文档内容
强化练习
即刻题库 www.jike.vip
1 、 单选题
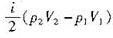
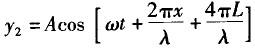
A : y=Acos[2πv(t+to)+π/2]
B : y=Acos[2πv(t-to)+π/2]
C : y=Acos[2πv(t-to)-π/2]
D : y=Acos[2πv(t+to)-π/2]
2 、 单选题
在单缝夫琅和费衍射实验中,波长为A的单色光垂直入射到单缝上,对应于衍射角Φ=30°
方向上,若单缝处波阵面可分为3个半波带,则缝宽a=( )。
A : λ
B : 1.5λ
C : 2λ
D : 3λ
3 、 单选题
A : 1
B : 2
C : 3
D : 54 、 单选题
在双缝干涉实验中,光的波长600nm,双缝间距2mm,双缝与屏的的间距为300cm,
则屏上形成的干涉图样的相邻条纹间距为( )mm。
A : 0.45
B : 0.9
C : 9
D : 4.5
5 、 单选题
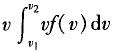
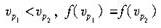
下列各式中表示气体分子平均平动动能的是( )。(式中M为气体的质量,m为气体分子质
量,μ为气体摩尔质量,n为气体分子数密度,NA为阿伏加德罗常量)
A : (3m/2M)pV
B : (3M/2μ)pV
C : (3/2)npV
D :
6 、 单选题
A : 向右平移
B : 静止不动
C : 向外扩张
D : 向中心收缩
7 、 单选题
A : 净功增大,效率提高
B : 净功增大,效率降低
C : 净功和效率都不变
D : 净功增大,效率不变8 、 单选题
A : 3
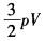
B : 7
C : 10
D : 70
9 、 单选题
一束自然光从空气投射到玻璃板表面上,当折射角为30°时,反射光为完全偏振光,则
此玻璃的折射率为( )。
A :
B : 1/2
C :
D :
10 、 单选题
A : 2
B : 4
C : 8
D : 16
11 、 单选题A : 高阶无穷小
B : 低阶无穷小
C : 同阶且非等价的无穷小
D : 等价无穷小
12 、 单选题
A :
B :
C :
D :
13 、 单选题
一平面简谱横波的波动表达式为y=0.05cos(20πt+4πx)(SI),取k=0,±1,±2,…。
则t=0.5s时各波峰所在处的位置为( )。
A :
B :
C :
D :
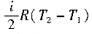
14 、 单选题
波长为λ的x射线,投射到晶格常数为d的晶体上。取k=1,2,3,…,出现x射线衍射加
强的衍射角θ(衍射的x射线与晶面的夹角),满足的公式为( )。
A : 2dsinθ=kλ
B : dsinθ=kλ
C : 2dcosθ=kλD : dcosθ=kλ
15 、 单选题
一单色平行光束垂直照射在宽度为1.0mm的单缝上,在缝后放一焦距为2.0m的会聚透镜。
已知位于透镜焦平面处的屏幕上的中央明条纹宽度为2.0mm,则入射光波长约为( )nm。
A : 400
B : 500
C : 600
D : 1000
16 、 单选题
A :
B :
C :
D :
17 、 单选题
A : 1/4
B : 1/5
C : 1
D : ∞
18 、 单选题
A : 1:2:4
B : 4:2:1
C : 1:4:16D : 1:4:8
19 、 单选题
沿着相反方向传播的两列相干波,其波动方程分别为y1=Acos2π(vt-x/λ)和y2
=Acos2π(vt+x/λ),在叠加后形成的驻波中,各处的振幅是( )。
A :
B : 2A
C : 2Acos(2πx/λ)
D : ∣2Acos(2πx/λ)∣
20 、 单选题
火车以25m/s的速率沿直线行驶,其汽笛声的频率为500Hzo设空气中的声速为340m
/s。一个人站立在铁轨旁,当火车从他身边驶过时,他听到汽笛声的频率变化是( )。
A : 540Hz
B : 466Hz
C : 432Hz
D : 74Hz
21 、 单选题
A : 1/8
B : 3/8
C : 5/8
D : 7/8
22 、 单选题
A :
B :
C :
D :
23 、 单选题
A : 10.7m
B : 7.21m
C : 0.139m
D : 0.093m
24 、 单选题
在标准状态下,若氧气(视为刚性双原子分子)和氦气的体积之比V1/V2=1/2,则其内能
之比E1/E2为( )。
A : 3/10
B : 1/2
C : 5/6
D : 5/3
25 、 单选题
一束光垂直入射到偏振片P上,以入射光线为轴转动P,观察通过P的光强的变化情况。
以下结论全部正确的是( )。
A : 若光强明暗交替变化且有时出现全暗,则入射光可能是椭圆偏振光或线偏振光
B : 若光强明暗交替变化但不出现全暗,则入射光可能是圆偏振光或部分偏振光
C : 若光强不变,则入射光一定是自然光
D : 若光强不变,则不能准确判断入射光的偏振性质
26 、 单选题
在单缝夫琅和费衍射实验中,若增大缝宽,其他条件不变,则中央明条纹( )。
A : 宽度变小
B : 宽度变大
C : 宽度不变,且中心强度也不变
D : 宽度不变,但中心强度增大
27 、 单选题
若f(v)为麦克斯韦气体分子速率分布函数,则速率在v1至v2区间内的分子的平均速率应
为( )。A :
B :
C :
D :
28 、 单选题
A :
B :
C :
D :
29 、 单选题
若迈克耳逊干涉仪的反射镜M2平移距离为0.3220mm时,测得某单色光的干涉条纹移
过1024条,则该单色光的波长为( )m。
A :
B :
C :
D :
30 、 单选题
用单色光垂直照射在牛顿环实验装置上,当上方的平凸透镜垂直向上缓慢平移而远离下
方的平面玻璃时,可以观察到环状干涉条纹变化情况是( )。
A : 只作横向平移
B : 向中心收缩
C : 向外扩张
D : 静止不动
31 、 单选题
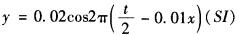
A :
B :
C :
D :
32 、 单选题
有一截面均匀的封闭圆筒,中间被一光滑的活塞分隔成两边,如果其中的一边装有0.1kg
某一温度的氢气,为了使活塞停留在圆筒的正中央,则另一边应装入同一温度的氧气质
量为( )kg。
A : 0.4
B : 0.8
C : 1.6
D : 3.2
33 、 单选题A :
B : 0
C :
D :
34 、 单选题
一容器内储有某种理想气体,如果容器漏气,则容器内气体分子的平均平动动能和气体
内能的变化情况是( )。
A : 分子的平均平动动能和气体的内能都减少
B : 分子的平均平动动能不变,但气体的内能减少
C : 分子的平均平动动能减少,但气体的内能不变
D : 分子的平均平动动能和气体的内能都不变
35 、 单选题
A :
B :
C :
D :
36 、 单选题
A :
B :
C :
D :
37 、 单选题
A :
B :
C :
D :
38 、 单选题
A :
B :
C :
D :
39 、 单选题
某理想气体在进行卡诺循环时,低温热源的温度为T,高温热源的温度为nT。则该理想
气体在一个循环中从高温热源吸收的热量与向低温热源放出的热量之比为( )。A : (n+1)/n
B : (n-1)/n
C : n
D : n-1
40 、 单选题
A :
B :
C :
D :
41 、 单选题
1mol的单原子分子理想气体从状态A变为状态B,气体未知,变化过程也未知,但A、B
两态的压强、体积和温度都知道,则可求出( )。
A : 气体所作的功
B : 气体内能的变化
C : 气体传给外界的热量
D : 气体的质量
42 、 单选题
一衍射光栅对某一定波长的垂直入射光,在屏幕上只能出现零级和一级主极大,欲使屏
幕上出现更高级次的主极大,应该( )。
A : 换一个光栅常数较小的光栅
B : 换一个光栅常数较大的光栅
C : 将光栅向靠近屏幕的方向移动
D : 将光栅向远离屏幕的方向移动
43 、 单选题
A : 1:1B : 2:3
C : 4:5
D : 6:5
44 、 单选题
A :
B :
C :
D : 3pV
45 、 单选题
A :
B :
C :
D :
46 、 单选题
A :
B :
C :
D :
47 、 单选题
对于机械波而言,下面说法正确的是( )。
A : 质元处于平衡位置时,其动能最大,势能为零
B : 质元处于平衡位置时,其动能为零,势能最大
C : 质元处于波谷处时,其动能为零,势能最大
D : 质元处于波峰处时,其动能势能均为零
48 、 单选题
A : 0.5
B : 1.0
C : 1.5
D : 2.0
49 、 单选题
一定量的理想气体,开始时处于压强、体积、温度分别为P1,V1,T1的平衡态,后来变
到压强、体积、温度分别为P2,V2、T2的终态,若已知V2>V1,且T1=T2,则以下各种
说法 中正确的是( )。
A : 不论经历的是什么过程,气体对外净做的功一定为正值
B : 不论经历的是什么过程,气体从环境净吸的热一定为正值
C : 若气体从始态变到终态经历的是等温过程,则气体吸收的热量最少
D : 如果不给定气体所经历的是什么过程,则气体在过程中对外净做的功和从外界净吸
热的正负皆无法判断
50 、 单选题
根据热力学第二定律判断,以下结果中正确的是( )。
A : 功可以全部转换为热,但热不能全部转换为功
B : 热可以从高温物体传到低温物体,但不能从低温物体传到高温物体
C : 不可逆过程就是不能向相反方向进行的过程
D : 一切自发过程都是不可逆的51 、 单选题
两台机床加工同样的零件,第一台机床出现次品的概率是0.04,第二台机床出现次品的
概率是0.02.现把加工后的零件放在一起,已知第一台机床的产品占25%,从这批零件中
任意取一个,则它是次品的概率等于( ).
A : 0.04
B : 0.02
C : 0.03
D : 0.025
52 、 单选题
A : rr1=kλ
B :
C :
D :
53 、 单选题
在波的传播方向上,有相距为3m的两质元,两者相位差为詈,若波的周期为4s,则此波
的波长和波速分别为( )。
A : 36m和6m/s
B : 36m和9m/s
C : 12m和6m/s
D : 12m和9m/s
54 、 单选题
已知齐次方程xy´´+y´=0有一个特解为lnx,则该方程的通解为( ).A :
B :
C : y=C(lnx+1)
D : y=C(lnx+x)
55 、 单选题
用检偏器观察某束光,如果环绕光的传播方向转动检偏器,透射光强也随之变化,则该
某束光为( )。
A : 非偏振光
B : 圆偏振光
C : 面偏振光
D : 椭圆偏振光
56 、 单选题
A :
B :
C :
D :
57 、 单选题
一定量某理想气体按“pV2=恒量”的规律膨胀,则理想气体在膨胀后的温度变化情况为
( )。
A : 将升高
B : 将降低
C : 不变
D : 升高还是降低,不能确定58 、 单选题
水蒸气分解成同温度的氢气和氧气,内能增加了( )。(不计振动自由度)
A : 0
B : 25%
C : 50%
D : 66.7%
59 、 单选题
A : d1=d0+λ,d2=d0+3λ
B : d1=d0-λ,d2=d0-3λ
C : d1=d0+λ/2,d2=d0+3λ/2
D : d1=d0-λ/2,d2=d0-3λ/2
60 、 单选题
直线L:(x-2)/1=(y-3)/2=(z-1)/1与平面Ⅱ:2x+y-4z=6的位置关系是( ).
A : L垂直于Ⅱ
B : L与Ⅱ相交,但不垂直
C : L与Ⅱ平行,且L不在Ⅱ上
D : L在Ⅱ上61 、 单选题
A : b1a过程放热,做负功;b2a过程放热,做负功
B : b1a过程吸热,做负功;b2a过程放热,做负功
C : b1a过程吸热,做正功;b2a过程吸热,做负功
D : b1a过程放热,做正功;b2a过程吸热,做正功
62 、 单选题
A : 1
B : 0
C : 2
D : a
63 、 单选题
设事件A,B满足P(A+B)=P(A)+P(B),则( ).
A : 与B互不相容
B : A与B相互独立
C : A与B相互对立
D : P(A-B)=P(A)
64 、 单选题
A :
B :
C :
D : 不确定的
65 、 单选题
过点(4,-1,3)且平行于直线L:(x-3)/2=y=(z-1)/5的直线方程为( ).
A : (x-4)/2=(y+1)/0=(z-3)/5
B : (x-4)/2=(y+1)/1=(z-3)/5
C : (x+4)/2=(y-1)/0=(z+3)/5
D : (x+4)/2=(y-1)/1=(z+3)/5
66 、 单选题
A : 方均根速率
B : 最可几速率
C : 算术平均速率
D : 速率和
67 、 单选题
一简谐波沿x轴正向传播,波的振幅为A,角频率为ω,波速为u。若以原点处的质元经平
衡位置正方向运动时作为计时的起点,则该波的波动方程是( )。
A : y=Acos[ω(t-x/u)+π/2]
B : y=Acos[ω(t-x/u)-π/2]
C : y=Acos[ω(t-x/u)+π]
D : y=Acos[ω(t-x/u)-π/3]
68 、 单选题
一平面简谐机械波在媒质中传播时,若一媒质质元在t时刻波的能量时10J,则在(t+T)(T
为波的周期)时刻该媒质质元的振动动能是( )。
A : 15J
B : 10J
C : SJ
D : 0
69 、 单选题
A : 1B :
C :
D :
70 、 单选题
A :
B :
C :
D :
71 、 单选题
A : 15%
B : 25%
C : 35%
D : 45%
72 、 单选题A :
B :
C :
D :
73 、 单选题
一平面简谱波在弹性媒质中传播时,某一时刻在传播方向上一质元恰好处在负的最大位
移处,则它的( )。
A : 动能为零,势能最大
B : 动能为零,势能为零
C : 动能最大,势能最大
D : 动能最大,势能为零
74 、 单选题
把一根十分长的绳子拉成水平,手握其一端,维持拉力恒定,使绳端在垂直于绳子的方
向上作简谐振动,则( )。
A : 振动频率越高,波长越长
B : 振动频率越低,波长越长
C : 振动频率越高,波速越大
D : 振动频率越低,波速越大
75 、 单选题
已知某理想气体的摩尔数为V,气体分子的自由度为i,k为玻耳兹曼常量,R为摩尔气体
常用量,当该气体从状态1(p1,V1,T1)到状态2(p2,V2,T2)的变化过程中,其内能的
变化为( )。
A :
B :
C :
D :
76 、 单选题
设向量组A:a1=(t,1,1),a2=(1,t,1),a3=(1,1,t)的秩为2,则t等于( ).
A : 1
B : -2
C : 1或-2
D : 任意数
77 、 单选题
一振幅为A,周期为T,波长λ的平面简谐波沿x轴负向传播,在x=λ/2处,t=T/4时,振动
相位为π,则此平面简谐波的波动方程为( )。
A :
B :
C :
D :
78 、 单选题
A : 0
B : 1
C : t
D : 不存在
79 、 单选题
A :
B :
C :
D :
80 、 单选题
若用一片透明的云母片将杨氏双缝装置中的上面一条缝盖住,则( )。
A : 干涉条纹不变
B : 干涉图样反差
C : 干涉条纹上移
D : 干涉条纹下移
81 、 单选题
过点(2,-3,1)且平行于向量a=(2,-1,3)和b=(-1,1,-2)的平面方程是( ).
A : -x+y+z-4=0
B : x-y-z-4=0
C : x+y+z=0
D : x+y-z+2=0
82 、 单选题
一束波长为λ的单色光分别在空气中和在玻璃中传播,则在相同的时间内( )。
A : 传播的路程相等,走过的光程相等
B : 传播的路程相等,走过的光程不相等
C : 传播的路程不相等,走过的光程相等
D : 传播的路程不相等,走过的光程不相等
83 、 单选题
两个相同的容器,一个装氦气,一个装氧气(视为刚性分子),开始时它们的温度和压强
都相同。现将9J的热量传给氦气,使之升高一定温度。若使氧气也升高同样的温度,则
应向氧气传递的热量是( )J。
A : 6
B : 9
C : 12
D : 1584 、 单选题
A : 3
B : 5
C : 7
D : 不能确定
85 、 单选题
A : 两个热机从高温热源所吸收的热量一定相等
B : 两个热机向低温热源所放出的热量一定相等
C : 两个热机吸收的热量与放出的热量(绝对值)的和值一定相等
D : 两个热机吸收的热量与放出的热量(绝对值)的差值一定相等
86 、 单选题
一简谐横波沿x轴正向传播,若x轴上P1和P2两点相距λ/8(其中λ为该波的波长),则在波
的传播过程中,这两点振动速度的关系为( )。
A : 方向总是相同
B : 方向总是相反
C : 方向有时相同,有时相反
D : 大小总是不相等
87 、 单选题
在双缝干涉实验中,为使屏上的干涉条纹间距变大,可以采用的办法是( )。
A : 使屏靠近双缝
B : 使两缝的间距变小C : 把两缝的宽度稍微调窄
D : 改用波长较小的单色光源
88 、 单选题
A : 0
B : 1/e
C : 1
D : e
89 、 单选题
A : 7.2
B : 7.9
C : 8.3
D : 8.5
90 、 单选题
A : 是自然光
B : 是完全偏振光且光矢量的振动方向垂直于入射面
C : 是完全偏振光且光矢量的振动方向平行于入射面
D : 是部分偏振光
91 、 单选题
一平面简谐波在弹性介质中传播,在介质质元从平衡位置向最大位移处的过程中( )。
A : 它的势能转换成动能
B : 它的动能转换成势能
C : 它从相邻的一段介质质元获得能量,其能量逐渐增加D : 它把自己的能量传给相邻的一段介质质元,其能量逐渐减小
92 、 单选题
A : 0
B : 1
C : 3
D : 2
93 、 单选题
A :
B :
C :
D :
94 、 单选题
理想气体向真空作绝热膨胀,膨胀后系统的变化为( )。
A : 系统温度不变,压强减小
B : 系统温度降低,压强减小
C : 系统温度升高,压强减小
D : 系统温度不变,压强不变
95 、 单选题
设y=f(x)是微分方程y´´-2y´+4y=0的一个解,又f(xo)>0,f´(xo)=0,则函数f(x)在点xo(
).
A : 取得极大值
B : 取得极小值
C : 的某个邻域内单调增加
D : 的某个邻域内单调减少96 、 单选题
同一种气体的定压摩尔热容大于定容摩尔热容,其原因是( )。
A : 气体压强不同
B : 气体温度变化不同
C : 气体膨胀需要做功
D : 气体质量不同
97 、 单选题
在真空中波长为λ的单色光,在折射率为n的透明介质中从A沿某路径传播到B,若A、B
两点相位差为3π,则此路径AB的光程为( )。
A : 1.5λ
B : 1.5nλ
C : 3λ
D : 1.5λ/n
98 、 单选题
A :
B :
C :
D :
99 、 单选题
在一密闭容器中,储有A、B、C三种理想气体,处于平衡状态。A种气体的分子数密度
为n1,它产生的压强为p1,B种气体的分子数密度为2n1,C种气体的分子数密度为3n1,
则混合气体的压强p为( )。
A : 4p1
B : 5p1
C : 6p1
D : 7p1100 、 单选题
某位足球运动员罚球命中率为0.9,假定各次罚球是否命中是相互独立的,则他五次罚球
至少中4次的概率等于( ).
A :
B :
C :
D :
101 、 单选题
A : 3π
B : 4π
C : 5π
D : 14/3π
102 、 单选题
在一封闭容器中盛有1mol氦气,并认为它是理想气体,这时分子无规则运动的平均自由
程仅决定于( )。
A : 压强p
B : 体积V
C : 温度T
D : 平均碰撞频率Z
103 、 单选题
“理想气体和单一热源接触做等温膨胀时,吸收的热量全部用来对外做功。”对此说法,
有如下几种讨论,正确的是( )。
A : 不违反热力学第一定律,但违反热力学第二定律
B : 不违反热力学第二定律,但违反热力学第一定律
C : 不违反热力学第一定律,也不违反热力学第二定律
D : 违反热力学第一定律,也违反热力学第二定律104 、 单选题
A : 气体对外做正功,向外界放出热量
B : 气体对外做正功,从外界吸热
C : 气体对外做负功,向外界放出热量
D : 气体对外做负功,从外界吸热
105 、 单选题
A : 间隔变大,向下移动
B : 间隔变小,向上移动
C : 间隔不变,向下移动
D : 间隔不变,向上移动
106 、 单选题
机械波波动方程为y=0.03cos6π(t+0.01x),则( )。
A : 其振幅为0.03mB : 其周期为1/6s
C : 其波速为10m/s
D : 波沿x轴正向传播
107 、 单选题
一容器被一铜片分成两部分,一边是80℃的水,另一边是20℃的水,经过一段时间后,
从热的一边向冷的一边传递了1000卡的热量,设水足够多,增减1000卡的热量温度没有
明显的变化,则在这个过程中熵变为( )J/K。
A : 2.4
B : 14.5
C : 25
D : 104.75
108 、 单选题
在双缝干涉实验中,单色自然光垂直入射到双缝上,在屏上形成干涉条纹。若在双缝与
屏之间放一个偏振片使由两缝出射的光线均通过此片,则屏上的情况是( )。
A : 干涉条纹的间距不变,但明纹的亮度加强
B : 干涉条纹的间距不变,但明纹的亮度减弱
C : 干涉条纹的间距变窄,且明纹的亮度减弱
D : 无干涉条纹
109 、 单选题
某单色光垂直入射到一个每一毫米有800条刻痕线的光栅上,如果第一级谱线的衍射角
为30°,则入射光的波长应为( )。
A : 0.625μm
B : 1.25μm
C : 2.5μm
D : 5μm
110 、 单选题
一平面简谐波在弹性媒质中传播,在某一瞬时,媒质中某质元正处于平衡位置,此时它
的能量状况是( )。
A : 动能为零,势能最大
B : 动能为零,势能为零
C : 动能最大,势能最大
D : 动能最大,势能为零
111 、 单选题A :
B :
C :
D :
112 、 单选题
A : -1
B : 1
C : 4
D : -1或4
113 、 单选题
A : [-1,3]
B : (-1,3]
C : (-1,3)
D : [-1,3)
114 、 单选题
A : (0,1)
B : (1,2)C : (2,3)
D : (3,+∞)
115 、 单选题
A :
B :
C :
D :
116 、 单选题
一定量的理想气体,由一平衡态p1,V1,T1变化到另一个平衡态p2,V2,T2,若V2
>V1,但T2=T1无论气体经历什么样的过程,( )。
A : 气体对外做的功一定为正值
B : 气体对外做的功一定为负值
C : 气体的内能一定增加
D : 气体的内能保持不变
117 、 单选题
若理想气体的体积为V,压强为p,温度为T,每个分子的平均分子量为M,k为玻尔兹曼
常数,R为摩尔气体常量,则该理想气体的分子数为( )。
A : pV/m
B : pV/(kT)
C : pV/(RT)
D : pV/(mT)
118 、 单选题
A : dx+dy
B : dx-dy
C : dx+2dy
D : dx-2dy119 、 单选题
A : +∞
B : π/4
C : π/6
D : π/2
120 、 单选题
已知一理想气体经过一准静态等体过程后,温度从T1升高到T2,吸收热量为Qo如果该过
程为非准静态等体过程,温度仍从T1(平衡态)升高到T2(平衡态),则气体吸收的热 量应( )。
A : 大于Q
B : 小于Q
C : 等于Q
D : 不能确定
121 、 单选题
设f(x)=x/tanx,则x=π/2是f(x)的( ).
A : 可去间断点
B : 跳跃间断点
C : 第二类间断点
D : 连续点
122 、 单选题
A : [-2,2)
B : [-1,2)
C : (-1,2]
D : (-2,2]
123 、 单选题
用白光光源进行双缝实验,若用一个纯红色的滤光片遮盖一条缝,用一个纯蓝色的滤光
片遮盖另一条缝,则( )。
A : 干涉条纹的宽度将发生改变
B : 产生红光和蓝光的两套彩色干涉条纹
C : 干涉条纹的亮度将发生改变
D : 不产生干涉条纹124 、 单选题
一平面简谐波沿X轴正向传播,已知x=L(L<λ)处质点的振动方程为y=Acosωt,波速为u,
那么x=0处质点的振动方程为( )。
A : y=Acosω(t+L/u)
B : y=Acosω(t-L/u)
C : y=Acos(ωt+L/u)
D : y=Acos(ωt-L/u)
125 、 单选题
A :
B :
C :
D :
126 、 单选题
在一封闭容器中,理想气体的算术平均速率提高一倍,则( )。
A : 温度为原来的1/4,压强为原来的4倍
B : 温度为原来的4倍,压强为原来的1/4
C : 温度和压强都提高为原来的1/4
D : 温度和压强都提高为原来的4倍127 、 单选题
A :
B :
C :
D :
128 、 单选题
分子的平均平动动能,分子的平均动能,分子的平均能量,在一定温度时有( )。
A : 三者一定相等
B : 三者均不相等
C : 后两者相等
D : 对于单原子理想气体三者相等
129 、 单选题
点M(1,2,1)到平面Ⅱ:x+2y-2z+3=0的距离是( ).
A : 2/3
B : 1
C : 2
D : 3
130 、 单选题
A : 25
B : 12.5
C : 5
D : 2.5
131 、 单选题
A : 取得极大值B : 取得极小值
C : 未取得极值
D : 是否取得极值无法判定
132 、 单选题
一个气缸内有一定量的单原子分子理想气体,在压缩过程中外界做功209J,此过程中气
体的内能增加120J,则外界传给气体的热量为( )J。
A : -89
B : 89
C : 329
D : 0
133 、 单选题
一平面简谐波沿x轴正向传播,已知x=-5m处质点的振动方程为y=Acosπt,波速
为u=4m/s,则波动方程为( )。
A : y=Acosπ[t-(x-5)/4]
B : y=Acosπ[t-(x+5)/4]
C : y=Acosπ[t+(x+5)/4]
D : y=Acosπ[t+(x-5)/4]
134 、 单选题
A : -2或1
B : l或4
C : -2或4
D : -2,1或4
135 、 单选题
A : 8dB
B : 40dB
C : 80dBD : 120dB
136 、 单选题
光强为I0的自然光垂直通过两个偏振片,它们的偏振化方向之间的夹角α=60°。设偏振
片没有吸收,则出射光强,与入射光强I0之比为( )。
A : 1/8
B : 1/4
C : 3/8
D : 3/4
137 、 单选题
两种声音的声强级差1分贝,则它们的强度之比为( )。
A : 0.0126
B : 0.126
C : 1.26
D : 12.6
138 、 单选题
设X是随机变量.已知P(X≤1)=0.3,P(X≥2)=0.4,则P(1<X<2)等于( ).
A : 0.2
B : 0.3
C : 0.4
D : 0.7
139 、 单选题
A :
B :
C :
D :
140 、 单选题
A :
B :
C :
D :
141 、 单选题
一个容器内贮有1mol氢气和1mol氩气,当气体处于平衡态时,若氢气对器壁的压强
为p1,氩气对器壁的压强为p2,则两者的关系是( )。
A : P1>P2
B : p1<p2
C : p1=p2
D : 不能确定
142 、 单选题
声音从声源发出,在均匀无限大的空气中传播的过程中,( )。
A : 声波的波速不断减小
B : 声波的波长不断减小
C : 声波的振幅不断减小
D : 声波的频率不断减小
143 、 单选题
设随机变量X服从正态分布N(μ,16),Y服从正态分布N(μ,25).
记p=P(X≤μ-4),q=P(Y≥μ+5),则p与q的大小关系是( ).
A : p>q
B : p<q
C : p=q
D : 不能确定
144 、 单选题一声波波源相对媒质不动,发出的声波频率是υ0,设一观察者的运动速度为波速的1/2,
当观察者迎着波源运动时,他接收到的声波频率是( )。
A : 2υ0
B : 12υ0
C : υ0
D : 32υ0
145 、 单选题
两种摩尔质量不同的理想气体,它们的压强、温度相同,体积不同,则它们的( )。
A : 单位体积内的分子数不同
B : 单位体积内气体的质量相同
C : 单位体积内气体分子的总平均平动动能相同
D : 单位体积内气体内能相同
146 、 单选题
A : 16
B : 14
C : 6
D : 18
147 、 单选题
A : 速率为v2的各分子的总平动动能与速率为v1的各分子的总平动动能之差
B : 速率为v2的各分子的总平动动能与速率为v1的各分子的总平动动能之和
C : 速率处在速率间隔V1~v2之内的分子的平均平动动能
D : 速率处在速率间隔V1~V2之内的分子平动动能之和
148 、 单选题A : 内能增量为正,对外做功为正,系统吸热为正
B : 内能增量为负,对外做功为正,系统吸热为正
C : 内能增量为负,对外做功为正,系统吸热为负
D : 内能增量为正,对外做功为正,系统吸热为负
149 、 单选题
两块平玻璃构成空气劈尖,左边为棱边,用单色平行光垂直入射,当劈尖的劈角增大时,
各级干涉条纹将( )。
A : 向右移,且条纹的间距变大
B : 向右移,且条纹的间距变小
C : 向左移,且条纹的间距变小
D : 向左移,且条纹的间距变大
150 、 单选题
A : 分子平均平动动能相同,氢气的内能大于氧气的内能
B : 分子平均平动动能相同,氧气的内能大于氢气的内能
C : 内能相同,氢气的分子平均平动动能大于氧气的分子平均平动动能
D : 内能相同,氧气的分子平均平动动能大于氢气的分子平均平动动能
151 、 单选题
在标准状态下,若氢气(可视作刚性双原子分子的理想气体)和氦气的体积比为V1/V2
=1/2,则其内能之比E1/E2为( )。
A : 3/10
B : 2/3
C : 5/6
D : 5/3
152 、 单选题气体作等压膨胀,则( )。
A : 温度升高,气体对外作正功
B : 温度升高,气体对外作负功
C : 温度降低,气体对外作正功
D : 温度降低,气体对外作负功
153 、 单选题
自然光以布儒斯特色由空气入射到一玻璃表面上,反射光是( )。
A : 在入射面内振动的完全偏振光
B : 平行于入射面的振动占优势的部分偏振光
C : 垂直于入射面振动的完全偏振光
D : 垂直于入射面的振动占优势的部分偏振光
154 、 单选题
有容积不同的A、B两个容器内装有理想气体,A中是单原子分子理想气体,B中是双原子
分子理想气体,若两种气体的压强相同,那么这两种气体的单位体积的内能(E/V)A
和(E/V)B的关系为( )。
A : (E/V)A<(E/V)B
B : (E/V)A>(E/V)B
C : (E/V)A=(E/V)B
D : 不能确定
155 、 单选题
A : 10
B : 55
C : 110
D : -55
156 、 单选题
A :
B :
C :
D :
157 、 单选题
当机械波在媒质中传播时,一媒质质元的最大变形量发生在( )。
A : 媒质质元离开其平衡位置最大位移处
B : 媒质质元离开其平衡位置处
C : 媒质质元在其平衡位置处
D : 媒质质元离开其平衡位置A/2处(A是振动振幅)
158 、 单选题
两列相干平面简谐波振幅都是4cm,两波源相距30cm,相位差为π,在波源连线的中垂
线上任意一点P,两列波叠加后的合振幅为( )cm。
A : 8
B : 16
C : 30
D : 0
159 、 单选题
两块平玻璃构成空气劈尖,左边为棱边,用单色平行光垂直入射,若上面的平玻璃慢慢
地向上平移,则干涉条纹( )。
A : 向棱边方向平移,条纹间隔变小
B : 向棱边方向平移,条纹间隔变大
C : 向棱边方向平移,条纹间隔不变
D : 向远离棱边的方向平移,条纹间隔变小
160 、 单选题
A :
B :
C :
D :
161 、 单选题
函数f(x,y)=xy(x-y)的极值点是( ).
A : (0,0)
B : (6,0)
C : (0,6)
D : (2,2)
162 、 单选题
如果两个偏振片堆叠在一起,且偏振化方向之间夹角为45°,假设二者对光无吸收,光
强为I0的自然光垂直入射在偏振片上,则出射光强为( )。
A : I0/4
B : 3I0/8
C : I0/2
D : 3I0/4
163 、 单选题
一定量的理想气体在进行卡诺循环时,高温热源的温度为500K,低温热源的温度为400K。
则该循环的效率为( )。
A : 56%
B : 34%
C : 80%
D : 20%
164 、 单选题A : 0
B : 148.8nm
C : 78.1nm
D : 74.4nm
165 、 单选题
A : 11/3
B : 22/3
C : 32/3
D : 86/3
166 、 单选题
一氢气球在20℃充气后,压强为1.2atm(1atm=1.013×105Pa),半径为1.5m。到夜晚时,
温度降为10℃,气球半径缩为1.4m,其中氢气压强减为1.1atm,此时漏掉的氢气为() kg。
A : 0.27
B : 0.32
C : 0.37
D : 0.42
167 、 单选题
A : 3
B : 4
C : 5
D : 6168 、 单选题
设f(x)是以2π为周期的周期函数,在[-π,π)上的表达式为f(x)=x,则f(x)的傅里叶级数为(
).
A :
B :
C :
D :
169 、 单选题
有一个金属杆,其一端与沸水接触,另一端与冰接触,当沸水和冰的温度维持不变,而
且杆内温度达到稳定分布后,这时金属杆所处的状态为( )。
A : 平衡态
B : 非平衡态
C : 准平衡态
D : 非稳恒态
170 、 单选题
提高光学仪器分辨本领的正确方法是( )。
A : 增大通光孔径,增大入射光波长
B : 增大通光孔径,减小入射光波长
C : 减小通光孔径,增大入射光波长
D : 减小通光孔径,减小入射光波长
171 、 单选题
A :
B :
C :
D :
172 、 单选题
A : 11°30′
B : 36°56′
C : 48°26′
D : 59°56′
173 、 单选题
A :
B :
C :
D :
174 、 单选题
在双缝干涉实验中,用单色自然光在屏上形成干涉条纹。若在两缝后放一偏振片,则( )。
A : 干涉条纹的间距变宽,但明纹的亮度减弱
B : 干涉条纹的间距不变,但明纹的亮度减弱C : 干涉条纹的间距变窄,但明纹的亮度增强
D : 干涉条纹的间距变窄,但明纹的亮度减弱
175 、 单选题
A :
B :
C :
D :
176 、 单选题
一平面简谐横波的波动表达式为y=0.002cos(400πt-20πx)(SI)。取k=0,±1,±2,…,
则t=1s时各波谷所在处的位置为( )。
A :
B :
C :
D :
177 、 单选题一平面谐波沿x轴正方向传播,振幅A=0.02m,周期T=0.5s,波长λ=100m,原点处质元
的初相位φ=0,则波动方程的表达式为( )。
A :
B : y=0.02cos2π(2t-0.01x)(SI)
C :
D : y=0.02cos2π(2t-100x)(SI)
178 、 单选题
一瓶氦气和一瓶氮气密度相同,分子平均平动动能相同,而且它们都处于平衡状态,则
它们( )。
A : 温度不同,压强不同
B : 温度相同,压强相同
C : 温度相同,但氦气的压强大于氮气的压强
D : 温度相同,但氦气的压强小于氮气的压强
179 、 单选题
1mol的刚性双原子分子理想气体,温度为t=25℃,压强p=1.0atm,分别经等温过程和
绝热过程膨胀至原来体积的三倍,则以下结果中正确的是( )。
A :
B :
C :
D :
180 、 单选题
设方程y´´-4y´+3y=0的某一积分曲线,它在点(0,2)处与直线x-y+2=0相切,则该积分
曲线的方程是( ).
A :
B :
C :
D :
181 、 单选题
设一理想气体系统的定压摩尔热容为Cp,定容摩尔热容为CV,R表示摩尔气体常数,则(
)。
A : CV-Cp=R
B : Cp-CV=R
C : p-CV=2R
D : Cp与CV的差值不定,取决于气体种类是单原子还是多原子
182 、 单选题
A :
B :
C :
D :
183 、 单选题
A : v0
B :
C :
D :
184 、 单选题
下列级数中,条件收敛的级数是( ).
A :
B :
C :
D :
185 、 单选题
频率4Hz沿X轴正向传播的简谐波,波线上有两点a和b,若它们开始振动的时间差
为0.25s,则它们的相位差为( )。
A : π/2
B : π
C : 3π/2
D : 2π
186 、 单选题
一束自然光通过两块叠放在一起偏振片,若两偏振片的偏振化方向间夹角由α1转到α2,
则转动前后透射光强度之比为( )。
A :
B :
C :
D :
187 、 单选题
A : λ/2
B : λ
C : 3λ/2
D : 2λ
188 、 单选题
A :
B :
C :
D :
189 、 单选题A :
B :
C :
D :
190 、 单选题
A :
B :
C :
D :
191 、 单选题
A : 3yy´=1
B :
C : y´=3y+1
D :
192 、 单选题
设向量a=2i+j-k,b=i-j+2k,则a×b为( ).
A : i+5j+3k
B : i-5j+3k
C : i-5j-3k
D : i+5j-3k
193 、 单选题
f(v)是麦克斯韦速率分布函数,n是单位体积内所具有的分子数,则nf(v)dv的物理意义是(
)。
A : 单位体积内速率为v的分子数目
B : 单位体积内速率为v的分子数占总分子数的比率
C : 单位体积内分子速率在v→v+dv间隔内的分子数占总分子数的比率
D : 单位体积内,分子速率在v→v+dv区间中的分子数目
194 、 单选题
设高温热源的热力学温度是低温热源的热力学温度的n倍,则理想气体在一次卡诺循环
中,传给低温热源的热量是从高温热源吸取的热量的( )倍。
A : 1/n
B :
C : n-1
D : n+1
195 、 单选题
A : 2
B : 3
C : 4
D : 5196 、 单选题
A : 传播方向相同,电场强度的振动方向互相垂直
B : 传播方向相同,电场强度的振动方向不互相垂直
C : 传播方向不同,电场强度的振动方向互相垂直
D : 传播方向不同,电场强度的振动方向不互相垂直
197 、 单选题
三个偏振片P1、P2与P3堆叠在一起,P1与P3偏振化方向相互垂直,P2与P1的偏振化方
向间的夹角为30°。强度为I0的自然光垂直入射于偏振片P1,并依次透过P1、P2与P3 ,
则通过三个偏振片后的光强为( )。
A : Io/4
B : 3Io/8
C : 3Io/32
D : Io/16
198 、 单选题
在标准状态下,将0.5mol的氮气(刚性双原子分子)压缩为原来体积的一半,若分别经历
的是等温过程和等压过程,下面结果中正确的是( )。
A : 等温功W=786J,等压内能增量ΔE=-1418J
B : 等温功W=-786J,等压功W=567J
C : 等温热量Q=786J,等压功W=-567J
D : 等温热量Q=-786J,等压热量Q=-1985J
199 、 单选题
A :
B :
C : 1.7
D : 0.17
200 、 单选题
一定量的刚性双原子分子理想气体储于一容器中,容器的容积为V,气体压强为p,则气
体的动能为( )。
A :
B :
C :
D : pV
201 、 单选题
以波长λ1=0.11nm的X射线照射某晶面,其晶面间距为d,在入射掠射角为θ1=11.25°时
获得第一级极大反射光;换用另一波长为λ2的X射线照射该晶面,测得第一 级极大反射
光相应的入射掠射角为θ2=17.5°,则以下计算结果正确的是( )。
A : d=3.55nm,λ2=2.14nm
B : d=0.282nm,λ2=5.90nm
C : d=3.55nm,λ2=0.170nm
D : d=0.282nm,λ2=0.170nm
202 、 单选题
A :
B :
C :
D :
203 、 单选题
在双缝干涉实验中,在给定入射单色光的情况下,用一片能通过光的薄介质片(不吸收光
线)将双缝装置中的上面一个缝盖住,则屏幕上干涉条纹的变化情况是( )。
A : 零级明纹仍在中心,其它条纹向上移动
B : 零级明纹仍在中心,其它条纹向下移动
C : 零级明纹和其它条纹一起向上移动
D : 零级明纹和其它条纹一起向下移动
204 、 单选题
A :
B :
C :
D :
205 、 单选题
在麦克斯韦速率分布律中,速率分布函数f(v)的意义为( )。
A : 速率大小等于v的分子数
B : 速率大小在v附近的单位速率区间内的分子数
C : 速率大小等于v的分子数占总分子数的百分比
D : 速率大小在v附近的单位速率区间内的分子数占总分子数的百分比
206 、 单选题
若一平面简谐波的表达式为y=0.03cos6π(t+0.01x)(SI),则下面结果中正确的是( )。
A : 振幅为3m
B : 周期为1/3s
C : 波速为10m/s
D : 传播方向为x轴正向
207 、 单选题A : 向上平移
B : 向下平移
C : 不动
D : 消失
208 、 单选题
设A是3阶方阵,A能与对角阵相似的充分必要条件是( ).
A :
B : A是实对称阵
C : A有3个线性无关的特征向量
D : A有3个不同的特征值
209 、 单选题
在相同温度下,氢气分子的最概然速率是氧气分子最概然速率的( )倍。
A : 2
B : 4
C :
D :
210 、 单选题
A : 710
B : 777
C : 905
D : 826211 、 单选题
一束光强为Io的自然光,相继通过三个偏振片P1、P2、P3后,出射光的光强为I=Io/8。
已知P1和P3的偏振化方向相互垂直,若以入射光线为轴,旋转P2,要使出射光的 光强
为零,P2最少要转过的角度是( )。
A : 30°
B : 45°
C : 60°
D : 90°
212 、 单选题
设向量组A:a1=(1,0,5,2),a2=(-2,1,-4,1),a3=(-1,1,t,3),a4=(-2,1,-4,
1)线性相关,则t必定等于( ).
A : 1
B : 2
C : 3
D : 任意数
213 、 单选题
在下面几种说法中,正确的说法是( )。
A : 波源不动时,波源的振动周期与波动的周期在数值上是不同的
B : 波源振动的速度与波速相同
C : 在波传播方向上的任一质点振动相位总是比波源的相位滞后
D : 在波传播方向上的任一质点的振动相位总是比波源的相位超前
214 、 单选题
A : 0.0058
B : 0.0116
C : 25
D : 20
215 、 单选题
根据热力学第二定律判断,以下结果正确的是( )。
A : 热量能从高温物体传到低温物体,但不能从低温物体传到高温物体
B : 功可以全部变为热,但热不能全部变为功
C : 气体能够自由膨胀,但不能自动收缩
D : 有规则运动的能量能够变为无规则运动的能量,但无规则运动的能量不能变为有规
则运动的能量216 、 单选题
在双缝干涉实验中,两缝间距为0.30mm,用单色光垂直照射双缝,在离缝1.20m的屏
上测得中央明纹两侧第五条暗纹间的距离为27.0mm,则所用单色光的颜色是( )。
A : 红光
B : 黄光
C : 绿光
D : 蓝光
217 、 单选题
A : ln(1+x)(-1<x<1)
B : -ln(1+x)(-1<x<1)
C : ln(x)(-1<x<1)
D : -ln(x)(-1<x<1)
218 、 单选题
A :
B :
C :
D :
219 、 单选题
若把牛顿环装置(都是用折射率为1.52的玻璃制成的)由空气中搬入折射率为1.33的水中,
则干涉条纹的变化情况是( )。
A : 中心暗斑变成亮斑
B : 变疏
C : 变密
D : 间距不变220 、 单选题
压强为p、体积为V的氦气(He,视为理想气体)的内能为( )。
A :
B :
C :
D : 3pV
221 、 单选题
一束光是自然光和线偏振光的混合光,让它垂直通过一偏振片,若以此入射光束为轴旋
转偏振片,测得透射光强度最大值是最小值的5倍,那么入射光束中自然光与线偏振光
的光强比值为( )。
A : 1:2
B : 1:5
C : 1:3
D : 2:3
222 、 单选题
A :
B :
C :
D :
223 、 单选题A : 传播方向相同,电场强度的振动方向互相垂直
B : 传播方向相同,电场强度的振动方向不互相垂直
C : 传播方向不同,电场强度的振动方向互相垂直
D : 传播方向不同,电场强度的振动方向不互相垂直
224 、 单选题
A :
B :
C :
D :
225 、 单选题
在波长为λ的驻波中,两个相邻的波腹之间的距离为( )。
A : λ/2
B : λ/4
C :
D : λ
226 、 单选题
一平面简谐波在弹性媒质中传播,在媒质质元从平衡位置处运动到最大位移处的过程中,
有关能量的变化是( )。
A : 它的动能转换为势能
B : 它的势能转换为动能C : 它从相邻的一段质元获得能量,其能量逐渐增大
D : 它把自己的能量传给相邻的一段质元,其能量逐渐减小
227 、 单选题
若把由折射率为1.52的玻璃制成的牛顿环装置由空气中搬入折射率为1.41的某媒质中,
则干涉条纹( )。
A : 中心暗斑变成亮斑
B : 变疏
C : 变密
D : 间距不变
228 、 单选题
一单色平行光垂直照射于一单缝上,若其第三级明纹位置恰好和波长600nm的单色光的
第二级明纹位置重合,则该单色光的波长为( )。
A : 900nm
B : 840nm
C : 429nm
D : 400nm
229 、 单选题
A : 对外做功和吸热都相同
B : 对外做功和吸热均不相同
C : 对外做功相同,但吸热不同
D : 对外做功不同,但吸热相同
230 、 单选题
A :
B :
C :
D :
231 、 单选题
波传播所经过的媒质中各质点的运动具有( )性质。
A : 相同的相位
B : 相同的振幅
C : 相同的机械能
D : 相同的频率
232 、 单选题
某种理想气体的总分子数为N,分子速率分布函数为f(v),则速度在v1~v2区间内的分子
数是( )。
A :
B :
C :
D :
233 、 单选题
A :
B :
C :
D :
234 、 单选题
一卡诺热机,低温热源温度为27℃,当热机效率为25%时,其高温热源温度为T1;若保
持低温热源温度不变,而将效率提高到35%,高温热源温度应增加ΔT。以下 各组结果正
确的是( )。
A : T1=400K,ΔT=62K
B : T1=36℃,ΔT=6℃
C : T1=225K,ΔT=30K
D : T1=100℃,ΔT=64℃
235 、 单选题
A : 可去间断点
B : 跳跃间断点
C : 第二类间断点
D : 连续点
236 、 单选题
一横波沿一根弦传播,其方程为y=-0.02cosπ(4x-50t)(SI),该波的振幅与波长分别为( )。
A : 0.02cm,0.5cm
B : -0.02m,-0.5m
C : -0.02m,0.5m
D : 0.02m,0.5m
237 、 单选题
A :
B :
C :
D :
238 、 单选题
按照麦克斯韦分子速率分布定律,具有最可几速率的分子,其动能为( )kT。
A : 1/2
B : 1
C : 3/2
D : 2
239 、 单选题
理想气体在等容条件下温度从300K起缓慢地上升,直至其分子的方均根速率增至原来
的2倍,则气体的最终温度为( )K。
A : 300
B : 381
C : 600
D : 1200
240 、 单选题
A :
B :
C :
D :
241 、 单选题
把一根非常长的绳子拉成水平,用手握其一端。维持拉力恒定,使绳端在垂直于绳子的
方向上作简谐振动,则下列叙述中正确的是( )。
A : 振动频率越高,波长越长
B : 振动频率越低,波长越长C : 振动频率越高,波速越大
D : 振动频率越低,波速越大
242 、 单选题
波沿一种介质进入另一种介质时,其传播速度、频率、波长( )。
A : 都不发生变化
B : 速度和频率变、波长不变
C : 都发生变化
D : 速度和波长变化而频率不变
243 、 单选题
在光学各向异性晶体内部有一确定的方向,沿这一方向寻常光和非常光的速率相同,这
一方向称为晶体的( )。
A : 主截面
B : 偏振化方向
C : 法线方向
D : 光轴
244 、 单选题
A : 凸起,且高度为λ/4
B : 凸起,且高度为λ/2
C : 凹陷,且深度为λ/2
D : 凹陷,且深度为λ/4
245 、 单选题A : 74.4
B : 78.1
C : 148.8
D : 156.3
246 、 单选题
若a,6是方程f(x)=0的两个相异的实根,f(x)在[a,b]上连续,且在(a,b)内可导,则方
程f´(x)=0在(a,b)内( ).
A : 只有一个根
B : 至少有一个根
C : 没有根
D : 以上结论都不对
247 、 单选题
A : 2∶3∶6
B : 3∶2∶1
C :
D : 1∶4∶9
248 、 单选题
一摩尔的理想气体,完成了由两个等体过程和两个等压过程构成的正循环过程,若循环
过程的净热为Q,循环过程的净功为W,则( )。
A : Q>0,W>0
B : Q>0,W<0
C : Q<0,W>0
D : Q<0,W<0249 、 单选题
已知某理想气体的压强为p,体积为V,温度为T,气体的摩尔质量为M,k为玻耳兹曼常
量,R为摩尔气体常量,则该理想气体的密度为( )。
A : M/V
B : pM/(RT)
C : pM/(kT)
D : p/(RT)
250 、 单选题
A : 气体内能增加的是等压过程,气体内能减少的是等温过程
B : 气体内能增加的是绝热过程,气体内能减少的是等压过程
C : 气体内能增加的是等压过程,气体内能减少的是绝热过程
D : 气体内能增加的是绝热过程,气体内能减少的是等温过程
251 、 单选题
A : 3条
B : 4条
C : 5条
D : 7条
252 、 单选题
A : 2000
B : 1500
C : 1000
D : 800
E : 500253 、 单选题
在双缝干涉实验中,当入射单色光的波长减小时,屏幕上干涉条纹的变化情况是( )。
A : 条纹变密并远离屏幕中心
B : 条纹变密并靠近屏幕中心
C : 条纹变宽并远离屏幕中心
D : 条纹变宽并靠近屏幕中心
254 、 单选题
两瓶不同种类的理想气体,它们的温度和压强都相同,但体积不同,则单位体积内的气
体分子的总平均动能(EK/V),单位体积内的气体分子数n,单位体积内的气体质量ρ分别有
( )。
A : (EK/V)不同,n不同,ρ不同
B : (EK/V)不同,n不同,ρ相同
C : (EK/V)相同,n相同,ρ不同
D : (EK/V)相同,n相同,ρ相同
255 、 单选题
在驻波中,两个相邻波节间各质点的振动( )。
A : 振幅相同,相位相同
B : 振幅不同,相位相同
C : 振幅相同,相位不同
D : 振幅不同,相位不同
256 、 单选题
A : 2x-8y+16z-2=0
B : 2x+8y+16z-2=0
C : 2x-8y+161=0
D : 2x+8y+16z-1=0
257 、 单选题
已知D(x)=9,D(Y)=4,ρ(x,Y)=1/2,则D(X-Y)等于( ).
A : 13
B : 5
C : 7
D : 10258 、 单选题
一束平行光垂直入射到某个光栅上,该光束有两种波长的光,λ1=440nm,λ2=660nm。
实验发现,两种波长的谱线(不计中央明纹)第二次重合于衍射角φ=60°的方向上 ,则此
光栅的光栅常数是( )。
A :
B :
C :
D :
259 、 单选题
在双缝干涉实验中,用透明的云母片遮住上面的一条缝,则( )。
A : 干涉图样不变
B : 干涉图样下移
C : 干涉图样上移
D : 不产生干涉条纹
260 、 单选题
氦气、氮气、水蒸气(均视为刚性分子理想气体)三者的摩尔数相同,初始状态相同,若
使它们在体积不变的情况下吸收相等的热量,则应有( )。
A : 它们的温度升高相同,压强增加相同
B : 它们的温度升高相同,压强增加不相同
C : 它们的温度升高不相同,压强增加不相同
D : 它们的温度升高不相同,压强增加相同
261 、 单选题
A : 4/3π
B : 8/3π
C : 16/3π
D : 32/3π262 、 单选题
A : -1/6
B : 1/6
C : -1/3
D : 1/3
263 、 单选题
在麦克斯韦速率分布律中,速率分布函数f(v)的物理意义可理解为( )。
A : 具有速率v的分子占总分子数的百分比
B : 速率分布在v附近的单位速率区间中的分子数占总分子数的百分比
C : 具有速率v的分子数
D : 速率分布在v附近的单位速率区间中的分子数
264 、 单选题
在单缝夫琅禾费衍射实验中,波长为λ的单色光垂直入射到宽度为a=4λ的单缝上,对应
于衍射角为30°的方向,单缝处波阵面可分成的半波带数目为( )个。
A : 2
B : 4
C : 6
D : 8
265 、 单选题
平面简谐波的波动方程为y=Acos2π(vt-x/λ),在1/v时刻,x1=7λ/8与x2=3λ/8二点处
介质质点速度之比是( )。
A : 1
B : 1/3
C : 1
D : 3
266 、 单选题
正在报警的警钟,每隔0.5s响一声,一声接一声地响着。有一个人在以60km/h的速度向
警钟所在地接近的火车中,若声速为u=340m/s,则这个人每分钟听到的响声为( )响。
A : 63
B : 100
C : 126
D : 168267 、 单选题
A : 3
B : 2
C : 1
D : 0
268 、 单选题
过点(0,2,4)且与两平面x+2z=1和y-3z=2平行的直线方程是( ).
A : x/0=(y-2)/1=(z-4)/(-3)
B : x/1=(y-2)/0=(z-4)/2
C : x/(-2)=(y-2)/(-3)=(z-4)/1
D : x/(-2)=(y-2)/3=(z-4)/1
269 、 单选题
有两频率不同的声波在空气中传播,已知频率f1=500Hz的声波在其传播方向相距为L的
两点的振动相位差为π,那么频率f2=1000Hz的声波在其传播方向相距为L/2的两点的相
位差为( )。
A : π/2
B : π
C : 3π/4
D : 3π/2
270 、 单选题
一平面简谐波以μ的速率沿x轴正向传播,角频率为ω,那么,距原点x处(x>0)质点的振
动相位总是比原点处质点的振动相位( )。
A : 滞后ωx/μ
B : 滞后x/μ
C : 超前ωx/μ
D : 超前x/μ
271 、 单选题
盒子中装有12支铅笔,其中一半是国产的,另一半是进口的.现从盒子中随机地抽取2支
笔,则它们都是国产笔的概率等于( ).
A : 15/66
B : 18/66
C : 18/72
D : 15/72272 、 单选题
A : λ/(2L)
B : λ
C : 2λ/L
D : λ/(4L)
273 、 单选题
A : -1600
B : -1200
C : -900
D : -700
274 、 单选题
A : 取得极大值f(xo)
B : 取得极小值f(xo)
C : 未取得极值
D : 是否极值无法判定275 、 单选题
A : 2,3,4,..
B : 2,5,8,..
C : 3,6
D : 3,6,9,..
276 、 单选题
A : -1200J
B : -700J
C : -400J
D : 700J
277 、 单选题
有一玻璃劈尖,置于空气中,劈尖角为θ,用波长为λ的单色光垂直照射时,测得相邻明
纹间距为l,若玻璃的折射率为n,则θ,λ,l与n之间的关系为( )。
A :
B :
C :
D :
278 、 单选题
一束平行的自然光从空气(取折射率n1=1)以60°入射角投射到折射率为n2的平板玻璃表
面上,若反射光是完全偏振光,则下列结果中正确的是( )。
A : 折射光也是完全偏振光
B : 折射光是垂直入射面的光振动较强的部分偏振光
C : 折射光的折射角i´=35°
D :
279 、 单选题
关于机械波波速的以下几种说法中,正确的是( )。
A : 波速与频率和波长有关
B : 波速与媒质的密度和媒质的弹性模量有关
C : 波速与振源的周期有关
D : 波速与振源处质点的振动速度相等
280 、 单选题
一平面通过点(4,-3,1)且在x,y,z轴上的截距相等,则此平面方程是( ).
A : x+y+z+2=0
B : x+y-z+2=0
C : x-y+z+2=0
D : x+y+z-2=0
281 、 单选题
一束波长为λ的单色光由空气垂直入射到折射率为n的透明薄膜上,透明薄膜放在空气中,
要使反射光得到干涉加强,则薄膜最小的厚度为( )。
A : λ/4
B : λ/4n
C : λ/2
D : λ/2n
282 、 单选题
若用衍射光栅准确测定一单色可见光的波长,在下列各种光栅常数的光栅中,选用哪一
种最好?( )
A :
B :
C :
D :
283 、 单选题
真空中波长为λ的单色光,在折射率为n的均匀透明媒质中,从A点沿某一路径传播到B点,
路径的长度为l。如将A、B两点光振动位相差记为△φ,则以下各组结果中正确 的是( )。
A : l=3λ/2,△φ=3π
B : l=3λ/(2n),△φ=3nπ
C : l=3λ/(2n),△φ=3π
D : l=3nλ/2,△φ=3nπ
284 、 单选题
关于热功转换和热量传递过程,有下面一些叙述:(1)功可以完全变为热量,而热量不能
完全变为功;(2)一切热机的效率都不可能等于1;(3)热量不能从低温物体向高温物体传
递;(4)热量从高温物体向低温物体传递是不可逆的。以上这些叙述,只有( )是正确的。
A : 只有(2)、(4)正确
B : 只有(2)、(3)、(4)正确
C : 只有(1)、(3)、(4)正确
D : 全部正确
285 、 单选题
在光栅光谱中,假如所有偶数级次的主极大都恰好在每缝衍射的暗纹方向上,因而实际
上不出现,那么此光栅每个透光缝宽度a和相邻两缝间不透光部分宽度b的关系为( )。
A : a=b
B : a=2b
C : a=3b
D : b=2a
286 、 单选题
A :
B :
C :
287 、 单选题
A :
B :
C :
D :
288 、 单选题
设X1,…,Xn是取自总体X的容量为n的样本,总体均值E(X)=μ未知,μ的无偏估计是( ).
A :
B :
C : X1+Xn
D :
289 、 单选题
A :
B : 1/2
C : 1
D :
290 、 单选题
一定量的理想气体向真空作绝热自由膨胀,体积由V1增至V2,在此过程中气体的( )。
A : 内能不变,熵减少
B : 内能不变,熵增加
C : 内能不变,熵不变
D : 内能增加,熵不变
291 、 单选题
一束圆偏振光通过二分之一波片后透出的光是( )。
A : 线偏振光
B : 部分偏振光
C : 和原来旋转方向相同的圆偏振光
D : 和原来旋转方向相反的圆偏振光
292 、 单选题
A : 等温过程
B : 等压过程
C : 等容过程
D : 绝热过程
293 、 单选题
对于常温下的双原子分子理想气体,在等压膨胀过程中,系统对外所做的功与从外界吸
收的热量之比应等于( )。
A : 7/2
B : 5/2
C : 2/5
D : 2/7
294 、 单选题
一平面简谐波沿x轴正向传播,已知P点(xp=L)的振动方程为y=Acos(ωt+φ0),则波动方程为( )。
A :
B :
C : y=Acos[t-(x/u)]
D :
295 、 单选题
在单缝夫琅禾费衍射实验中,若单缝两端处的光线到达屏幕上某点的光程差为δ=2.5λ(λ
为入射单色光的波长),则此衍射方向上的波阵面可划分的半波带数量和屏上该点的衍射
条纹情况是( )。
A : 4个半波带,明纹
B : 4个半波带,暗纹
C : 5个半波带,明纹
D : 5个半波带,暗纹
296 、 单选题
已知4元非齐次线性方程组Ax=b的系数矩阵的秩等于3,且η1,η2,η3是3个不同的解向
量,则通解是( ).
A : x=k1(η-η2)+η3
B : x=k1η1+k2η2+η3
C : x=k1η1+k2η2+k3η3
D : x=k1(η+η2)+η3
297 、 单选题
光波的衍射现象没有声波显著,这是由于( )。
A : 光可见而声可听
B : 光速比声速大
C : 光有颜色
D : 光波波长比声波波长小
298 、 单选题A : |A|=110J,Q=-500J
B : |A|=500J,Q=110J
C : |A|=610J,Q=-500J
D : |A|=110J,Q=0
299 、 单选题
单色光通过两个偏振化方向正交的偏振片。在两偏振片之间放入一双折射晶片,在下述
两种情形中,关于能否观察到干涉花样的说法正确的是( )。(1)晶片的主截面与第一偏振
片的偏振化方向平行;(2)晶片的主截面与第一偏振片的偏振化方向垂直。
A : (1)能,(2)不能
B : (1)不能,(2)能
C : (1)(2)都能
D : (1)(2)都不能
300 、 单选题
A : l=3λ/2,△φ=3π
B : l=3λ/(2n),△φ=3nπ
C : l=3λ/(2n),△φ=3π
D : l=3nλ/2,△φ=3nπ
301 、 单选题
A :
B :
C :
D :
302 、 单选题
A : 1:1
B : 1:4
C : 4:1
D : 1:16
E : 16:1
303 、 单选题
A : 1
B : 4/3
C : 5/3
D : 5/2
304 、 单选题A :
B :
C :
D :
305 、 单选题
在迈克耳逊干涉仪的一条光路中插入一块折射率为n,厚度为d的透明薄片,插入这块薄
片使这条光路的光程改变( )。
A : (n-1)d
B : 2(n-1)d
C : nd
D : 2nd
306 、 单选题
A :
B :
C :
D :
307 、 单选题
A : O´,b,d,f
B : a,c,e,g
C : O´,d
D : b,f
308 、 单选题
A :
B : 末态温度T2=41K
C :
D :
309 、 单选题A : (x-3)/9=(y-1)/1=(z-1)/1
B : (x-3)/9=(y-1)/1=(z-1)/(-1)
C : (x-3)/9=(y-1)/(-1)=(z-1)/1
D : (x-3)/(-9)=(y-1)/1=(z-1)/1
310 、 单选题
A :
B :
C :
D :
311 、 单选题
如果两个偏振片堆叠在一起,且偏振化方向之间夹角为30°,假设二者对光无吸收,光
强为I0的自然光垂直入射在偏振片上,则出射光强为( )。
A : I0/2
B : 3I0/2
C : 3I0/4
D : 3I0/8
312 、 单选题
在驻波中,两个相邻波节之间各质点的振动振幅及相位关系为( )。
A : 振幅相同,相位相同
B : 振幅不同,相位相同
C : 振幅相同,相位不同
D : 振幅不同,相位不同
313 、 单选题
一警车以vS=25m/s的速度在静止的空气中追赶一辆速度vB=15m/s的客车,若警车上
警笛的频率为800Hz,空气中声速u=330m/s,则客车上人听到的警笛声波的频率是(
)Hz。
A : 710
B : 777C : 905
D : 826
314 、 单选题
波长为λ的驻波中,相邻波节之间的距离为( )。
A : λ/4
B : λ/2
C : 3λ/4
D : λ
315 、 单选题
波传播所经过的介质中,各质点的振动具有( )。
A : 相同的相位
B : 相同的振幅
C : 相同的频率
D : 相同的机械能
316 、 单选题
汽车两前灯相距约1.2m,夜间人眼瞳孔直径为5mm,车灯发出波长为0.5μm的光,则人
眼夜间能区分两上车灯的最大距离为( )km。
A : 2
B : 4
C : 5
D : 10
317 、 单选题
设随机变量X与Y相互独立.已知X服从区间(1,5)上的均匀分布,Y服从参数λ=5的指数分
布,则D(3X-5Y)等于( ).
A : 5
B : 9
C : 10
D : 13
318 、 单选题A : 不连续,不可导
B : 连续,可导
C : 连续,不可导
D : 可导,不连续
319 、 单选题
一人在地面上手持发音体垂直向一高墙以5m/s的速度运动,发音体的频率为1500Hz,
空气中的声速为340m/s,人接收到的经高墙反射回来的频率是( )。
A : 1544Hz
B : 1522Hz
C : 1457Hz
D : 87Hz
320 、 单选题
设函数f(x,y)在点(0,0)的某邻域内有定义,且fx(0,0)=3,fy(0,0)=-1,则有( ).
A :
B : 曲面z=f(x,y)在点(0,0,f(0,0))的一个法向量为3i-j+k
C :
D :
321 、 单选题
A : 3
B : e
C : 1
D : ∞
322 、 单选题
在杨氏双缝实验中,若用白光作光源,则干涉条纹的情况为( )。
A : 中央明纹是白色的
B : 红光条纹较密
C : 紫光条纹间距较大
D : 干涉条纹为白色323 、 单选题
A : 0.4
B : 0.6
C : 0.8
D : 1
324 、 单选题
A :
B : (0,0)
C :
D :
325 、 单选题
下列关于可逆过程的判断正确的是( )。
A : 可逆热力学过程一定是准静态过程
B : 准静态过程一定是可逆过程
C : 非准静态过程可能是可逆过程
D : 凡无摩擦的过程,一定是可逆过程
326 、 单选题
A : 2
B :
C : 4
D :
327 、 单选题
若光从某种透明媒质射向该媒质与空气的交界面时,其全反射临界角等于45°,赠光从
空气射向此媒质时的布儒斯特角是( )。
A : 35.3°
B : 45°
C : 54.7°
D : 57.3°
328 、 单选题
在双缝干涉实验中,若在两缝后(靠近屏一侧)各覆盖一块厚度均为d,但折射率分别为n1
和n2(n2>n1)的透明薄片,从两缝发出的光在原来中央明纹处相遇时,光程差为( )。
A : d(n2-n1)
B : 2d(n2-n1)
C : d(n2-1)
D : d(n1-1)
329 、 单选题
在波长为A的驻波中两个相邻波节之间的距离为( )。
A :
B : A/2
C : 3A/4
D : A/4
330 、 单选题
设声波在媒质中的传播速度为u,声源的频率为υS。若声源S不动,而接收器R相对于媒
质以速度vR沿着S、R连线向着声源S运动,则位于S、R连线中点的质点P的振动频率为() 。
A : υS
B :
C :
D :
331 、 单选题
A : 10.1
B : 13.9
C : 50.4
D : 100.7
332 、 单选题
A : a=1,b=0
B : a=0,b=1
C : a=2,b=-1
D : a=-1,b=2
333 、 单选题
A : 18
B : -6
C : -18
D : -9
334 、 单选题
根据惠更斯—菲涅耳原理,若已知光在某时刻的波阵面为S,则S的前方某点P的光强度
决定于波阵面S上所在面积元发出的子波各自传到P点的( )。
A : 振动振幅之和
B : 光强之和
C : 振动振幅之和的平方
D : 振动的相干叠加
335 、 单选题A : 振幅A=1.2m
B : 频率v=500Hz
C : 波长λ=2.86m
D : 波速u=1427m/s
336 、 单选题
A : 2/3
B : 4/3
C : 2
D : 8/3
337 、 单选题
A :
B :
C :
D :
338 、 单选题A : 3
B : 5
C : 7
D : 9
339 、 单选题
A : 4a
B : 6a
C : 8a
D : 10a
340 、 单选题
在单缝的夫琅和费衍射实验中,若将缝宽缩小一半,原来第三级暗纹处将是( )。
A : 第一级明纹
B : 第一级暗纹
C : 第二级明纹
D : 第二级暗纹
341 、 单选题
测量单色光的波长时,下列方法最为准确的是( )。
A : 双缝干涉
B : 牛顿环
C : 单缝衍射
D : 光栅衍射
342 、 单选题
理想气体的压强公式是( )。
A :
B :
C :
D :
343 、 单选题
A : 等温过程
B : 等压过程
C : 等容过程
D : 多方过程
344 、 单选题
下列关于可逆过程和不可逆过程的说法正确的是( )。(1)可逆过程一定是平衡过程;(2)平
衡过程一定是可逆过程;(3)不可逆过程一定找不到另一过程使系统和外界同时复原;(4)
非平衡过程一定是不可逆过程。
A : (1)(2)(3)
B : (2)(3)(4)
C : (1)(3)(4)
D : (1)(2)(3)(4)
345 、 单选题
A : 0
B : π/2
C : π
D : 3π/2
346 、 单选题
一束自然光和线偏振光组成混合光,垂直通过一偏振片,以此入射光束为轴旋转偏振片,
测得透射光强度的最大值是最小值的5倍,则入射光束中自然光与线偏振光的强度之比
最接近( )。
A : 1/5
B : 1/3
C : 1/2
D : 2/3347 、 单选题
一卡诺致冷机在工作时,低温热源温度为-10℃,高温热源温度为11℃。若在一次循环
中,外界对系统做功1000J,则系统从低温热源吸收的热量应为( )。
A : -476J
B : 524J
C :
D :
348 、 单选题
A : 两个热机的效率一定相等
B : 两个热机从高温热源所吸收的热量一定相等
C : 两个热机向低温热源所放出的热量一定相等
D : 两个热机吸收的热量与放出的热量(绝对值)的差值一定相等
349 、 单选题
若在迈克耳孙干涉仪的可动反射镜移动0.620mm过程中,观察到干涉条纹移动了2300条,
则所用光波的波长是( )。
A : 140.3nm
B : 185.4nm
C : 539.1nm
D : 713.0nm
350 、 单选题A : Y2=Acos[2πt-π/2]
B : Y2=Acos[2πt-π]
C : Y2=Acos[2πt+π/2]
D : Y2=2Acos[2πt-0.1π]
351 、 单选题
A : 3/7π
B : 4/7π
C : π/2
D : π
352 、 单选题
在单缝夫琅禾费衍射实验中,屏上第三级明纹对应的缝间的波阵面,可划分为半波带的
数目为( )个。
A : 5
B : 6
C : 7
D : 8
353 、 单选题
A :
B :
C :
D :
354 、 单选题
设有直线L1:(x-1)/(-2)=(y+1)/2=z+2和L2:x=(y-2)/(-4)=z-1,则L1和L2的夹角φ是( )
A : π/6
B : π/4
C : π/3
D : π/2
355 、 单选题
设A,B,C是三个事件,则AB+BC+CA表示( ).
A : 三个事件中恰有两个事件发生
B : 三个事件中至多有两个事件发生
C : 三个事件中至少有两个事件发生
D : 三个事件全发生
356 、 单选题
一个物质系统从外界吸收一定的热量,则内能变化为( )。
A : 系统的内能一定增加
B : 系统的内能一定减少
C : 系统的内能一定保持不变
D : 系统的内能可能增加,也可能减少或保持不变
357 、 单选题
一平面谐波以u的速率沿x轴正向传播,角频率为ω,那么,距原点x处(x>0)质点的振动
相位与原点处质点的振动相位相比,具有的关系是( )。
A : 滞后ωx/u
B : 滞后x/u
C : 超前ωx/u
D : 超前x/u
6 、 单选题
A : 向右平移
B : 静止不动
C : 向外扩张
D : 向中心收缩
7 、 单选题
A : 净功增大,效率提高
B : 净功增大,效率降低
C : 净功和效率都不变
D : 净功增大,效率不变8 、 单选题
A : 3
B : 7
C : 10
D : 70
9 、 单选题
一束自然光从空气投射到玻璃板表面上,当折射角为30°时,反射光为完全偏振光,则
此玻璃的折射率为( )。
A :
B : 1/2
C :
D :
10 、 单选题
A : 2
B : 4
C : 8
D : 16
11 、 单选题A : 高阶无穷小
B : 低阶无穷小
C : 同阶且非等价的无穷小
D : 等价无穷小
12 、 单选题
A :
B :
C :
D :
13 、 单选题
一平面简谱横波的波动表达式为y=0.05cos(20πt+4πx)(SI),取k=0,±1,±2,…。
则t=0.5s时各波峰所在处的位置为( )。
A :
B :
C :
D :
14 、 单选题
波长为λ的x射线,投射到晶格常数为d的晶体上。取k=1,2,3,…,出现x射线衍射加
强的衍射角θ(衍射的x射线与晶面的夹角),满足的公式为( )。
A : 2dsinθ=kλ
B : dsinθ=kλ
C : 2dcosθ=kλD : dcosθ=kλ
15 、 单选题
一单色平行光束垂直照射在宽度为1.0mm的单缝上,在缝后放一焦距为2.0m的会聚透镜。
已知位于透镜焦平面处的屏幕上的中央明条纹宽度为2.0mm,则入射光波长约为( )nm。
A : 400
B : 500
C : 600
D : 1000
16 、 单选题
A :
B :
C :
D :
17 、 单选题
A : 1/4
B : 1/5
C : 1
D : ∞
18 、 单选题
A : 1:2:4
B : 4:2:1
C : 1:4:16D : 1:4:8
19 、 单选题
沿着相反方向传播的两列相干波,其波动方程分别为y1=Acos2π(vt-x/λ)和y2
=Acos2π(vt+x/λ),在叠加后形成的驻波中,各处的振幅是( )。
A :
B : 2A
C : 2Acos(2πx/λ)
D : ∣2Acos(2πx/λ)∣
20 、 单选题
火车以25m/s的速率沿直线行驶,其汽笛声的频率为500Hzo设空气中的声速为340m
/s。一个人站立在铁轨旁,当火车从他身边驶过时,他听到汽笛声的频率变化是( )。
A : 540Hz
B : 466Hz
C : 432Hz
D : 74Hz
21 、 单选题
A : 1/8
B : 3/8
C : 5/8
D : 7/8
22 、 单选题
A :
B :
C :
D :
23 、 单选题
A : 10.7m
B : 7.21m
C : 0.139m
D : 0.093m
24 、 单选题
在标准状态下,若氧气(视为刚性双原子分子)和氦气的体积之比V1/V2=1/2,则其内能
之比E1/E2为( )。
A : 3/10
B : 1/2
C : 5/6
D : 5/3
25 、 单选题
一束光垂直入射到偏振片P上,以入射光线为轴转动P,观察通过P的光强的变化情况。
以下结论全部正确的是( )。
A : 若光强明暗交替变化且有时出现全暗,则入射光可能是椭圆偏振光或线偏振光
B : 若光强明暗交替变化但不出现全暗,则入射光可能是圆偏振光或部分偏振光
C : 若光强不变,则入射光一定是自然光
D : 若光强不变,则不能准确判断入射光的偏振性质
26 、 单选题
在单缝夫琅和费衍射实验中,若增大缝宽,其他条件不变,则中央明条纹( )。
A : 宽度变小
B : 宽度变大
C : 宽度不变,且中心强度也不变
D : 宽度不变,但中心强度增大
27 、 单选题
若f(v)为麦克斯韦气体分子速率分布函数,则速率在v1至v2区间内的分子的平均速率应
为( )。A :
B :
C :
D :
28 、 单选题
A :
B :
C :
D :
29 、 单选题
若迈克耳逊干涉仪的反射镜M2平移距离为0.3220mm时,测得某单色光的干涉条纹移
过1024条,则该单色光的波长为( )m。
A :
B :
C :
D :
30 、 单选题
用单色光垂直照射在牛顿环实验装置上,当上方的平凸透镜垂直向上缓慢平移而远离下
方的平面玻璃时,可以观察到环状干涉条纹变化情况是( )。
A : 只作横向平移
B : 向中心收缩
C : 向外扩张
D : 静止不动
31 、 单选题
A :
B :
C :
D :
32 、 单选题
有一截面均匀的封闭圆筒,中间被一光滑的活塞分隔成两边,如果其中的一边装有0.1kg
某一温度的氢气,为了使活塞停留在圆筒的正中央,则另一边应装入同一温度的氧气质
量为( )kg。
A : 0.4
B : 0.8
C : 1.6
D : 3.2
33 、 单选题A :
B : 0
C :
D :
34 、 单选题
一容器内储有某种理想气体,如果容器漏气,则容器内气体分子的平均平动动能和气体
内能的变化情况是( )。
A : 分子的平均平动动能和气体的内能都减少
B : 分子的平均平动动能不变,但气体的内能减少
C : 分子的平均平动动能减少,但气体的内能不变
D : 分子的平均平动动能和气体的内能都不变
35 、 单选题
A :
B :
C :
D :
36 、 单选题
A :
B :
C :
D :
37 、 单选题
A :
B :
C :
D :
38 、 单选题
A :
B :
C :
D :
39 、 单选题
某理想气体在进行卡诺循环时,低温热源的温度为T,高温热源的温度为nT。则该理想
气体在一个循环中从高温热源吸收的热量与向低温热源放出的热量之比为( )。A : (n+1)/n
B : (n-1)/n
C : n
D : n-1
40 、 单选题
A :
B :
C :
D :
41 、 单选题
1mol的单原子分子理想气体从状态A变为状态B,气体未知,变化过程也未知,但A、B
两态的压强、体积和温度都知道,则可求出( )。
A : 气体所作的功
B : 气体内能的变化
C : 气体传给外界的热量
D : 气体的质量
42 、 单选题
一衍射光栅对某一定波长的垂直入射光,在屏幕上只能出现零级和一级主极大,欲使屏
幕上出现更高级次的主极大,应该( )。
A : 换一个光栅常数较小的光栅
B : 换一个光栅常数较大的光栅
C : 将光栅向靠近屏幕的方向移动
D : 将光栅向远离屏幕的方向移动
43 、 单选题
A : 1:1B : 2:3
C : 4:5
D : 6:5
44 、 单选题
A :
B :
C :
D : 3pV
45 、 单选题
A :
B :
C :
D :
46 、 单选题
A :
B :
C :
D :
47 、 单选题
对于机械波而言,下面说法正确的是( )。
A : 质元处于平衡位置时,其动能最大,势能为零
B : 质元处于平衡位置时,其动能为零,势能最大
C : 质元处于波谷处时,其动能为零,势能最大
D : 质元处于波峰处时,其动能势能均为零
48 、 单选题
A : 0.5
B : 1.0
C : 1.5
D : 2.0
49 、 单选题
一定量的理想气体,开始时处于压强、体积、温度分别为P1,V1,T1的平衡态,后来变
到压强、体积、温度分别为P2,V2、T2的终态,若已知V2>V1,且T1=T2,则以下各种
说法 中正确的是( )。
A : 不论经历的是什么过程,气体对外净做的功一定为正值
B : 不论经历的是什么过程,气体从环境净吸的热一定为正值
C : 若气体从始态变到终态经历的是等温过程,则气体吸收的热量最少
D : 如果不给定气体所经历的是什么过程,则气体在过程中对外净做的功和从外界净吸
热的正负皆无法判断
50 、 单选题
根据热力学第二定律判断,以下结果中正确的是( )。
A : 功可以全部转换为热,但热不能全部转换为功
B : 热可以从高温物体传到低温物体,但不能从低温物体传到高温物体
C : 不可逆过程就是不能向相反方向进行的过程
D : 一切自发过程都是不可逆的51 、 单选题
两台机床加工同样的零件,第一台机床出现次品的概率是0.04,第二台机床出现次品的
概率是0.02.现把加工后的零件放在一起,已知第一台机床的产品占25%,从这批零件中
任意取一个,则它是次品的概率等于( ).
A : 0.04
B : 0.02
C : 0.03
D : 0.025
52 、 单选题
A : rr1=kλ
B :
C :
D :
53 、 单选题
在波的传播方向上,有相距为3m的两质元,两者相位差为詈,若波的周期为4s,则此波
的波长和波速分别为( )。
A : 36m和6m/s
B : 36m和9m/s
C : 12m和6m/s
D : 12m和9m/s
54 、 单选题
已知齐次方程xy´´+y´=0有一个特解为lnx,则该方程的通解为( ).A :
B :
C : y=C(lnx+1)
D : y=C(lnx+x)
55 、 单选题
用检偏器观察某束光,如果环绕光的传播方向转动检偏器,透射光强也随之变化,则该
某束光为( )。
A : 非偏振光
B : 圆偏振光
C : 面偏振光
D : 椭圆偏振光
56 、 单选题
A :
B :
C :
D :
57 、 单选题
一定量某理想气体按“pV2=恒量”的规律膨胀,则理想气体在膨胀后的温度变化情况为
( )。
A : 将升高
B : 将降低
C : 不变
D : 升高还是降低,不能确定58 、 单选题
水蒸气分解成同温度的氢气和氧气,内能增加了( )。(不计振动自由度)
A : 0
B : 25%
C : 50%
D : 66.7%
59 、 单选题
A : d1=d0+λ,d2=d0+3λ
B : d1=d0-λ,d2=d0-3λ
C : d1=d0+λ/2,d2=d0+3λ/2
D : d1=d0-λ/2,d2=d0-3λ/2
60 、 单选题
直线L:(x-2)/1=(y-3)/2=(z-1)/1与平面Ⅱ:2x+y-4z=6的位置关系是( ).
A : L垂直于Ⅱ
B : L与Ⅱ相交,但不垂直
C : L与Ⅱ平行,且L不在Ⅱ上
D : L在Ⅱ上61 、 单选题
A : b1a过程放热,做负功;b2a过程放热,做负功
B : b1a过程吸热,做负功;b2a过程放热,做负功
C : b1a过程吸热,做正功;b2a过程吸热,做负功
D : b1a过程放热,做正功;b2a过程吸热,做正功
62 、 单选题
A : 1
B : 0
C : 2
D : a
63 、 单选题
设事件A,B满足P(A+B)=P(A)+P(B),则( ).
A : 与B互不相容
B : A与B相互独立
C : A与B相互对立
D : P(A-B)=P(A)
64 、 单选题
A :
B :
C :
D : 不确定的
65 、 单选题
过点(4,-1,3)且平行于直线L:(x-3)/2=y=(z-1)/5的直线方程为( ).
A : (x-4)/2=(y+1)/0=(z-3)/5
B : (x-4)/2=(y+1)/1=(z-3)/5
C : (x+4)/2=(y-1)/0=(z+3)/5
D : (x+4)/2=(y-1)/1=(z+3)/5
66 、 单选题
A : 方均根速率
B : 最可几速率
C : 算术平均速率
D : 速率和
67 、 单选题
一简谐波沿x轴正向传播,波的振幅为A,角频率为ω,波速为u。若以原点处的质元经平
衡位置正方向运动时作为计时的起点,则该波的波动方程是( )。
A : y=Acos[ω(t-x/u)+π/2]
B : y=Acos[ω(t-x/u)-π/2]
C : y=Acos[ω(t-x/u)+π]
D : y=Acos[ω(t-x/u)-π/3]
68 、 单选题
一平面简谐机械波在媒质中传播时,若一媒质质元在t时刻波的能量时10J,则在(t+T)(T
为波的周期)时刻该媒质质元的振动动能是( )。
A : 15J
B : 10J
C : SJ
D : 0
69 、 单选题
A : 1B :
C :
D :
70 、 单选题
A :
B :
C :
D :
71 、 单选题
A : 15%
B : 25%
C : 35%
D : 45%
72 、 单选题A :
B :
C :
D :
73 、 单选题
一平面简谱波在弹性媒质中传播时,某一时刻在传播方向上一质元恰好处在负的最大位
移处,则它的( )。
A : 动能为零,势能最大
B : 动能为零,势能为零
C : 动能最大,势能最大
D : 动能最大,势能为零
74 、 单选题
把一根十分长的绳子拉成水平,手握其一端,维持拉力恒定,使绳端在垂直于绳子的方
向上作简谐振动,则( )。
A : 振动频率越高,波长越长
B : 振动频率越低,波长越长
C : 振动频率越高,波速越大
D : 振动频率越低,波速越大
75 、 单选题
已知某理想气体的摩尔数为V,气体分子的自由度为i,k为玻耳兹曼常量,R为摩尔气体
常用量,当该气体从状态1(p1,V1,T1)到状态2(p2,V2,T2)的变化过程中,其内能的
变化为( )。
A :
B :
C :
D :
76 、 单选题
设向量组A:a1=(t,1,1),a2=(1,t,1),a3=(1,1,t)的秩为2,则t等于( ).
A : 1
B : -2
C : 1或-2
D : 任意数
77 、 单选题
一振幅为A,周期为T,波长λ的平面简谐波沿x轴负向传播,在x=λ/2处,t=T/4时,振动
相位为π,则此平面简谐波的波动方程为( )。
A :
B :
C :
D :
78 、 单选题
A : 0
B : 1
C : t
D : 不存在
79 、 单选题
A :
B :
C :
D :
80 、 单选题
若用一片透明的云母片将杨氏双缝装置中的上面一条缝盖住,则( )。
A : 干涉条纹不变
B : 干涉图样反差
C : 干涉条纹上移
D : 干涉条纹下移
81 、 单选题
过点(2,-3,1)且平行于向量a=(2,-1,3)和b=(-1,1,-2)的平面方程是( ).
A : -x+y+z-4=0
B : x-y-z-4=0
C : x+y+z=0
D : x+y-z+2=0
82 、 单选题
一束波长为λ的单色光分别在空气中和在玻璃中传播,则在相同的时间内( )。
A : 传播的路程相等,走过的光程相等
B : 传播的路程相等,走过的光程不相等
C : 传播的路程不相等,走过的光程相等
D : 传播的路程不相等,走过的光程不相等
83 、 单选题
两个相同的容器,一个装氦气,一个装氧气(视为刚性分子),开始时它们的温度和压强
都相同。现将9J的热量传给氦气,使之升高一定温度。若使氧气也升高同样的温度,则
应向氧气传递的热量是( )J。
A : 6
B : 9
C : 12
D : 1584 、 单选题
A : 3
B : 5
C : 7
D : 不能确定
85 、 单选题
A : 两个热机从高温热源所吸收的热量一定相等
B : 两个热机向低温热源所放出的热量一定相等
C : 两个热机吸收的热量与放出的热量(绝对值)的和值一定相等
D : 两个热机吸收的热量与放出的热量(绝对值)的差值一定相等
86 、 单选题
一简谐横波沿x轴正向传播,若x轴上P1和P2两点相距λ/8(其中λ为该波的波长),则在波
的传播过程中,这两点振动速度的关系为( )。
A : 方向总是相同
B : 方向总是相反
C : 方向有时相同,有时相反
D : 大小总是不相等
87 、 单选题
在双缝干涉实验中,为使屏上的干涉条纹间距变大,可以采用的办法是( )。
A : 使屏靠近双缝
B : 使两缝的间距变小C : 把两缝的宽度稍微调窄
D : 改用波长较小的单色光源
88 、 单选题
A : 0
B : 1/e
C : 1
D : e
89 、 单选题
A : 7.2
B : 7.9
C : 8.3
D : 8.5
90 、 单选题
A : 是自然光
B : 是完全偏振光且光矢量的振动方向垂直于入射面
C : 是完全偏振光且光矢量的振动方向平行于入射面
D : 是部分偏振光
91 、 单选题
一平面简谐波在弹性介质中传播,在介质质元从平衡位置向最大位移处的过程中( )。
A : 它的势能转换成动能
B : 它的动能转换成势能
C : 它从相邻的一段介质质元获得能量,其能量逐渐增加D : 它把自己的能量传给相邻的一段介质质元,其能量逐渐减小
92 、 单选题
A : 0
B : 1
C : 3
D : 2
93 、 单选题
A :
B :
C :
D :
94 、 单选题
理想气体向真空作绝热膨胀,膨胀后系统的变化为( )。
A : 系统温度不变,压强减小
B : 系统温度降低,压强减小
C : 系统温度升高,压强减小
D : 系统温度不变,压强不变
95 、 单选题
设y=f(x)是微分方程y´´-2y´+4y=0的一个解,又f(xo)>0,f´(xo)=0,则函数f(x)在点xo(
).
A : 取得极大值
B : 取得极小值
C : 的某个邻域内单调增加
D : 的某个邻域内单调减少96 、 单选题
同一种气体的定压摩尔热容大于定容摩尔热容,其原因是( )。
A : 气体压强不同
B : 气体温度变化不同
C : 气体膨胀需要做功
D : 气体质量不同
97 、 单选题
在真空中波长为λ的单色光,在折射率为n的透明介质中从A沿某路径传播到B,若A、B
两点相位差为3π,则此路径AB的光程为( )。
A : 1.5λ
B : 1.5nλ
C : 3λ
D : 1.5λ/n
98 、 单选题
A :
B :
C :
D :
99 、 单选题
在一密闭容器中,储有A、B、C三种理想气体,处于平衡状态。A种气体的分子数密度
为n1,它产生的压强为p1,B种气体的分子数密度为2n1,C种气体的分子数密度为3n1,
则混合气体的压强p为( )。
A : 4p1
B : 5p1
C : 6p1
D : 7p1100 、 单选题
某位足球运动员罚球命中率为0.9,假定各次罚球是否命中是相互独立的,则他五次罚球
至少中4次的概率等于( ).
A :
B :
C :
D :
101 、 单选题
A : 3π
B : 4π
C : 5π
D : 14/3π
102 、 单选题
在一封闭容器中盛有1mol氦气,并认为它是理想气体,这时分子无规则运动的平均自由
程仅决定于( )。
A : 压强p
B : 体积V
C : 温度T
D : 平均碰撞频率Z
103 、 单选题
“理想气体和单一热源接触做等温膨胀时,吸收的热量全部用来对外做功。”对此说法,
有如下几种讨论,正确的是( )。
A : 不违反热力学第一定律,但违反热力学第二定律
B : 不违反热力学第二定律,但违反热力学第一定律
C : 不违反热力学第一定律,也不违反热力学第二定律
D : 违反热力学第一定律,也违反热力学第二定律104 、 单选题
A : 气体对外做正功,向外界放出热量
B : 气体对外做正功,从外界吸热
C : 气体对外做负功,向外界放出热量
D : 气体对外做负功,从外界吸热
105 、 单选题
A : 间隔变大,向下移动
B : 间隔变小,向上移动
C : 间隔不变,向下移动
D : 间隔不变,向上移动
106 、 单选题
机械波波动方程为y=0.03cos6π(t+0.01x),则( )。
A : 其振幅为0.03mB : 其周期为1/6s
C : 其波速为10m/s
D : 波沿x轴正向传播
107 、 单选题
一容器被一铜片分成两部分,一边是80℃的水,另一边是20℃的水,经过一段时间后,
从热的一边向冷的一边传递了1000卡的热量,设水足够多,增减1000卡的热量温度没有
明显的变化,则在这个过程中熵变为( )J/K。
A : 2.4
B : 14.5
C : 25
D : 104.75
108 、 单选题
在双缝干涉实验中,单色自然光垂直入射到双缝上,在屏上形成干涉条纹。若在双缝与
屏之间放一个偏振片使由两缝出射的光线均通过此片,则屏上的情况是( )。
A : 干涉条纹的间距不变,但明纹的亮度加强
B : 干涉条纹的间距不变,但明纹的亮度减弱
C : 干涉条纹的间距变窄,且明纹的亮度减弱
D : 无干涉条纹
109 、 单选题
某单色光垂直入射到一个每一毫米有800条刻痕线的光栅上,如果第一级谱线的衍射角
为30°,则入射光的波长应为( )。
A : 0.625μm
B : 1.25μm
C : 2.5μm
D : 5μm
110 、 单选题
一平面简谐波在弹性媒质中传播,在某一瞬时,媒质中某质元正处于平衡位置,此时它
的能量状况是( )。
A : 动能为零,势能最大
B : 动能为零,势能为零
C : 动能最大,势能最大
D : 动能最大,势能为零
111 、 单选题A :
B :
C :
D :
112 、 单选题
A : -1
B : 1
C : 4
D : -1或4
113 、 单选题
A : [-1,3]
B : (-1,3]
C : (-1,3)
D : [-1,3)
114 、 单选题
A : (0,1)
B : (1,2)C : (2,3)
D : (3,+∞)
115 、 单选题
A :
B :
C :
D :
116 、 单选题
一定量的理想气体,由一平衡态p1,V1,T1变化到另一个平衡态p2,V2,T2,若V2
>V1,但T2=T1无论气体经历什么样的过程,( )。
A : 气体对外做的功一定为正值
B : 气体对外做的功一定为负值
C : 气体的内能一定增加
D : 气体的内能保持不变
117 、 单选题
若理想气体的体积为V,压强为p,温度为T,每个分子的平均分子量为M,k为玻尔兹曼
常数,R为摩尔气体常量,则该理想气体的分子数为( )。
A : pV/m
B : pV/(kT)
C : pV/(RT)
D : pV/(mT)
118 、 单选题
A : dx+dy
B : dx-dy
C : dx+2dy
D : dx-2dy119 、 单选题
A : +∞
B : π/4
C : π/6
D : π/2
120 、 单选题
已知一理想气体经过一准静态等体过程后,温度从T1升高到T2,吸收热量为Qo如果该过
程为非准静态等体过程,温度仍从T1(平衡态)升高到T2(平衡态),则气体吸收的热 量应( )。
A : 大于Q
B : 小于Q
C : 等于Q
D : 不能确定
121 、 单选题
设f(x)=x/tanx,则x=π/2是f(x)的( ).
A : 可去间断点
B : 跳跃间断点
C : 第二类间断点
D : 连续点
122 、 单选题
A : [-2,2)
B : [-1,2)
C : (-1,2]
D : (-2,2]
123 、 单选题
用白光光源进行双缝实验,若用一个纯红色的滤光片遮盖一条缝,用一个纯蓝色的滤光
片遮盖另一条缝,则( )。
A : 干涉条纹的宽度将发生改变
B : 产生红光和蓝光的两套彩色干涉条纹
C : 干涉条纹的亮度将发生改变
D : 不产生干涉条纹124 、 单选题
一平面简谐波沿X轴正向传播,已知x=L(L<λ)处质点的振动方程为y=Acosωt,波速为u,
那么x=0处质点的振动方程为( )。
A : y=Acosω(t+L/u)
B : y=Acosω(t-L/u)
C : y=Acos(ωt+L/u)
D : y=Acos(ωt-L/u)
125 、 单选题
A :
B :
C :
D :
126 、 单选题
在一封闭容器中,理想气体的算术平均速率提高一倍,则( )。
A : 温度为原来的1/4,压强为原来的4倍
B : 温度为原来的4倍,压强为原来的1/4
C : 温度和压强都提高为原来的1/4
D : 温度和压强都提高为原来的4倍127 、 单选题
A :
B :
C :
D :
128 、 单选题
分子的平均平动动能,分子的平均动能,分子的平均能量,在一定温度时有( )。
A : 三者一定相等
B : 三者均不相等
C : 后两者相等
D : 对于单原子理想气体三者相等
129 、 单选题
点M(1,2,1)到平面Ⅱ:x+2y-2z+3=0的距离是( ).
A : 2/3
B : 1
C : 2
D : 3
130 、 单选题
A : 25
B : 12.5
C : 5
D : 2.5
131 、 单选题
A : 取得极大值B : 取得极小值
C : 未取得极值
D : 是否取得极值无法判定
132 、 单选题
一个气缸内有一定量的单原子分子理想气体,在压缩过程中外界做功209J,此过程中气
体的内能增加120J,则外界传给气体的热量为( )J。
A : -89
B : 89
C : 329
D : 0
133 、 单选题
一平面简谐波沿x轴正向传播,已知x=-5m处质点的振动方程为y=Acosπt,波速
为u=4m/s,则波动方程为( )。
A : y=Acosπ[t-(x-5)/4]
B : y=Acosπ[t-(x+5)/4]
C : y=Acosπ[t+(x+5)/4]
D : y=Acosπ[t+(x-5)/4]
134 、 单选题
A : -2或1
B : l或4
C : -2或4
D : -2,1或4
135 、 单选题
A : 8dB
B : 40dB
C : 80dBD : 120dB
136 、 单选题
光强为I0的自然光垂直通过两个偏振片,它们的偏振化方向之间的夹角α=60°。设偏振
片没有吸收,则出射光强,与入射光强I0之比为( )。
A : 1/8
B : 1/4
C : 3/8
D : 3/4
137 、 单选题
两种声音的声强级差1分贝,则它们的强度之比为( )。
A : 0.0126
B : 0.126
C : 1.26
D : 12.6
138 、 单选题
设X是随机变量.已知P(X≤1)=0.3,P(X≥2)=0.4,则P(1<X<2)等于( ).
A : 0.2
B : 0.3
C : 0.4
D : 0.7
139 、 单选题
A :
B :
C :
D :
140 、 单选题
A :
B :
C :
D :
141 、 单选题
一个容器内贮有1mol氢气和1mol氩气,当气体处于平衡态时,若氢气对器壁的压强
为p1,氩气对器壁的压强为p2,则两者的关系是( )。
A : P1>P2
B : p1<p2
C : p1=p2
D : 不能确定
142 、 单选题
声音从声源发出,在均匀无限大的空气中传播的过程中,( )。
A : 声波的波速不断减小
B : 声波的波长不断减小
C : 声波的振幅不断减小
D : 声波的频率不断减小
143 、 单选题
设随机变量X服从正态分布N(μ,16),Y服从正态分布N(μ,25).
记p=P(X≤μ-4),q=P(Y≥μ+5),则p与q的大小关系是( ).
A : p>q
B : p<q
C : p=q
D : 不能确定
144 、 单选题一声波波源相对媒质不动,发出的声波频率是υ0,设一观察者的运动速度为波速的1/2,
当观察者迎着波源运动时,他接收到的声波频率是( )。
A : 2υ0
B : 12υ0
C : υ0
D : 32υ0
145 、 单选题
两种摩尔质量不同的理想气体,它们的压强、温度相同,体积不同,则它们的( )。
A : 单位体积内的分子数不同
B : 单位体积内气体的质量相同
C : 单位体积内气体分子的总平均平动动能相同
D : 单位体积内气体内能相同
146 、 单选题
A : 16
B : 14
C : 6
D : 18
147 、 单选题
A : 速率为v2的各分子的总平动动能与速率为v1的各分子的总平动动能之差
B : 速率为v2的各分子的总平动动能与速率为v1的各分子的总平动动能之和
C : 速率处在速率间隔V1~v2之内的分子的平均平动动能
D : 速率处在速率间隔V1~V2之内的分子平动动能之和
148 、 单选题A : 内能增量为正,对外做功为正,系统吸热为正
B : 内能增量为负,对外做功为正,系统吸热为正
C : 内能增量为负,对外做功为正,系统吸热为负
D : 内能增量为正,对外做功为正,系统吸热为负
149 、 单选题
两块平玻璃构成空气劈尖,左边为棱边,用单色平行光垂直入射,当劈尖的劈角增大时,
各级干涉条纹将( )。
A : 向右移,且条纹的间距变大
B : 向右移,且条纹的间距变小
C : 向左移,且条纹的间距变小
D : 向左移,且条纹的间距变大
150 、 单选题
A : 分子平均平动动能相同,氢气的内能大于氧气的内能
B : 分子平均平动动能相同,氧气的内能大于氢气的内能
C : 内能相同,氢气的分子平均平动动能大于氧气的分子平均平动动能
D : 内能相同,氧气的分子平均平动动能大于氢气的分子平均平动动能
151 、 单选题
在标准状态下,若氢气(可视作刚性双原子分子的理想气体)和氦气的体积比为V1/V2
=1/2,则其内能之比E1/E2为( )。
A : 3/10
B : 2/3
C : 5/6
D : 5/3
152 、 单选题气体作等压膨胀,则( )。
A : 温度升高,气体对外作正功
B : 温度升高,气体对外作负功
C : 温度降低,气体对外作正功
D : 温度降低,气体对外作负功
153 、 单选题
自然光以布儒斯特色由空气入射到一玻璃表面上,反射光是( )。
A : 在入射面内振动的完全偏振光
B : 平行于入射面的振动占优势的部分偏振光
C : 垂直于入射面振动的完全偏振光
D : 垂直于入射面的振动占优势的部分偏振光
154 、 单选题
有容积不同的A、B两个容器内装有理想气体,A中是单原子分子理想气体,B中是双原子
分子理想气体,若两种气体的压强相同,那么这两种气体的单位体积的内能(E/V)A
和(E/V)B的关系为( )。
A : (E/V)A<(E/V)B
B : (E/V)A>(E/V)B
C : (E/V)A=(E/V)B
D : 不能确定
155 、 单选题
A : 10
B : 55
C : 110
D : -55
156 、 单选题
A :
B :
C :
D :
157 、 单选题
当机械波在媒质中传播时,一媒质质元的最大变形量发生在( )。
A : 媒质质元离开其平衡位置最大位移处
B : 媒质质元离开其平衡位置处
C : 媒质质元在其平衡位置处
D : 媒质质元离开其平衡位置A/2处(A是振动振幅)
158 、 单选题
两列相干平面简谐波振幅都是4cm,两波源相距30cm,相位差为π,在波源连线的中垂
线上任意一点P,两列波叠加后的合振幅为( )cm。
A : 8
B : 16
C : 30
D : 0
159 、 单选题
两块平玻璃构成空气劈尖,左边为棱边,用单色平行光垂直入射,若上面的平玻璃慢慢
地向上平移,则干涉条纹( )。
A : 向棱边方向平移,条纹间隔变小
B : 向棱边方向平移,条纹间隔变大
C : 向棱边方向平移,条纹间隔不变
D : 向远离棱边的方向平移,条纹间隔变小
160 、 单选题
A :
B :
C :
D :
161 、 单选题
函数f(x,y)=xy(x-y)的极值点是( ).
A : (0,0)
B : (6,0)
C : (0,6)
D : (2,2)
162 、 单选题
如果两个偏振片堆叠在一起,且偏振化方向之间夹角为45°,假设二者对光无吸收,光
强为I0的自然光垂直入射在偏振片上,则出射光强为( )。
A : I0/4
B : 3I0/8
C : I0/2
D : 3I0/4
163 、 单选题
一定量的理想气体在进行卡诺循环时,高温热源的温度为500K,低温热源的温度为400K。
则该循环的效率为( )。
A : 56%
B : 34%
C : 80%
D : 20%
164 、 单选题A : 0
B : 148.8nm
C : 78.1nm
D : 74.4nm
165 、 单选题
A : 11/3
B : 22/3
C : 32/3
D : 86/3
166 、 单选题
一氢气球在20℃充气后,压强为1.2atm(1atm=1.013×105Pa),半径为1.5m。到夜晚时,
温度降为10℃,气球半径缩为1.4m,其中氢气压强减为1.1atm,此时漏掉的氢气为() kg。
A : 0.27
B : 0.32
C : 0.37
D : 0.42
167 、 单选题
A : 3
B : 4
C : 5
D : 6168 、 单选题
设f(x)是以2π为周期的周期函数,在[-π,π)上的表达式为f(x)=x,则f(x)的傅里叶级数为(
).
A :
B :
C :
D :
169 、 单选题
有一个金属杆,其一端与沸水接触,另一端与冰接触,当沸水和冰的温度维持不变,而
且杆内温度达到稳定分布后,这时金属杆所处的状态为( )。
A : 平衡态
B : 非平衡态
C : 准平衡态
D : 非稳恒态
170 、 单选题
提高光学仪器分辨本领的正确方法是( )。
A : 增大通光孔径,增大入射光波长
B : 增大通光孔径,减小入射光波长
C : 减小通光孔径,增大入射光波长
D : 减小通光孔径,减小入射光波长
171 、 单选题
A :
B :
C :
D :
172 、 单选题
A : 11°30′
B : 36°56′
C : 48°26′
D : 59°56′
173 、 单选题
A :
B :
C :
D :
174 、 单选题
在双缝干涉实验中,用单色自然光在屏上形成干涉条纹。若在两缝后放一偏振片,则( )。
A : 干涉条纹的间距变宽,但明纹的亮度减弱
B : 干涉条纹的间距不变,但明纹的亮度减弱C : 干涉条纹的间距变窄,但明纹的亮度增强
D : 干涉条纹的间距变窄,但明纹的亮度减弱
175 、 单选题
A :
B :
C :
D :
176 、 单选题
一平面简谐横波的波动表达式为y=0.002cos(400πt-20πx)(SI)。取k=0,±1,±2,…,
则t=1s时各波谷所在处的位置为( )。
A :
B :
C :
D :
177 、 单选题一平面谐波沿x轴正方向传播,振幅A=0.02m,周期T=0.5s,波长λ=100m,原点处质元
的初相位φ=0,则波动方程的表达式为( )。
A :
B : y=0.02cos2π(2t-0.01x)(SI)
C :
D : y=0.02cos2π(2t-100x)(SI)
178 、 单选题
一瓶氦气和一瓶氮气密度相同,分子平均平动动能相同,而且它们都处于平衡状态,则
它们( )。
A : 温度不同,压强不同
B : 温度相同,压强相同
C : 温度相同,但氦气的压强大于氮气的压强
D : 温度相同,但氦气的压强小于氮气的压强
179 、 单选题
1mol的刚性双原子分子理想气体,温度为t=25℃,压强p=1.0atm,分别经等温过程和
绝热过程膨胀至原来体积的三倍,则以下结果中正确的是( )。
A :
B :
C :
D :
180 、 单选题
设方程y´´-4y´+3y=0的某一积分曲线,它在点(0,2)处与直线x-y+2=0相切,则该积分
曲线的方程是( ).
A :
B :
C :
D :
181 、 单选题
设一理想气体系统的定压摩尔热容为Cp,定容摩尔热容为CV,R表示摩尔气体常数,则(
)。
A : CV-Cp=R
B : Cp-CV=R
C : p-CV=2R
D : Cp与CV的差值不定,取决于气体种类是单原子还是多原子
182 、 单选题
A :
B :
C :
D :
183 、 单选题
A : v0
B :
C :
D :
184 、 单选题
下列级数中,条件收敛的级数是( ).
A :
B :
C :
D :
185 、 单选题
频率4Hz沿X轴正向传播的简谐波,波线上有两点a和b,若它们开始振动的时间差
为0.25s,则它们的相位差为( )。
A : π/2
B : π
C : 3π/2
D : 2π
186 、 单选题
一束自然光通过两块叠放在一起偏振片,若两偏振片的偏振化方向间夹角由α1转到α2,
则转动前后透射光强度之比为( )。
A :
B :
C :
D :
187 、 单选题
A : λ/2
B : λ
C : 3λ/2
D : 2λ
188 、 单选题
A :
B :
C :
D :
189 、 单选题A :
B :
C :
D :
190 、 单选题
A :
B :
C :
D :
191 、 单选题
A : 3yy´=1
B :
C : y´=3y+1
D :
192 、 单选题
设向量a=2i+j-k,b=i-j+2k,则a×b为( ).
A : i+5j+3k
B : i-5j+3k
C : i-5j-3k
D : i+5j-3k
193 、 单选题
f(v)是麦克斯韦速率分布函数,n是单位体积内所具有的分子数,则nf(v)dv的物理意义是(
)。
A : 单位体积内速率为v的分子数目
B : 单位体积内速率为v的分子数占总分子数的比率
C : 单位体积内分子速率在v→v+dv间隔内的分子数占总分子数的比率
D : 单位体积内,分子速率在v→v+dv区间中的分子数目
194 、 单选题
设高温热源的热力学温度是低温热源的热力学温度的n倍,则理想气体在一次卡诺循环
中,传给低温热源的热量是从高温热源吸取的热量的( )倍。
A : 1/n
B :
C : n-1
D : n+1
195 、 单选题
A : 2
B : 3
C : 4
D : 5196 、 单选题
A : 传播方向相同,电场强度的振动方向互相垂直
B : 传播方向相同,电场强度的振动方向不互相垂直
C : 传播方向不同,电场强度的振动方向互相垂直
D : 传播方向不同,电场强度的振动方向不互相垂直
197 、 单选题
三个偏振片P1、P2与P3堆叠在一起,P1与P3偏振化方向相互垂直,P2与P1的偏振化方
向间的夹角为30°。强度为I0的自然光垂直入射于偏振片P1,并依次透过P1、P2与P3 ,
则通过三个偏振片后的光强为( )。
A : Io/4
B : 3Io/8
C : 3Io/32
D : Io/16
198 、 单选题
在标准状态下,将0.5mol的氮气(刚性双原子分子)压缩为原来体积的一半,若分别经历
的是等温过程和等压过程,下面结果中正确的是( )。
A : 等温功W=786J,等压内能增量ΔE=-1418J
B : 等温功W=-786J,等压功W=567J
C : 等温热量Q=786J,等压功W=-567J
D : 等温热量Q=-786J,等压热量Q=-1985J
199 、 单选题
A :
B :
C : 1.7
D : 0.17
200 、 单选题
一定量的刚性双原子分子理想气体储于一容器中,容器的容积为V,气体压强为p,则气
体的动能为( )。
A :
B :
C :
D : pV
201 、 单选题
以波长λ1=0.11nm的X射线照射某晶面,其晶面间距为d,在入射掠射角为θ1=11.25°时
获得第一级极大反射光;换用另一波长为λ2的X射线照射该晶面,测得第一 级极大反射
光相应的入射掠射角为θ2=17.5°,则以下计算结果正确的是( )。
A : d=3.55nm,λ2=2.14nm
B : d=0.282nm,λ2=5.90nm
C : d=3.55nm,λ2=0.170nm
D : d=0.282nm,λ2=0.170nm
202 、 单选题
A :
B :
C :
D :
203 、 单选题
在双缝干涉实验中,在给定入射单色光的情况下,用一片能通过光的薄介质片(不吸收光
线)将双缝装置中的上面一个缝盖住,则屏幕上干涉条纹的变化情况是( )。
A : 零级明纹仍在中心,其它条纹向上移动
B : 零级明纹仍在中心,其它条纹向下移动
C : 零级明纹和其它条纹一起向上移动
D : 零级明纹和其它条纹一起向下移动
204 、 单选题
A :
B :
C :
D :
205 、 单选题
在麦克斯韦速率分布律中,速率分布函数f(v)的意义为( )。
A : 速率大小等于v的分子数
B : 速率大小在v附近的单位速率区间内的分子数
C : 速率大小等于v的分子数占总分子数的百分比
D : 速率大小在v附近的单位速率区间内的分子数占总分子数的百分比
206 、 单选题
若一平面简谐波的表达式为y=0.03cos6π(t+0.01x)(SI),则下面结果中正确的是( )。
A : 振幅为3m
B : 周期为1/3s
C : 波速为10m/s
D : 传播方向为x轴正向
207 、 单选题A : 向上平移
B : 向下平移
C : 不动
D : 消失
208 、 单选题
设A是3阶方阵,A能与对角阵相似的充分必要条件是( ).
A :
B : A是实对称阵
C : A有3个线性无关的特征向量
D : A有3个不同的特征值
209 、 单选题
在相同温度下,氢气分子的最概然速率是氧气分子最概然速率的( )倍。
A : 2
B : 4
C :
D :
210 、 单选题
A : 710
B : 777
C : 905
D : 826211 、 单选题
一束光强为Io的自然光,相继通过三个偏振片P1、P2、P3后,出射光的光强为I=Io/8。
已知P1和P3的偏振化方向相互垂直,若以入射光线为轴,旋转P2,要使出射光的 光强
为零,P2最少要转过的角度是( )。
A : 30°
B : 45°
C : 60°
D : 90°
212 、 单选题
设向量组A:a1=(1,0,5,2),a2=(-2,1,-4,1),a3=(-1,1,t,3),a4=(-2,1,-4,
1)线性相关,则t必定等于( ).
A : 1
B : 2
C : 3
D : 任意数
213 、 单选题
在下面几种说法中,正确的说法是( )。
A : 波源不动时,波源的振动周期与波动的周期在数值上是不同的
B : 波源振动的速度与波速相同
C : 在波传播方向上的任一质点振动相位总是比波源的相位滞后
D : 在波传播方向上的任一质点的振动相位总是比波源的相位超前
214 、 单选题
A : 0.0058
B : 0.0116
C : 25
D : 20
215 、 单选题
根据热力学第二定律判断,以下结果正确的是( )。
A : 热量能从高温物体传到低温物体,但不能从低温物体传到高温物体
B : 功可以全部变为热,但热不能全部变为功
C : 气体能够自由膨胀,但不能自动收缩
D : 有规则运动的能量能够变为无规则运动的能量,但无规则运动的能量不能变为有规
则运动的能量216 、 单选题
在双缝干涉实验中,两缝间距为0.30mm,用单色光垂直照射双缝,在离缝1.20m的屏
上测得中央明纹两侧第五条暗纹间的距离为27.0mm,则所用单色光的颜色是( )。
A : 红光
B : 黄光
C : 绿光
D : 蓝光
217 、 单选题
A : ln(1+x)(-1<x<1)
B : -ln(1+x)(-1<x<1)
C : ln(x)(-1<x<1)
D : -ln(x)(-1<x<1)
218 、 单选题
A :
B :
C :
D :
219 、 单选题
若把牛顿环装置(都是用折射率为1.52的玻璃制成的)由空气中搬入折射率为1.33的水中,
则干涉条纹的变化情况是( )。
A : 中心暗斑变成亮斑
B : 变疏
C : 变密
D : 间距不变220 、 单选题
压强为p、体积为V的氦气(He,视为理想气体)的内能为( )。
A :
B :
C :
D : 3pV
221 、 单选题
一束光是自然光和线偏振光的混合光,让它垂直通过一偏振片,若以此入射光束为轴旋
转偏振片,测得透射光强度最大值是最小值的5倍,那么入射光束中自然光与线偏振光
的光强比值为( )。
A : 1:2
B : 1:5
C : 1:3
D : 2:3
222 、 单选题
A :
B :
C :
D :
223 、 单选题A : 传播方向相同,电场强度的振动方向互相垂直
B : 传播方向相同,电场强度的振动方向不互相垂直
C : 传播方向不同,电场强度的振动方向互相垂直
D : 传播方向不同,电场强度的振动方向不互相垂直
224 、 单选题
A :
B :
C :
D :
225 、 单选题
在波长为λ的驻波中,两个相邻的波腹之间的距离为( )。
A : λ/2
B : λ/4
C :
D : λ
226 、 单选题
一平面简谐波在弹性媒质中传播,在媒质质元从平衡位置处运动到最大位移处的过程中,
有关能量的变化是( )。
A : 它的动能转换为势能
B : 它的势能转换为动能C : 它从相邻的一段质元获得能量,其能量逐渐增大
D : 它把自己的能量传给相邻的一段质元,其能量逐渐减小
227 、 单选题
若把由折射率为1.52的玻璃制成的牛顿环装置由空气中搬入折射率为1.41的某媒质中,
则干涉条纹( )。
A : 中心暗斑变成亮斑
B : 变疏
C : 变密
D : 间距不变
228 、 单选题
一单色平行光垂直照射于一单缝上,若其第三级明纹位置恰好和波长600nm的单色光的
第二级明纹位置重合,则该单色光的波长为( )。
A : 900nm
B : 840nm
C : 429nm
D : 400nm
229 、 单选题
A : 对外做功和吸热都相同
B : 对外做功和吸热均不相同
C : 对外做功相同,但吸热不同
D : 对外做功不同,但吸热相同
230 、 单选题
A :
B :
C :
D :
231 、 单选题
波传播所经过的媒质中各质点的运动具有( )性质。
A : 相同的相位
B : 相同的振幅
C : 相同的机械能
D : 相同的频率
232 、 单选题
某种理想气体的总分子数为N,分子速率分布函数为f(v),则速度在v1~v2区间内的分子
数是( )。
A :
B :
C :
D :
233 、 单选题
A :
B :
C :
D :
234 、 单选题
一卡诺热机,低温热源温度为27℃,当热机效率为25%时,其高温热源温度为T1;若保
持低温热源温度不变,而将效率提高到35%,高温热源温度应增加ΔT。以下 各组结果正
确的是( )。
A : T1=400K,ΔT=62K
B : T1=36℃,ΔT=6℃
C : T1=225K,ΔT=30K
D : T1=100℃,ΔT=64℃
235 、 单选题
A : 可去间断点
B : 跳跃间断点
C : 第二类间断点
D : 连续点
236 、 单选题
一横波沿一根弦传播,其方程为y=-0.02cosπ(4x-50t)(SI),该波的振幅与波长分别为( )。
A : 0.02cm,0.5cm
B : -0.02m,-0.5m
C : -0.02m,0.5m
D : 0.02m,0.5m
237 、 单选题
A :
B :
C :
D :
238 、 单选题
按照麦克斯韦分子速率分布定律,具有最可几速率的分子,其动能为( )kT。
A : 1/2
B : 1
C : 3/2
D : 2
239 、 单选题
理想气体在等容条件下温度从300K起缓慢地上升,直至其分子的方均根速率增至原来
的2倍,则气体的最终温度为( )K。
A : 300
B : 381
C : 600
D : 1200
240 、 单选题
A :
B :
C :
D :
241 、 单选题
把一根非常长的绳子拉成水平,用手握其一端。维持拉力恒定,使绳端在垂直于绳子的
方向上作简谐振动,则下列叙述中正确的是( )。
A : 振动频率越高,波长越长
B : 振动频率越低,波长越长C : 振动频率越高,波速越大
D : 振动频率越低,波速越大
242 、 单选题
波沿一种介质进入另一种介质时,其传播速度、频率、波长( )。
A : 都不发生变化
B : 速度和频率变、波长不变
C : 都发生变化
D : 速度和波长变化而频率不变
243 、 单选题
在光学各向异性晶体内部有一确定的方向,沿这一方向寻常光和非常光的速率相同,这
一方向称为晶体的( )。
A : 主截面
B : 偏振化方向
C : 法线方向
D : 光轴
244 、 单选题
A : 凸起,且高度为λ/4
B : 凸起,且高度为λ/2
C : 凹陷,且深度为λ/2
D : 凹陷,且深度为λ/4
245 、 单选题A : 74.4
B : 78.1
C : 148.8
D : 156.3
246 、 单选题
若a,6是方程f(x)=0的两个相异的实根,f(x)在[a,b]上连续,且在(a,b)内可导,则方
程f´(x)=0在(a,b)内( ).
A : 只有一个根
B : 至少有一个根
C : 没有根
D : 以上结论都不对
247 、 单选题
A : 2∶3∶6
B : 3∶2∶1
C :
D : 1∶4∶9
248 、 单选题
一摩尔的理想气体,完成了由两个等体过程和两个等压过程构成的正循环过程,若循环
过程的净热为Q,循环过程的净功为W,则( )。
A : Q>0,W>0
B : Q>0,W<0
C : Q<0,W>0
D : Q<0,W<0249 、 单选题
已知某理想气体的压强为p,体积为V,温度为T,气体的摩尔质量为M,k为玻耳兹曼常
量,R为摩尔气体常量,则该理想气体的密度为( )。
A : M/V
B : pM/(RT)
C : pM/(kT)
D : p/(RT)
250 、 单选题
A : 气体内能增加的是等压过程,气体内能减少的是等温过程
B : 气体内能增加的是绝热过程,气体内能减少的是等压过程
C : 气体内能增加的是等压过程,气体内能减少的是绝热过程
D : 气体内能增加的是绝热过程,气体内能减少的是等温过程
251 、 单选题
A : 3条
B : 4条
C : 5条
D : 7条
252 、 单选题
A : 2000
B : 1500
C : 1000
D : 800
E : 500253 、 单选题
在双缝干涉实验中,当入射单色光的波长减小时,屏幕上干涉条纹的变化情况是( )。
A : 条纹变密并远离屏幕中心
B : 条纹变密并靠近屏幕中心
C : 条纹变宽并远离屏幕中心
D : 条纹变宽并靠近屏幕中心
254 、 单选题
两瓶不同种类的理想气体,它们的温度和压强都相同,但体积不同,则单位体积内的气
体分子的总平均动能(EK/V),单位体积内的气体分子数n,单位体积内的气体质量ρ分别有
( )。
A : (EK/V)不同,n不同,ρ不同
B : (EK/V)不同,n不同,ρ相同
C : (EK/V)相同,n相同,ρ不同
D : (EK/V)相同,n相同,ρ相同
255 、 单选题
在驻波中,两个相邻波节间各质点的振动( )。
A : 振幅相同,相位相同
B : 振幅不同,相位相同
C : 振幅相同,相位不同
D : 振幅不同,相位不同
256 、 单选题
A : 2x-8y+16z-2=0
B : 2x+8y+16z-2=0
C : 2x-8y+161=0
D : 2x+8y+16z-1=0
257 、 单选题
已知D(x)=9,D(Y)=4,ρ(x,Y)=1/2,则D(X-Y)等于( ).
A : 13
B : 5
C : 7
D : 10258 、 单选题
一束平行光垂直入射到某个光栅上,该光束有两种波长的光,λ1=440nm,λ2=660nm。
实验发现,两种波长的谱线(不计中央明纹)第二次重合于衍射角φ=60°的方向上 ,则此
光栅的光栅常数是( )。
A :
B :
C :
D :
259 、 单选题
在双缝干涉实验中,用透明的云母片遮住上面的一条缝,则( )。
A : 干涉图样不变
B : 干涉图样下移
C : 干涉图样上移
D : 不产生干涉条纹
260 、 单选题
氦气、氮气、水蒸气(均视为刚性分子理想气体)三者的摩尔数相同,初始状态相同,若
使它们在体积不变的情况下吸收相等的热量,则应有( )。
A : 它们的温度升高相同,压强增加相同
B : 它们的温度升高相同,压强增加不相同
C : 它们的温度升高不相同,压强增加不相同
D : 它们的温度升高不相同,压强增加相同
261 、 单选题
A : 4/3π
B : 8/3π
C : 16/3π
D : 32/3π262 、 单选题
A : -1/6
B : 1/6
C : -1/3
D : 1/3
263 、 单选题
在麦克斯韦速率分布律中,速率分布函数f(v)的物理意义可理解为( )。
A : 具有速率v的分子占总分子数的百分比
B : 速率分布在v附近的单位速率区间中的分子数占总分子数的百分比
C : 具有速率v的分子数
D : 速率分布在v附近的单位速率区间中的分子数
264 、 单选题
在单缝夫琅禾费衍射实验中,波长为λ的单色光垂直入射到宽度为a=4λ的单缝上,对应
于衍射角为30°的方向,单缝处波阵面可分成的半波带数目为( )个。
A : 2
B : 4
C : 6
D : 8
265 、 单选题
平面简谐波的波动方程为y=Acos2π(vt-x/λ),在1/v时刻,x1=7λ/8与x2=3λ/8二点处
介质质点速度之比是( )。
A : 1
B : 1/3
C : 1
D : 3
266 、 单选题
正在报警的警钟,每隔0.5s响一声,一声接一声地响着。有一个人在以60km/h的速度向
警钟所在地接近的火车中,若声速为u=340m/s,则这个人每分钟听到的响声为( )响。
A : 63
B : 100
C : 126
D : 168267 、 单选题
A : 3
B : 2
C : 1
D : 0
268 、 单选题
过点(0,2,4)且与两平面x+2z=1和y-3z=2平行的直线方程是( ).
A : x/0=(y-2)/1=(z-4)/(-3)
B : x/1=(y-2)/0=(z-4)/2
C : x/(-2)=(y-2)/(-3)=(z-4)/1
D : x/(-2)=(y-2)/3=(z-4)/1
269 、 单选题
有两频率不同的声波在空气中传播,已知频率f1=500Hz的声波在其传播方向相距为L的
两点的振动相位差为π,那么频率f2=1000Hz的声波在其传播方向相距为L/2的两点的相
位差为( )。
A : π/2
B : π
C : 3π/4
D : 3π/2
270 、 单选题
一平面简谐波以μ的速率沿x轴正向传播,角频率为ω,那么,距原点x处(x>0)质点的振
动相位总是比原点处质点的振动相位( )。
A : 滞后ωx/μ
B : 滞后x/μ
C : 超前ωx/μ
D : 超前x/μ
271 、 单选题
盒子中装有12支铅笔,其中一半是国产的,另一半是进口的.现从盒子中随机地抽取2支
笔,则它们都是国产笔的概率等于( ).
A : 15/66
B : 18/66
C : 18/72
D : 15/72272 、 单选题
A : λ/(2L)
B : λ
C : 2λ/L
D : λ/(4L)
273 、 单选题
A : -1600
B : -1200
C : -900
D : -700
274 、 单选题
A : 取得极大值f(xo)
B : 取得极小值f(xo)
C : 未取得极值
D : 是否极值无法判定275 、 单选题
A : 2,3,4,..
B : 2,5,8,..
C : 3,6
D : 3,6,9,..
276 、 单选题
A : -1200J
B : -700J
C : -400J
D : 700J
277 、 单选题
有一玻璃劈尖,置于空气中,劈尖角为θ,用波长为λ的单色光垂直照射时,测得相邻明
纹间距为l,若玻璃的折射率为n,则θ,λ,l与n之间的关系为( )。
A :
B :
C :
D :
278 、 单选题
一束平行的自然光从空气(取折射率n1=1)以60°入射角投射到折射率为n2的平板玻璃表
面上,若反射光是完全偏振光,则下列结果中正确的是( )。
A : 折射光也是完全偏振光
B : 折射光是垂直入射面的光振动较强的部分偏振光
C : 折射光的折射角i´=35°
D :
279 、 单选题
关于机械波波速的以下几种说法中,正确的是( )。
A : 波速与频率和波长有关
B : 波速与媒质的密度和媒质的弹性模量有关
C : 波速与振源的周期有关
D : 波速与振源处质点的振动速度相等
280 、 单选题
一平面通过点(4,-3,1)且在x,y,z轴上的截距相等,则此平面方程是( ).
A : x+y+z+2=0
B : x+y-z+2=0
C : x-y+z+2=0
D : x+y+z-2=0
281 、 单选题
一束波长为λ的单色光由空气垂直入射到折射率为n的透明薄膜上,透明薄膜放在空气中,
要使反射光得到干涉加强,则薄膜最小的厚度为( )。
A : λ/4
B : λ/4n
C : λ/2
D : λ/2n
282 、 单选题
若用衍射光栅准确测定一单色可见光的波长,在下列各种光栅常数的光栅中,选用哪一
种最好?( )
A :
B :
C :
D :
283 、 单选题
真空中波长为λ的单色光,在折射率为n的均匀透明媒质中,从A点沿某一路径传播到B点,
路径的长度为l。如将A、B两点光振动位相差记为△φ,则以下各组结果中正确 的是( )。
A : l=3λ/2,△φ=3π
B : l=3λ/(2n),△φ=3nπ
C : l=3λ/(2n),△φ=3π
D : l=3nλ/2,△φ=3nπ
284 、 单选题
关于热功转换和热量传递过程,有下面一些叙述:(1)功可以完全变为热量,而热量不能
完全变为功;(2)一切热机的效率都不可能等于1;(3)热量不能从低温物体向高温物体传
递;(4)热量从高温物体向低温物体传递是不可逆的。以上这些叙述,只有( )是正确的。
A : 只有(2)、(4)正确
B : 只有(2)、(3)、(4)正确
C : 只有(1)、(3)、(4)正确
D : 全部正确
285 、 单选题
在光栅光谱中,假如所有偶数级次的主极大都恰好在每缝衍射的暗纹方向上,因而实际
上不出现,那么此光栅每个透光缝宽度a和相邻两缝间不透光部分宽度b的关系为( )。
A : a=b
B : a=2b
C : a=3b
D : b=2a
286 、 单选题
A :
B :
C :
287 、 单选题
A :
B :
C :
D :
288 、 单选题
设X1,…,Xn是取自总体X的容量为n的样本,总体均值E(X)=μ未知,μ的无偏估计是( ).
A :
B :
C : X1+Xn
D :
289 、 单选题
A :
B : 1/2
C : 1
D :
290 、 单选题
一定量的理想气体向真空作绝热自由膨胀,体积由V1增至V2,在此过程中气体的( )。
A : 内能不变,熵减少
B : 内能不变,熵增加
C : 内能不变,熵不变
D : 内能增加,熵不变
291 、 单选题
一束圆偏振光通过二分之一波片后透出的光是( )。
A : 线偏振光
B : 部分偏振光
C : 和原来旋转方向相同的圆偏振光
D : 和原来旋转方向相反的圆偏振光
292 、 单选题
A : 等温过程
B : 等压过程
C : 等容过程
D : 绝热过程
293 、 单选题
对于常温下的双原子分子理想气体,在等压膨胀过程中,系统对外所做的功与从外界吸
收的热量之比应等于( )。
A : 7/2
B : 5/2
C : 2/5
D : 2/7
294 、 单选题
一平面简谐波沿x轴正向传播,已知P点(xp=L)的振动方程为y=Acos(ωt+φ0),则波动方程为( )。
A :
B :
C : y=Acos[t-(x/u)]
D :
295 、 单选题
在单缝夫琅禾费衍射实验中,若单缝两端处的光线到达屏幕上某点的光程差为δ=2.5λ(λ
为入射单色光的波长),则此衍射方向上的波阵面可划分的半波带数量和屏上该点的衍射
条纹情况是( )。
A : 4个半波带,明纹
B : 4个半波带,暗纹
C : 5个半波带,明纹
D : 5个半波带,暗纹
296 、 单选题
已知4元非齐次线性方程组Ax=b的系数矩阵的秩等于3,且η1,η2,η3是3个不同的解向
量,则通解是( ).
A : x=k1(η-η2)+η3
B : x=k1η1+k2η2+η3
C : x=k1η1+k2η2+k3η3
D : x=k1(η+η2)+η3
297 、 单选题
光波的衍射现象没有声波显著,这是由于( )。
A : 光可见而声可听
B : 光速比声速大
C : 光有颜色
D : 光波波长比声波波长小
298 、 单选题A : |A|=110J,Q=-500J
B : |A|=500J,Q=110J
C : |A|=610J,Q=-500J
D : |A|=110J,Q=0
299 、 单选题
单色光通过两个偏振化方向正交的偏振片。在两偏振片之间放入一双折射晶片,在下述
两种情形中,关于能否观察到干涉花样的说法正确的是( )。(1)晶片的主截面与第一偏振
片的偏振化方向平行;(2)晶片的主截面与第一偏振片的偏振化方向垂直。
A : (1)能,(2)不能
B : (1)不能,(2)能
C : (1)(2)都能
D : (1)(2)都不能
300 、 单选题
A : l=3λ/2,△φ=3π
B : l=3λ/(2n),△φ=3nπ
C : l=3λ/(2n),△φ=3π
D : l=3nλ/2,△φ=3nπ
301 、 单选题
A :
B :
C :
D :
302 、 单选题
A : 1:1
B : 1:4
C : 4:1
D : 1:16
E : 16:1
303 、 单选题
A : 1
B : 4/3
C : 5/3
D : 5/2
304 、 单选题A :
B :
C :
D :
305 、 单选题
在迈克耳逊干涉仪的一条光路中插入一块折射率为n,厚度为d的透明薄片,插入这块薄
片使这条光路的光程改变( )。
A : (n-1)d
B : 2(n-1)d
C : nd
D : 2nd
306 、 单选题
A :
B :
C :
D :
307 、 单选题
A : O´,b,d,f
B : a,c,e,g
C : O´,d
D : b,f
308 、 单选题
A :
B : 末态温度T2=41K
C :
D :
309 、 单选题A : (x-3)/9=(y-1)/1=(z-1)/1
B : (x-3)/9=(y-1)/1=(z-1)/(-1)
C : (x-3)/9=(y-1)/(-1)=(z-1)/1
D : (x-3)/(-9)=(y-1)/1=(z-1)/1
310 、 单选题
A :
B :
C :
D :
311 、 单选题
如果两个偏振片堆叠在一起,且偏振化方向之间夹角为30°,假设二者对光无吸收,光
强为I0的自然光垂直入射在偏振片上,则出射光强为( )。
A : I0/2
B : 3I0/2
C : 3I0/4
D : 3I0/8
312 、 单选题
在驻波中,两个相邻波节之间各质点的振动振幅及相位关系为( )。
A : 振幅相同,相位相同
B : 振幅不同,相位相同
C : 振幅相同,相位不同
D : 振幅不同,相位不同
313 、 单选题
一警车以vS=25m/s的速度在静止的空气中追赶一辆速度vB=15m/s的客车,若警车上
警笛的频率为800Hz,空气中声速u=330m/s,则客车上人听到的警笛声波的频率是(
)Hz。
A : 710
B : 777C : 905
D : 826
314 、 单选题
波长为λ的驻波中,相邻波节之间的距离为( )。
A : λ/4
B : λ/2
C : 3λ/4
D : λ
315 、 单选题
波传播所经过的介质中,各质点的振动具有( )。
A : 相同的相位
B : 相同的振幅
C : 相同的频率
D : 相同的机械能
316 、 单选题
汽车两前灯相距约1.2m,夜间人眼瞳孔直径为5mm,车灯发出波长为0.5μm的光,则人
眼夜间能区分两上车灯的最大距离为( )km。
A : 2
B : 4
C : 5
D : 10
317 、 单选题
设随机变量X与Y相互独立.已知X服从区间(1,5)上的均匀分布,Y服从参数λ=5的指数分
布,则D(3X-5Y)等于( ).
A : 5
B : 9
C : 10
D : 13
318 、 单选题A : 不连续,不可导
B : 连续,可导
C : 连续,不可导
D : 可导,不连续
319 、 单选题
一人在地面上手持发音体垂直向一高墙以5m/s的速度运动,发音体的频率为1500Hz,
空气中的声速为340m/s,人接收到的经高墙反射回来的频率是( )。
A : 1544Hz
B : 1522Hz
C : 1457Hz
D : 87Hz
320 、 单选题
设函数f(x,y)在点(0,0)的某邻域内有定义,且fx(0,0)=3,fy(0,0)=-1,则有( ).
A :
B : 曲面z=f(x,y)在点(0,0,f(0,0))的一个法向量为3i-j+k
C :
D :
321 、 单选题
A : 3
B : e
C : 1
D : ∞
322 、 单选题
在杨氏双缝实验中,若用白光作光源,则干涉条纹的情况为( )。
A : 中央明纹是白色的
B : 红光条纹较密
C : 紫光条纹间距较大
D : 干涉条纹为白色323 、 单选题
A : 0.4
B : 0.6
C : 0.8
D : 1
324 、 单选题
A :
B : (0,0)
C :
D :
325 、 单选题
下列关于可逆过程的判断正确的是( )。
A : 可逆热力学过程一定是准静态过程
B : 准静态过程一定是可逆过程
C : 非准静态过程可能是可逆过程
D : 凡无摩擦的过程,一定是可逆过程
326 、 单选题
A : 2
B :
C : 4
D :
327 、 单选题
若光从某种透明媒质射向该媒质与空气的交界面时,其全反射临界角等于45°,赠光从
空气射向此媒质时的布儒斯特角是( )。
A : 35.3°
B : 45°
C : 54.7°
D : 57.3°
328 、 单选题
在双缝干涉实验中,若在两缝后(靠近屏一侧)各覆盖一块厚度均为d,但折射率分别为n1
和n2(n2>n1)的透明薄片,从两缝发出的光在原来中央明纹处相遇时,光程差为( )。
A : d(n2-n1)
B : 2d(n2-n1)
C : d(n2-1)
D : d(n1-1)
329 、 单选题
在波长为A的驻波中两个相邻波节之间的距离为( )。
A :
B : A/2
C : 3A/4
D : A/4
330 、 单选题
设声波在媒质中的传播速度为u,声源的频率为υS。若声源S不动,而接收器R相对于媒
质以速度vR沿着S、R连线向着声源S运动,则位于S、R连线中点的质点P的振动频率为() 。
A : υS
B :
C :
D :
331 、 单选题
A : 10.1
B : 13.9
C : 50.4
D : 100.7
332 、 单选题
A : a=1,b=0
B : a=0,b=1
C : a=2,b=-1
D : a=-1,b=2
333 、 单选题
A : 18
B : -6
C : -18
D : -9
334 、 单选题
根据惠更斯—菲涅耳原理,若已知光在某时刻的波阵面为S,则S的前方某点P的光强度
决定于波阵面S上所在面积元发出的子波各自传到P点的( )。
A : 振动振幅之和
B : 光强之和
C : 振动振幅之和的平方
D : 振动的相干叠加
335 、 单选题A : 振幅A=1.2m
B : 频率v=500Hz
C : 波长λ=2.86m
D : 波速u=1427m/s
336 、 单选题
A : 2/3
B : 4/3
C : 2
D : 8/3
337 、 单选题
A :
B :
C :
D :
338 、 单选题A : 3
B : 5
C : 7
D : 9
339 、 单选题
A : 4a
B : 6a
C : 8a
D : 10a
340 、 单选题
在单缝的夫琅和费衍射实验中,若将缝宽缩小一半,原来第三级暗纹处将是( )。
A : 第一级明纹
B : 第一级暗纹
C : 第二级明纹
D : 第二级暗纹
341 、 单选题
测量单色光的波长时,下列方法最为准确的是( )。
A : 双缝干涉
B : 牛顿环
C : 单缝衍射
D : 光栅衍射
342 、 单选题
理想气体的压强公式是( )。
A :
B :
C :
D :
343 、 单选题
A : 等温过程
B : 等压过程
C : 等容过程
D : 多方过程
344 、 单选题
下列关于可逆过程和不可逆过程的说法正确的是( )。(1)可逆过程一定是平衡过程;(2)平
衡过程一定是可逆过程;(3)不可逆过程一定找不到另一过程使系统和外界同时复原;(4)
非平衡过程一定是不可逆过程。
A : (1)(2)(3)
B : (2)(3)(4)
C : (1)(3)(4)
D : (1)(2)(3)(4)
345 、 单选题
A : 0
B : π/2
C : π
D : 3π/2
346 、 单选题
一束自然光和线偏振光组成混合光,垂直通过一偏振片,以此入射光束为轴旋转偏振片,
测得透射光强度的最大值是最小值的5倍,则入射光束中自然光与线偏振光的强度之比
最接近( )。
A : 1/5
B : 1/3
C : 1/2
D : 2/3347 、 单选题
一卡诺致冷机在工作时,低温热源温度为-10℃,高温热源温度为11℃。若在一次循环
中,外界对系统做功1000J,则系统从低温热源吸收的热量应为( )。
A : -476J
B : 524J
C :
D :
348 、 单选题
A : 两个热机的效率一定相等
B : 两个热机从高温热源所吸收的热量一定相等
C : 两个热机向低温热源所放出的热量一定相等
D : 两个热机吸收的热量与放出的热量(绝对值)的差值一定相等
349 、 单选题
若在迈克耳孙干涉仪的可动反射镜移动0.620mm过程中,观察到干涉条纹移动了2300条,
则所用光波的波长是( )。
A : 140.3nm
B : 185.4nm
C : 539.1nm
D : 713.0nm
350 、 单选题A : Y2=Acos[2πt-π/2]
B : Y2=Acos[2πt-π]
C : Y2=Acos[2πt+π/2]
D : Y2=2Acos[2πt-0.1π]
351 、 单选题
A : 3/7π
B : 4/7π
C : π/2
D : π
352 、 单选题
在单缝夫琅禾费衍射实验中,屏上第三级明纹对应的缝间的波阵面,可划分为半波带的
数目为( )个。
A : 5
B : 6
C : 7
D : 8
353 、 单选题
A :
B :
C :
D :
354 、 单选题
设有直线L1:(x-1)/(-2)=(y+1)/2=z+2和L2:x=(y-2)/(-4)=z-1,则L1和L2的夹角φ是( )
A : π/6
B : π/4
C : π/3
D : π/2
355 、 单选题
设A,B,C是三个事件,则AB+BC+CA表示( ).
A : 三个事件中恰有两个事件发生
B : 三个事件中至多有两个事件发生
C : 三个事件中至少有两个事件发生
D : 三个事件全发生
356 、 单选题
一个物质系统从外界吸收一定的热量,则内能变化为( )。
A : 系统的内能一定增加
B : 系统的内能一定减少
C : 系统的内能一定保持不变
D : 系统的内能可能增加,也可能减少或保持不变
357 、 单选题
一平面谐波以u的速率沿x轴正向传播,角频率为ω,那么,距原点x处(x>0)质点的振动
相位与原点处质点的振动相位相比,具有的关系是( )。
A : 滞后ωx/u
B : 滞后x/u
C : 超前ωx/u
D : 超前x/u