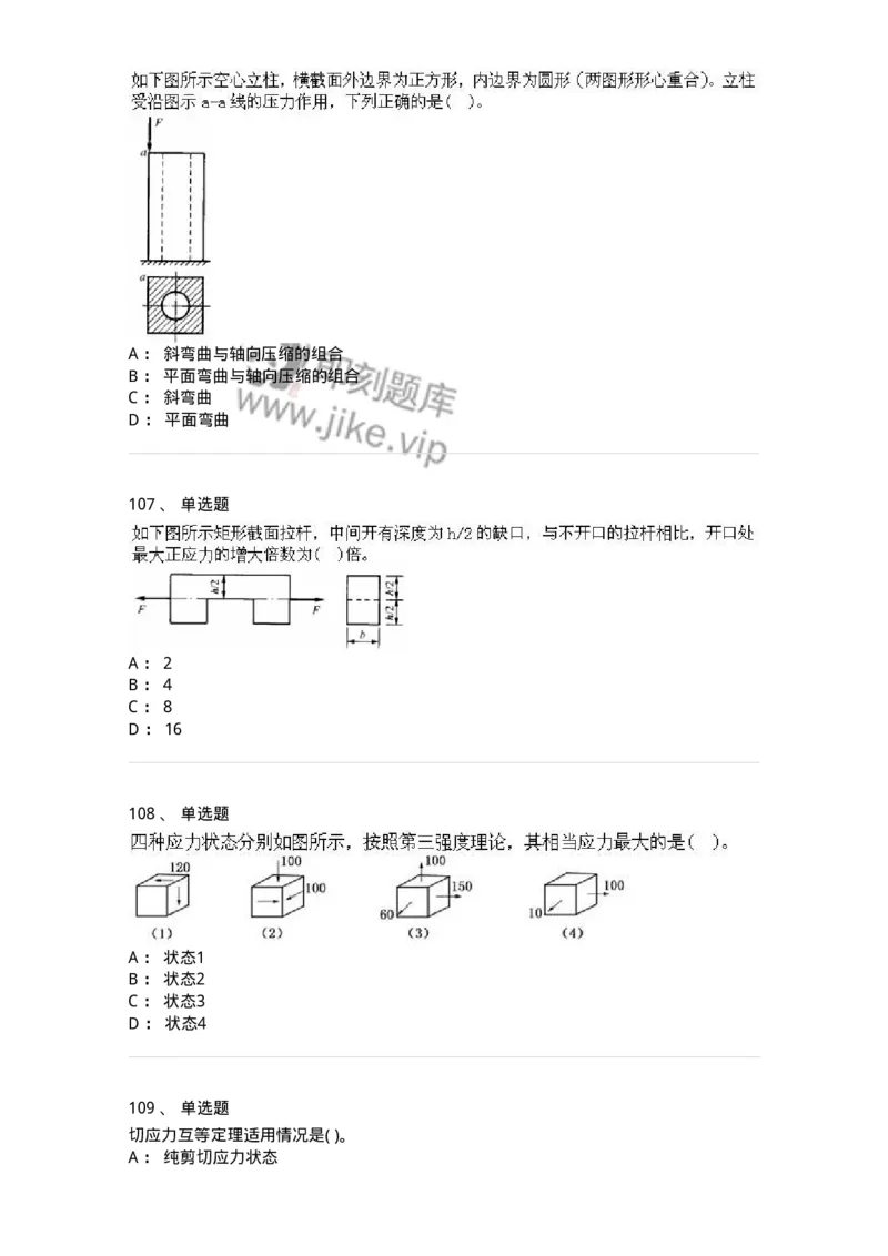
文档内容
强化练习
即刻题库 www.jike.vip
1 、 单选题
A : m1=m2
B : m1=3m2
C : m1=7m2
D : m1=5m2
2 、 单选题
A :
B :
C :
D :
3 、 单选题
A :
B :
C :
D :
4 、 单选题
A : 0.59
B : 1.53
C : 1.70
D : 2.12
5 、 单选题A : 0.98
B : 0.49
C : 1.02
D : 2.04
6 、 单选题
A :
B :
C :
D :
7 、 单选题
A : 螺栓的拉伸强度
B : 螺栓的剪切强度
C : 螺栓的挤压强度
D : 平板的挤压强度
8 、 单选题
A : 0
B : 1.0
C : 1.5
D : 2.0
9 、 单选题
已知圆截面杆扭转时,横截面上的最大剪应力为τmax,两端面间的相对扭转角为φ。若
圆杆的直径增大一倍(即为原直径的两倍),则此时的最大剪应力τ´max和相对扭 转角φ´
与原来的τmax和φ的比值为( )。
A : τ´max/τmax=1/2,φ´/φ=1/4
B : τ´max/τmax=1/4,φ´/φ=1/8
C : τ´max/τmax=1/8,φ´/φ=1/8
D : τ´max/τmax=1/8,φ´/φ=1/16
10 、 单选题
关于截面的几何性质,下列说法正确的是( )。
A : 图形对其对称轴的静矩为零,惯性矩不为零,惯性积为零
B : 图形对其对称轴的静矩不为零,惯性矩和惯性积均为零
C : 图形对其对称轴的静矩、惯性矩及惯性积均为零
D : 图形对其对称轴的静矩、惯性矩及惯性积均不为零11 、 单选题
A :
B :
C :
D :
12 、 单选题
从结构构件中不同点取出的应力单元体如图所示,构件材料为Q235钢材,若以第三强度
理论校核时,则相当应力最大者为( )。
A :
B :
C :
D :
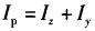
13 、 单选题A : (Iy)a=(Iy)b,(Iz)a<(Iz)b
B : (Iy)a=(Iy)b,(Iz)a>(Iz)b
C : (Iy)a>(Iy)b,(Iz)a=(Iz)b
D : (Iy)a<(Iy)b,(Iz)a=(Iz)b
14 、 单选题
A : (a)、(b)、(c)、(d)
B : (d)、(a)、(b)、(c)
C : (c)、(d)、(a)、(b)
D : (b)、(c)、(d)、(a)
15 、 单选题A : 92.4kN
B : 140kN
C : 104.3kN
D : 150kN
16 、 单选题
A : 385MPa
B : -385MPa
C : 714MPa
D : -714MPa
17 、 单选题A :
B :
C :
D :
18 、 单选题
影响梁截面弯曲中心位置的主要因素是( )。
A : 材料的力学性质
B : 荷载的分布情况
C : 截面的几何形状和尺寸
D : 支承条件
19 、 单选题
A :
B :
C :
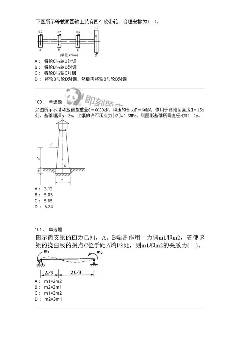
D :
20 、 单选题
A : 50MPa
B : 150MPa
C : 25MPa
D : 75MPa
21 、 单选题
A : 2
B : 4
C : 6
D : 8
22 、 单选题A :
B :
C :
D :
23 、 单选题
A :
B :
C :
D :
24 、 单选题
A :
B :
C :
D :
25 、 单选题
A :
B : P/2dt
C : P/2bt
D :
26 、 单选题A :
B :
C :
D :
27 、 单选题
A : 状态a
B : 状态b
C : 状态c
D : 状态d
28 、 单选题A : 2
B : 3
C : 4
D : 5
29 、 单选题
A : μ<0.5
B : 0.5<μ<0.7
C : 0.7<μ<2
D : μ>2
30 、 单选题
A :
B :
C :
D :
31 、 单选题A : 三种应力状态均相同
B : 都不相同
C : (b)和(c)相同
D : (a)和(c)相同
32 、 单选题
A : 1/2
B :
C : 1
D :
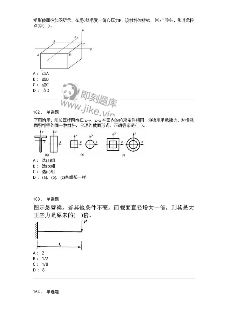
33 、 单选题
A : 79.5
B : 104.1
C : 126.8D : 142.5
34 、 单选题
A :
B :
C :
D :
35 、 单选题
A :
B :
C :
D :
36 、 单选题
A : 剪力为零,弯矩不为零
B : 剪力不为零,弯矩为零
C : 剪力和弯矩均为零
D : 剪力和弯矩均不为零
37 、 单选题
A :
B :
C :
D :
38 、 单选题A : 图(1)
B : 图(2)
C : 图(3)
D : 图(4)
39 、 单选题
A : 1.8
B : 2.6
C : 3.5
D : 4.3
40 、 单选题A : 0°
B : 30°
C : 45°
D : 60°
41 、 单选题
A : 两个都最大
B : 两个都最小
C : 一个最大,一个最小
D : 不能确定
42 、 单选题
A : 偏心拉伸
B : 纵横弯曲
C : 弯扭组合
D : 拉弯扭组合43 、 单选题
A : 剪力图有突变,弯矩图连续光滑
B : 剪力图有尖角,弯矩图连续光滑
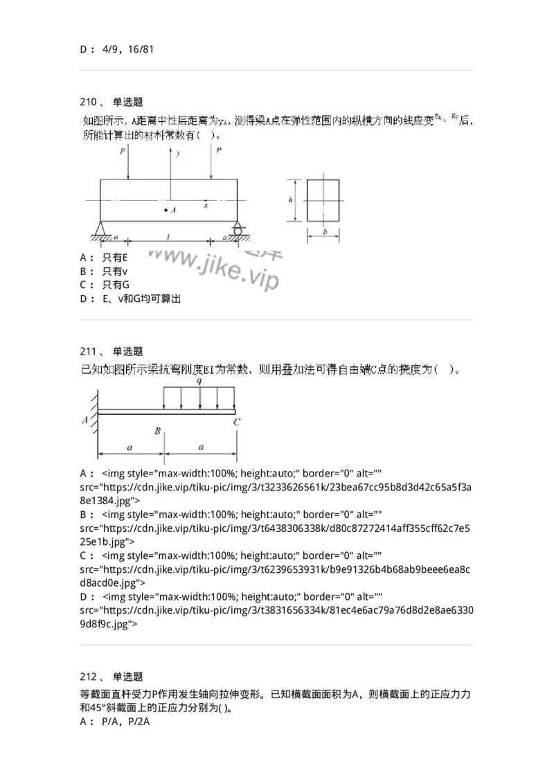
C : 剪力图、弯矩图都有尖角
D : 剪力图有突变,弯矩图有尖角
44 、 单选题
A :
B :
C :
D :
45 、 单选题
下面选项中受扭圆轴横截面上的切应力分布图中,正确的切应力分布应是( )。
A :
B :
C :
D :
46 、 单选题
A : 斜截面上的正应力
B : 斜截面上的剪应力
C : 横截面上的正应力
D : 斜截面上的总应力
47 、 单选题
A :
B :
C :
D :
48 、 单选题
A :
B :
C :
D :
49 、 单选题
A : (1),(2)
B : (2),(3)
C : (1),(3)
D : 全对50 、 单选题
A : I梁最大挠度是Ⅱ梁的1/8倍
B : I梁最大挠度是Ⅱ梁的1/4倍
C : I梁最大挠度是Ⅱ梁的4倍
D : I、Ⅱ梁最大挠度相等
51 、 单选题
在图示4种应力状态中,最大切应力值最大的应力状态是( )。
A :
B :
C :
D :
52 、 单选题
A :
B :
C :
D :
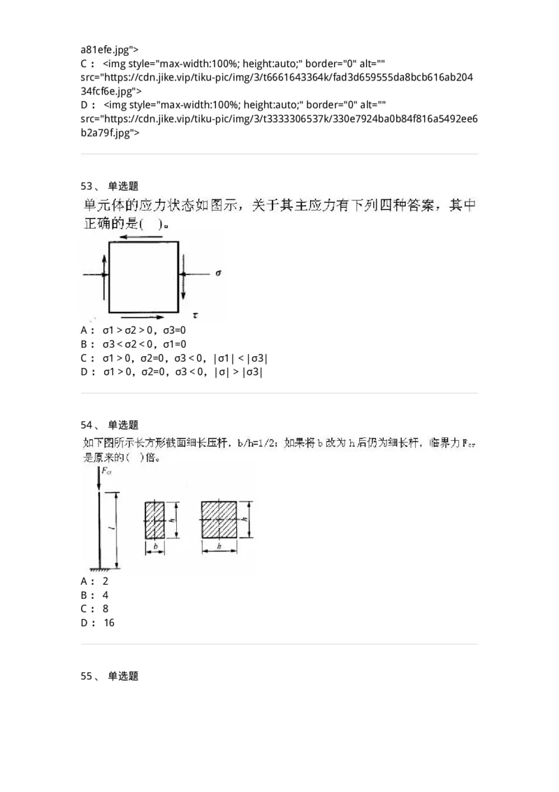
53 、 单选题
A : σ1>σ2>0,σ3=0
B : σ3<σ2<0,σ1=0
C : σ1>0,σ2=0,σ3<0,|σ1|<|σ3|
D : σ1>0,σ2=0,σ3<0,|σ|>|σ3|
54 、 单选题
A : 2
B : 4
C : 8
D : 16
55 、 单选题A :
B :
C :
D :
56 、 单选题
设受扭圆轴中的最大剪应力为τ,则最大正应力( )。
A : 出现在横截面上,其值为τ
B : 出现在45°斜截面上,其值为2τ
C : 出现在横截面上,其值为2τ
D : 出现在45°斜截面上,其值为τ
57 、 单选题
A :
B :
C :
D : 不能确定58 、 单选题
A :
B :
C :
D :
59 、 单选题
A : 100MPa(压应力)
B : 80MPa(压应力)
C : 180MPa(压应力)
D : 180MPa(拉应力)
60 、 单选题
A : τ=P/(πDH)
B : τ=P/(2dH)
C : τ=P/(πdH)
D :
61 、 单选题
A : 80
B : 100
C : 120
D : 150
62 、 单选题
A :
B :
C :
D :
63 、 单选题A :
B :
C :
D :
64 、 单选题
A : 图(e)最小,图(f)最大
B : 图(e)最小,图(d)最大
C : 图(f)最小,图(d)最大
D : 图(c)最小,图(d)最大
65 、 单选题A : 点
B : 点
C : 点
D : 点
66 、 单选题
A :
B :
C :
D :
67 、 单选题
在横截面积相等,材料性质及约束条件相同的情况下,四种截面形状稳定性最好的为( )。
A :
B :
C :
D :
68 、 单选题
A :
B :
C :
D :
69 、 单选题
A :
B :
C :
D :
70 、 单选题
A :
B :
C :
D :
71 、 单选题
A :
B :
C :
D :
72 、 单选题
A : [P]=165kN
B : [P]=181kN
C : [P]=346kN
D : [P]=420kN
73 、 单选题
A :
B :
C :
D :
74 、 单选题
A : 2B : 4
C : 8
D : 16
75 、 单选题
A : 18
B : 20
C : 25
D : 30
76 、 单选题
A : 横截面上的正应力
B : 斜截面上的正应力
C : 斜截面上的应力
D : 斜截面上的切应力
77 、 单选题
A :
B :
C :
D :
78 、 单选题
由梁的正应力强度条件确定梁的合理截面形式,其根据是( )。
A : W/A=1好
B : W/A=2好
C : W/A越小越好
D : W/A越大越好
79 、 单选题
A :
B :
C :
D :
80 、 单选题A :
B :
C :
D :
81 、 单选题
A : P1=P2
B : P1<P2
C : P1>P2
D : 不能确定其关系
82 、 单选题
受扭实心圆杆的许可荷载为T,若将其横截面面积增加一倍,则其许可荷载增大为( )。
A :
B : 2T
C :
D : 4T
83 、 单选题
A : 0,γ
B : 0,2γ
C : γ,γ
D : γ,2γ
84 、 单选题
A : 12.7
B : 18.7
C : 15.9
D : 31.8
85 、 单选题
工程上通常用伸长率区分材料,以下关于脆性材料的划分,哪个是正确的?( )。
A : δ<5%
B : δ<0.5%
C : δ<5
D : δ<0.5
86 、 单选题A : 螺栓的拉伸强度
B : 螺栓的剪切强度
C : 螺栓的挤压强度
D : 平板的挤压强度
87 、 单选题
等截面直梁弯曲变形时,挠曲线的最大曲率发生在( )。
A : 挠度最大截面
B : 转角最大截面
C : 剪力最大截面
D : 弯矩最大截面
88 、 单选题
A :
B :
C :
D :
89 、 单选题A : 点
B : 点
C : 点
D : 点
90 、 单选题
A :
B :
C :
D :
91 、 单选题
非对称的薄壁截面梁受横向力作用时,若要求梁只产生平面弯曲而不发生扭转,则横向
力作用的条件为( )。
A : 作用面与形心主惯性面重合
B : 作用面与形心主惯性面平行
C : 通过弯曲中心的任意平面
D : 通过弯曲中心,平行于主惯性平面
92 、 单选题
A :
B :
C :
D :
93 、 单选题
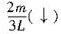
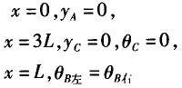
A : 2m/3L(↑)
B : 2m/3L(↓)
C : 3m/2L(↑)
D : 3m/2L(↓)
94 、 单选题
A : 7.8mm
B : 78mm
C : 16.7mm
D : 83mm95 、 单选题
A : -85
B : 85
C : -75
D : 75
96 、 单选题
A :
B :
C :
D :
97 、 单选题A :
B :
C :
D :
98 、 单选题
A : 6MPa
B : O.346MPa
C : 5.654MPa
D : 6.346MPa
99 、 单选题A : 将轮C与轮D对调
B : 将轮B与轮D对调
C : 将轮B与轮C对调
D : 将轮B与轮D对调,然后再将轮B与轮B对调
100 、 单选题
A : 3.12
B : 5.05
C : 5.65
D : 6.24
101 、 单选题
A : m1=2m2
B : m2=2m1
C : m1=3m2
D : m2=3m1102 、 单选题
A : (a)点应力状态较危险
B : (b)应力状态较危险
C : 两者的危险程度相同
D : 不能判定
103 、 单选题
A :
B :
C :
D :
104 、 单选题
A :
B :
C :
D :
105 、 单选题
A :
B :
C :
D :
106 、 单选题A : 斜弯曲与轴向压缩的组合
B : 平面弯曲与轴向压缩的组合
C : 斜弯曲
D : 平面弯曲
107 、 单选题
A : 2
B : 4
C : 8
D : 16
108 、 单选题
A : 状态1
B : 状态2
C : 状态3
D : 状态4
109 、 单选题
切应力互等定理适用情况是( )。
A : 纯剪切应力状态B : 平面应力状态,而不论有无正应力作用
C : 弹性范围(即切应力不超过剪切比例极限)
D : 空间任意应力状态
110 、 单选题
A : 增加1倍
B : 为原来的4倍
C : 为原来的1/4
D : 为原来的1/2
111 、 单选题
A :
B :
C :
D :
112 、 单选题A :
B :
C :
D :
113 、 单选题
A : ab
B : cb
C : lb
D : lc
114 、 单选题
A : 8
B : 2C : 16
D : 4
115 、 单选题
A :
B :
C :
D :
116 、 单选题
A : [P]=38.2kN
B : [P]=10Kn
C : [P]=3.75kN
D : [P]=3.4kN
117 、 单选题
两薄壁圆筒的内径D、壁厚t和承受内压p均相同,一筒两端封闭,一筒两端开口。若用第三强度理论校核两筒的强度,则( )。
A : 两筒的安全程度相同
B : 开口筒较闭口筒安全
C : 闭口筒较开口筒安全
D : 两筒危险点的应力状态不同,无法比较
118 、 单选题
A : a
B : π/a
C : -a
D : π/2+a
119 、 单选题
A :
B :
C :
D :
120 、 单选题
下列关于应力与内力关系的描述中,正确的是( )。
A : 应力是内力的集度
B : 内力必大于应力
C : 内力为应力的代数和
D : 应力是内力的平均值
121 、 单选题
A :
B :
C :
D :
122 、 单选题
A :
B :
C :
D :
123 、 单选题
A :
B :
C :
D :
124 、 单选题
A :
B :
C :
D :
125 、 单选题
A :
B :
C :
D :
126 、 单选题
A : 26.7
B : 44.4
C : 50
D : 133.3127 、 单选题
提高钢制大柔度压杆承载能力有如下方法,请判断哪一种是最正确的?( )
A : 减小杆长、减小长度系数,使压杆沿截面两形心主轴方向的柔度相等
B : 增加横截面面积、减小杆长
C : 增加惯性矩、减小杆长
D : 采用高强度钢
128 、 单选题
关于铸铁的极限应力有以下结论,哪个是正确的?( )。
A :
B :
C :
D :
129 、 单选题
正多边形截面、圆形截面有( )形心主惯性轴。
A : 一根
B : 无穷多根
C : 一对
D : 三对
130 、 单选题
A : 0
B : 1.5mm
C : 2.5mm
D : 5.5m
131 、 单选题A : Q图相同,M图不同
B : Q图不同,M图相同
C : Q图和M图均相同
D : Q图和M图均不相同
132 、 单选题
A :
B :
C : A与B一样
D : 不确定
133 、 单选题
A : 60
B : -60
C : 20
D : -20134 、 单选题
按第三强度理论计算等截面直杆弯扭组合变形的强度问题时,应采用的强度公式为( )。
A :
B :
C :
D :
135 、 单选题
A :
B :
C :
D :
136 、 单选题
A : BC段有位移
B : C段有变形C : BC段既有变形又有位移
D : BC段既无变形又无位移
137 、 单选题
直径为d的圆形对其形心轴的惯性半径i等于( )。
A : d/2
B : d/4
C : d/6
D : d/8
138 、 单选题
A : σb:a>b>c,E:a>b>c,δ:b>c>a
B : σb:a>b>c,E:b>a>c,δ:c>b>a
C : σb:a>b>c,E:c>b>a,δ:c>b>a
D : σb:a>b>c,E:b>a>c,δ:b>c>a
139 、 单选题
圆轴直径为d,剪切弹性模量为G,在外力作用下发生扭转变形,现测得单位长度扭转角
为θ,圆轴的最大切应力是( )。
A :
B :
C : τ=θGd
D :
140 、 单选题
A : 拉伸与弯曲组合
B : 弯曲变形
C : 压缩与弯曲组合
D : 斜弯曲
141 、 单选题
判断梁横截面上的切应力作用线必须沿截面边界切线方向的依据是( )。
A : 横截面保持平面
B : 不发生扭转
C : 切应力公式应用条件
D : 切应力互等定理
142 、 单选题
A : π:2
B : 2π:5
C : 3π:2
D : 2π:3
143 、 单选题A : 2
B : 4
C : 8
D : 16
144 、 单选题
承受内压的两端封闭的圆柱状薄壁容器,由脆性材料制成,因压力过大表面出现裂纹时,
裂纹的可能方向是( )。
A : 沿圆柱纵向
B : 沿与圆柱纵向夹45°角方向
C : 沿圆柱环向
D : 沿与圆柱纵向夹30°角方向
145 、 单选题
A :
B :
C :
D :
146 、 单选题A :
B :
C :
D :
147 、 单选题
A : 1/2
B : 1/4
C : 1/8
D : 1/16
148 、 单选题
两根同种材料制成的等长实心圆轴,端截面处均受到同样大小的扭矩作用,若第一根轴
的直径是第二根轴直径的一半,则第一根轴的扭转角是第二根轴扭转角的( )倍。
A : 2
B : 4
C : 8
D : 16
149 、 单选题A : 轴的最左端
B : 轴的最右端
C : 齿轮b与c之间
D : 任意截面处
150 、 单选题
A : 单向拉伸,拉弯组合变形
B : 单向拉伸、单向拉伸变形
C : 拉弯组合、单向拉伸变形
D : 拉弯组合、拉弯组合变形
151 、 单选题
斜弯曲的主要特征是( )。
A :
B :
C :
D :
152 、 单选题A :
B :
C :
D :
153 、 单选题
A :
B :
C :
D :
154 、 单选题A :
B :
C :
D :
155 、 单选题
A : Ⅰ梁和Ⅱ梁的最大挠度相同
B : Ⅱ梁的最大挠度是Ⅰ梁的2倍
C : Ⅱ梁的最大挠度是Ⅰ梁的4倍
D : Ⅱ梁的最大挠度是Ⅰ梁1/2倍
156 、 单选题
将圆轴的直径减小到原来的3/4,在其他条件不变的情况下,轴的单位长度扭角与轴内最
大剪应力分别改变为原来的( )。
A :
B :
C :
D :
157 、 单选题
A : 9.38MPa
B : 5.63MPa
C : 3.75MPa
D : 11.26MPa
158 、 单选题
A : 单向应力状态
B : 二向应力状态
C : 三向应力状态
D : 纯剪应力状态
159 、 单选题A :
B :
C :
D :
160 、 单选题
A : 图(a)、图(g)所示截面梁
B : 图(c)、图(e)所示截面梁
C : 图(b)、图(d)所示截面
D : 图(f)、图(h)所示截面
161 、 单选题A : 点A
B : 点B
C : 点C
D : 点D
162 、 单选题
A : 选(a)组
B : 选(b)组
C : 选(c)组
D : (a)、(b)、(c)各组都一样
163 、 单选题
A : 2
B : 1/2
C : 1/8
D : 8
164 、 单选题A : 6N·m
B : 6.25kN·m
C : 9kN·m
D : 12kN·m
165 、 单选题
A :
B :
C :
D :
166 、 单选题
A : 、B都正确
B : A、B都不正确
C : A正确,B不正确
D : A不正确,B正确
167 、 单选题
A : σ≤[σ],τ<[τ]
B :
C :
D :
168 、 单选题A : -σ
B : (1+μ)q
C : -(1+μ)q
D : -μq
169 、 单选题
纯剪切应力状态下,各向同性材料单元体的体积改变为( )。
A : 变大
B : 变小
C : 不变
D : 不一定
170 、 单选题
A :
B :
C :
D :
171 、 单选题
矩形截面梁高度为h,宽为b,在横力弯曲时切应力的分布规律( )。
A : 沿截面高度均匀分布
B : 沿截面宽度均匀分布
C : 沿截面高度线性分布
D : 沿截面宽度线性分布
172 、 单选题
A : 两者的剪力图相同,弯矩图也相同
B : 两者的剪力图相同,弯矩图不同
C : 两者的剪力图不同,弯矩图相同
D : 两者的剪力图不同,弯矩图也不同
173 、 单选题
A :
B :
C :
D :
174 、 单选题A : 1
B : 2
C : 3
D : 4
175 、 单选题
A : μ<0.5
B : 0.5<μ<0.7
C : 0.7<μ<2
D : μ>2
176 、 单选题A :
B :
C :
D :
177 、 单选题
A :
B :
C :
D :
178 、 单选题
A :
B :
C :
D :
179 、 单选题
A : 1.385
B : 2.77
C : 3
D : 5.54
180 、 单选题A :
B :
C :
D :
181 、 单选题
A :
B :
C :
D :
182 、 单选题
A :
B :
C :
D :
183 、 单选题
对于矩形截面梁,下列论述错误的是( )。
A : 出现最大正应力的点处,剪应力必等于零
B : 出现最大剪应力的点处,正应力必等于零
C : 梁中出现最大正应力的点和出现最大剪应力的点一定在同一截面上
D : 梁中有可能出现这样的截面,即该截面上既出现最大正应力又出现最大剪应力
184 、 单选题
A : Q图、M图都改变
B : Q图、M图都不变
C : M图不变,只Q图改变
D : Q图不变,只M图改变185 、 单选题
A : [F]=A[σ]
B : [F]=2A[σ]
C : [F]=3A[σ]
D : [F]=4A[σ]
186 、 单选题
横截面面积为A的等截面直杆受力F作用发生轴向拉伸变形,其30°斜截面上的正应力和
切应力分别为( )。
A :
B :
C :
D :
187 、 单选题
A : 2
B : 4
C : 8
D : 16188 、 单选题
A :
B : τ
C :
D : 2τ
189 、 单选题
A : 平面弯曲
B : 斜弯曲
C : 平面弯曲与扭转的组合
D : 斜弯曲与扭转的组合
190 、 单选题
A : 8
B : 5
C : 3
D : 12
191 、 单选题A : 图(b)
B : 图(c)
C : 图(d)
D : 图(e)
192 、 单选题
下列受扭圆轴的横截面切应力分布图中,正确的是( )。
A :
B :
C :
D :
193 、 单选题
A : hb
B : cb
C : ab
D : ac194 、 单选题
A : 矩形横截面轴
B : 椭圆横截面轴
C : 圆形横截面轴
D : 各种形状横截面轴
195 、 单选题
A : 横截面上的正应力
B : 斜截面上的正应力
C : 斜截面上的应力
D : 斜截面上的剪应力
196 、 单选题
A :
B :
C :
D :
197 、 单选题
A :
B :
C :
D :
198 、 单选题
A :
B :
C :
D :
199 、 单选题
A :
B :
C :
D :
200 、 单选题
A : 沿横截面Ⅰ—Ⅰ剪断
B : 沿横截面Ⅰ—Ⅰ拉断
C : 沿螺旋面Ⅱ(与试件轴线夹角45°)拉断
D : 沿螺旋面Ⅲ(与试件轴线夹角45°)拉断201 、 单选题
A : 两者相同
B : 2倍
C : 4倍
D : 8倍
202 、 单选题
任意截面形状的等直梁在弹性纯弯曲条件下,中性轴的位置( )。
A : 等分横截面积
B : 通过横截面的形心
C : 通过横截面的弯心
D : 由横截面上拉力对中性轴的力矩等于压力对该轴的力矩的条件确定
203 、 单选题
A : τa>τb
B : τa<τb
C : τa=τb
D : 无法比较
204 、 单选题A : -q
B : (1+v)q
C : -(1+v)q
D : -vq
205 、 单选题
A : 梁截面的中性轴通过形心
B : 梁的最大压应力出现在截面的上边缘
C : 梁的最大压应力与最大拉应力数值不等
D : 梁内最大压应力的值(绝对值)小于最大拉应力
206 、 单选题
A :
B :
C :
D :
207 、 单选题A :
B :
C :
D :
208 、 单选题
A :
B :
C :
D :
209 、 单选题
若将圆轴的直径增加到原来直径的1.5倍,其他条件不变,则轴内的最大剪应力和单位长
度扭角分别减少为原来的( )。
A : 8/27,8/81
B : 4/9,8/27
C : 8/27,16/81D : 4/9,16/81
210 、 单选题
A : 只有E
B : 只有v
C : 只有G
D : E、v和G均可算出
211 、 单选题
A :
B :
C :
D :
212 、 单选题
等截面直杆受力P作用发生轴向拉伸变形。已知横截面面积为A,则横截面上的正应力力
和45°斜截面上的正应力分别为( )。
A : P/A,P/2AB :
C : P/2A,P/2A
D :
213 、 单选题
A :
B :
C :
D :
214 、 单选题
A :
B :
C :
D :
215 、 单选题
A : μ>2
B : 0.7<μ<2
C : 0.5<μ<0.7
D : μ<0.5
216 、 单选题
A : F1=F2=F3
B : F1=F2≠F3
C : F1≠F2=F3
D : F1≠F2≠F3
217 、 单选题A : [P]=A[σ]
B : [P]=2A[σ]
C : [P]=3A[σ]
D : [P]=4A[σ]
218 、 单选题
画梁的挠曲线大致形状时应考虑( )。
A : 梁的刚度
B : 梁的外力分布
C : 梁的支座和弯矩的正负号
D : 坐标系的选择
219 、 单选题
A :
B :
C :
D :
220 、 单选题
A :
B :
C :
D :
221 、 单选题
下列四个杆件均受图示轴向力作用,其中轴力图不正确的是( )。
A :
B :
C :
D :
222 、 单选题
压杆失稳是指压杆在轴向压力作用下( )。
A : 局部横截面的面积迅速变化
B : 危险截面发生屈服或断裂
C : 不能维持平衡状态而突然发生运动
D : 不能维持直线平衡状态而突然变弯
223 、 单选题A :
B :
C :
D :
224 、 单选题
当低碳钢试件的试验应力σ=σs时,试件将( )。
A : 完全失去承载能力
B : 破断
C : 发生局部颈缩现象
D : 产生很大的塑性变形
225 、 单选题
下列表述中,正确的是( )。
A : 内力不但与梁的长度方向的尺寸和外力(包括反力)有关,而且与支承条件有关
B : 应力不但与内力有关,而且与材料性能有关
C : 应力和内力均与材料性能有关
D : 内力只与梁的长度方向的尺寸和外力(包括反力)有关,与其他无关;而应力只与内
力及截面形状和尺寸有关,与其他无关
226 、 单选题A : 2.4
B : 6.6
C : 0.42
D : 1.7
227 、 单选题
A :
B :
C :
D :
228 、 单选题A : 40MPa
B : 60MPa
C : 50MPa
D : 20MPa
229 、 单选题
A : 剪力图、弯矩图都改变
B : 剪力图不变,只弯矩图改变
C : 弯矩图不变,只剪力图改变
D : 剪力图、弯矩图都不变
230 、 单选题
A : 2.5kN·m,3kN·m
B : -2.5kN·m,-3kN·m
C : -2.5kN·m,3kN·m
D : 2.5kN·m,-3kN·m
231 、 单选题A : Q、M图都相同
B : Q、M图都不相同
C : Q图相同,M图不同
D : M图相同,Q图不同
232 、 单选题
A : Ⅰ梁最大挠度是Ⅱ梁的1/4倍
B : Ⅰ梁最大挠度是Ⅱ梁的1/2倍
C : Ⅰ梁最大挠度是Ⅱ梁的2倍
D : Ⅰ、Ⅱ梁的最大挠度相等
233 、 单选题
A :
B :
C :
D :
234 、 单选题
A : 15
B : 30
C : 45
D : 60
235 、 单选题
A :
B :
C :
D :
236 、 单选题A :
B :
C :
D :
237 、 单选题
A : P
B : 3P
C : 4P
D : -4P
238 、 单选题A : (a)更危险
B : (b)更危险
C : 同样危险
D : 无法确定
239 、 单选题
A : σ≤σ,τ<[τ]
B :
C :
D :
240 、 单选题
A : 87.7
B : 96.8C : 100
D : 245
241 、 单选题
A :
B :
C :
D :
242 、 单选题
A :
B :
C :
D :
243 、 单选题
A : σ1=40MPa,ao=30°
B : σ1=80MPa,ao=30°
C : σ1=40MPa,ao=60°
D : σ1=80MPa,ao=60°
244 、 单选题
A : 40
B : 80
C : 120
D : 160
245 、 单选题
A :
B :
C :
D :
246 、 单选题
A : εa
B : 2εa
C :
D : 4εa
247 、 单选题
A :
B :
C :
D :
248 、 单选题
A : 80mm
B : 100mm
C : 125mm
D : 83mm
249 、 单选题
A :
B :
C :
D :
250 、 单选题
A :
B :
C :
D :
251 、 单选题
A :
B :
C :
D :
252 、 单选题直径为d的实心圆轴受扭,为使扭转最大切应力减小一半。圆轴的直径应改为( )。
A : 2d
B : 0.5d
C :
D :
253 、 单选题
A : τa=τb
B : τa≈τb
C : τb>τa
D : τa>τb
254 、 单选题
A : 45
B : 50
C : 78.5
D : 90
255 、 单选题A : 、C
B :
C :
D : A
256 、 单选题
A : B梁只发生弯曲变形
B : AC段发生弯曲变形,BC段发生拉伸与弯曲组合变形
C : AC段发生压缩与弯曲组合变形,BC段发生拉伸与弯曲组合变形
D : AC段发生压缩与弯曲组合变形,BC段发生弯曲变形
257 、 单选题
A :
B :
C :
D :
258 、 单选题
A : (a)与(d)
B : (b)与(c)
C : (a)与(d)及(c)与(b)
D : (a)与(b)及(c)与(d)
259 、 单选题
A : 截面D位移为0
B :
C :
D :
260 、 单选题A : 2
B : 4
C : 8
D : 16/5
261 、 单选题
设受扭圆轴中的最大切应力为τ,则最大正应力( )。
A : 出现在横截面上,其值为τ
B : 出现在45°斜截面上,其值为2τ
C : 出现在横截面上,其值为2τ
D : 出现在45°斜截面上,其值为τ
262 、 单选题
A :
B :
C :
D :
263 、 单选题
A :
B :
C :
D :
264 、 单选题
A :
B :
C :
D :
265 、 单选题
A :
B :
C :
D :
266 、 单选题
A :
B :
C :
D :
267 、 单选题
A :
B :
C :
D :
268 、 单选题A : 105
B : 111.1
C : 166.7
D : 172
269 、 单选题
圆截面细长压杆的材料和杆端约束保持不变,若将其直径减小一半,则压杆的临界压力
为原压杆的( )。
A : 1/2
B : 1/4
C : 1/8
D : 1/16
270 、 单选题
A :
B :
C :
D :
271 、 单选题
A : 20
B : 40
C : 50
D : 60
272 、 单选题
剪应力互等定理仅适用于( )。
A : 线弹性范围
B : 纯剪切应力状态
C : 受剪切的构件
D : 单元体上两个相互垂直平面上的剪应力分析
273 、 单选题
A :
B :
C :
D :
274 、 单选题A : a塑性好,b强度高,c刚度大
B : a强度高,b刚度大,c塑性好
C : a塑性好,b刚度大,c强度高
D : a强度高,b塑性好,c刚度大
275 、 单选题
A : 弯曲+扭转
B : 弯曲+轴向拉伸
C : 弯曲+轴向压缩
D : 轴向压缩
276 、 单选题
等截面直杆受拉力P作用,若选用三种不同的截面形状:圆形、正方形、空心圆,比较
材料的用量,则是( )。
A : 正方形截面最费料
B : 圆形截面最省料
C : 空心圆截面最省料
D : 三者用料相同
277 、 单选题A :
B :
C :
D :
B :
C :
D :
3 、 单选题
A :
B :
C :
D :
4 、 单选题
A : 0.59
B : 1.53
C : 1.70
D : 2.12
5 、 单选题A : 0.98
B : 0.49
C : 1.02
D : 2.04
6 、 单选题
A :
B :
C :
D :
7 、 单选题
A : 螺栓的拉伸强度
B : 螺栓的剪切强度
C : 螺栓的挤压强度
D : 平板的挤压强度
8 、 单选题
A : 0
B : 1.0
C : 1.5
D : 2.0
9 、 单选题
已知圆截面杆扭转时,横截面上的最大剪应力为τmax,两端面间的相对扭转角为φ。若
圆杆的直径增大一倍(即为原直径的两倍),则此时的最大剪应力τ´max和相对扭 转角φ´
与原来的τmax和φ的比值为( )。
A : τ´max/τmax=1/2,φ´/φ=1/4
B : τ´max/τmax=1/4,φ´/φ=1/8
C : τ´max/τmax=1/8,φ´/φ=1/8
D : τ´max/τmax=1/8,φ´/φ=1/16
10 、 单选题
关于截面的几何性质,下列说法正确的是( )。
A : 图形对其对称轴的静矩为零,惯性矩不为零,惯性积为零
B : 图形对其对称轴的静矩不为零,惯性矩和惯性积均为零
C : 图形对其对称轴的静矩、惯性矩及惯性积均为零
D : 图形对其对称轴的静矩、惯性矩及惯性积均不为零11 、 单选题
A :
B :
C :
D :
12 、 单选题
从结构构件中不同点取出的应力单元体如图所示,构件材料为Q235钢材,若以第三强度
理论校核时,则相当应力最大者为( )。
A :
B :
C :
D :
13 、 单选题A : (Iy)a=(Iy)b,(Iz)a<(Iz)b
B : (Iy)a=(Iy)b,(Iz)a>(Iz)b
C : (Iy)a>(Iy)b,(Iz)a=(Iz)b
D : (Iy)a<(Iy)b,(Iz)a=(Iz)b
14 、 单选题
A : (a)、(b)、(c)、(d)
B : (d)、(a)、(b)、(c)
C : (c)、(d)、(a)、(b)
D : (b)、(c)、(d)、(a)
15 、 单选题A : 92.4kN
B : 140kN
C : 104.3kN
D : 150kN
16 、 单选题
A : 385MPa
B : -385MPa
C : 714MPa
D : -714MPa
17 、 单选题A :
B :
C :
D :
18 、 单选题
影响梁截面弯曲中心位置的主要因素是( )。
A : 材料的力学性质
B : 荷载的分布情况
C : 截面的几何形状和尺寸
D : 支承条件
19 、 单选题
A :
B :
C :
D :
20 、 单选题
A : 50MPa
B : 150MPa
C : 25MPa
D : 75MPa
21 、 单选题
A : 2
B : 4
C : 6
D : 8
22 、 单选题A :
B :
C :
D :
23 、 单选题
A :
B :
C :
D :
24 、 单选题
A :
B :
C :
D :
25 、 单选题
A :
B : P/2dt
C : P/2bt
D :
26 、 单选题A :
B :
C :
D :
27 、 单选题
A : 状态a
B : 状态b
C : 状态c
D : 状态d
28 、 单选题A : 2
B : 3
C : 4
D : 5
29 、 单选题
A : μ<0.5
B : 0.5<μ<0.7
C : 0.7<μ<2
D : μ>2
30 、 单选题
A :
B :
C :
D :
31 、 单选题A : 三种应力状态均相同
B : 都不相同
C : (b)和(c)相同
D : (a)和(c)相同
32 、 单选题
A : 1/2
B :
C : 1
D :
33 、 单选题
A : 79.5
B : 104.1
C : 126.8D : 142.5
34 、 单选题
A :
B :
C :
D :
35 、 单选题
A :
B :
C :
D :
36 、 单选题
A : 剪力为零,弯矩不为零
B : 剪力不为零,弯矩为零
C : 剪力和弯矩均为零
D : 剪力和弯矩均不为零
37 、 单选题
A :
B :
C :
D :
38 、 单选题A : 图(1)
B : 图(2)
C : 图(3)
D : 图(4)
39 、 单选题
A : 1.8
B : 2.6
C : 3.5
D : 4.3
40 、 单选题A : 0°
B : 30°
C : 45°
D : 60°
41 、 单选题
A : 两个都最大
B : 两个都最小
C : 一个最大,一个最小
D : 不能确定
42 、 单选题
A : 偏心拉伸
B : 纵横弯曲
C : 弯扭组合
D : 拉弯扭组合43 、 单选题
A : 剪力图有突变,弯矩图连续光滑
B : 剪力图有尖角,弯矩图连续光滑
C : 剪力图、弯矩图都有尖角
D : 剪力图有突变,弯矩图有尖角
44 、 单选题
A :
B :
C :
D :
45 、 单选题
下面选项中受扭圆轴横截面上的切应力分布图中,正确的切应力分布应是( )。
A :
B :
C :
D :
46 、 单选题
A : 斜截面上的正应力
B : 斜截面上的剪应力
C : 横截面上的正应力
D : 斜截面上的总应力
47 、 单选题
A :
B :
C :
D :
48 、 单选题
A :
B :
C :
D :
49 、 单选题
A : (1),(2)
B : (2),(3)
C : (1),(3)
D : 全对50 、 单选题
A : I梁最大挠度是Ⅱ梁的1/8倍
B : I梁最大挠度是Ⅱ梁的1/4倍
C : I梁最大挠度是Ⅱ梁的4倍
D : I、Ⅱ梁最大挠度相等
51 、 单选题
在图示4种应力状态中,最大切应力值最大的应力状态是( )。
A :
B :
C :
D :
52 、 单选题
A :
B :
C :
D :
53 、 单选题
A : σ1>σ2>0,σ3=0
B : σ3<σ2<0,σ1=0
C : σ1>0,σ2=0,σ3<0,|σ1|<|σ3|
D : σ1>0,σ2=0,σ3<0,|σ|>|σ3|
54 、 单选题
A : 2
B : 4
C : 8
D : 16
55 、 单选题A :
B :
C :
D :
56 、 单选题
设受扭圆轴中的最大剪应力为τ,则最大正应力( )。
A : 出现在横截面上,其值为τ
B : 出现在45°斜截面上,其值为2τ
C : 出现在横截面上,其值为2τ
D : 出现在45°斜截面上,其值为τ
57 、 单选题
A :
B :
C :
D : 不能确定58 、 单选题
A :
B :
C :
D :
59 、 单选题
A : 100MPa(压应力)
B : 80MPa(压应力)
C : 180MPa(压应力)
D : 180MPa(拉应力)
60 、 单选题
A : τ=P/(πDH)
B : τ=P/(2dH)
C : τ=P/(πdH)
D :
61 、 单选题
A : 80
B : 100
C : 120
D : 150
62 、 单选题
A :
B :
C :
D :
63 、 单选题A :
B :
C :
D :
64 、 单选题
A : 图(e)最小,图(f)最大
B : 图(e)最小,图(d)最大
C : 图(f)最小,图(d)最大
D : 图(c)最小,图(d)最大
65 、 单选题A : 点
B : 点
C : 点
D : 点
66 、 单选题
A :
B :
C :
D :
67 、 单选题
在横截面积相等,材料性质及约束条件相同的情况下,四种截面形状稳定性最好的为( )。
A :
B :
C :
D :
68 、 单选题
A :
B :
C :
D :
69 、 单选题
A :
B :
C :
D :
70 、 单选题
A :
B :
C :
D :
71 、 单选题
A :
B :
C :
D :
72 、 单选题
A : [P]=165kN
B : [P]=181kN
C : [P]=346kN
D : [P]=420kN
73 、 单选题
A :
B :
C :
D :
74 、 单选题
A : 2B : 4
C : 8
D : 16
75 、 单选题
A : 18
B : 20
C : 25
D : 30
76 、 单选题
A : 横截面上的正应力
B : 斜截面上的正应力
C : 斜截面上的应力
D : 斜截面上的切应力
77 、 单选题
A :
B :
C :
D :
78 、 单选题
由梁的正应力强度条件确定梁的合理截面形式,其根据是( )。
A : W/A=1好
B : W/A=2好
C : W/A越小越好
D : W/A越大越好
79 、 单选题
A :
B :
C :
D :
80 、 单选题A :
B :
C :
D :
81 、 单选题
A : P1=P2
B : P1<P2
C : P1>P2
D : 不能确定其关系
82 、 单选题
受扭实心圆杆的许可荷载为T,若将其横截面面积增加一倍,则其许可荷载增大为( )。
A :
B : 2T
C :
D : 4T
83 、 单选题
A : 0,γ
B : 0,2γ
C : γ,γ
D : γ,2γ
84 、 单选题
A : 12.7
B : 18.7
C : 15.9
D : 31.8
85 、 单选题
工程上通常用伸长率区分材料,以下关于脆性材料的划分,哪个是正确的?( )。
A : δ<5%
B : δ<0.5%
C : δ<5
D : δ<0.5
86 、 单选题A : 螺栓的拉伸强度
B : 螺栓的剪切强度
C : 螺栓的挤压强度
D : 平板的挤压强度
87 、 单选题
等截面直梁弯曲变形时,挠曲线的最大曲率发生在( )。
A : 挠度最大截面
B : 转角最大截面
C : 剪力最大截面
D : 弯矩最大截面
88 、 单选题
A :
B :
C :
D :
89 、 单选题A : 点
B : 点
C : 点
D : 点
90 、 单选题
A :
B :
C :
D :
91 、 单选题
非对称的薄壁截面梁受横向力作用时,若要求梁只产生平面弯曲而不发生扭转,则横向
力作用的条件为( )。
A : 作用面与形心主惯性面重合
B : 作用面与形心主惯性面平行
C : 通过弯曲中心的任意平面
D : 通过弯曲中心,平行于主惯性平面
92 、 单选题
A :
B :
C :
D :
93 、 单选题
A : 2m/3L(↑)
B : 2m/3L(↓)
C : 3m/2L(↑)
D : 3m/2L(↓)
94 、 单选题
A : 7.8mm
B : 78mm
C : 16.7mm
D : 83mm95 、 单选题
A : -85
B : 85
C : -75
D : 75
96 、 单选题
A :
B :
C :
D :
97 、 单选题A :
B :
C :
D :
98 、 单选题
A : 6MPa
B : O.346MPa
C : 5.654MPa
D : 6.346MPa
99 、 单选题A : 将轮C与轮D对调
B : 将轮B与轮D对调
C : 将轮B与轮C对调
D : 将轮B与轮D对调,然后再将轮B与轮B对调
100 、 单选题
A : 3.12
B : 5.05
C : 5.65
D : 6.24
101 、 单选题
A : m1=2m2
B : m2=2m1
C : m1=3m2
D : m2=3m1102 、 单选题
A : (a)点应力状态较危险
B : (b)应力状态较危险
C : 两者的危险程度相同
D : 不能判定
103 、 单选题
A :
B :
C :
D :
104 、 单选题
A :
B :
C :
D :
105 、 单选题
A :
B :
C :
D :
106 、 单选题A : 斜弯曲与轴向压缩的组合
B : 平面弯曲与轴向压缩的组合
C : 斜弯曲
D : 平面弯曲
107 、 单选题
A : 2
B : 4
C : 8
D : 16
108 、 单选题
A : 状态1
B : 状态2
C : 状态3
D : 状态4
109 、 单选题
切应力互等定理适用情况是( )。
A : 纯剪切应力状态B : 平面应力状态,而不论有无正应力作用
C : 弹性范围(即切应力不超过剪切比例极限)
D : 空间任意应力状态
110 、 单选题
A : 增加1倍
B : 为原来的4倍
C : 为原来的1/4
D : 为原来的1/2
111 、 单选题
A :
B :
C :
D :
112 、 单选题A :
B :
C :
D :
113 、 单选题
A : ab
B : cb
C : lb
D : lc
114 、 单选题
A : 8
B : 2C : 16
D : 4
115 、 单选题
A :
B :
C :
D :
116 、 单选题
A : [P]=38.2kN
B : [P]=10Kn
C : [P]=3.75kN
D : [P]=3.4kN
117 、 单选题
两薄壁圆筒的内径D、壁厚t和承受内压p均相同,一筒两端封闭,一筒两端开口。若用第三强度理论校核两筒的强度,则( )。
A : 两筒的安全程度相同
B : 开口筒较闭口筒安全
C : 闭口筒较开口筒安全
D : 两筒危险点的应力状态不同,无法比较
118 、 单选题
A : a
B : π/a
C : -a
D : π/2+a
119 、 单选题
A :
B :
C :
D :
120 、 单选题
下列关于应力与内力关系的描述中,正确的是( )。
A : 应力是内力的集度
B : 内力必大于应力
C : 内力为应力的代数和
D : 应力是内力的平均值
121 、 单选题
A :
B :
C :
D :
122 、 单选题
A :
B :
C :
D :
123 、 单选题
A :
B :
C :
D :
124 、 单选题
A :
B :
C :
D :
125 、 单选题
A :
B :
C :
D :
126 、 单选题
A : 26.7
B : 44.4
C : 50
D : 133.3127 、 单选题
提高钢制大柔度压杆承载能力有如下方法,请判断哪一种是最正确的?( )
A : 减小杆长、减小长度系数,使压杆沿截面两形心主轴方向的柔度相等
B : 增加横截面面积、减小杆长
C : 增加惯性矩、减小杆长
D : 采用高强度钢
128 、 单选题
关于铸铁的极限应力有以下结论,哪个是正确的?( )。
A :
B :
C :
D :
129 、 单选题
正多边形截面、圆形截面有( )形心主惯性轴。
A : 一根
B : 无穷多根
C : 一对
D : 三对
130 、 单选题
A : 0
B : 1.5mm
C : 2.5mm
D : 5.5m
131 、 单选题A : Q图相同,M图不同
B : Q图不同,M图相同
C : Q图和M图均相同
D : Q图和M图均不相同
132 、 单选题
A :
B :
C : A与B一样
D : 不确定
133 、 单选题
A : 60
B : -60
C : 20
D : -20134 、 单选题
按第三强度理论计算等截面直杆弯扭组合变形的强度问题时,应采用的强度公式为( )。
A :
B :
C :
D :
135 、 单选题
A :
B :
C :
D :
136 、 单选题
A : BC段有位移
B : C段有变形C : BC段既有变形又有位移
D : BC段既无变形又无位移
137 、 单选题
直径为d的圆形对其形心轴的惯性半径i等于( )。
A : d/2
B : d/4
C : d/6
D : d/8
138 、 单选题
A : σb:a>b>c,E:a>b>c,δ:b>c>a
B : σb:a>b>c,E:b>a>c,δ:c>b>a
C : σb:a>b>c,E:c>b>a,δ:c>b>a
D : σb:a>b>c,E:b>a>c,δ:b>c>a
139 、 单选题
圆轴直径为d,剪切弹性模量为G,在外力作用下发生扭转变形,现测得单位长度扭转角
为θ,圆轴的最大切应力是( )。
A :
B :
C : τ=θGd
D :
140 、 单选题
A : 拉伸与弯曲组合
B : 弯曲变形
C : 压缩与弯曲组合
D : 斜弯曲
141 、 单选题
判断梁横截面上的切应力作用线必须沿截面边界切线方向的依据是( )。
A : 横截面保持平面
B : 不发生扭转
C : 切应力公式应用条件
D : 切应力互等定理
142 、 单选题
A : π:2
B : 2π:5
C : 3π:2
D : 2π:3
143 、 单选题A : 2
B : 4
C : 8
D : 16
144 、 单选题
承受内压的两端封闭的圆柱状薄壁容器,由脆性材料制成,因压力过大表面出现裂纹时,
裂纹的可能方向是( )。
A : 沿圆柱纵向
B : 沿与圆柱纵向夹45°角方向
C : 沿圆柱环向
D : 沿与圆柱纵向夹30°角方向
145 、 单选题
A :
B :
C :
D :
146 、 单选题A :
B :
C :
D :
147 、 单选题
A : 1/2
B : 1/4
C : 1/8
D : 1/16
148 、 单选题
两根同种材料制成的等长实心圆轴,端截面处均受到同样大小的扭矩作用,若第一根轴
的直径是第二根轴直径的一半,则第一根轴的扭转角是第二根轴扭转角的( )倍。
A : 2
B : 4
C : 8
D : 16
149 、 单选题A : 轴的最左端
B : 轴的最右端
C : 齿轮b与c之间
D : 任意截面处
150 、 单选题
A : 单向拉伸,拉弯组合变形
B : 单向拉伸、单向拉伸变形
C : 拉弯组合、单向拉伸变形
D : 拉弯组合、拉弯组合变形
151 、 单选题
斜弯曲的主要特征是( )。
A :
B :
C :
D :
152 、 单选题A :
B :
C :
D :
153 、 单选题
A :
B :
C :
D :
154 、 单选题A :
B :
C :
D :
155 、 单选题
A : Ⅰ梁和Ⅱ梁的最大挠度相同
B : Ⅱ梁的最大挠度是Ⅰ梁的2倍
C : Ⅱ梁的最大挠度是Ⅰ梁的4倍
D : Ⅱ梁的最大挠度是Ⅰ梁1/2倍
156 、 单选题
将圆轴的直径减小到原来的3/4,在其他条件不变的情况下,轴的单位长度扭角与轴内最
大剪应力分别改变为原来的( )。
A :
B :
C :
D :
157 、 单选题
A : 9.38MPa
B : 5.63MPa
C : 3.75MPa
D : 11.26MPa
158 、 单选题
A : 单向应力状态
B : 二向应力状态
C : 三向应力状态
D : 纯剪应力状态
159 、 单选题A :
B :
C :
D :
160 、 单选题
A : 图(a)、图(g)所示截面梁
B : 图(c)、图(e)所示截面梁
C : 图(b)、图(d)所示截面
D : 图(f)、图(h)所示截面
161 、 单选题A : 点A
B : 点B
C : 点C
D : 点D
162 、 单选题
A : 选(a)组
B : 选(b)组
C : 选(c)组
D : (a)、(b)、(c)各组都一样
163 、 单选题
A : 2
B : 1/2
C : 1/8
D : 8
164 、 单选题A : 6N·m
B : 6.25kN·m
C : 9kN·m
D : 12kN·m
165 、 单选题
A :
B :
C :
D :
166 、 单选题
A : 、B都正确
B : A、B都不正确
C : A正确,B不正确
D : A不正确,B正确
167 、 单选题
A : σ≤[σ],τ<[τ]
B :
C :
D :
168 、 单选题A : -σ
B : (1+μ)q
C : -(1+μ)q
D : -μq
169 、 单选题
纯剪切应力状态下,各向同性材料单元体的体积改变为( )。
A : 变大
B : 变小
C : 不变
D : 不一定
170 、 单选题
A :
B :
C :
D :
171 、 单选题
矩形截面梁高度为h,宽为b,在横力弯曲时切应力的分布规律( )。
A : 沿截面高度均匀分布
B : 沿截面宽度均匀分布
C : 沿截面高度线性分布
D : 沿截面宽度线性分布
172 、 单选题
A : 两者的剪力图相同,弯矩图也相同
B : 两者的剪力图相同,弯矩图不同
C : 两者的剪力图不同,弯矩图相同
D : 两者的剪力图不同,弯矩图也不同
173 、 单选题
A :
B :
C :
D :
174 、 单选题A : 1
B : 2
C : 3
D : 4
175 、 单选题
A : μ<0.5
B : 0.5<μ<0.7
C : 0.7<μ<2
D : μ>2
176 、 单选题A :
B :
C :
D :
177 、 单选题
A :
B :
C :
D :
178 、 单选题
A :
B :
C :
D :
179 、 单选题
A : 1.385
B : 2.77
C : 3
D : 5.54
180 、 单选题A :
B :
C :
D :
181 、 单选题
A :
B :
C :
D :
182 、 单选题
A :
B :
C :
D :
183 、 单选题
对于矩形截面梁,下列论述错误的是( )。
A : 出现最大正应力的点处,剪应力必等于零
B : 出现最大剪应力的点处,正应力必等于零
C : 梁中出现最大正应力的点和出现最大剪应力的点一定在同一截面上
D : 梁中有可能出现这样的截面,即该截面上既出现最大正应力又出现最大剪应力
184 、 单选题
A : Q图、M图都改变
B : Q图、M图都不变
C : M图不变,只Q图改变
D : Q图不变,只M图改变185 、 单选题
A : [F]=A[σ]
B : [F]=2A[σ]
C : [F]=3A[σ]
D : [F]=4A[σ]
186 、 单选题
横截面面积为A的等截面直杆受力F作用发生轴向拉伸变形,其30°斜截面上的正应力和
切应力分别为( )。
A :
B :
C :
D :
187 、 单选题
A : 2
B : 4
C : 8
D : 16188 、 单选题
A :
B : τ
C :
D : 2τ
189 、 单选题
A : 平面弯曲
B : 斜弯曲
C : 平面弯曲与扭转的组合
D : 斜弯曲与扭转的组合
190 、 单选题
A : 8
B : 5
C : 3
D : 12
191 、 单选题A : 图(b)
B : 图(c)
C : 图(d)
D : 图(e)
192 、 单选题
下列受扭圆轴的横截面切应力分布图中,正确的是( )。
A :
B :
C :
D :
193 、 单选题
A : hb
B : cb
C : ab
D : ac194 、 单选题
A : 矩形横截面轴
B : 椭圆横截面轴
C : 圆形横截面轴
D : 各种形状横截面轴
195 、 单选题
A : 横截面上的正应力
B : 斜截面上的正应力
C : 斜截面上的应力
D : 斜截面上的剪应力
196 、 单选题
A :
B :
C :
D :
197 、 单选题
A :
B :
C :
D :
198 、 单选题
A :
B :
C :
D :
199 、 单选题
A :
B :
C :
D :
200 、 单选题
A : 沿横截面Ⅰ—Ⅰ剪断
B : 沿横截面Ⅰ—Ⅰ拉断
C : 沿螺旋面Ⅱ(与试件轴线夹角45°)拉断
D : 沿螺旋面Ⅲ(与试件轴线夹角45°)拉断201 、 单选题
A : 两者相同
B : 2倍
C : 4倍
D : 8倍
202 、 单选题
任意截面形状的等直梁在弹性纯弯曲条件下,中性轴的位置( )。
A : 等分横截面积
B : 通过横截面的形心
C : 通过横截面的弯心
D : 由横截面上拉力对中性轴的力矩等于压力对该轴的力矩的条件确定
203 、 单选题
A : τa>τb
B : τa<τb
C : τa=τb
D : 无法比较
204 、 单选题A : -q
B : (1+v)q
C : -(1+v)q
D : -vq
205 、 单选题
A : 梁截面的中性轴通过形心
B : 梁的最大压应力出现在截面的上边缘
C : 梁的最大压应力与最大拉应力数值不等
D : 梁内最大压应力的值(绝对值)小于最大拉应力
206 、 单选题
A :
B :
C :
D :
207 、 单选题A :
B :
C :
D :
208 、 单选题
A :
B :
C :
D :
209 、 单选题
若将圆轴的直径增加到原来直径的1.5倍,其他条件不变,则轴内的最大剪应力和单位长
度扭角分别减少为原来的( )。
A : 8/27,8/81
B : 4/9,8/27
C : 8/27,16/81D : 4/9,16/81
210 、 单选题
A : 只有E
B : 只有v
C : 只有G
D : E、v和G均可算出
211 、 单选题
A :
B :
C :
D :
212 、 单选题
等截面直杆受力P作用发生轴向拉伸变形。已知横截面面积为A,则横截面上的正应力力
和45°斜截面上的正应力分别为( )。
A : P/A,P/2AB :
C : P/2A,P/2A
D :
213 、 单选题
A :
B :
C :
D :
214 、 单选题
A :
B :
C :
D :
215 、 单选题
A : μ>2
B : 0.7<μ<2
C : 0.5<μ<0.7
D : μ<0.5
216 、 单选题
A : F1=F2=F3
B : F1=F2≠F3
C : F1≠F2=F3
D : F1≠F2≠F3
217 、 单选题A : [P]=A[σ]
B : [P]=2A[σ]
C : [P]=3A[σ]
D : [P]=4A[σ]
218 、 单选题
画梁的挠曲线大致形状时应考虑( )。
A : 梁的刚度
B : 梁的外力分布
C : 梁的支座和弯矩的正负号
D : 坐标系的选择
219 、 单选题
A :
B :
C :
D :
220 、 单选题
A :
B :
C :
D :
221 、 单选题
下列四个杆件均受图示轴向力作用,其中轴力图不正确的是( )。
A :
B :
C :
D :
222 、 单选题
压杆失稳是指压杆在轴向压力作用下( )。
A : 局部横截面的面积迅速变化
B : 危险截面发生屈服或断裂
C : 不能维持平衡状态而突然发生运动
D : 不能维持直线平衡状态而突然变弯
223 、 单选题A :
B :
C :
D :
224 、 单选题
当低碳钢试件的试验应力σ=σs时,试件将( )。
A : 完全失去承载能力
B : 破断
C : 发生局部颈缩现象
D : 产生很大的塑性变形
225 、 单选题
下列表述中,正确的是( )。
A : 内力不但与梁的长度方向的尺寸和外力(包括反力)有关,而且与支承条件有关
B : 应力不但与内力有关,而且与材料性能有关
C : 应力和内力均与材料性能有关
D : 内力只与梁的长度方向的尺寸和外力(包括反力)有关,与其他无关;而应力只与内
力及截面形状和尺寸有关,与其他无关
226 、 单选题A : 2.4
B : 6.6
C : 0.42
D : 1.7
227 、 单选题
A :
B :
C :
D :
228 、 单选题A : 40MPa
B : 60MPa
C : 50MPa
D : 20MPa
229 、 单选题
A : 剪力图、弯矩图都改变
B : 剪力图不变,只弯矩图改变
C : 弯矩图不变,只剪力图改变
D : 剪力图、弯矩图都不变
230 、 单选题
A : 2.5kN·m,3kN·m
B : -2.5kN·m,-3kN·m
C : -2.5kN·m,3kN·m
D : 2.5kN·m,-3kN·m
231 、 单选题A : Q、M图都相同
B : Q、M图都不相同
C : Q图相同,M图不同
D : M图相同,Q图不同
232 、 单选题
A : Ⅰ梁最大挠度是Ⅱ梁的1/4倍
B : Ⅰ梁最大挠度是Ⅱ梁的1/2倍
C : Ⅰ梁最大挠度是Ⅱ梁的2倍
D : Ⅰ、Ⅱ梁的最大挠度相等
233 、 单选题
A :
B :
C :
D :
234 、 单选题
A : 15
B : 30
C : 45
D : 60
235 、 单选题
A :
B :
C :
D :
236 、 单选题A :
B :
C :
D :
237 、 单选题
A : P
B : 3P
C : 4P
D : -4P
238 、 单选题A : (a)更危险
B : (b)更危险
C : 同样危险
D : 无法确定
239 、 单选题
A : σ≤σ,τ<[τ]
B :
C :
D :
240 、 单选题
A : 87.7
B : 96.8C : 100
D : 245
241 、 单选题
A :
B :
C :
D :
242 、 单选题
A :
B :
C :
D :
243 、 单选题
A : σ1=40MPa,ao=30°
B : σ1=80MPa,ao=30°
C : σ1=40MPa,ao=60°
D : σ1=80MPa,ao=60°
244 、 单选题
A : 40
B : 80
C : 120
D : 160
245 、 单选题
A :
B :
C :
D :
246 、 单选题
A : εa
B : 2εa
C :
D : 4εa
247 、 单选题
A :
B :
C :
D :
248 、 单选题
A : 80mm
B : 100mm
C : 125mm
D : 83mm
249 、 单选题
A :
B :
C :
D :
250 、 单选题
A :
B :
C :
D :
251 、 单选题
A :
B :
C :
D :
252 、 单选题直径为d的实心圆轴受扭,为使扭转最大切应力减小一半。圆轴的直径应改为( )。
A : 2d
B : 0.5d
C :
D :
253 、 单选题
A : τa=τb
B : τa≈τb
C : τb>τa
D : τa>τb
254 、 单选题
A : 45
B : 50
C : 78.5
D : 90
255 、 单选题A : 、C
B :
C :
D : A
256 、 单选题
A : B梁只发生弯曲变形
B : AC段发生弯曲变形,BC段发生拉伸与弯曲组合变形
C : AC段发生压缩与弯曲组合变形,BC段发生拉伸与弯曲组合变形
D : AC段发生压缩与弯曲组合变形,BC段发生弯曲变形
257 、 单选题
A :
B :
C :
D :
258 、 单选题
A : (a)与(d)
B : (b)与(c)
C : (a)与(d)及(c)与(b)
D : (a)与(b)及(c)与(d)
259 、 单选题
A : 截面D位移为0
B :
C :
D :
260 、 单选题A : 2
B : 4
C : 8
D : 16/5
261 、 单选题
设受扭圆轴中的最大切应力为τ,则最大正应力( )。
A : 出现在横截面上,其值为τ
B : 出现在45°斜截面上,其值为2τ
C : 出现在横截面上,其值为2τ
D : 出现在45°斜截面上,其值为τ
262 、 单选题
A :
B :
C :
D :
263 、 单选题
A :
B :
C :
D :
264 、 单选题
A :
B :
C :
D :
265 、 单选题
A :
B :
C :
D :
266 、 单选题
A :
B :
C :
D :
267 、 单选题
A :
B :
C :
D :
268 、 单选题A : 105
B : 111.1
C : 166.7
D : 172
269 、 单选题
圆截面细长压杆的材料和杆端约束保持不变,若将其直径减小一半,则压杆的临界压力
为原压杆的( )。
A : 1/2
B : 1/4
C : 1/8
D : 1/16
270 、 单选题
A :
B :
C :
D :
271 、 单选题
A : 20
B : 40
C : 50
D : 60
272 、 单选题
剪应力互等定理仅适用于( )。
A : 线弹性范围
B : 纯剪切应力状态
C : 受剪切的构件
D : 单元体上两个相互垂直平面上的剪应力分析
273 、 单选题
A :
B :
C :
D :
274 、 单选题A : a塑性好,b强度高,c刚度大
B : a强度高,b刚度大,c塑性好
C : a塑性好,b刚度大,c强度高
D : a强度高,b塑性好,c刚度大
275 、 单选题
A : 弯曲+扭转
B : 弯曲+轴向拉伸
C : 弯曲+轴向压缩
D : 轴向压缩
276 、 单选题
等截面直杆受拉力P作用,若选用三种不同的截面形状:圆形、正方形、空心圆,比较
材料的用量,则是( )。
A : 正方形截面最费料
B : 圆形截面最省料
C : 空心圆截面最省料
D : 三者用料相同
277 、 单选题A :
B :
C :
D :