文档内容
强化练习
即刻题库 www.jike.vip
1 、 单选题
关于流体的黏性,下列叙述错误的是( )。
A : 流体的黏性系数随温度的升高而增大
B : 流体的黏性是产生能量损失的根源
C : 黏性就是流体具有抵抗剪切变形的能力
D : 流体具有内摩擦力的特性就是流体的黏性
2 、 单选题
A :
B :
C :
D :
3 、 单选题
关于圆管紊流的速度分布曲线,叙述合理的是( )。
A : 在层流底层近似指数曲线分布,在紊流核心区近似对数曲线分布
B : 在层流底层近似抛物线分布,在紊流核心区近似对数曲线分布C : 在层流底层近似直线分布,在紊流核心区近似对数曲线分布
D : 上面叙述均不合理
4 、 单选题
A : 387
B : 265
C : 255
D : 216
5 、 单选题
A : 80
B : 90
C : 110
D : 120
6 、 单选题
A : 1.5
B : 1.7
C : 1.9D : 2.1
7 、 单选题
金属压力表的读值是( )。
A : 绝对压强
B : 相对压强
C : 绝对压强加当地大气压
D : 相对压强加当地大气压
8 、 单选题
已知流场速度分布(u,v,w)=(xy,-2yx,yz),密度不变,则流动可认为是( )。
A : 恒定流
B : 非恒定流
C : 理想流体
D : 不可压缩流体
9 、 单选题
明渠均匀流的流量一定,渠道断面形状、尺寸和壁面粗糙一定时,正常水深随底坡增大而
( )。
A : 增大
B : 减小
C : 不变
D : 不确定
10 、 单选题
流体运动黏度v的单位是( )。
A :
B : N/m
C : kg/m
D : N·s/m
11 、 单选题A :
B :
C :
D :
12 、 单选题
一建筑物模型在风速为8m/s时,迎风面压强为45Pa,背风面压强为-27Pa,若气温不变,
风速增至12m/s,则建筑物迎风面和背风面的压强分别为( )。
A : 55.1Pa和-33.1Pa
B : 67.5Pa和-40.5Pa
C : 82.7Pa和-49.6Pa
D : 101.3Pa和-60.8Pa
13 、 单选题
潜水完全井的产水量的大小与( )成正比。
A : 井的半径
B : 井的影响半径
C : 含水层厚度
D : 土壤渗流系数
14 、 单选题
下列关于动量定理的论述正确的是( )。
A : 动量定理仅适用于层流运动
B : 动量定理仅适用于紊流运动
C : 动量定理仅适用于理想流体运动D : 动量定理适用于以上任何流动
15 、 单选题
A :
B :
C :
D :
16 、 单选题
在实验室中,根据达西定律测定某种土壤的渗透系数,将土样装在直径d=30cm的圆筒
中,在90cm水头差作用下,8小时的渗透水量为100L,两测压管的距离为40cm,该土
壤的渗透系数为( )m/d。
A : 0.9
B : 1.9
C : 2.9
D : 3.9
17 、 单选题
A : 0.21m/s
B : 0.115m/s
C : 0.105m/s
D : 0.0525m/s
18 、 单选题A : 1.274
B : 0.2565
C : 0.3183
D : 0.6365
19 、 单选题
已知某液体的密度变化率dρ/ρ=1.0%,则该液体的体积变化率dV/V=( )。
A : 1.0%
B : -1.0%
C : 1.0‰
D : -1.0‰
20 、 单选题
A : 1.25
B : 1.5
C : 2
D : 2.5
21 、 单选题A : 0.030
B : 0.025
C : 0.020
D : 0.015
22 、 单选题
A :
B :
C :
D : 不定
23 、 单选题
A : 8.00
B : 5.66
C : 2.83
D : 2.00
24 、 单选题长管并联管道各并联管段的( )。
A : 水头损失相等
B : 水力坡度相等
C : 总能量损失相等
D : 通过的水量相等
25 、 单选题
A : P1<P2<p3
B : P1=P2=p3
C : P1>P2>p3
D : P2<P1<p3
26 、 单选题
A : 匀速转动
B : 固定不动
C : 加速转动
D : 先加速转动,然后匀速转动
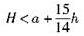
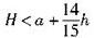
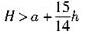
27 、 单选题A : H>a+14h/15
B : H<a+14h/15
C : H>a+15h/14
D : H<a+15h/14
28 、 单选题
A : 层流区
B : 临界过渡区
C : 紊流光滑区
D : 阻力平方区
29 、 单选题
水力最优断面是( )。
A : 造价最低的渠道断面
B : 壁面粗糙系数最小的断面
C : 一定的流量下具有最大断面积的断面
D : 断面积一定时具有最小湿周的断面
30 、 单选题
A : 0.125B : 0.25
C : 0.50
D : 1.00
31 、 单选题
A : 2.52
B : 2.72
C : 2.82
D : 0.82
32 、 单选题
A : 10
B : 1.5
C : 20
D : 25
33 、 单选题A : 6500
B : 63700
C : 35084
D : 1960
34 、 单选题
一元流动是指( )。
A : 均匀流
B : 速度分布按直线变化的流动
C : 运动参数随一个空间坐标和时间变化的流动
D : 流线为直线的流动
35 、 单选题
A : 1.01
B : 1.22
C : 1.41
D : 1.62
36 、 单选题
A : 0.8Pa·s
B : 0.8Pa
C :
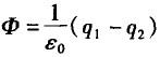
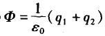
D :
37 、 单选题
恒定流是( )。
A : 流动随时间按一定规律变化的流动
B : 流场中任意空间点的运动要素不随时间变化的流动
C : 各过流断面的速度分布相同的流动
D : 各过流断面的压强相同的流动
38 、 单选题
地下水渐变渗流的浸润线,沿程变化为( )。
A : 下降
B : 保持水平
C : 上升
D : 以上情况都可能
39 、 单选题
圆管层流,实测管轴线上流速为4m/s,则断面平均流速为( )m/s。
A : 4
B : 3.2
C : 2
D : 1
40 、 单选题
A : 对理想流体,该测压管水头线(Hp线)应该沿程无变化
B : 该图是理想流体流动的水头线
C : 对理想流体,该总水头线(H0线)沿程无变化
D : 该图不适用于描述实际流体的水头线
41 、 单选题100mm汞柱其压强相当于( )mm水柱的压强。
A : 1000
B : 1332
C : 1360
D : 136
42 、 单选题
A :
B :
C :
D :
43 、 单选题
A :
B :
C :
D :
44 、 单选题
进行大坝溢流模型实验,应遵循( )设计实验。A : 雷诺准则
B : 弗劳德准则
C : 欧拉准则
D : 其他准则
45 、 单选题
A :
B :
C :
D :
46 、 单选题
普通完整井的出水量( )。
A : 与渗透系数成正比
B : 与井的半径成正比
C : 与含水层厚度成反比
D : 与影响半径成正比
47 、 单选题
A :
B :
C :
D :
48 、 单选题
已知混凝土排水管(n=0.014)的水力半径R=0.5m,水均匀流动1000m的沿程水头损失
为1m,则该管的断面平均流速v=( )m/s
A : 1.22
B : 1.32
C : 1.42
D : 1.52
49 、 单选题
某点的真空压强为65000Pa,当地大气压为0.1MPa,该点的绝对压强为( )Pa。
A : 65000
B : 55000
C : 35000
D : 165000
50 、 单选题
已知某圆管水流的雷诺数Re=2000,则该管的沿程阻力系数λ=( )。
A : 0.028
B : 0.032
C : 0.064
D : 31.25
51 、 单选题
下述选项中,不属于明渠均匀流的特性的是( )。
A : 沿程不同,过水断面上深度相同
B : 同一过水断面上速度分布均匀
C : 水力坡度、水面坡度和底坡均等
D : 沿程不同过水断面速度分布相同
52 、 单选题
A : 等于120V
B : 等于4.8VC : 等于0.6V
D : 无法计算
53 、 单选题
渐变流过流断面上各点的( )近似等于常数。
A : p
B : z+p/ρg
C :
D :
54 、 单选题
A :
B :
C :
D : 不定
55 、 单选题A : 对理想流体,该测压管水头线(Hp线)应该沿程无变化
B : 该图是理想流体流动的水头线
C : 对理想流体,该总水头线(H0线)沿程无变化
D : 该图不适用于描述实际流体的水头线
56 、 单选题
矩形明渠底宽b=2.0m,水深h=1.0m,则其水力半径为( )。
A : 0.3333
B : 0.5
C : 0.8
D : 0.9
57 、 单选题
A :
B :
C :
D :
58 、 单选题
水的重量流量为2000kN/h,管道直径为d=150mm,则其中的流速为( )m/s。
A : 0.87
B : 1.61
C : 2.72
D : 3.21
59 、 单选题
A : α=45°
B : α=60°
C :
D :
60 、 单选题
A : 2.4
B : 11.5
C : 23.1
D : 29.461 、 单选题
A : 4.54
B : 3.25
C : 5.05
D : 6.22
62 、 单选题
速度v、长度l、重力加速度g组成的无量纲数可表达为( )。
A :
B :
C :
D :
63 、 单选题A : 54.88
B : 112.9
C : 94.08
D : 74.48
64 、 单选题
对于圆管层流,下列叙述错误的是( )。
A : 水头损失与流速无关
B : 水头损失只与雷诺数有关
C : 水头损失与管壁粗糙度无关
D : 水头损失与流速一次方成正比
65 、 单选题
A :
B :
C :
D : 不定
66 、 单选题
自流完全井的产水量的大小与( )成正比。
A : 井的半径
B : 井的影响半径
C : 含水层厚度
D : 土壤渗流系数的平方
67 、 单选题
A : 45
B : 32
C : 37
D : 4168 、 单选题
下列各项中,属于无分支串联长管的流动特征是( )。
A : 各管段流量不相等
B : 各管段测压管水头差不等于各管段沿程水头损失
C : 各管段流量相等,但测压管水头线不代表总能头线
D : 各管段流量相等,且总水头损失等于各管段水头损失之和
69 、 单选题
如果称平滑调速为连续(无级)调速,那么属于连续调速的方法是( )。
A : 调磁极对数调速
B : 调转差率调速
C : 调频调速
D : 调磁极对数调速、调转差率调速、调频调速
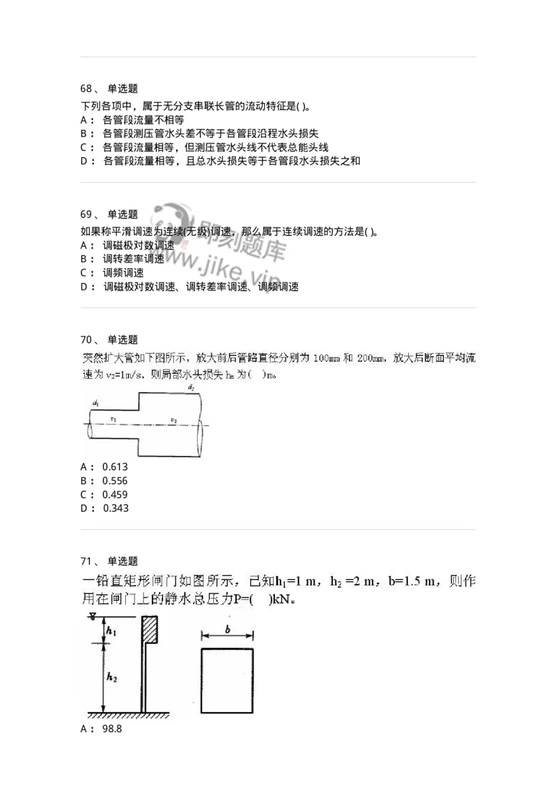
70 、 单选题
A : 0.613
B : 0.556
C : 0.459
D : 0.343
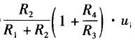
71 、 单选题
A : 98.8B : 78.8
C : 68.8
D : 58.8
72 、 单选题
A : 74.25
B : 95.26
C : 63.56
73 、 单选题
A :
B :
C :
D : 不定
74 、 单选题
A :
B :
C :
D :
75 、 单选题
突然扩大管段的局部水头损失hj=( )。
A : (vv2)2g
B :
C :
D :
76 、 单选题
A : 0.030
B : 0.025
C : 0.020
D : 0.015
77 、 单选题
欧拉法描述流体运动时,表示同一时刻因位置变化而形成的加速度称为( )。
A : 当地加速度
B : 迁移加速度C : 液体质点加速度
D : 加速度
78 、 单选题
A : 58.8
B : 65.5
C : 68.8
D : 70.0
79 、 单选题
量纲一致性原则是指( )。
A : 量纲相同的量才可相乘除
B : 量纲不同的量才可相加减
C : 基本量纲不能与导出量纲相运算
D : 物理方程式中各项的量纲必须相同
80 、 单选题
达西渗流定律的适用条件为雷诺数Re:型<( )。
A : 2300
B : 1000
C : 100
D : 10
81 、 单选题
模型与原形采用相同介质,为满足黏性阻力相似,若几何比尺为10,设计模型应使流速
比尺为( )。
A : 10
B : 1
C : 0.1
D : 582 、 单选题
理想流体的基本特征是( )。
A : 黏性系数是常数
B : 不可压缩
C : 无黏性
D : 符合牛顿内摩擦定律
83 、 单选题
A : 1/3
B : 1/2
C : 2/3
D : 1
84 、 单选题
A : 容器底压强相等,桌面的支撑力相等
B : 容器底压强相等,桌面的支撑力不相等
C : 容器底压强不相等,桌面的支撑力相等
D : 容器底压强不相等,桌面的支撑力不相等
85 、 单选题
A :
B :
C :
D :
86 、 单选题
液体的压强为p、速度v、密度ρ正确的无量纲数组合是( )。
A :
B :
C :
D :
87 、 单选题
管道长度不变,管中流动为层流,允许的水头损失不变,当直径变为原来2倍时,若不
计局部损失,流量将变为原来的多少倍?( )
A : 2
B : 4
C : 8
D : 16
88 、 单选题
应用总流能量方程时,上、下游两过流断面的压强应用的压强是( )。
A : 必须用绝对压强
B : 必须用相对压强
C : 必须用相对压压强水头
D : 相对压强和绝对压强均可用,但等号前后应统一使用同一种压强
89 、 单选题A : 单位重量流体的势能
B : 单位重量流体的动能
C : 单位重量流体的机械能
D : 单位质量流体的机械能
90 、 单选题
A : 4.78
B : 35.83
C : 40.59
D : 45.61
91 、 单选题
A : 0.21
B : 0.115
C : 0.105
D : 0.0525
92 、 单选题
A :
B :
C :
D :
93 、 单选题
A :
B :
C :
D :
94 、 单选题
A : 4
B : 6
C : 5
D : -4
95 、 单选题
在恒定流条件下( )。
A : 流线和迹线正交
B : 流线和迹线重合
C : 流线是平行直线
D : 迹线是平行直线96 、 单选题
已知有压管路中突扩前后管段管径之比d1/d2=0.5,则雷诺数之比Re1/Re2=( )。
A : 0.25
B : 0.5
C : 1.0
D : 2.0
97 、 单选题
层流沿程阻力系数λ( )。
A : 只与雷诺数有关
B : 只与相对粗糙度有关
C : 只与流程长度和水力半径有关
D : 既与雷诺数有关又与相对粗糙度有关
98 、 单选题
A :
B :
C :
D :
99 、 单选题
孔口出流试验中测得孔口出流的局部阻力系数ζ=0.06,则其流速系数φ为( )。
A : 0.94
B : 0.95
C : 0.96D : 0.97
100 、 单选题
A :
B :
C :
D :
101 、 单选题
A : 80
B : 90
C : 110
D : 120
102 、 单选题
下列渠道中,可能产生均匀流的是( )。
A : 平坡棱柱形渠道
B : 逆坡棱柱形渠道
C : 正坡棱柱形渠道
D : 正坡非棱柱形渠道
103 、 单选题
已知三通管来流流量Q1=140L/s,两支管的直径d2=150mm和d3=200mm,且两管断面
平均流速相等(V2=V3),则两支管流量( )。
A : Q2=40L/s,Q3=100L/s
B : Q2=50.3L/s,Q3=89.7L/s
C : Q2=60L/s,Q3=80L/s
D : Q2=Q3=70L/s104 、 单选题
A : 30
B : 33
C : 39
D : 40
105 、 单选题
A : 3004
B : 7650
C : 12017
D : 24033
106 、 单选题
作用水头相同时,孔口的过流量要比相同直径的管嘴过流量( )。
A : 大
B : 小
C : 相同
D : 无法确定
107 、 单选题
A :
B :
C :
D :
108 、 单选题
A : 0.8
B : 1.2
C : 1.25
D : 1.5
109 、 单选题
π定理的主要作用是( )。
A : 检验物理方程的正确性
B : 观察物理现象
C : 发现经验公式
D : 由确定的基本量纲找出物理方程
110 、 单选题
渗流达西定律v=kJ,是基于以下假定中的( )。
A : 测压管水头线坡度与总能头线坡度平行
B : 测压管水头线坡度等于总能头线坡度
C : 测压管水头线坡度不等于总能头线坡度
D : 渗流的沿程水头损失与渗流流速的二次方成正比
111 、 单选题
A : 30.80
B : 30.13
C : 38.80
D : 38.13112 、 单选题
A :
B :
C :
D :
113 、 单选题
渗流模型流速u与实际渗流流速u′相比较( )。
A : u>u′
B : u=u′
C : u<u′
D : 不确定
114 、 单选题
紊流粗糙区,其沿程损失系数与下列哪些因素有关?( )
A : 只与管内流速有关
B : 只与管内雷诺数有关
C : 与管内流速和管壁粗糙度都有关
D : 只与管内壁相对粗糙度有关
115 、 单选题
电容端电压和电感电流不能突变原因是( )。
A : 元件的端电压和电流不能突变
B : 电场能量和磁场能量的变化率均为有限值
C : 电容端电压和电感电流都是有限值
D : 电容端电压和电感电流都受换路定律制约
116 、 单选题A : 变大
B : 变小
C : 不变
D : 无法确定
117 、 单选题
两明渠均匀流,流量相等,且断面形状尺寸、水深都相同,A的粗糙系数是B的2倍,渠
底坡度A是B的( )倍。
A : 0.5
B : 1
C : 2
D : 4
118 、 单选题
A : 1:1
B : 1:2
C : 1:4
D : 1:8
119 、 单选题
A :
B :
C :
D : 不定
120 、 单选题
A : 18
B : 15
C : 10.9
D : 9
121 、 单选题
根据静水压强的特性,静止液体中同一点各方向的压强( )。
A : 数值相等
B : 数值不等
C : 仅水平方向数值相等
D : 铅直方向数值最大
122 、 单选题A : 当C=C0时,电路的功率因数最大
B : 当C<C0时,cosφ´>cosφ
C : 当电路出现过补偿时,C>C0
D : 当C>C0时,cosφ´>cosφ
123 、 单选题
当水受的压强增加时,水的密度( )。
A : 减小
B : 加大
C : 不变
D : 不确定
124 、 单选题
A : 0.0025
B : 0.025
C : 0.25
D : 2.5125 、 单选题
A : Q1/Q2=1
B : Q1/Q2>1
C : Q1/Q2<1
D : Q1/Q2<0
126 、 单选题
A : 1
B : 2
C : 2.5
D : 3
127 、 单选题A : b+2h/bh
B : bh/(b+2h)
C : 2(b+h)/bh
D : bh/2(b+h)
128 、 单选题
A : 220∠-135°V
B : 380∠-15°V
C : 220∠-15°V
D : 380∠-135°V
129 、 单选题
A : 2
B : 2.5
C : 3
D : 4
130 、 单选题
谢才公式仅适用于( )。
A : 水力光滑区
B : 水力粗糙区或阻力平方区
C : 紊流过渡区
D : 第一过渡区
131 、 单选题A :
B :
C :
D :
132 、 单选题
A : 0.08
B : 0.48
C : 0.52
D : 2.08
133 、 单选题A :
B :
C :
D :
134 、 单选题
A : 3.98
B : 4.83
C : 2.73
D : 15.8
135 、 单选题A : 仅适用于层流区
B : 仅适用于光滑区
C : 仅适用于过渡区
D : 紊流光滑区、过渡区、粗糙区均近似可用
136 、 单选题
A : 0.88
B : 1.90
C : 0.77
D : 0.39
137 、 单选题
A : 3.82
B : 7.99
C : 12.56
D : 11.81
138 、 单选题A : h
B : h-l
C : h+l
D : l
139 、 单选题
A : 20
B : 40
C : 65
D : 120
140 、 单选题
水力半径R是( )。
A : 渠道断面的半径
B : 断面面积与湿周之比
C : 断面面积与断面周长之比
D : 断面面积与水深之比
141 、 单选题
静止液体中存在( )。A : 压应力
B : 压应力和拉应力
C : 压应力和切应力
D : 压应力、拉应力和切应力
142 、 单选题
黏性流体测压管水头线的沿程变化是( )。
A : 沿程下降
B : 沿程上升
C : 保持水平
D : 前三种情况都有可能
143 、 单选题
A :
B :
C :
D :
144 、 单选题
已知某激励信号u(t)=1.732sin(314t+30°)V,由此可知该信号的有效值、频率及初相角分
别为( )。
A : 1V,314rad/s,30°
B : 1.732V,0.02s,30°
C : 1.225V,50Hz,30°
D : 1.732V,314rad/s,30°145 、 单选题
已知突扩前后管段的管径之比d1/d2=0.5,则突扩前后断面平均流速之比v1/v2=( )。
A : 4
B : 2
C : 1
D : 0.5
146 、 单选题
并联长管的流动特征是( )。
A : 各分管流量相等
B : 各分管测压管水头差不等于各分管的总能头差
C : 总流量等于各分管流量之和,但各分管的水头损失不等
D : 总流量等于各分管流量之和,且各分管的水头损失相等
147 、 单选题
下面关于流体黏性的说法中,正确的是( )。
A : 流体的黏性随温度的升高而减小
B : 流体的黏性随温度的升高而增大
C : 液体的黏性随温度的升高而增大,而气体的黏性随温度的升高而减小
D : 液体的黏性随温度的升高而减小,而气体的黏性随温度的升高而增大
148 、 单选题
A : 3.98
B : 4.83
C : 2.73
D : 15.8
149 、 单选题A : 47.4
B : 59.3
C : 83.8
D : 196.5
150 、 单选题
A :
B :
C :
D :
151 、 单选题
A :
B :
C :
D : 不定
152 、 单选题
A : 1.50
B : 0.95
C : 0.67
D : 1.05
153 、 单选题
A : 0.02
B : 0.04
C : 0.4
D : 4
154 、 单选题
A : 1.0
B : 1.5
C : 2.0
D : 3.0155 、 单选题
A :
B :
C :
D :
156 、 单选题
采用适当措施降低三相鼠笼式电动机的启动电流是为了( )。
A : 避免电动机烧毁
B : 避免电动机瞬时过载
C : 避免熔断器烧断
D : 减小启动电流所引起的电网电压波动
157 、 单选题
A : 6V,6Ω
B : 6V,2Ω
C : 12V,6ΩD : 12V,2Ω
158 、 单选题
A : 28.14
B : 31
C : 34.25
D : 45.51
159 、 单选题
A :
B :
C :
D :
160 、 单选题
明渠均匀流可能发生在( )。
A : 平坡棱柱形渠道
B : 顺坡棱柱形渠道
C : 逆坡棱柱形渠道
D : 长直渠道都有可能
161 、 单选题
A : 0.125
B : 0.25
C : 0.50
D : 1.00
162 、 单选题
A : 1—1断面和2—2断面
B : 2—2断面和3—3断面
C : 1—1断面和3—3断面
D : 3—3断面和4—4断面
163 、 单选题
圆管紊流过渡区的沿程损失系数λ( )。
A : 只与雷诺数Re有关
B : 只与管壁相对粗糙度k/d有关
C : 与Re和k/d都有关
D : 与Re和管长l有关164 、 单选题
A : 单位重量流体具有的机械能
B : 单位质量流体具有的机械能
C : 单位体积流体具有的机械能
D : 通过过流断面流体的总机械能
165 、 单选题
A :
B :
C :
D :
166 、 单选题
A : 0.563
B : 0.5
C : 0.75
D : 1.25
167 、 单选题
描述液体运动的迹线和流线的概念,正确的是( )。A : 流线上质点不沿迹线运动
B : 质点运动的轨迹称为流线
C : 流线上质点的流速矢量与流线相切
D : 质点的迹线和流线都重合
168 、 单选题
地下水渐变渗流,过流断面上各点的渗流速度按( )分布。
A : 线性
B : 抛物线
C : 均匀
D : 对数曲线
169 、 单选题
明渠在坡度、粗糙度和过水断面积给定条件下,水力最佳断面为( )。
A : 允许流速最小的断面
B : 挖土方量最小的断面
C : 湿周最小的断面
D : 水力半径最小的断面
170 、 单选题
A : 7.20
B : 6.20
C : 5.52
D : 5.12171 、 单选题
A : 1.48m/s、2.40m/s
B : 1.48m/s、4.80m/s
C : 2.13m/s、2.40m/s
D : 2.13m/s、4.80m/s
172 、 单选题
欧拉法描述液体运动时,表示同一时刻因位置变化而形成的加速度称为( )。
A : 当地加速度
B : 迁移加速度
C : 液体质点加速度
D : 加速度
173 、 单选题
A : 20.51
B : 18.5
C : 16.56
D : 14.55
174 、 单选题
A : 1.95
B : 1.75
C : 1.65D : 1.45
175 、 单选题
A : 61.59
B : 86.23
C : 105.9
D : 161.6
176 、 单选题
A : 1
B : 0.5
C : 5
D : 2
177 、 单选题
A : 4.78
B : 35.83C : 40.59
D : 45.61
178 、 单选题
A : 380V
B : 0V
C :
D : 无法计算
179 、 单选题
A : 1.95
B : 1.75
C : 1.65
D : 1.45
180 、 单选题
A :
B :
C :
D :
181 、 单选题
A : 13.33
B : 12.4
C : 9.8
D : 6.4
182 、 单选题
A : 0.005
B : 0.01
C : 0.02
D : 0.04
183 、 单选题
速度u、长度l、运动黏度v的无量纲组合是( )。
A :
B :
C :
D :
184 、 单选题
A :
B :
C :
D :
185 、 单选题
流体测压管水头线的沿程变化是( )。
A : 沿程上升
B : 沿程下降
C : 保持水平
D : 前三种情况均有可能
186 、 单选题
流体做矩形水流模型实验,设满足弗劳德准则,原型水深6m,速度为4.0m/s;模型取
水深0.5m,则模型速度为( )m/s。
A : 0.333
B : 0.667
C : 1.155
D : 2.310
187 、 单选题A : 30.80
B : 30.12
C : 38.80
D : 38.12
188 、 单选题
A : 0.5
B : 1.0
C : 2.0
D : 4.0
189 、 单选题
A : 右移寄存器
B : 左移寄存器
C : 并行数据寄存器
D : 串行数据寄存器
190 、 单选题
电场中有个闭合球面,球面所包围的电荷电量为+q1,球面外电荷的电量为-q2,则通过
该球面的电通量Φ是( )。
A :
B :
C :
D :
191 、 单选题
A :
B :
C :
D :
192 、 单选题
已知某流体的黏性切应力τ=5.0N/㎡,动力黏度μ=0.1Pa·s,则该流体的剪切变形速
率du/dy=( )。
A : 5.01/s
B : 501/s
C : 5.0m/s
D : 50m/s
193 、 单选题
A : 0.10
B : 0.15
C : 0.23D : 0.35
194 、 单选题
A : 18
B : 15
C : 10.9
D : 9
195 、 单选题
A :
B :
C :
D :
196 、 单选题
A :
B :
C :
D :
197 、 单选题
牛顿流体是指( )。
A : 可压缩流体
B : 不可压缩流体
C : 满足牛顿内摩擦定律的流体
D : 满足牛顿第二定律的流体
198 、 单选题
A : P´+P´´=10W
B :
C :
D : 因Us、Is未知,无法计算199 、 单选题
A : 4
B : 3
C : 2
D : 1
200 、 单选题
过流断面是指与( )的断面。
A : 流线平行
B : 流线斜交
C : 流线正交
D : 迹线正交
201 、 单选题
随温度的升高,( )。
A : 液体和气体的黏度都增大
B : 液体黏度降低,气体黏度增大
C : 液体黏度增大,气体黏度降低
D : 液体和气体的黏度都降低
202 、 单选题
A : 4.34
B : 4.25
C : 4.47
D : 4.00
203 、 单选题A :
B :
C :
D :
204 、 单选题
圆管中层流运动的流体,过流断面上的流速分布规律及平均流速与最大流速的关系是( )。
A : 流速呈线性分布,平均流速为最大流速的1/2
B : 流速呈双曲线分布,平均流速为最大流速的1/2
C : 流速呈抛物线分布,平均流速为最大流速的1/2
D : 流速呈抛物线分布,平均流速为最大流速的1/3
205 、 单选题
露天水池,水深5m处的相对压强约为( )kPa。
A : 5
B : 49
C : 147
D : 205
206 、 单选题
边界层分离的必要条件是( )。
A : 来流流速分布均匀
B : 有逆压梯度和物面黏性阻滞作用
C : 物面开关不规则
D : 物面粗糙
207 、 单选题A :
B :
C :
D :
208 、 单选题
速度v、直径d、动力黏滞系数μ密度ρ组成的无量纲数可表达为( )。
A :
B :
C :
D :
209 、 单选题A :
B :
C :
D :
210 、 单选题
A :
B :
C :
D : B=0
211 、 单选题A : p1=p2
B : p3=p4
C :
D :
212 、 单选题
A :
B :
C :
D : 无法确定
213 、 单选题A : 4
B : 3
C : 2
D : 1
214 、 单选题
A : 单位重量流体的势能
B : 单位重量流体的动能
C : 单位重量流体的机械能
D : 单位质量流体的机械能
215 、 单选题
黏性流体总流的总水头线一般为( )。
A : 沿程上升的曲线
B : 沿程下降的曲线
C : 沿程不变的水平线
D : 前3种情况都有可能
216 、 单选题
A : 1.95
B : 9.8
C : 24.5
D : 98.0
217 、 单选题
相对压强的起量点为( )。
A : 绝对真空
B : 标准大气压
C : 当地大气压
D : 液面压强218 、 单选题
重力作用下的流体静压强微分方程为dp=( )。
A : -ρgdz
B : ρgdz
C : -ρdz
D : ρdz
219 、 单选题
描述液体运动有迹线和流线的概念,任何情况下( )。
A : 流线上质点不沿迹线运动
B : 质点的运动轨迹称为流线
C : 流线上质点的速度矢量与流线相切
D : 质点的迹线与流线重合
220 、 单选题
流体一维总流中,判别流动方向的正确表述是( )。
A : 流体从高处向低处流动
B : 流体从压力大的地方向压力小的地方流动
C : 流体从单位机械能大的地方向单位机械能小的地方流动
D : 流体从流速快的地方向流速慢的地方流动
221 、 单选题
当孔口、管嘴出流的作用水头H和管(孔)径d分别相等时,则必有( )。
A : Q(孔口)>Q(管嘴),v(孔口)>v(管嘴)
B : Q(孔口)<Q(管嘴),v(孔口)>v(管嘴)
C : Q(孔口)>Q(管嘴),v(孔口)<v(管嘴)
D : Q(孔口)<Q(管嘴),v(孔口)<v(管嘴)
222 、 单选题
欲使水力最优梯形断面渠道的水深和底宽相等,则渠道的边坡系数m应为( )。
A : 1
B : 3/4
C : 1/2
D : 1/4
223 、 单选题A :
B :
C :
D :
224 、 单选题
气体体积不变,温度从0℃上升到100℃时,气体绝对压强变为原来的( )倍。
A : 0.5
B : 1.56
C : 1.37
D : 2
225 、 单选题
A :
B :
C :
D : 不能确定
226 、 单选题
A : 0.10
B : 0.15C : 0.23
D : 0.35
227 、 单选题
A :
B :
C :
D :
228 、 单选题
A : 具有计数功能
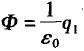
B : 保持原有状态
C : 置“0”
D : 置“1”
229 、 单选题
A : 0.885
B : 1.980C : 1.770
D : 2.000
230 、 单选题
输水管道的直径为200mm,输水量为1177kN/h(重量流量),则其断面平均流速为( )m/s。
A : 1.06
B : 2.06
C : 3.06
D : 4.06
231 、 单选题
A : 3.4
B : 4.2
C : 4.9
D : 6.1
232 、 单选题
A :
B :
C :
D :
233 、 单选题几何相似、运动相似和动力相似三者之间的关系为( )。
A : 运动相似和动力相似是几何相似的前提
B : 运动相似是几何相似和动力相似的表象
C : 只有运动相似,才能几何相似
D : 只有动力相似,才能几何相似
234 、 单选题
下游无液体条件下,直立在液体中的矩形平板所受压力的大小( )。
A : 与平板的密度成正比
B : 与液体的密度成正比
C : 与平板前水深度成正比
D : B,C都对
235 、 单选题
一梯形断面明渠,水力半径R=0.8m,底坡i=0.0006,粗糙系数n=0.025,则输水流速
为( )m/s。
A : 0.84
B : 0.96
C : 1.20
D : 1.50
236 、 单选题
液体的弹性模量E、密度ρ和流速v可组成的无量纲数为( )。
A : Ev/ρ
B :
C : ρv/E
D :
237 、 单选题A : 0.85
B : 1.33
C : 8.5
D : 13.3
238 、 单选题
A :
B :
C :
D :
239 、 单选题A : 40.9
B : 43.8
C : 45.7
D : 47.6
240 、 单选题
A :
B :
C :
D :
241 、 单选题
A : 1.04
B : 1.62
C : 2.23
D : 3.45242 、 单选题
在流体力学中,单位质量力是指作用在单位( )流体上的质量力。
A : 面积
B : 体积
C : 质量
D : 重量
243 、 单选题
A :
B :
C :
D :
244 、 单选题
A :
B :
C :
D :
245 、 单选题
黏性流体总水头线沿程的变化是( )。
A : 沿程下降
B : 沿程上升
C : 保持水平
D : 前三种情况都有可能
246 、 单选题
A : 异步二进制计数器
B : 同步三进制计数器
C : 异步四进制计数器
D : 同步五进制计数器
247 、 单选题
A : 8.000
B : 8.167C : 11.760
D : 12.000
248 、 单选题
A : 增大
B : 减小
C : 不变
D : 条件不足,无法确定
249 、 单选题
在应用恒定总流的动量方程ΣF=pQ(β2v2-β1v1)解题时,∑F中不应包括( )。
A : 重力
B : 压力
C : 阻力
D : 惯性力
250 、 单选题
当水力模型按重力准则设计时,其流量比尺λ0=( )。
A :
B :
C :
D :
251 、 单选题
A : 0.05B : 0.06
C : 0.20
D : 0.60
252 、 单选题
A : I1=20AI2=20AI3=20A
B : I1=10AI2=20AI3=5A
C : I1=10AI2=5AI3=20A
D : I1=5AI2=5AI3=5A
253 、 单选题
有压圆管均匀流的切应力τ沿断面的分布是( )。
A : 均匀分布
B : 管壁处是零,向管轴线性增大
C : 管轴处是零,与半径成正比
D : 按抛物线分布
254 、 单选题
A : 1/2
B :
C :
D : 2255 、 单选题
A : 190V
B : 220V
C : 311V
D : 380V
256 、 单选题
A :
B :
C :
D :
B :
C :
D :
3 、 单选题
关于圆管紊流的速度分布曲线,叙述合理的是( )。
A : 在层流底层近似指数曲线分布,在紊流核心区近似对数曲线分布
B : 在层流底层近似抛物线分布,在紊流核心区近似对数曲线分布C : 在层流底层近似直线分布,在紊流核心区近似对数曲线分布
D : 上面叙述均不合理
4 、 单选题
A : 387
B : 265
C : 255
D : 216
5 、 单选题
A : 80
B : 90
C : 110
D : 120
6 、 单选题
A : 1.5
B : 1.7
C : 1.9D : 2.1
7 、 单选题
金属压力表的读值是( )。
A : 绝对压强
B : 相对压强
C : 绝对压强加当地大气压
D : 相对压强加当地大气压
8 、 单选题
已知流场速度分布(u,v,w)=(xy,-2yx,yz),密度不变,则流动可认为是( )。
A : 恒定流
B : 非恒定流
C : 理想流体
D : 不可压缩流体
9 、 单选题
明渠均匀流的流量一定,渠道断面形状、尺寸和壁面粗糙一定时,正常水深随底坡增大而
( )。
A : 增大
B : 减小
C : 不变
D : 不确定
10 、 单选题
流体运动黏度v的单位是( )。
A :
B : N/m
C : kg/m
D : N·s/m
11 、 单选题A :
B :
C :
D :
12 、 单选题
一建筑物模型在风速为8m/s时,迎风面压强为45Pa,背风面压强为-27Pa,若气温不变,
风速增至12m/s,则建筑物迎风面和背风面的压强分别为( )。
A : 55.1Pa和-33.1Pa
B : 67.5Pa和-40.5Pa
C : 82.7Pa和-49.6Pa
D : 101.3Pa和-60.8Pa
13 、 单选题
潜水完全井的产水量的大小与( )成正比。
A : 井的半径
B : 井的影响半径
C : 含水层厚度
D : 土壤渗流系数
14 、 单选题
下列关于动量定理的论述正确的是( )。
A : 动量定理仅适用于层流运动
B : 动量定理仅适用于紊流运动
C : 动量定理仅适用于理想流体运动D : 动量定理适用于以上任何流动
15 、 单选题
A :
B :
C :
D :
16 、 单选题
在实验室中,根据达西定律测定某种土壤的渗透系数,将土样装在直径d=30cm的圆筒
中,在90cm水头差作用下,8小时的渗透水量为100L,两测压管的距离为40cm,该土
壤的渗透系数为( )m/d。
A : 0.9
B : 1.9
C : 2.9
D : 3.9
17 、 单选题
A : 0.21m/s
B : 0.115m/s
C : 0.105m/s
D : 0.0525m/s
18 、 单选题A : 1.274
B : 0.2565
C : 0.3183
D : 0.6365
19 、 单选题
已知某液体的密度变化率dρ/ρ=1.0%,则该液体的体积变化率dV/V=( )。
A : 1.0%
B : -1.0%
C : 1.0‰
D : -1.0‰
20 、 单选题
A : 1.25
B : 1.5
C : 2
D : 2.5
21 、 单选题A : 0.030
B : 0.025
C : 0.020
D : 0.015
22 、 单选题
A :
B :
C :
D : 不定
23 、 单选题
A : 8.00
B : 5.66
C : 2.83
D : 2.00
24 、 单选题长管并联管道各并联管段的( )。
A : 水头损失相等
B : 水力坡度相等
C : 总能量损失相等
D : 通过的水量相等
25 、 单选题
A : P1<P2<p3
B : P1=P2=p3
C : P1>P2>p3
D : P2<P1<p3
26 、 单选题
A : 匀速转动
B : 固定不动
C : 加速转动
D : 先加速转动,然后匀速转动
27 、 单选题A : H>a+14h/15
B : H<a+14h/15
C : H>a+15h/14
D : H<a+15h/14
28 、 单选题
A : 层流区
B : 临界过渡区
C : 紊流光滑区
D : 阻力平方区
29 、 单选题
水力最优断面是( )。
A : 造价最低的渠道断面
B : 壁面粗糙系数最小的断面
C : 一定的流量下具有最大断面积的断面
D : 断面积一定时具有最小湿周的断面
30 、 单选题
A : 0.125B : 0.25
C : 0.50
D : 1.00
31 、 单选题
A : 2.52
B : 2.72
C : 2.82
D : 0.82
32 、 单选题
A : 10
B : 1.5
C : 20
D : 25
33 、 单选题A : 6500
B : 63700
C : 35084
D : 1960
34 、 单选题
一元流动是指( )。
A : 均匀流
B : 速度分布按直线变化的流动
C : 运动参数随一个空间坐标和时间变化的流动
D : 流线为直线的流动
35 、 单选题
A : 1.01
B : 1.22
C : 1.41
D : 1.62
36 、 单选题
A : 0.8Pa·s
B : 0.8Pa
C :
D :
37 、 单选题
恒定流是( )。
A : 流动随时间按一定规律变化的流动
B : 流场中任意空间点的运动要素不随时间变化的流动
C : 各过流断面的速度分布相同的流动
D : 各过流断面的压强相同的流动
38 、 单选题
地下水渐变渗流的浸润线,沿程变化为( )。
A : 下降
B : 保持水平
C : 上升
D : 以上情况都可能
39 、 单选题
圆管层流,实测管轴线上流速为4m/s,则断面平均流速为( )m/s。
A : 4
B : 3.2
C : 2
D : 1
40 、 单选题
A : 对理想流体,该测压管水头线(Hp线)应该沿程无变化
B : 该图是理想流体流动的水头线
C : 对理想流体,该总水头线(H0线)沿程无变化
D : 该图不适用于描述实际流体的水头线
41 、 单选题100mm汞柱其压强相当于( )mm水柱的压强。
A : 1000
B : 1332
C : 1360
D : 136
42 、 单选题
A :
B :
C :
D :
43 、 单选题
A :
B :
C :
D :
44 、 单选题
进行大坝溢流模型实验,应遵循( )设计实验。A : 雷诺准则
B : 弗劳德准则
C : 欧拉准则
D : 其他准则
45 、 单选题
A :
B :
C :
D :
46 、 单选题
普通完整井的出水量( )。
A : 与渗透系数成正比
B : 与井的半径成正比
C : 与含水层厚度成反比
D : 与影响半径成正比
47 、 单选题
A :
B :
C :
D :
48 、 单选题
已知混凝土排水管(n=0.014)的水力半径R=0.5m,水均匀流动1000m的沿程水头损失
为1m,则该管的断面平均流速v=( )m/s
A : 1.22
B : 1.32
C : 1.42
D : 1.52
49 、 单选题
某点的真空压强为65000Pa,当地大气压为0.1MPa,该点的绝对压强为( )Pa。
A : 65000
B : 55000
C : 35000
D : 165000
50 、 单选题
已知某圆管水流的雷诺数Re=2000,则该管的沿程阻力系数λ=( )。
A : 0.028
B : 0.032
C : 0.064
D : 31.25
51 、 单选题
下述选项中,不属于明渠均匀流的特性的是( )。
A : 沿程不同,过水断面上深度相同
B : 同一过水断面上速度分布均匀
C : 水力坡度、水面坡度和底坡均等
D : 沿程不同过水断面速度分布相同
52 、 单选题
A : 等于120V
B : 等于4.8VC : 等于0.6V
D : 无法计算
53 、 单选题
渐变流过流断面上各点的( )近似等于常数。
A : p
B : z+p/ρg
C :
D :
54 、 单选题
A :
B :
C :
D : 不定
55 、 单选题A : 对理想流体,该测压管水头线(Hp线)应该沿程无变化
B : 该图是理想流体流动的水头线
C : 对理想流体,该总水头线(H0线)沿程无变化
D : 该图不适用于描述实际流体的水头线
56 、 单选题
矩形明渠底宽b=2.0m,水深h=1.0m,则其水力半径为( )。
A : 0.3333
B : 0.5
C : 0.8
D : 0.9
57 、 单选题
A :
B :
C :
D :
58 、 单选题
水的重量流量为2000kN/h,管道直径为d=150mm,则其中的流速为( )m/s。
A : 0.87
B : 1.61
C : 2.72
D : 3.21
59 、 单选题
A : α=45°
B : α=60°
C :
D :
60 、 单选题
A : 2.4
B : 11.5
C : 23.1
D : 29.461 、 单选题
A : 4.54
B : 3.25
C : 5.05
D : 6.22
62 、 单选题
速度v、长度l、重力加速度g组成的无量纲数可表达为( )。
A :
B :
C :
D :
63 、 单选题A : 54.88
B : 112.9
C : 94.08
D : 74.48
64 、 单选题
对于圆管层流,下列叙述错误的是( )。
A : 水头损失与流速无关
B : 水头损失只与雷诺数有关
C : 水头损失与管壁粗糙度无关
D : 水头损失与流速一次方成正比
65 、 单选题
A :
B :
C :
D : 不定
66 、 单选题
自流完全井的产水量的大小与( )成正比。
A : 井的半径
B : 井的影响半径
C : 含水层厚度
D : 土壤渗流系数的平方
67 、 单选题
A : 45
B : 32
C : 37
D : 4168 、 单选题
下列各项中,属于无分支串联长管的流动特征是( )。
A : 各管段流量不相等
B : 各管段测压管水头差不等于各管段沿程水头损失
C : 各管段流量相等,但测压管水头线不代表总能头线
D : 各管段流量相等,且总水头损失等于各管段水头损失之和
69 、 单选题
如果称平滑调速为连续(无级)调速,那么属于连续调速的方法是( )。
A : 调磁极对数调速
B : 调转差率调速
C : 调频调速
D : 调磁极对数调速、调转差率调速、调频调速
70 、 单选题
A : 0.613
B : 0.556
C : 0.459
D : 0.343
71 、 单选题
A : 98.8B : 78.8
C : 68.8
D : 58.8
72 、 单选题
A : 74.25
B : 95.26
C : 63.56
73 、 单选题
A :
B :
C :
D : 不定
74 、 单选题
A :
B :
C :
D :
75 、 单选题
突然扩大管段的局部水头损失hj=( )。
A : (vv2)2g
B :
C :
D :
76 、 单选题
A : 0.030
B : 0.025
C : 0.020
D : 0.015
77 、 单选题
欧拉法描述流体运动时,表示同一时刻因位置变化而形成的加速度称为( )。
A : 当地加速度
B : 迁移加速度C : 液体质点加速度
D : 加速度
78 、 单选题
A : 58.8
B : 65.5
C : 68.8
D : 70.0
79 、 单选题
量纲一致性原则是指( )。
A : 量纲相同的量才可相乘除
B : 量纲不同的量才可相加减
C : 基本量纲不能与导出量纲相运算
D : 物理方程式中各项的量纲必须相同
80 、 单选题
达西渗流定律的适用条件为雷诺数Re:型<( )。
A : 2300
B : 1000
C : 100
D : 10
81 、 单选题
模型与原形采用相同介质,为满足黏性阻力相似,若几何比尺为10,设计模型应使流速
比尺为( )。
A : 10
B : 1
C : 0.1
D : 582 、 单选题
理想流体的基本特征是( )。
A : 黏性系数是常数
B : 不可压缩
C : 无黏性
D : 符合牛顿内摩擦定律
83 、 单选题
A : 1/3
B : 1/2
C : 2/3
D : 1
84 、 单选题
A : 容器底压强相等,桌面的支撑力相等
B : 容器底压强相等,桌面的支撑力不相等
C : 容器底压强不相等,桌面的支撑力相等
D : 容器底压强不相等,桌面的支撑力不相等
85 、 单选题
A :
B :
C :
D :
86 、 单选题
液体的压强为p、速度v、密度ρ正确的无量纲数组合是( )。
A :
B :
C :
D :
87 、 单选题
管道长度不变,管中流动为层流,允许的水头损失不变,当直径变为原来2倍时,若不
计局部损失,流量将变为原来的多少倍?( )
A : 2
B : 4
C : 8
D : 16
88 、 单选题
应用总流能量方程时,上、下游两过流断面的压强应用的压强是( )。
A : 必须用绝对压强
B : 必须用相对压强
C : 必须用相对压压强水头
D : 相对压强和绝对压强均可用,但等号前后应统一使用同一种压强
89 、 单选题A : 单位重量流体的势能
B : 单位重量流体的动能
C : 单位重量流体的机械能
D : 单位质量流体的机械能
90 、 单选题
A : 4.78
B : 35.83
C : 40.59
D : 45.61
91 、 单选题
A : 0.21
B : 0.115
C : 0.105
D : 0.0525
92 、 单选题
A :
B :
C :
D :
93 、 单选题
A :
B :
C :
D :
94 、 单选题
A : 4
B : 6
C : 5
D : -4
95 、 单选题
在恒定流条件下( )。
A : 流线和迹线正交
B : 流线和迹线重合
C : 流线是平行直线
D : 迹线是平行直线96 、 单选题
已知有压管路中突扩前后管段管径之比d1/d2=0.5,则雷诺数之比Re1/Re2=( )。
A : 0.25
B : 0.5
C : 1.0
D : 2.0
97 、 单选题
层流沿程阻力系数λ( )。
A : 只与雷诺数有关
B : 只与相对粗糙度有关
C : 只与流程长度和水力半径有关
D : 既与雷诺数有关又与相对粗糙度有关
98 、 单选题
A :
B :
C :
D :
99 、 单选题
孔口出流试验中测得孔口出流的局部阻力系数ζ=0.06,则其流速系数φ为( )。
A : 0.94
B : 0.95
C : 0.96D : 0.97
100 、 单选题
A :
B :
C :
D :
101 、 单选题
A : 80
B : 90
C : 110
D : 120
102 、 单选题
下列渠道中,可能产生均匀流的是( )。
A : 平坡棱柱形渠道
B : 逆坡棱柱形渠道
C : 正坡棱柱形渠道
D : 正坡非棱柱形渠道
103 、 单选题
已知三通管来流流量Q1=140L/s,两支管的直径d2=150mm和d3=200mm,且两管断面
平均流速相等(V2=V3),则两支管流量( )。
A : Q2=40L/s,Q3=100L/s
B : Q2=50.3L/s,Q3=89.7L/s
C : Q2=60L/s,Q3=80L/s
D : Q2=Q3=70L/s104 、 单选题
A : 30
B : 33
C : 39
D : 40
105 、 单选题
A : 3004
B : 7650
C : 12017
D : 24033
106 、 单选题
作用水头相同时,孔口的过流量要比相同直径的管嘴过流量( )。
A : 大
B : 小
C : 相同
D : 无法确定
107 、 单选题
A :
B :
C :
D :
108 、 单选题
A : 0.8
B : 1.2
C : 1.25
D : 1.5
109 、 单选题
π定理的主要作用是( )。
A : 检验物理方程的正确性
B : 观察物理现象
C : 发现经验公式
D : 由确定的基本量纲找出物理方程
110 、 单选题
渗流达西定律v=kJ,是基于以下假定中的( )。
A : 测压管水头线坡度与总能头线坡度平行
B : 测压管水头线坡度等于总能头线坡度
C : 测压管水头线坡度不等于总能头线坡度
D : 渗流的沿程水头损失与渗流流速的二次方成正比
111 、 单选题
A : 30.80
B : 30.13
C : 38.80
D : 38.13112 、 单选题
A :
B :
C :
D :
113 、 单选题
渗流模型流速u与实际渗流流速u′相比较( )。
A : u>u′
B : u=u′
C : u<u′
D : 不确定
114 、 单选题
紊流粗糙区,其沿程损失系数与下列哪些因素有关?( )
A : 只与管内流速有关
B : 只与管内雷诺数有关
C : 与管内流速和管壁粗糙度都有关
D : 只与管内壁相对粗糙度有关
115 、 单选题
电容端电压和电感电流不能突变原因是( )。
A : 元件的端电压和电流不能突变
B : 电场能量和磁场能量的变化率均为有限值
C : 电容端电压和电感电流都是有限值
D : 电容端电压和电感电流都受换路定律制约
116 、 单选题A : 变大
B : 变小
C : 不变
D : 无法确定
117 、 单选题
两明渠均匀流,流量相等,且断面形状尺寸、水深都相同,A的粗糙系数是B的2倍,渠
底坡度A是B的( )倍。
A : 0.5
B : 1
C : 2
D : 4
118 、 单选题
A : 1:1
B : 1:2
C : 1:4
D : 1:8
119 、 单选题
A :
B :
C :
D : 不定
120 、 单选题
A : 18
B : 15
C : 10.9
D : 9
121 、 单选题
根据静水压强的特性,静止液体中同一点各方向的压强( )。
A : 数值相等
B : 数值不等
C : 仅水平方向数值相等
D : 铅直方向数值最大
122 、 单选题A : 当C=C0时,电路的功率因数最大
B : 当C<C0时,cosφ´>cosφ
C : 当电路出现过补偿时,C>C0
D : 当C>C0时,cosφ´>cosφ
123 、 单选题
当水受的压强增加时,水的密度( )。
A : 减小
B : 加大
C : 不变
D : 不确定
124 、 单选题
A : 0.0025
B : 0.025
C : 0.25
D : 2.5125 、 单选题
A : Q1/Q2=1
B : Q1/Q2>1
C : Q1/Q2<1
D : Q1/Q2<0
126 、 单选题
A : 1
B : 2
C : 2.5
D : 3
127 、 单选题A : b+2h/bh
B : bh/(b+2h)
C : 2(b+h)/bh
D : bh/2(b+h)
128 、 单选题
A : 220∠-135°V
B : 380∠-15°V
C : 220∠-15°V
D : 380∠-135°V
129 、 单选题
A : 2
B : 2.5
C : 3
D : 4
130 、 单选题
谢才公式仅适用于( )。
A : 水力光滑区
B : 水力粗糙区或阻力平方区
C : 紊流过渡区
D : 第一过渡区
131 、 单选题A :
B :
C :
D :
132 、 单选题
A : 0.08
B : 0.48
C : 0.52
D : 2.08
133 、 单选题A :
B :
C :
D :
134 、 单选题
A : 3.98
B : 4.83
C : 2.73
D : 15.8
135 、 单选题A : 仅适用于层流区
B : 仅适用于光滑区
C : 仅适用于过渡区
D : 紊流光滑区、过渡区、粗糙区均近似可用
136 、 单选题
A : 0.88
B : 1.90
C : 0.77
D : 0.39
137 、 单选题
A : 3.82
B : 7.99
C : 12.56
D : 11.81
138 、 单选题A : h
B : h-l
C : h+l
D : l
139 、 单选题
A : 20
B : 40
C : 65
D : 120
140 、 单选题
水力半径R是( )。
A : 渠道断面的半径
B : 断面面积与湿周之比
C : 断面面积与断面周长之比
D : 断面面积与水深之比
141 、 单选题
静止液体中存在( )。A : 压应力
B : 压应力和拉应力
C : 压应力和切应力
D : 压应力、拉应力和切应力
142 、 单选题
黏性流体测压管水头线的沿程变化是( )。
A : 沿程下降
B : 沿程上升
C : 保持水平
D : 前三种情况都有可能
143 、 单选题
A :
B :
C :
D :
144 、 单选题
已知某激励信号u(t)=1.732sin(314t+30°)V,由此可知该信号的有效值、频率及初相角分
别为( )。
A : 1V,314rad/s,30°
B : 1.732V,0.02s,30°
C : 1.225V,50Hz,30°
D : 1.732V,314rad/s,30°145 、 单选题
已知突扩前后管段的管径之比d1/d2=0.5,则突扩前后断面平均流速之比v1/v2=( )。
A : 4
B : 2
C : 1
D : 0.5
146 、 单选题
并联长管的流动特征是( )。
A : 各分管流量相等
B : 各分管测压管水头差不等于各分管的总能头差
C : 总流量等于各分管流量之和,但各分管的水头损失不等
D : 总流量等于各分管流量之和,且各分管的水头损失相等
147 、 单选题
下面关于流体黏性的说法中,正确的是( )。
A : 流体的黏性随温度的升高而减小
B : 流体的黏性随温度的升高而增大
C : 液体的黏性随温度的升高而增大,而气体的黏性随温度的升高而减小
D : 液体的黏性随温度的升高而减小,而气体的黏性随温度的升高而增大
148 、 单选题
A : 3.98
B : 4.83
C : 2.73
D : 15.8
149 、 单选题A : 47.4
B : 59.3
C : 83.8
D : 196.5
150 、 单选题
A :
B :
C :
D :
151 、 单选题
A :
B :
C :
D : 不定
152 、 单选题
A : 1.50
B : 0.95
C : 0.67
D : 1.05
153 、 单选题
A : 0.02
B : 0.04
C : 0.4
D : 4
154 、 单选题
A : 1.0
B : 1.5
C : 2.0
D : 3.0155 、 单选题
A :
B :
C :
D :
156 、 单选题
采用适当措施降低三相鼠笼式电动机的启动电流是为了( )。
A : 避免电动机烧毁
B : 避免电动机瞬时过载
C : 避免熔断器烧断
D : 减小启动电流所引起的电网电压波动
157 、 单选题
A : 6V,6Ω
B : 6V,2Ω
C : 12V,6ΩD : 12V,2Ω
158 、 单选题
A : 28.14
B : 31
C : 34.25
D : 45.51
159 、 单选题
A :
B :
C :
D :
160 、 单选题
明渠均匀流可能发生在( )。
A : 平坡棱柱形渠道
B : 顺坡棱柱形渠道
C : 逆坡棱柱形渠道
D : 长直渠道都有可能
161 、 单选题
A : 0.125
B : 0.25
C : 0.50
D : 1.00
162 、 单选题
A : 1—1断面和2—2断面
B : 2—2断面和3—3断面
C : 1—1断面和3—3断面
D : 3—3断面和4—4断面
163 、 单选题
圆管紊流过渡区的沿程损失系数λ( )。
A : 只与雷诺数Re有关
B : 只与管壁相对粗糙度k/d有关
C : 与Re和k/d都有关
D : 与Re和管长l有关164 、 单选题
A : 单位重量流体具有的机械能
B : 单位质量流体具有的机械能
C : 单位体积流体具有的机械能
D : 通过过流断面流体的总机械能
165 、 单选题
A :
B :
C :
D :
166 、 单选题
A : 0.563
B : 0.5
C : 0.75
D : 1.25
167 、 单选题
描述液体运动的迹线和流线的概念,正确的是( )。A : 流线上质点不沿迹线运动
B : 质点运动的轨迹称为流线
C : 流线上质点的流速矢量与流线相切
D : 质点的迹线和流线都重合
168 、 单选题
地下水渐变渗流,过流断面上各点的渗流速度按( )分布。
A : 线性
B : 抛物线
C : 均匀
D : 对数曲线
169 、 单选题
明渠在坡度、粗糙度和过水断面积给定条件下,水力最佳断面为( )。
A : 允许流速最小的断面
B : 挖土方量最小的断面
C : 湿周最小的断面
D : 水力半径最小的断面
170 、 单选题
A : 7.20
B : 6.20
C : 5.52
D : 5.12171 、 单选题
A : 1.48m/s、2.40m/s
B : 1.48m/s、4.80m/s
C : 2.13m/s、2.40m/s
D : 2.13m/s、4.80m/s
172 、 单选题
欧拉法描述液体运动时,表示同一时刻因位置变化而形成的加速度称为( )。
A : 当地加速度
B : 迁移加速度
C : 液体质点加速度
D : 加速度
173 、 单选题
A : 20.51
B : 18.5
C : 16.56
D : 14.55
174 、 单选题
A : 1.95
B : 1.75
C : 1.65D : 1.45
175 、 单选题
A : 61.59
B : 86.23
C : 105.9
D : 161.6
176 、 单选题
A : 1
B : 0.5
C : 5
D : 2
177 、 单选题
A : 4.78
B : 35.83C : 40.59
D : 45.61
178 、 单选题
A : 380V
B : 0V
C :
D : 无法计算
179 、 单选题
A : 1.95
B : 1.75
C : 1.65
D : 1.45
180 、 单选题
A :
B :
C :
D :
181 、 单选题
A : 13.33
B : 12.4
C : 9.8
D : 6.4
182 、 单选题
A : 0.005
B : 0.01
C : 0.02
D : 0.04
183 、 单选题
速度u、长度l、运动黏度v的无量纲组合是( )。
A :
B :
C :
D :
184 、 单选题
A :
B :
C :
D :
185 、 单选题
流体测压管水头线的沿程变化是( )。
A : 沿程上升
B : 沿程下降
C : 保持水平
D : 前三种情况均有可能
186 、 单选题
流体做矩形水流模型实验,设满足弗劳德准则,原型水深6m,速度为4.0m/s;模型取
水深0.5m,则模型速度为( )m/s。
A : 0.333
B : 0.667
C : 1.155
D : 2.310
187 、 单选题A : 30.80
B : 30.12
C : 38.80
D : 38.12
188 、 单选题
A : 0.5
B : 1.0
C : 2.0
D : 4.0
189 、 单选题
A : 右移寄存器
B : 左移寄存器
C : 并行数据寄存器
D : 串行数据寄存器
190 、 单选题
电场中有个闭合球面,球面所包围的电荷电量为+q1,球面外电荷的电量为-q2,则通过
该球面的电通量Φ是( )。
A :
B :
C :
D :
191 、 单选题
A :
B :
C :
D :
192 、 单选题
已知某流体的黏性切应力τ=5.0N/㎡,动力黏度μ=0.1Pa·s,则该流体的剪切变形速
率du/dy=( )。
A : 5.01/s
B : 501/s
C : 5.0m/s
D : 50m/s
193 、 单选题
A : 0.10
B : 0.15
C : 0.23D : 0.35
194 、 单选题
A : 18
B : 15
C : 10.9
D : 9
195 、 单选题
A :
B :
C :
D :
196 、 单选题
A :
B :
C :
D :
197 、 单选题
牛顿流体是指( )。
A : 可压缩流体
B : 不可压缩流体
C : 满足牛顿内摩擦定律的流体
D : 满足牛顿第二定律的流体
198 、 单选题
A : P´+P´´=10W
B :
C :
D : 因Us、Is未知,无法计算199 、 单选题
A : 4
B : 3
C : 2
D : 1
200 、 单选题
过流断面是指与( )的断面。
A : 流线平行
B : 流线斜交
C : 流线正交
D : 迹线正交
201 、 单选题
随温度的升高,( )。
A : 液体和气体的黏度都增大
B : 液体黏度降低,气体黏度增大
C : 液体黏度增大,气体黏度降低
D : 液体和气体的黏度都降低
202 、 单选题
A : 4.34
B : 4.25
C : 4.47
D : 4.00
203 、 单选题A :
B :
C :
D :
204 、 单选题
圆管中层流运动的流体,过流断面上的流速分布规律及平均流速与最大流速的关系是( )。
A : 流速呈线性分布,平均流速为最大流速的1/2
B : 流速呈双曲线分布,平均流速为最大流速的1/2
C : 流速呈抛物线分布,平均流速为最大流速的1/2
D : 流速呈抛物线分布,平均流速为最大流速的1/3
205 、 单选题
露天水池,水深5m处的相对压强约为( )kPa。
A : 5
B : 49
C : 147
D : 205
206 、 单选题
边界层分离的必要条件是( )。
A : 来流流速分布均匀
B : 有逆压梯度和物面黏性阻滞作用
C : 物面开关不规则
D : 物面粗糙
207 、 单选题A :
B :
C :
D :
208 、 单选题
速度v、直径d、动力黏滞系数μ密度ρ组成的无量纲数可表达为( )。
A :
B :
C :
D :
209 、 单选题A :
B :
C :
D :
210 、 单选题
A :
B :
C :
D : B=0
211 、 单选题A : p1=p2
B : p3=p4
C :
D :
212 、 单选题
A :
B :
C :
D : 无法确定
213 、 单选题A : 4
B : 3
C : 2
D : 1
214 、 单选题
A : 单位重量流体的势能
B : 单位重量流体的动能
C : 单位重量流体的机械能
D : 单位质量流体的机械能
215 、 单选题
黏性流体总流的总水头线一般为( )。
A : 沿程上升的曲线
B : 沿程下降的曲线
C : 沿程不变的水平线
D : 前3种情况都有可能
216 、 单选题
A : 1.95
B : 9.8
C : 24.5
D : 98.0
217 、 单选题
相对压强的起量点为( )。
A : 绝对真空
B : 标准大气压
C : 当地大气压
D : 液面压强218 、 单选题
重力作用下的流体静压强微分方程为dp=( )。
A : -ρgdz
B : ρgdz
C : -ρdz
D : ρdz
219 、 单选题
描述液体运动有迹线和流线的概念,任何情况下( )。
A : 流线上质点不沿迹线运动
B : 质点的运动轨迹称为流线
C : 流线上质点的速度矢量与流线相切
D : 质点的迹线与流线重合
220 、 单选题
流体一维总流中,判别流动方向的正确表述是( )。
A : 流体从高处向低处流动
B : 流体从压力大的地方向压力小的地方流动
C : 流体从单位机械能大的地方向单位机械能小的地方流动
D : 流体从流速快的地方向流速慢的地方流动
221 、 单选题
当孔口、管嘴出流的作用水头H和管(孔)径d分别相等时,则必有( )。
A : Q(孔口)>Q(管嘴),v(孔口)>v(管嘴)
B : Q(孔口)<Q(管嘴),v(孔口)>v(管嘴)
C : Q(孔口)>Q(管嘴),v(孔口)<v(管嘴)
D : Q(孔口)<Q(管嘴),v(孔口)<v(管嘴)
222 、 单选题
欲使水力最优梯形断面渠道的水深和底宽相等,则渠道的边坡系数m应为( )。
A : 1
B : 3/4
C : 1/2
D : 1/4
223 、 单选题A :
B :
C :
D :
224 、 单选题
气体体积不变,温度从0℃上升到100℃时,气体绝对压强变为原来的( )倍。
A : 0.5
B : 1.56
C : 1.37
D : 2
225 、 单选题
A :
B :
C :
D : 不能确定
226 、 单选题
A : 0.10
B : 0.15C : 0.23
D : 0.35
227 、 单选题
A :
B :
C :
D :
228 、 单选题
A : 具有计数功能
B : 保持原有状态
C : 置“0”
D : 置“1”
229 、 单选题
A : 0.885
B : 1.980C : 1.770
D : 2.000
230 、 单选题
输水管道的直径为200mm,输水量为1177kN/h(重量流量),则其断面平均流速为( )m/s。
A : 1.06
B : 2.06
C : 3.06
D : 4.06
231 、 单选题
A : 3.4
B : 4.2
C : 4.9
D : 6.1
232 、 单选题
A :
B :
C :
D :
233 、 单选题几何相似、运动相似和动力相似三者之间的关系为( )。
A : 运动相似和动力相似是几何相似的前提
B : 运动相似是几何相似和动力相似的表象
C : 只有运动相似,才能几何相似
D : 只有动力相似,才能几何相似
234 、 单选题
下游无液体条件下,直立在液体中的矩形平板所受压力的大小( )。
A : 与平板的密度成正比
B : 与液体的密度成正比
C : 与平板前水深度成正比
D : B,C都对
235 、 单选题
一梯形断面明渠,水力半径R=0.8m,底坡i=0.0006,粗糙系数n=0.025,则输水流速
为( )m/s。
A : 0.84
B : 0.96
C : 1.20
D : 1.50
236 、 单选题
液体的弹性模量E、密度ρ和流速v可组成的无量纲数为( )。
A : Ev/ρ
B :
C : ρv/E
D :
237 、 单选题A : 0.85
B : 1.33
C : 8.5
D : 13.3
238 、 单选题
A :
B :
C :
D :
239 、 单选题A : 40.9
B : 43.8
C : 45.7
D : 47.6
240 、 单选题
A :
B :
C :
D :
241 、 单选题
A : 1.04
B : 1.62
C : 2.23
D : 3.45242 、 单选题
在流体力学中,单位质量力是指作用在单位( )流体上的质量力。
A : 面积
B : 体积
C : 质量
D : 重量
243 、 单选题
A :
B :
C :
D :
244 、 单选题
A :
B :
C :
D :
245 、 单选题
黏性流体总水头线沿程的变化是( )。
A : 沿程下降
B : 沿程上升
C : 保持水平
D : 前三种情况都有可能
246 、 单选题
A : 异步二进制计数器
B : 同步三进制计数器
C : 异步四进制计数器
D : 同步五进制计数器
247 、 单选题
A : 8.000
B : 8.167C : 11.760
D : 12.000
248 、 单选题
A : 增大
B : 减小
C : 不变
D : 条件不足,无法确定
249 、 单选题
在应用恒定总流的动量方程ΣF=pQ(β2v2-β1v1)解题时,∑F中不应包括( )。
A : 重力
B : 压力
C : 阻力
D : 惯性力
250 、 单选题
当水力模型按重力准则设计时,其流量比尺λ0=( )。
A :
B :
C :
D :
251 、 单选题
A : 0.05B : 0.06
C : 0.20
D : 0.60
252 、 单选题
A : I1=20AI2=20AI3=20A
B : I1=10AI2=20AI3=5A
C : I1=10AI2=5AI3=20A
D : I1=5AI2=5AI3=5A
253 、 单选题
有压圆管均匀流的切应力τ沿断面的分布是( )。
A : 均匀分布
B : 管壁处是零,向管轴线性增大
C : 管轴处是零,与半径成正比
D : 按抛物线分布
254 、 单选题
A : 1/2
B :
C :
D : 2255 、 单选题
A : 190V
B : 220V
C : 311V
D : 380V
256 、 单选题
A :
B :
C :
D :