,一为实心,把两者各自孤立时的电容值加以比较,则
()。
A : 实心球电容值大
B : 两球电容值相等
C : 空心球电容值大
D : 大小关系无法确定
34 、 单选题
描述氢原子核外电子量子态的四个量子数(n,l,m1,ms),则其能取的值为( )。
A :
B :
C :
D :
35 、 单选题
一艘宇宙飞船自身固有长度为L =90m,相对于地面以V=0.8匀速度从一观测站的上空飞
0
过。观测得飞船的船身通过观测站的时间间隔是()。
A :
B :
C :
D :
36 、 单选题
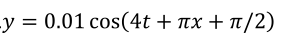
在弹性媒体中有一沿x轴正向传播的平面波,其表达式为
。若在x=5.00m处有一媒质分界面,且在
分界面处是个固定端,设反射波的强度不变,则反射波的表达式为( )。
A :
B :
C :
D :
37 、 单选题
如图所示,无限长直导线中通有电流I,另一长为l的导体棒ab以速率v平行于长直导线做
匀速运动,棒与长直导线共面且正交,棒的a端与导线的距离为d,则棒中产生的感应电
动势的大小为()。
A :
B :
C :
D :
38 、 单选题
如图所示,一半径为R的带电塑料圆盘,其中有一半径为r的阴影部分均匀带正电荷,面
电荷密码为σ,其余部分带负电荷,面电荷密度为−σ,当圆盘以角速度ω旋转时,在圆
盘中心Ο点带负电部分产生的磁感应强度为带正电部分产生的磁感应强度的2倍,则R与r
的关系是()。
A : R = 3r
B : R = 2r
C :
D : R = 4r
39 、 单选题
已知某单原子分子理想气体作等压加热,体积膨胀为原来的两倍,气体对外所作的功与
其吸收热量的比值为()。
A : 1/2
B : 3/2
C : 1/5
D : 2/5
40 、 单选题
闭合线圈共有N匝,电阻为R,当每匝线圈中磁通量改变△ 时,则线圈中流过的电荷量
()。
A :
B :
C :
D :
41 、 单选题
一质点在平面上运动,已知质点的运动方程为 则该质点值为
A : 匀速直线运动
B : 变速直线运动
C : 抛物线运动
D : 一般曲线运动
42 、 单选题
已知氮气的摩尔质量为28g/mol,将质量都是0.28千克的氮气由20℃加热到40℃,则氮
气的内能增加量是()。
A : 4986J
B : 4155J
C : 2493JD : 1247J
43 、 单选题
如图所示,由三根长为l,质量为m的匀质细杆组成一个三脚架,则它对通过其 中心O,
并与架平面垂直的轴的转动惯量为()。
A :
B :
C :
D :
44 、 单选题
速度为300(m∕s)的子弹,打穿一块不动的木板后速度变为零,设木板对子弹的阻力是
恒定的。那么,当子弹射入木板的深度等于其厚度的一半时,子弹的速度是()。
A : 100(m ∕ s)
B : 75(m ∕ s)
C : 212(m ∕ s)
D : 150(m ∕ s)
45 、 单选题
A :
B :
C :
D : 不能唯一确定46 、 单选题
A :
B :
C :
D :
47 、 单选题
在双缝干涉实验中,屏幕E上的P点处是明条纹。若将缝S2盖住,并在连线S1S2 的垂直
平分面处放一高折射率介质反射面M,如图所示,则此时()。
A : P点处为暗条纹
B : P点处为明条纹
C : 不能确定点P处是明条纹还是暗条纹
D : 无干涉条纹
48 、 单选题A : A
B : B
C : C
D : D
49 、 单选题
一平面简谐波表达式为 ,则该波的频率V
(Hz),波速u(m/s)及波线上各点振动的振幅A(m)依次为( )。
A :
B :
C :
D :
50 、 单选题
关于位移电流,下列说法正确的是()。
A : 位移电流的热效应服从焦耳—楞次定律
B : 位移电流是指随时间变化的电场
C : 位移电流是由线性变化磁场产生的
D : 位移电流的磁效应不服从安培环路定理
B :
C :
D :
2 、 单选题
对于理想气体系统来说,在下列过程中,系统所吸收的热量、内能的增量和对外作的功
三者均为正值的是()。
A : 等体升压过程
B : 等温膨胀过程
C : 绝热膨胀过程
D : 等压膨胀过程3 、 单选题
摩尔数相同的三种气体:H2、N2、O2(均视为刚性分子理想气体),它们从相同的初
态出发,都经历等体吸热过程,若吸收相同的热量,则三者压强增加的关系是()。
A :
B :
C :
D : 无法判断
4 、 单选题
一定量的某种理想气体,若体积保持不变,则其平均自由程
与温度的关系是()。
A :
B :
C :
D :
5 、 单选题
在标准状态下体积比为1:2的氧气和氦气(均视为刚性分子理想气体)相混合,混合气体
中氧气和氦气的内能之比为()。
A : 5:6
B : 5:3
C : 1:2
D : 10:3
6 、 单选题
如图所示,两个大小不同的容器用均匀的细管相连,管中有一水银滴作活塞,大容器装
有氧气,小容器装有氢气。当温度相同时,水银滴静止于细管中央,则此时这两种气体中()。
A : 氧气的密度较大
B : 氢气的密度较大
C : 两种气体的密度一样大
D : 哪种气体的密度较大是无法判断的
7 、 单选题
一个物体正在绕固定光滑轴自由转动,则()。
A : 它受热膨胀时角速度变大, 遇冷收缩时角速度变小
B : 它受热膨胀或遇冷收缩时, 角速度不变
C : 它受热膨胀时角速度变小, 遇冷收缩时角速度变大
D : 它受热膨胀或遇冷收缩时, 角速度均变大
8 、 单选题
一质点在几个外力同时作用下运动时,下列说法正确的是()。
A : 质点的动量改变时, 质点的动能一定改变
B : 质点的动能不变时, 质点的动量也一定不变
C : 外力的功为零时, 外力的冲量一定为零
D : 外力的冲量为零时, 外力的功一定为零
9 、 单选题
竖直上抛一小球。若空气阻力的大小不变,则球上升到最高点所需用的时间,与从最高
点下降到原位置所需用的时间相比()。
A : 前者短
B : 前者长
C : 两者相等
D : 无法判断其长短
10 、 单选题
一水平放置的飞轮可绕通过中心的竖直轴转动,飞轮的辐条上装有一个小滑块,它可在
辐条上无摩擦地滑动。一轻弹簧一端固定在飞轮转轴上,另一端与滑块联接。当飞轮以角速度旋转时,弹簧的长度为原长的f倍,已知 则w与f的
函数关系为()。
A :
B :
C :
D :
11 、 单选题
路灯距路面高度为 1,一身高为 2的人在路灯下以v匀1沿速着直线靠近或远离路灯行走,
则人影顶端的速度大小为()。
A :
B :
C :
D :
12 、 单选题
不确定关系式 表示在x方向上( )
A : 粒子位置不能准确确定
B : 粒子动量不能准确确定
C : 粒子位置和动量都不能准确确定
D : 粒子位置和动量不能同时准确确定
13 、 单选题
当电子的动能等于它静止的能量时,用m 表示电子的静止质量,c表示真空中 的光
e0
速,h表示普朗克常数,则该电子的德布罗意波长是()。A :
B :
C :
D :
14 、 单选题
光电效应中的红限依赖于()。
A : 入射光的强度
B : 入射光的频率
C : 金属的逸出功
D : 入射光的颜色
15 、 单选题
已知电子的静能为0.51MeV,若电子的动能为0.25MeV,则它所增加的质量△m 与静止
质量m0的比值近似为()。
A : 0.1
B : 0.2
C : 0.5
D : 0.9
16 、 单选题
一火箭的固有长度为L,相对于地面作匀速直线运动的速度为v ,火箭上有一个人 从火
1
箭的后端向火箭前端上的一个靶子发射一瞬相对于火箭速度为v 的子弹,则 在火箭上测得
2
子弹从射出到击中靶的时间间隔是()(c表示真空中光速)。
A :
B :
C :
D :
17 、 单选题
一平面简谐波在弹性媒介中传播时,某一时刻媒介中某质元在负的最大位移处, 则它的
能量是()。
A : 动能为零, 势能为零
B : 动能为零, 势能最大
C : 动能最大, 势能为零
D : 动能最大, 势能最大
18 、 单选题
设空气中声速为330m/s。一列火车以30m/s的速度行驶,机车上汽笛的频率为600Hz。
一静止的观察者在机车的正前方听到的声音的频率是()。
A : 660Hz
B : 550Hz
C : 600Hz
D : 680Hz
19 、 单选题
下列函数f(x,t)可表示弹性介质中的意味波动,始终A、a和b是正常量、其中 表示沿x轴
正向传播的行波函数是()。
A :
B :
C :
D :
20 、 单选题
两个正电荷 q1 ,q2 ,当它们相距为d时,运动速度各为 v1 和 v2 ,如图所示,则 作用于q1 的电磁力为( )。
A :
B :
C :
D :
21 、 单选题
某电荷Q,分成q和(Q−q)两部分,并将两部分分离开一定距离,则它们之间的库仑力为
最大的条件是()。
A :
B :
C :
D :
22 、 单选题
热力学第二定律表明()。
A : 不可能从单一热源吸收热量使之全部变为有用的功
B : 在一个可逆过程中, 工作物质净吸热等于对外作的功C : 摩擦生热的过程是不可逆的
D : 热量不可能从温度低的物体传到温度高的物体
23 、 单选题
三个容器A、B、C装有同种理想气体,其分子密度n相同,而方均根速率之比为
( )。
A : 1: 2: 4
B : 4: 2: 1
C : 1: 4: 16
D : 1: 4: 9
24 、 单选题
两容器内分别盛有氢气和氦气,若它们的温度和质量分别相等,则()。
A : 两种气体分子的平均动能相等
B : 两种气体分子的平均平动动能相等
C : 两种气体分子的平均速率相等
D : 两种气体的内能相等
25 、 单选题
两瓶不同种类的理想气体,若其分子的平均平动动能相同,但分子的数密度不同, 则两
瓶气体()。
A : 温度相同, 压强相同
B : 温度相同, 体积相同
C : 温度相同, 压强不同
D : 温度不同, 压强不同
26 、 单选题
体重、身高相同的甲乙两人,分别用双手握住跨过无摩擦轻滑轮的绳子各一端。他们 从
同一高度由初速为零向上爬,经过一定时间,甲相对绳子的速率是已相对绳子的速率的
两倍,则到达顶点的情况是()。
A : 甲先到达
B : 乙先到达
C : 同时到达
D : 谁先到达不能确定
27 、 单选题
一船浮于静水中,船长L,直接量为m,一质量也为m的人从船尾走到船头,不计水和空气的阻力,则在此过程中船将()。
A : 不动
B : 后退L
C : 后退L/2
D : 后退L/3
28 、 单选题
一沿x轴正方向的作用在一质量为3.0kg的质点上,已知质点的运动学方程
为x=3t-4t2+t3(SI), 则当t=1s时,力的瞬时功率为()。
A : 2W
B : 3W
C : 8W
D : 12W
29 、 单选题
对于功的概念,以下说法:(1)像变力做功时,系统的相应的势能增加;(2)质地运动
经一闭路径,保持力对质点做的功为0;(3)作用力和反作用力大小相等,方向相反,所
以两直线和必为0;在上述说法中()。
A : 只有( 2) 正确
B : 只有( 3) 正确
C : ( 1) ( 2) 正确
D : ( 2) ( 3) 正确
30 、 单选题
用水平压力 把一个物体压着靠在合适的竖直墙面上保持静止,当 逐渐增大时,物
体所受的静摩擦力 ()。
A : 恒为 0
B : 不为 0, 但保持不变
C :
D : 开始随
增大, 达到某一最大值后, 就保持
不变了
31 、 单选题
有一N匝细导线绕成的平面正三角形线圈,边长为a,通有电流I,置于均匀外磁场 中,
当线圈平面的法向与外磁场同向时,该线圈所受的磁力矩M 值为()。
mA : 0
B :
C :
D :
32 、 单选题
无限长载流空心圆柱导体的内外半径分别为a、b,电流在导体截面上均匀分布,则空间
各处的大小与场点到圆柱中心轴线的距离r的关系定性地如图所示。正确的图是()。
A : ( A)
B : ( B)
C : ( C)
D : ( D)
33 、 单选题
两个半径相同的金属球,一为空心,一为实心,把两者各自孤立时的电容值加以比较,则
()。
A : 实心球电容值大
B : 两球电容值相等
C : 空心球电容值大
D : 大小关系无法确定
34 、 单选题
描述氢原子核外电子量子态的四个量子数(n,l,m1,ms),则其能取的值为( )。
A :
B :
C :
D :
35 、 单选题
一艘宇宙飞船自身固有长度为L =90m,相对于地面以V=0.8匀速度从一观测站的上空飞
0
过。观测得飞船的船身通过观测站的时间间隔是()。
A :
B :
C :
D :
36 、 单选题
在弹性媒体中有一沿x轴正向传播的平面波,其表达式为
。若在x=5.00m处有一媒质分界面,且在
分界面处是个固定端,设反射波的强度不变,则反射波的表达式为( )。
A :
B :
C :
D :
37 、 单选题
如图所示,无限长直导线中通有电流I,另一长为l的导体棒ab以速率v平行于长直导线做
匀速运动,棒与长直导线共面且正交,棒的a端与导线的距离为d,则棒中产生的感应电
动势的大小为()。
A :
B :
C :
D :
38 、 单选题
如图所示,一半径为R的带电塑料圆盘,其中有一半径为r的阴影部分均匀带正电荷,面
电荷密码为σ,其余部分带负电荷,面电荷密度为−σ,当圆盘以角速度ω旋转时,在圆
盘中心Ο点带负电部分产生的磁感应强度为带正电部分产生的磁感应强度的2倍,则R与r
的关系是()。
A : R = 3r
B : R = 2r
C :
D : R = 4r
39 、 单选题
已知某单原子分子理想气体作等压加热,体积膨胀为原来的两倍,气体对外所作的功与
其吸收热量的比值为()。
A : 1/2
B : 3/2
C : 1/5
D : 2/5
40 、 单选题
闭合线圈共有N匝,电阻为R,当每匝线圈中磁通量改变△ 时,则线圈中流过的电荷量
()。
A :
B :
C :
D :
41 、 单选题
一质点在平面上运动,已知质点的运动方程为 则该质点值为
A : 匀速直线运动
B : 变速直线运动
C : 抛物线运动
D : 一般曲线运动
42 、 单选题
已知氮气的摩尔质量为28g/mol,将质量都是0.28千克的氮气由20℃加热到40℃,则氮
气的内能增加量是()。
A : 4986J
B : 4155J
C : 2493JD : 1247J
43 、 单选题
如图所示,由三根长为l,质量为m的匀质细杆组成一个三脚架,则它对通过其 中心O,
并与架平面垂直的轴的转动惯量为()。
A :
B :
C :
D :
44 、 单选题
速度为300(m∕s)的子弹,打穿一块不动的木板后速度变为零,设木板对子弹的阻力是
恒定的。那么,当子弹射入木板的深度等于其厚度的一半时,子弹的速度是()。
A : 100(m ∕ s)
B : 75(m ∕ s)
C : 212(m ∕ s)
D : 150(m ∕ s)
45 、 单选题
A :
B :
C :
D : 不能唯一确定46 、 单选题
A :
B :
C :
D :
47 、 单选题
在双缝干涉实验中,屏幕E上的P点处是明条纹。若将缝S2盖住,并在连线S1S2 的垂直
平分面处放一高折射率介质反射面M,如图所示,则此时()。
A : P点处为暗条纹
B : P点处为明条纹
C : 不能确定点P处是明条纹还是暗条纹
D : 无干涉条纹
48 、 单选题A : A
B : B
C : C
D : D
49 、 单选题
一平面简谐波表达式为 ,则该波的频率V
(Hz),波速u(m/s)及波线上各点振动的振幅A(m)依次为( )。
A :
B :
C :
D :
50 、 单选题
关于位移电流,下列说法正确的是()。
A : 位移电流的热效应服从焦耳—楞次定律
B : 位移电流是指随时间变化的电场
C : 位移电流是由线性变化磁场产生的
D : 位移电流的磁效应不服从安培环路定理