文档内容
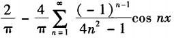
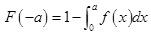
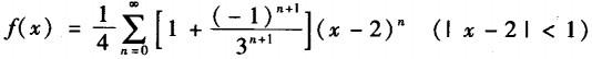
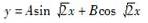
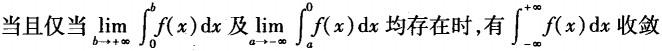
强化练习
即刻题库 www.jike.vip
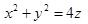
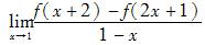
1 、 单选题
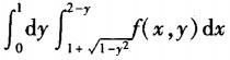
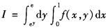
A : -lna
B : lna
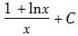
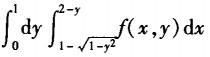
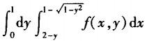
C :
D : 1/2
2 、 单选题
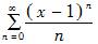
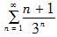
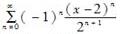
设射手在向同一目标的80次射击中,命中75次,则参数的最大似然估计值为( )。
A : 15/16
B : 0
C : 1/2
D : 1
3 、 单选题
A : (1,0)
B : (1,2)
C : (1,1)
D : (-3,0)
4 、 单选题
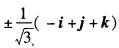
A :
B :
C :
D :
5 、 单选题
A : 只有1条
B : 只有2条
C : 至少有3条
D : 不存在
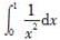
6 、 单选题
设曲线y=1/x与直线y=x及x=2所围图形的面积为A,则计算A的积分表达式为( ).
A :
B :
C :
D :
7 、 单选题
A :
B :
C :
D :
8 、 单选题
A : -6,2,-6
B : -6,-2,6
C : -6,2,6
D : -6,-2,-6
9 、 单选题
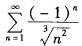
A : 绝对收敛
B : 条件收敛
C : 等比级数收敛
D : 发散
10 、 单选题
A :
B :
C : λ|A|
D :
11 、 单选题
以C表示事件“零件长度合格且直径不合格”,则C的对立事件是( )。
A : “零件长度不合格且直径合格”
B : “零件长度与直径均合格”
C : “零件长度不合格或直径合格”D : “零件长度不合格”
12 、 单选题
A :
B :
C :
D :
13 、 单选题
A : 3
B : 10
C : 4
D : 不能确定
14 、 单选题
A :
B :
C :
D : A、B、C任何关系
15 、 单选题A :
B :
C : 2x
D :
16 、 单选题
设y=f(t),t=φ(x)都可微,则dy=( )。
A : f′(t)dt
B : φ′(x)dx
C : f′(t)φ′(x)dt
D : f′(t)dx
17 、 单选题
A :
B :
C :
D :
18 、 单选题
A : f(x)是有极限的函数
B : f(x)是有界函数
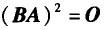
C : f(x)是无穷小量
D :
19 、 单选题
A : 必在x=-3处发散
B : 必在x=2处收敛
C : 必在|x|>3时发散
D : 其收敛区间为[-2,3)
20 、 单选题
设α=i+k,β=-j+k,与α,β都垂直的单位向量为( )。
A : ±(i+j-k)
B :
C :
D :
21 、 单选题
A :
B :
C :
D :
22 、 单选题
A :
B :
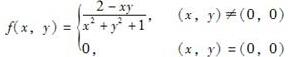
C :
D :
23 、 单选题
3维向量组A:a1,a2,…,am线性无关的充分必要条件是( ).
A : 对任意一组不全为0的数k1,k2,…,km,都有k1a1+k2a2+…+kmam≠0
B : 向量组A中任意两个向量都线性无关
C : 向量组A是正交向量组
D :
24 、 单选题
A :
B :
C :
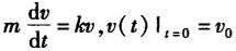
D :
25 、 单选题
A :
B :
C :
D :
26 、 单选题
设非齐次线性微分方程y´+P(x)y=Q(x)有两个不同的解析:y1(x)与y2(x),C为任意常数,
则该方程的通解是( ).
A : C[(y1(x)-y2(x)]
B : y1(x)+C[(y1(x)-y2(x)]
C : [(y1(x)+y2(x)]
D : y1(x)+C[(y1(x)+y2(x)]
27 、 单选题
设X1,…,Xn是取自正态总体N(μ,1)的样本,其中μ未知,μ的无偏估计是( ).
A :
B :
C :
D : X-X1
28 、 单选题
A : 1
B : 1/2
C : 2
D : 1/4
29 、 单选题
若向量组α,β,γ线性无关α,β,δ线性相关,则( )。
A : α必可由β,γ,δ线性表示
B : β必不可由α,γ,δ线性表示
C : δ必可由α,β,γ线性表示D : δ必不可由α,γ,β线性表示
30 、 单选题
设函数f(x)在x=a的某个邻域内连续,且f(a)为其极大值,则存在δ>0,当x∈(a-δ,a+δ)
时,必有( )。
A : (x-a)[f(x)-f(a)]≥0
B : (x-a)[f(x)-f(a)]≤0
C :
D :
31 、 单选题
A :
B :
C :
D :
32 、 单选题
已知直线L1过点M1(0,0,-1)且平行于X轴,L2过点M2(0,0,1)且垂直于XOZ平面,则
到两直线等距离点的轨迹方程为( )。
A :
B :
C :
D :
33 、 单选题
A :
B :
C :
D :
34 、 单选题
A : f(6)-f(1)
B : F(1,1)-F(0,0)
C : f(1)-f(0)
D : F(6,6)-F(1,1)
35 、 单选题
A : β是A的属于特征值0的特征向量
B : α是A的属于特征值0的特征向量
C : β是A的属于特征值3的特征向量
D : α是A的属于特征值3的特征向量
36 、 单选题A :
B :
C :
D :
37 、 单选题
A :
B :
C :
D :
38 、 单选题
设A,B为同阶可逆矩阵,则( )。
A : B=BA
B :
C :
D : 存在可逆矩阵P和Q,使PAQ=B
39 、 单选题
将3个球随机地放入4个杯子中,则杯中球的最大个数为2的概率为( )。
A : 1/16
B : 3/16
C : 9/16D : 4/27
40 、 单选题
向量( )是单位向量。
A : (1,1,-1)
B :
C : (-1,0,0)
D :
41 、 单选题
A :
B :
C :
D :
42 、 单选题
A : F(0)是极大值
B : F(0)是极小值
C : F(0)不是极值,但(0,F(0))是曲线F(x)的拐点坐标
D : F(0)不是极值,(0,F(0))也不是曲线F(x)的拐点坐标
43 、 单选题
A : 4x+2y-z=0B : 4x-2y+z+3=0
C : 16x+8y-16z+11=0
D : 16x-8y+8z-1=0
44 、 单选题
A :
B :
C :
D :
45 、 单选题
A : xsinx
B :
C : xln(1-x)
D : xln(1+x)
46 、 单选题
A : 1
B : -1
C : 0
D : 2
47 、 单选题A :
B :
C :
D :
48 、 单选题
A :
B :
C :
D :
49 、 单选题
A :
B :
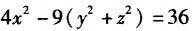
C :
D :
50 、 单选题
A : f(x)是x等价无穷小
B : f(x)与x是同阶但非等价无穷小
C : f(x)是比x高阶的无穷小
D : f(x)是比x低阶的无穷小
51 、 单选题
A : 都是收敛的
B : 都是发散的
C : 左端点收敛,右端点发散
D : 左端点发散,右端点收敛
52 、 单选题
A : 必在|x|>3时发散
B : 必在|x|≤3时发敛
C : 在x=-3处的敛散性不定
D : 其收敛半径为3
53 、 单选题
A : 无实根
B : 有且仅有一个实根
C : 有且仅有两个实根
D : 有无穷多个实根
54 、 单选题
A :
B :
C :
D :
55 、 单选题
A :
B :
C :
D :
56 、 单选题
A :
B :
C :
D :
57 、 单选题A : 2
B : 5
C : -2
D : -4
58 、 单选题
A :
B :
C : 2
D : 0
59 、 单选题
A : π
B :
C :
D :
60 、 单选题
A : (-1,1,2)
B : (-1,1,-2)
C : (1,1,-2)
D : (1,1,2)
61 、 单选题
设A为n阶可逆方阵,则( )不成立。A :
B :
C : -2A可逆
D : A+E可逆
62 、 单选题
设A、B、C为随机事件,则( )。
A : P(A-B-C)=P(A)-P(AB)-P(AC)-P(BC)+P(ABC)
B : P(A-B-C)=P(A)-P(AB)-P(AC)+P(ABC)
C : P(A-B-C)=P(A)-P(AB)-P(BC)+P(ABC)
D : P(A-B-C)=P(A)-P(AC)-P(BC)+P(ABC)
63 、 单选题
下列各选项正确的是( ).
A :
B :
C :
D :
64 、 单选题
n阶实对称矩阵A为正定矩阵,则下列不成立的是( )。
A : 所有k级子式为正(k=1,2,…,n)
B : A的所有特征值非负
C :
D : 秩(A)=n
65 、 单选题A :
B :
C :
D :
66 、 单选题
设曲线y=y(x)上点P(0,4)处的切线垂直于直线x-2y+5=0,且该点满足微分方
程y″+2y′+y=0,则此曲线方程为( )。
A :
B :
C :
D :
67 、 单选题
A : 2
B : -2
C : 0
D : 4
68 、 单选题A :
B :
C : t(1)
D : N(0,1)
69 、 单选题
A : 1/9
B : 1/8
C : 1/10
D : 1/7
70 、 单选题
A : 要求a=b
B :
C :
D : 使用F检验
71 、 单选题
设f(x)在(a,b)内连续,则在(a,b)内f(x)( ).
A : 必有最大值与最小值
B : 最大值与最小值中至少有一个
C : 不可能有最大值和最小值
D : 最大值与最小值可能有也可能没有
72 、 单选题
设f(x)是以2π为周期的周期函数,它在[-π,π)上的表达式为f(x)=|x|,则f(x)的傅里叶级
数为( ).
A :
B :
C :
D :
73 、 单选题
若P(A)>0,P(B)>0,P(AB)=P(A),则下列各式不成立的是( )。
A : P(B|A)=P(B)
B :
C : P(AB)=P(A)P(B)
D : A,B互斥
74 、 单选题
A : f(x)与x是等价无穷小
B : f(x)与x同阶但非等价无穷小
C : f(x)是比x高阶的无穷小
D : f(x)是比x低价的无穷小
75 、 单选题
A :
B :
C :
D :
76 、 单选题
A : p>-1
B : p>0
C : p≥0
D : p≥-1
77 、 单选题
设A是m×n阶矩阵,Ax=0是非齐次线性方程组Ax=b所对应的齐次线性方程组,则下列结
论正确的是( )。
A : 若Ax=0仅有零解,则Ax=b有惟一解
B : 若Ax=0有非零解,则Ax=b有无穷多个解
C : 若Ax=b有无穷多个解,则Ax=0仅有零解
D : 若Ax=b有无穷多个解,则Ax=0有非零解
78 、 单选题
设A是3阶矩阵,矩阵A的第1行的2倍加到第2行,得矩阵B,则下列选项中成立的是( )。
A : B的第1行的-2倍加到第2行得A
B : 的第1列的-2倍加到第2列得A
C : B的第2行的-2倍加到第1行得A
D : B的第2列的-2倍加到第1列得A
79 、 单选题
A : a=b或a+2b=0
B : a=b或a+2b≠0
C : a≠b且a+2b=0
D : a≠b且a+2b≠0
80 、 单选题
A : 1/3
B : 2/3
C : 1/2
D : 1/481 、 单选题
A : λ=-2且%7cB%7c=0
B : λ=-2且%7cB%7c≠0
C : λ=1且%7cB%7c=0
D : λ=1且%7cB%7c≠0
82 、 单选题
微分方程y″+2y=0的通解是( )。
A : y=Asin2x
B : y=Acosx
C :
D :
83 、 单选题
A :
B : A=E
C : |A|=1
D : A=0或A=E
84 、 单选题
A : 过点(0,-2,1),方向向量为2i-j-3k
B : 过点(0,-2,1),方向向量为-2i-j+3k
C : 过点(0,2,-1),方向向量为2i+j-3k
D : 过点(O,2,-1),方向向量为-2i+j+3k85 、 单选题
A : 2
B :
C :
D : 1
86 、 单选题
A :
B :
C :
D :
87 、 单选题
A :
B :
C :
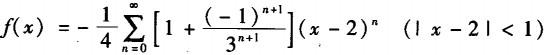
D :
88 、 单选题
A : 1
B :
C : 2
D :
89 、 单选题
A : 1/2N
B : 2N
C : 1/2(N-1)
D : 2(N-1)
90 、 单选题
设随机变量X与Y相互独立,已知P(X≤1)=p,P(Y≤1)=q,则P(max(X,Y)≤1)等于( ).
A : p+q
B : pq
C : p
D : q
91 、 单选题
下列命题中,正确的是( ).
A : 单调函数的导函数必定为单调函数
B : 设f´(x)为单调函数,则f(x)也为单调函数
C : 设f(x)在(a,b)内只有一个驻点xo,则此xo必为f(x)的极值点
D : 设f(x)在(a,b)内可导且只有一个极值点xo,f´(xo)=0
92 、 单选题
A : 过点(1,-1,0),方向向量为2i+j-k
B : 过点(1,-1,0),方向向量为2i-j+kC : 过点(-1,1,0),方向向量为-2i-j+k
D : 过点(-1,1,0),方向向量为2i+j-k
93 、 单选题
A : O
B : -E
C : E
D :
94 、 单选题
A : 2
B : 3
C : 0
D : 不存在
95 、 单选题
A : 充分条件而非必要条件
B : 必要条件而非充分条件
C : 充分必要条件
D : 既非充分条件又非必要条件
96 、 单选题
A :
B :
C :
D :
97 、 单选题
A : 与Δx等价的无穷小
B : 与Δx同阶的无穷小,但不等价
C : 比Δx低阶的无穷小
D : 比Δx高阶的无穷小
98 、 单选题
A :
B :
C :
D :
99 、 单选题
A : (1,-1,2)
B : (-1,1,2)
C : (1,1,2)
D : (-1,-1,2)
100 、 单选题
设随机变量X服从区间(-1,5)上的均匀分布,Y=3X-5,则E(Y)与D(Y)分别等于( ).
A : 1,9
B : 3,27C : 4,27
D : 1,27
101 、 单选题
在下列等式中,正确的结果是( )。
A :
B :
C :
D :
102 、 单选题
A :
B :
C :
D :
103 、 单选题
A :
B :
C :
D :
104 、 单选题
设a,b为非零向量,且满足(a+3b)⊥(7a-5b),(a-4b)⊥(7a-2b),则a与b的夹角θ=( )。
A : 0
B :
C :
D :
105 、 单选题
A :
B :
C :
D :
106 、 单选题
A :
B :
C :
D :
107 、 单选题
在平面x+y+z-2=0和平面x+2y-z-1=0的交线上有一点M,它与平面x+2y+z+1=0
和x+2y+z-3=0等距离,则M点的坐标为( )。
A : (2,0,0)
B : (0,0,-1)
C : (3,-1,0)
D : (0,1,1)
108 、 单选题
下列命题中,错误的是( ).
A : 设f(x)为奇函数,则f(x)的傅里叶级数是正弦级数
B : 设f(x)为偶函数,则f(x)的傅里叶级数是余弦级数
C :
D :
109 、 单选题
A :
B :
C :
D :
110 、 单选题
A : 1
B : 1/2
C : 2
D : 0
111 、 单选题
设f(x)为连续函数,且下列极限都存在,则其中可推出f′(3)存在的是( )。
A :
B :
C :
D :
112 、 单选题
幂级数的收敛域是( )。
A : [-2,4)
B : (-2,4)
C : (-1,1)
D :
113 、 单选题
A : 0
B : 1/2
C : 2
D : +∞
114 、 单选题A : 点(0,0)不是f(x,y)的极值点
B : 点(0,0)是f(x,y)的极大值点
C : 点(0,0)是f(x,y)的极小值点
D : 根据所给条件无法判断点(0,0)是否为f(x,y)的极值点
115 、 单选题
A : 2
B : 0
C : ∞
D : 不存在且不是∞
116 、 单选题
A : 1
B : 0
C : 不存在且不是∞
D : ∞
117 、 单选题
当下列哪项成立时,事件A与B为对立事件( )。
A : B=φ
B : A+B=Ω
C :
D : AB=φ且A+B=Ω
118 、 单选题
A : π/2
B : π/3
C : π/4
D : ∞119 、 单选题
A : 0
B : 1
C : 2
D : 不存在
120 、 单选题
A : 0
B : 1
C : 2
D : 3
121 、 单选题
设A,B均为n阶非零矩阵,且AB=0,则R(A),R(B)满足( )。
A : 必有一个等于0
B : 都小于n
C : 一个小于n,一个等于n
D : 都等于n
122 、 单选题
A :
B :
C :
D :
123 、 单选题已知方阵A满足|A+2E|=0,则A必定有特征值( ).
A : 1
B : 2
C : -1
D : -2
124 、 单选题
A : -1,0
B : 2,3
C : 4,5
D : 1,1
125 、 单选题
A :
B :
C :
D :
126 、 单选题
将质量为m的物体在空气中竖直上抛,初速度为vo,若空气阻力与物体的速度V(t)(t是时
间)成正比,比例系数为k,g为重力加速度.V(t)所满足的微分方程及初始条 件是( ).
A :
B :
C :
D :
127 、 单选题
点M(1,2,1)到平面x+2y+2z-10=0的距离是( )。
A : 1
B : ±1
C : -1
D : 1/3
128 、 单选题
A :
B :
C :
D :
129 、 单选题
设A是n阶方阵,a是n维列向量,下列运算无意义的是( ).
A :
B :
C : αA
D : Aα
130 、 单选题直线L:2x=5y=z-1与平面∏:4x-2z=5的位置关系是( ).
A : 直线L与平面∏平行
B : 直线L与平面∏垂直
C : 直线L在平面∏上
D : 直线L与平面∏相交,但不垂直
131 、 单选题
A :
B :
C :
D :
132 、 单选题
A : -1
B : 1
C : 1/3
D : 2/3
133 、 单选题
设A,B是n阶方阵,下列等式成立的是( ).
A :
B :
C :
D :
134 、 单选题
设A,B是n阶方阵,下列命题正确的是( ).
A : 若A,B都是可逆阵,则A+B也是可逆阵
B : 若A+B是可逆阵,则A、B中至少有一个是可逆阵
C : 若AB不是可逆阵,则A、B也都不是可逆阵
D :
135 、 单选题
A : I(R)是R的一阶无穷小
B : I(R)是R的二阶无穷小
C : I(R)是R的三阶无穷小
D : I(R)至少是R的三阶无穷小
136 、 单选题
设a,b均为向量,下列命题中错误的是( ).
A : a∥b的充分必要条件是存在实数λ,使b=λa
B : a∥b的充分必要条件是a×b=0
C : a⊥b的充分必要条件是a·b=0
D :
137 、 单选题
A : 43
B : 34
C : 12
D : 14
138 、 单选题
A : Pβ
B :
C :
D :
139 、 单选题
A : 为正常数
B : 为负常数
C : 恒为零
D : 不为常数
140 、 单选题
已知随机变量X服从二项分布,且EX=2.4,DX=1.44,则二项分布的参数n,p的值为( )。
A : n=4;p=0.6
B : n=6;p=0.4
C : n=8;p=0.3
D : n=24;p=0.1
141 、 单选题
A :
B :
C :
D :
142 、 单选题A :
B :
C :
D :
143 、 单选题
A : -1
B : 0
C : 1
D : 2
144 、 单选题
A :
B :
C :
D :
145 、 单选题
设A是S×6矩阵,则( )正确。
A : 若A中所有5阶子式均为0,则秩R(A)=4
B : 若秩R(A)=4,则A中5阶子式均为0
C : 若秩R(A)=4,则A中4阶子式均非0
D : 若A中存在不为0的4阶子式,则秩尺(A)=4146 、 单选题
A :
B :
C :
D :
147 、 单选题
A : 三个事件全发生
B : 三个事件全不发生
C : 三个事件不全发生
D : 至少有一个事件发生
148 、 单选题
A : -1.33;2.67
B : -1.33;4.25
C : -0.75;2.67
D : -0.75;4.25
149 、 单选题
A : 10
B : -10
C : -250D : 250
150 、 单选题
设α,β,γ,δ是n维向量,已知α,β线性无关,γ可以由α,β线性表示,δ不能由α,β线
性表示,则以下选项中正确的是( )。
A : α,β,γ,δ线性无关
B : α,β,γ线性无关
C : α,β,δ线性相关
D : α,β,δ线性无关
151 、 单选题
下列矩阵中不能对角化的是( )。
A :
B :
C :
D :
152 、 单选题
设f(x)=(x-a)φ(x),其中φ(x)在x=a处连续,则f´(a)等于( ).
A : aφ(a)
B : -aφ(a)
C : -φ(a)
D : φ(a)
153 、 单选题
A : 0.1
B : 0.3
C : 0.5
D : 0.6154 、 单选题
设平面π的方程为x+z-3=0,以下选项中错误的是( )。
A : 平面π垂直于zox面
B : 平面π垂直于y轴
C : 平面π的法向量为i+k
D : 平面π平行于y轴
155 、 单选题
A : f(x)为偶函数,值域为(-∞,+∞)
B : f(x)为偶函数,值域为(1,+∞)
C : f(x)为奇函数,值域为(-∞,+∞)
D : f(x)为奇函数,值域为(1,+∞)
156 、 单选题
A : +2E
B :
C : AB
D : A-B
157 、 单选题
A :
B :
C :
D :
158 、 单选题对于二元函数z=f(x,y),下列有关偏导数与全微分关系中正确的命题是( )。
A : 偏导数存在,则全微分存在
B : 偏导数连续,则全微分必存在
C : 全微分存在,则偏导数必连续
D : 全微分存在,而偏导数不一定存在
159 、 单选题
A : 不存在
B :
C : 1/56
D :
160 、 单选题
数项级数的部分和数列有界是该级数收敛的( ).
A : 充分条件
B : 必要条件
C : 充分必要条件
D : 既非充分又非必要条件
161 、 单选题
A : 有极限的函数
B : 有界函数
C : 无穷小量
D : 比(x-a)高阶的无穷小
162 、 单选题
A : 连续点
B : 可去间断点
C : 无穷间断点
D : 振荡间断点163 、 单选题
A : |A|>0
B :
C : f的正惯性指数p=n
D : f的负惯性指数q=0
164 、 单选题
设平面π的方程为2x-2y+3=0,以下选项中错误的是( )。
A : 平面π的法向量为i-j
B : 平面π垂直于z轴
C : 平面π平行于z轴
D :
165 、 单选题
A :
B :
C :
D :
166 、 单选题
设α,β,γ都是非零向量,若α×β=α×γ,则( )。
A : β=γ
B : α//β且α//γC : α//(β-γ)
D : α⊥(β-γ)
167 、 单选题
A :
B :
C :
D :
168 、 单选题
A : 5
B :
C : 1/3
D : 1/5
169 、 单选题
设总体X服从参数为λ的泊松分布,其中λ未知.X1,…,Xn是取自总体X的样本,则λ的最
大似然估计是( ).
A :
B :
C : S
D :
170 、 单选题
A : 2ln2
B : 2ln2-1
C : ln2
D : ln2-1
171 、 单选题
A : (-1,1)
B : [-1,1]
C : [-1,1)
D : (-1,1]
172 、 单选题
A : 0
B : 1
C : 2
D : 不存在
173 、 单选题
若在区间(a,b)内,f′(x)=g′(x)则下列等式中错误的是( )。
A : f(x)=cg(x)
B : f(x)=g(x)+c
C :
D : df(x)=dg(x)
174 、 单选题
已知D(X)=2,D(Y)=3,则Cov(X+Y,X-Y)等于( ).
A : 1
B : -1
C : 5D : 6
175 、 单选题
A : 24
B : 36
C : 12
D : 6
176 、 单选题
A : 12
B : -12
C : 18
D : 0
177 、 单选题
A : 0
B :
C : π
D : 2
178 、 单选题
设A为三阶可逆方阵,则( )与A等价。
A :
B :
C :
D :
179 、 单选题
A :
B :
C :
D :
180 、 单选题
若f(x)的导函数是sinx,则f(x)有一个原函数为( )。
A : 1+sinx
B : 1-sinx
C : 1+cosx
D : 1-cosx
181 、 单选题
与向量(1,3,1)和(1,0,2)同时垂直的向量是( )。
A : (3,-1,0)
B : (6,-1,-3)
C : (4,0,-2)
D : (1,0,1)
182 、 单选题
A :
B :
C :
D :
183 、 单选题
A : (3,-1)
B : (3,1)
C : (1,1)
D : (-1,-1)
184 、 单选题
已知f´(x)=1/[x(1+2lnx)],且f(x)等于( )。
A : ln(1+2lnx)+1
B : 1/2ln(1+2lnx)+1
C : 1/2ln(1+2lnx)+1/2
D : 2ln(1+2lnx)+1
185 、 单选题
设a,b,c为非零向量,则与a不垂直的向量是( )。
A : (a·c)b-(a·b)c
B :
C : a×b
D : a+(a×b)×a
186 、 单选题
A : (x-1)+2(y-2)-(z-3)=0
B : (x+1)+2(y+2)+3(z+3)=O
C : (x-1)+2(y-2)+3(z-3)=0
D : (x+1)+2(y+2)-(z+3)=0187 、 单选题
A : 必绝对收敛
B : 必条件收敛
C : 必发散
D : 可能收敛,也可能发散
188 、 单选题
A : a=1,b=2
B : a=-1,b=2
C : a=1,b=0
D : a=-1,b=0
189 、 单选题
设A,B是2个互不相容的事件,P(A)>0,P(B)0,则( )一定成立。
A : P(A)=1-P(B)
B : P(A|B)=0
C :
D :
190 、 单选题
A : x-z-2=0
B : x+z=0
C : x-2y+z=0
D : x+y+z=1
191 、 单选题A :
B :
C :
D :
192 、 单选题
A : 连续
B : 左连续,且不连续
C : 右连续,且不连续
D : 既非左连续,也非右连续
193 、 单选题
设线性无关的函数y1、y2、y3都是二阶非齐次线性方程y″+p(x)y′+q(x)y=f(x)的
解,C1、C2是任意常数,则该非齐次方程的通解是( )。
A : C1y1+C2y2+y3
B : C1y1+C2y2-(C1+C2)y3
C : 1y1+C2y2-(1-C1-C2)y3
D : C1y1+C2y2+(1-C1-C2)y3
194 、 单选题
A :
B :
C :
D :
195 、 单选题
A :
B :
C :
D :
196 、 单选题
三个平面x=cy+bz,y=az+cx,z=bx+ay过同一直线的充要条件是( )。
A : a+b+c+2abc=0
B : a+b+c+2abc=1
C :
D :
197 、 单选题
设X~P(λ),且P{X=3}=P{X=4},则λ为( )。
A : 3
B : 2
C : 1
D : 4
198 、 单选题
A : [-1,1)
B : [4,6)
C : [4,6]D : (4,6]
199 、 单选题
A : 5/2
B : 27/2
C : 27
D : 9/2
200 、 单选题
A : 0
B : 2
C : -1
D : 1
201 、 单选题
A : (1,-1,2)
B : (-1,1,2)
C : (1,1,2)
D : (-1,-1,2)
202 、 单选题
在空间直角坐标系中,方程x=2表示( ).
A : x轴上的点(2,0,0)
B : xOy平面上的直线x=2
C : 过点(2,0,0)且平行于yOz面的平面
D : 过点(2,0,0)的任意平面
203 、 单选题
微分方程ydx+(x-y)dy=0的通解是( )。
A :
B :
C : xy=C
D :
204 、 单选题
A :
B :
C : P(AB)=P(A)P(B)
D : P(AB)≠P(A)P(B)
205 、 单选题
A : π
B :
C :
D :
206 、 单选题
A :
B :
C :
D :
207 、 单选题
A :
B :
C :
D :
208 、 单选题
若A、B为非零常数,C1、C2为任意常数,则微分方程y″+k2y=cosx的通解应具有形式( )。
A : C1coskx+C2sinkx+Asinx+Bcosx
B : C1coskx+C2sinkx+Axcosx
C : 1coskx+C2sinkx+Axsinx
D : C1coskx+C2sinkx+Axsinx+Bxcosx
209 、 单选题
A :
B :
C :
D : 0
210 、 单选题A : T服从t(n-1)分布
B : T服从t(n)分布
C : T服从正态分布N(0,1)
D : T服从F(1,n)分布
211 、 单选题
A : 2
B : 1
C : 0
D : 不存在
212 、 单选题
A : 4/3πab
B :
C :
D :
213 、 单选题
A :
B :
C :
D :
214 、 单选题
A : 平行,但直线不在平面上
B : 直线在平面上
C : 垂直相交
D : 相交但不垂直
215 、 单选题
已知D(X)=4,D(y)=9,Cov(X+y)=2,则D(3X-2Y)等于( ).
A : 96
B : 72
C : 48
D : 36
216 、 单选题
A : a=b=-1,c=1
B : a=-1,b=2,c=-2
C : a=1,b=-2,c=2
D : a=b=-1,c=-1
217 、 单选题
在方差分析中所用的检验的拒绝域的临界值来自( )。
A : 正态分布
B :
C : t分布
D : F分布
218 、 单选题
A : -2或3
B : 2或3C : 2或-3
D : -2或-3
219 、 单选题
下列方阵中具有正定性的是( ).
A :
B :
C :
D :
220 、 单选题
A : 0
B : 9π
C : 3π
D :
221 、 单选题
口袋里装有10只外形相同的球,其中7只红球,3只白球.从口袋中任意取出2只球,则它
们是一只红球、一只白球的概率等于( ).
A : 21/90
B : 21/45
C : 21/100
D : 21/50
222 、 单选题A : 3
B : 2
C : 4
D : 1
223 、 单选题
A : a=-4,b=1
B : a=4,b=-7
C : a=0,b=-3
D : a=b=1
224 、 单选题
A :
B :
C :
D :
225 、 单选题
A :
B :
C :
D :
226 、 单选题
设α={1,1,1},β={1,2,0},则下列结论中哪一个正确?( )。
A : α与β平行
B : α·β=3
C : α与β垂直
D : α×β={2,-1,-1}
227 、 单选题
A : 0.6
B : 0.7
C : 0.8
D : 0.9
228 、 单选题
A : N<P<M
B : M<P<N
C : N<M<P
D : P<M<N
229 、 单选题
A : f(x)为偶函数,值域为(-1,1)
B : f(x)为奇函数,值域为(-∞,0)
C : f(x)为奇函数,值域为(-1,1)
D : f(x)为奇函数,值域为(0,+∞)
230 、 单选题
A :
B :
C :
D :
231 、 单选题
A :
B :
C : 1/5<I<1
D : I≥1
232 、 单选题
下列各级数发散的是( )。
A :
B :
C :
D :
233 、 单选题
A :
B :
C :
D :
234 、 单选题
A : a=0,b=1
B : a=1,b=0
C : a=2,b=-1
D : a=-1,b=2
235 、 单选题
A :
B :
C :
D :
236 、 单选题
A : 条件收敛
B : 绝对收敛
C : 发散
D : 收敛性不能确定
237 、 单选题下列广义积分中收敛的是( )。
A :
B :
C :
D :
238 、 单选题
设a=-i+3j+k,β=i+j+tk,已知α×β=-4i-4k,则t等于( )。
A : 1
B : 0
C : -1
D : -2
239 、 单选题
设向量x垂直于向量a=(2,3,-1)和b=(1,-2,3)且与c=(2,-1,1)的数量积为-6,则向
量x=( )。
A : (-3,3,3)
B : (-3,1,1)
C : (0,6,0)
D : (0,3,-3)
240 、 单选题
A :
B :
C :
D :
241 、 单选题
A : 用洛必达法则后,求得极限为0
B :
C :
D : 因为不能用洛必达法则,故极限不存在
242 、 单选题
A : cosx-sinx+C
B : sinx+cosx+C
C : sinx-cosx+C
D : -cosx+sinx+C
243 、 单选题
A : 0
B : 1
C : 2
D : 3
244 、 单选题
A :
B :
C :
D :
245 、 单选题
设f(x)是以2π为周期的周期函数,在[-π,π]上的表达式为f(x)=cos(x/2),则f(x)的傅里叶
级数为( ).
A :
B :
C :
D :
246 、 单选题
设A是n阶矩阵,矩阵A的第1列的2倍加到第2列,得矩阵B,则以下选项中成立的是( )。
A : B的第1列的-2倍加到第2列得A
B : 的第1行的-2倍加到第2行得A
C : B的第2行的-2倍加到第1行得A
D : B的第2列的-2倍加到第1列得A
247 、 单选题
A : π
B :
C :
D :
248 、 单选题设f(x)是定义在(-∞,+∞)上的连续函数,则( ).
A :
B :
C :
D :
249 、 单选题
n阶行列式Dn=0的必要条件是( )。
A : 以Dn为系数行列式的齐次线性方程组有非零解
B : Dn中有两行(或列)元素对应成比例
C : Dn中各列元素之和为零
D : n中有一行(或列)元素全为零
250 、 单选题
设向量a=(-2,4,4),b=(0,6,3),则a与b的夹角为( ).
A :
B :
C :
D :
251 、 单选题A : αi相等,βi相等
B : αi相等,βi不相等
C : αi不相等,βi相等
D : αi不相等,βi不相等
252 、 单选题
A : 0
B : 1
C : 2
D : 3
253 、 单选题
A : 0
B : 1
C : 2
D : 3
254 、 单选题
A :
B :
C :
D :
255 、 单选题
点(1,1,1)到平面2x+y+2z+5=0的距离d=( )。
A : 10/3
B : 3/10
C : 3
D : 10
256 、 单选题
A : 锥面
B : 单叶双曲面
C : 双叶双曲面
D : 椭圆抛物面
257 、 单选题
A :
B :
C :
D :
258 、 单选题
x=0是函数arctan1/x的( ).
A : 第二类间断点
B : 可去间断点
C : 跳跃间断点
D : 连续点259 、 单选题
A :
B :
C :
D :
260 、 单选题
设向量组A:a1=(1,-1,0),a2=(2,1,t),a3=(0,1,1)线性相关,则t等于( ).
A : 1
B : 2
C : 3
D : 0
261 、 单选题
A : 2
B : 1
C : 1/2
D : 1/4
262 、 单选题
A :
B :
C :
D :
263 、 单选题
A : 64
B : 65.6
C : 66.6
D : 80
264 、 单选题
A : 1
B : 2
C : 3
D : 与a的取值有关
265 、 单选题
A :
B :
C :
D :
266 、 单选题A : 1
B : -1
C : k
D : 1/k
267 、 单选题
在区间(0,2π)上,曲线y=sinx与y=cosx之间所围图形的面积是( )。
A :
B :
C :
D :
268 、 单选题
A : 平行于x轴
B : 与x轴相交
C : 通过原点
D : 与x轴重合
269 、 单选题
A : (-1,1)
B : (-2,2)
C :
D : (-∞,+∞)
270 、 单选题A : 1次
B : 2次
C : 3次
D : 4次
271 、 单选题
A :
B :
C :
D :
272 、 单选题
A :
B :
C :
D :
273 、 单选题A :
B :
C :
D :
274 、 单选题
A : y″+9y′=0
B : y″-9y′=0
C : y″+9y=0
D : y″-9y=0
275 、 单选题
A : 1/2
B :
C : 3/4
D :
276 、 单选题
A :
B :
C :
D :
277 、 单选题
A :
B :
C :
D :
278 、 单选题
下列方程中代表双叶双曲面的是( )。
A :
B :
C :
D :
279 、 单选题A :
B :
C :
D :
280 、 单选题
A : lnx
B : lnx+2(1-2ln2)x
C : lnx-2(1-2ln2)x
D : lnx+(1-2ln2)x
281 、 单选题
A :
B :
C :
D :
282 、 单选题A : 12
B : -6
C : -12
D : 0
283 、 单选题
微分方程y[lny-lnx]dx=xdy的通解是( )。
A :
B :
C : xy=C
D :
284 、 单选题
A :
B :
C :
D :
285 、 单选题
下列结论中,错误的是( ).
A :
B :
C :
D :
286 、 单选题
A : A|>0
B : A|=0
C : A|<0
D : 以上三种都有可能
287 、 单选题
A :
B :
C :
D :
288 、 单选题
假设事件A和B满足P(B|A)=1,则( )。
A : 是必然事件
B :
C :
D :
289 、 单选题
A : 变长
B : 变短
C : 保持不变
D : 不能确定
290 、 单选题
A :
B :
C :
D :
291 、 单选题
设A,B,C是三个随机事件,则事件“A、B、C不多于一个发生”的逆事件是( )。
A : 、B、C至少有一个发生
B : A、B、C至少有二个发生
C : A、B、C都发生
D : A、B、C不都发生
292 、 单选题
A : 3
B : 7
C : 8
D : 9293 、 单选题
A :
B :
C :
D :
294 、 单选题
设两个相互独立的随机变量X和Y的方差分别为4和2,则随机变量3X-2Y的方差是( )。
A : 8
B : 16
C : 28
D : 44
295 、 单选题
A :
B :
C :
D :
296 、 单选题
A :
B :
C :
D :
297 、 单选题
A :
B :
C :
D :
298 、 单选题
A : P(X≤λ)=P(X≥λ)
B : P(X≥λ)=P(X≤-λ)
C :
D :
299 、 单选题
设随机变量X服从正态分布N(-1,9),则随机变量Y=2-X服从( ).
A : 正态分布N(3,9)
B : 均匀分布
C : 正态分布N(1,9)
D : 指数分布300 、 单选题
A : 充分条件,但非必要条件
B : 必要条件,但非充分条件
C : 充分必要条件
D : 既非充分条件,又非必要条件
301 、 单选题
A : λ=1
B :
C :
D :
302 、 单选题
A : L1//L2
B : L1,L2相交但不垂直
C : L1⊥L2但不相交
D : L1,L2是异面直线
303 、 单选题
A : 绝对收敛
B : 条件收敛
C : 发散
D : 收敛性与α的取值有关304 、 单选题
下列等式中,错误的是( ).
A :
B :
C :
D :
305 、 单选题
A : 通解
B : 特解
C : 是解,但既非通解也非特解
D : 不是解
306 、 单选题
若A~B,则有( )。
A : λE-A=λE-B
B : |A|=|B|
C : 对于相同的特征值λ,矩阵A与B有相同的特征向量
D : A与B均与同一个对角矩阵相似
307 、 单选题
A :
B :
C :
D :
308 、 单选题
A :
B :
C :
D :
309 、 单选题
A :
B : 1/n
C :
D :
310 、 单选题
圆周ρ=1,ρ=2cosθ及射线θ=0,θ=π/3所围图形的面积S为( )。
A :
B :
C :
D :
311 、 单选题
A :
B :
C :
D :
312 、 单选题
A :
B :
C :
D :
313 、 单选题
A :
B :
C :
D :
314 、 单选题
微分方程y″-4y=4的通解是( )。(c1,c2为任意常数)
A :
B :
C : e2x-e-2x+1
D : c1e2x+c2e-2x-2
315 、 单选题
已知某个连续型随机变量X的数学期望E(X)=1,则X的概率密度函数不可能是( ).
A :
B :
C :
D :
316 、 单选题
A : 1
B : -1
C : 2
D : -2317 、 单选题
A : λ>-1
B : λ>0
C : λ>1
D : λ≥1
318 、 单选题
A : -2
B : 2
C : -1
D : 1
319 、 单选题
A : c>0
B : 0<λ<1
C : c=1-λ
D :
320 、 单选题
A : 单叶双曲面
B : 双叶双曲面
C : 旋转双曲面
D : 圆锥面
321 、 单选题
A :
B :
C : 1
D : 2
322 、 单选题
A :
B :
C :
D :
323 、 单选题
A :
B :
C :
D :
324 、 单选题
A : x轴
B : y轴
C : z轴
D : 直线x=y=z325 、 单选题
A :
B :
C :
D :
326 、 单选题
把一颗均匀骰子掷了6次,假定各次出现的点数相互不影响,随机变量X表示出现6点的
次数,则X服从( ).
A : 参数n=6,p=1/2的二项分布
B : 参数n=1,p=1/6的二项分布
C : 参数n=6,p=1/6的二项分布
D : 非二项分布
327 、 单选题
设事件A与B互不相容,且P(A)>0,P(B)>0,则下列结论正确的是( )。
A : P(A|B)=P(A)
B : P(A|B)=0
C : P(AB)=P(A)P(B)
D : P(B|A)>0
328 、 单选题
A :
B :
C :
D :
329 、 单选题
设随机变量X服从正态分布N(μ,1).已知P(X≤μ-3)=c,则P(μ<x<μ+3)等于( ).
A : 2c-1
B : 1-c
C : 0.5-c
D : 0.5+c
330 、 单选题
A : 1/4
B : 1/2
C : 2
D : 0
331 、 单选题
A : 2
B : -2
C : 4
D : -4
332 、 单选题
A : 0.4
B : 0.6
C : 0.5
D : 0.3333 、 单选题
A :
B :
C :
D :
334 、 单选题
A : f(-x,y)=f(x,y),f(x,-y)=-f(x,y)
B : f(-x,y)=f(x,y),f(x,-y)=f(x,y)
C : f(-x,y)=-f(x,y),f(x,-y)=-f(x,y)
D : f(-x,y)=-f(x,y),f(x,-y)=f(x,y)
335 、 单选题
设X1,…,Xn是取自正态总体N(μ,1)的样本,其中μ未知,下列μ的无偏估计中,最有
效的是( ).
A :
B :
C :
D : X1
336 、 单选题A : 1
B : 2
C : 3
D : 4
337 、 单选题
设随机变量x与Y相互独立,它们分别服从参数λ=2的泊松分布与指数分布.记Z=X-2Y,则
随机变量Z的数学期望与方差分别等于( ).
A : 1,3
B : -2,4
C : 1,4
D : -2,6
338 、 单选题
已知a、b均为非零向量,而|a+b|=|a-b|,则( )。
A : a-b=0
B : a+b=0
C : a·b=0
D : a×b=0
339 、 单选题
A : 0
B : 2
C : 0.8
D : 2或0.8
340 、 单选题
A : 过点(-1,2,-3),方向向量为i+2j-3kB : 过点(-1,2,-3),方向向量为-i-2j+3k
C : 过点(1,2,-3),方向向量为i-2j+3k
D : 过点(1,-2,3),方向向量为-i-2j+3k
341 、 单选题
A :
B :
C :
D :
342 、 单选题
设A是n阶矩阵,且Ak=O(k为正整数),则( )。
A : 一定是零矩阵
B : A有不为0的特征值
C : A的特征值全为0
D : A有n个线性无关的特征向量
343 、 单选题
A :
B :
C :
D :
344 、 单选题
A : 充分条件,但非必要条件
B : 必要条件,但非充分条件
C : 充分必要条件
D : 既非充分条件,又非必要条件
345 、 单选题
A : 发散
B : 条件收敛
C : 绝对收敛
D : 收敛性与α有关
346 、 单选题
A : π/6
B : π/4
C : π/3
D : π/2
347 、 单选题
A :
B :
C :
D :
348 、 单选题
A :
B :
C :
D :
349 、 单选题
A :
B :
C :
D :
350 、 单选题
A :
B :
C :
D :
351 、 单选题
A : 10!
B : -10!
C : 9!
D : -9!
352 、 单选题
设A,B都是n阶方阵,下列等式不正确的是( ).
A :
B :
C :
D :
353 、 单选题
A :
B :
C :
D :
354 、 单选题
下列结论正确的是( ).
A : x=f(x,y)在点(x,y)的偏导数存在是f(x,y)在该点连续的充分条件
B : z=f(x,y)在点(x,y)连续是f(x,y)的偏导数存在的必要条件
C : z=f(x,y)在点(x,y)的偏导数存在是f(x,y)在该点可微分的充分条件
D : z=(x,y)在点(x,y)连续是f(x,y)在该点可微分的必要条件
355 、 单选题
A : 不存在
B : 等于1
C : 等于2
D : 等于3
356 、 单选题
汽车途经5个交通路口,假定遇上红灯的概率都是0.4,且相互独立,则汽车最多遇上一
次红灯的概率等于( ).
A : 0.34
B : 0.36
C : 0.38
D : 0.4
357 、 单选题
A : α<-1
B : -1≤α<0
C : 0≤α<1
D : α≥1358 、 单选题
A :
B :
C :
D :
359 、 单选题
A : 1
B : 2
C : 3
D : 与a,b,c,d的值有关
360 、 单选题
A : 一个极小值点和两个极大值点
B : 两个极小值点和一个极大值点
C : 两个极小值点和两个极大值点
D : 三个极小值点和一个极大值点361 、 单选题
下列函数中,在点(0,0)处连续的函数是( )。
A :
B :
C :
D :
362 、 单选题
A : 发散
B : 条件收敛
C : 绝对收敛
D : 无法判定
363 、 单选题
设X是随机变量,已知P(X≤1)=p,P(X≤2)=q,则P(X≤1,X≤2)等于( ).
A : p+q
B : p-q
C : q-p
D : p
364 、 单选题
设事件A满足P(A)=0,则( ).
A : 事件A不可能发生
B : A与任意一个事件B相互独立
C : 事件A必定发生
D : A与任意一个事件B互不相容
365 、 单选题
A :
B :
C :
D :
366 、 单选题
A :
B :
C :
D :
367 、 单选题
A :
B :
C :
D :
368 、 单选题A : 8,(-2,2]
B : 8,[-2,2]
C : 不定,(-2,2]
D : 8,[-2,2)
369 、 单选题
A : β是A的属于特征值0的特征向量
B : α是A的属于特征值0的特征向量
C : β是A的属于特征值2的特征向量
D : α是A的属于特征值2的特征向量
370 、 单选题
A :
B :
C :
D : 不可导
371 、 单选题
A :
B :
C :
D :
372 、 单选题
设有一箱产品由三家工厂生产,第一家工厂生产总量的1/2,其他两厂各生产总量的1/4;
又知各厂次品率分别为2%、2%、4%。现从此箱中任取一件产品,则取到正品的概率是(
)。
A : 0.85
B : 0.765
C : 0.975
D : 0.95
373 、 单选题
函数f(x)=1/ln(x-1)的连续区间是( ).
A : [1,2)U(2,+∞)
B : (1,2)U(2,+∞)
C : (1,+∞)
D : [1,+∞)
374 、 单选题
A : lnx+c
B :
C :
375 、 单选题
A :
B :
C :
D :
376 、 单选题
A : 4/3
B : 3/4
C : 1/2
D : 1/4
377 、 单选题
设f′(lnx)=1+x,则f(x)=( )。
A :
B :
C :
D :
378 、 单选题
A :
B :
C :
D :
379 、 单选题A : -1
B : 0.1
C : 1
D : 0.5
380 、 单选题
A : 高阶无穷小
B : 低阶无穷小
C : 同阶但非等价无穷小
D : 等价无穷小
381 、 单选题
10张奖券中有3张中奖的奖券,两个人先后随机地各买一张,若已知第二人中奖,则第
一人中奖的概率是( )。
A : 2/9
B : 3/10
C : 7/15
D : 1/15
382 、 单选题
A : 有3个极值点
B : 有3个拐点
C : 有2个极值点
D : 对称原点
383 、 单选题
甲、乙、丙三人各射一次靶,事件A表示“甲中靶”,事件B表示“乙中靶”,事件C表示
“丙中靶”,则“三人中至多两人中靶”可表示为( )。
A :
B :
C : AB+AC+BC
D :
384 、 单选题
A : 18
B : 18π
C :
D :
385 、 单选题
A : 0
B :
C :
D :
386 、 单选题
有一群人受某种疾病感染患病的占20%。现随机地从他们中抽50人,则其中患病人数的
数学期望和方差是( )。
A : 25和8
B : 10和2.8
C : 25和64
D : 10和8
387 、 单选题A : p-q
B : q-p
C : p+q
D : 2(p-q)
388 、 单选题
A : 1
B : 2
C : 3
D : 无法确定
389 、 单选题
A : L平行于π
B : L在π上
C : L垂直于π
D : L与π斜交
390 、 单选题
设函数y=f(x)在(0,+∞)内有界且可导,则( )。
A :
B :
C :
D :
391 、 单选题
A : 1
B : 2
C : 3
D : 与a,b,c取值有关
392 、 单选题
A :
B :
C :
D :
393 、 单选题
A : 与z轴成定角
B : 与x轴成定角
C : 与yOz平面成定角
D : 与zOx平面成定角
394 、 单选题
袋中共有5个球,其中3个新球,2个旧球,每次取1个,无放回的取2次,则第二次取到
新球的概率是( )。A : 3/5
B : 3/4
C : 2/4
D : 3/10
395 、 单选题
设随机变量X与Y相互独立,方差分别为6和3,则D(2X-Y)=( )。
A : 9
B : 15
C : 21
D : 27
396 、 单选题
设随机变量X服从正态分布N(1,4).已知Φ(1)=a,则P(-1<X≤3)等于
A : a-1
B : 2a+1
C : a+1
D : 2a-1
397 、 单选题
A :
B :
C :
D :
398 、 单选题
设A是一个n阶方阵,已知|A|=2,则|-2A|等于( ).
A :
B :
C :
D :
399 、 单选题
A : =0
B : RA.=0
C :
D : RA.=3
400 、 单选题
A :
B :
C :
D :
401 、 单选题
A : 5/6
B : 1/6
C : 1/3
D : 1/5402 、 单选题
A : 极限不存在
B : 极限存在,但不连续
C : 连续,但不可导
D : 可导
403 、 单选题
A : 0.08
B : 0.12
C : 0.2
D : 0.4
404 、 单选题
设A是4×5矩阵,ξ1,ξ2是齐次线性方程组Ax=0的基础解系,则下列结论正确的是( ).
A : ξ1-ξ2,ξ1+2ξ2也是Ax=0的基础解系
B : k1ξ1+k1ξ2是Ax=0的通解
C : k1ξ1+ξ2是Ax=0的通解
D : ξ1-ξ2,ξ2-ξ1也是Ax=0的基础解系
405 、 单选题
A :
B :
C :
D :
406 、 单选题
A : 发散
B : 条件收敛
C : 绝对收敛
D : 收敛性与λ有关
407 、 单选题
设f(x)是(-a,a)是连续的偶函数,且当0<x<a时,f(x)<f(0),则有结论( )。
A : f(0)是f(x)在(-a,a)的极大值,但不是最大值
B : f(0)是f(x)在(-a,a)的最小值
C : f(0)是f(x)在(-a,a)的极大值,也是最大值
D : f(0)是曲线y=f(x)的拐点的纵坐标
408 、 单选题
下列各级数中发散的是( )。
A :
B :
C :
D :
409 、 单选题
A : 连续,偏导数存在
B : 连续,偏导数不存在
C : 不连续,偏导数存在
D : 不连续,偏导数不存在
410 、 单选题设α=i+2j+3k,β=i-3j-2k,与α、β都垂直的单位向量为( )。
A : ±(i+j-k)
B :
C :
D :
411 、 单选题
一元回归方程不一定经过的点是( )。
A : (0,a)
B :
C :
D : (0,0)
412 、 单选题
设A是n阶方阵,n≥3.已知|A|=0,则下列命题正确的是( ).
A : 中某一行元素全为0
B : A的第n行是前n-1行(作为行向量)的线性组合
C : A中有两列对应元素成比例
D : A中某一列是其余n-1列(作为列向量)的线性组合
413 、 单选题
A : 9
B : 6
C : 3
D : 1
414 、 单选题
A : (-1,1)B : [-1,1)
C : (-1,1]
D : (-∞,+∞)
415 、 单选题
A : -1
B : -1/2
C : 1/2
D : +∞
416 、 单选题
A :
B :
C :
D :
417 、 单选题
向量a,b的数量积a·b=( )。
A :
B :
C :
D :
418 、 单选题
A :
B :
C :
D :
419 、 单选题
设随机变量X的二阶矩存在,则( )。
A :
B :
C :
D :
420 、 单选题
A :
B :
C : f′(x0)=0且f′(x0)>0
D : f′(x0)=0或导数不存在421 、 单选题
A : (0,0)
B :
C :
D : (1,2)和(-1,2)
422 、 单选题
A :
B :
C :
D :
423 、 单选题
A : p>2
B : p<2
C : p>0
D : 0<p<2
424 、 单选题
设f(x)、g(x)在区间[a,b]上连续,且g(x)<f(x)<m(m为常数),由曲
线y=g(x),y=f(x),x=a及x=b所围平面图形绕直线y=m旋转而成的旋转体体积为( )。
A :
B :
C :
D :
425 、 单选题
A : 1/4
B : 1/2
C : 2
D : 0
426 、 单选题
微分y″=x+sinx方程的通解是( )。(c1,c2为任意常数)
A :
B :
C :
D :
427 、 单选题
A :
B :
C :
D :
428 、 单选题
A : 1/2
B : -1/2
C : 1
D : -1
429 、 单选题
A :
B :
C :
D :
430 、 单选题
A :
B :
C :
D :
431 、 单选题
A :
B :
C :
D :
432 、 单选题
设非齐次线性微分方程y′+P(x)y=Q(x)有两个不同的解y1(x),y2(x),C为任意常数,则该
方程通解是( )。
A : C[y1(x)-y2(x)]
B : y1(x)+C[y1(x)-y2(x)]
C : [y1(x)+y2(x)]
D : y1(x)+C[y1(x)+y2(x)]
433 、 单选题
A : m+n
B : -(m+n)
C : n-m
D : m-n
434 、 单选题
A :
B :
C :
D :
435 、 单选题
下列函数中不是方程y″-2y′+y=0的解的函数是( )。
A :
B :
C :
D :
436 、 单选题
A :
B :
C :
D :
437 、 单选题A : 只能确定R≤2
B : 只能确定R≤4
C : 只能确定R≥4
D : 只能确定R=4
438 、 单选题
A :
B :
C :
D :
439 、 单选题
A : 发散
B : 条件收敛
C : 绝对收敛
D : 收敛性不能确定
440 、 单选题
方程x-cos(x-1)=0在下列区间中至少有一个实根的区间是( ).
A : (-∞,0)
B : (0,π)
C : (π,4)
D : (4,+∞)
441 、 单选题
A :
B :
C : xdx
D :
442 、 单选题
A : 1
B : 3
C : 4
D : 5
443 、 单选题
A :
B :
C :
D :
444 、 单选题
A : 2
B : 3
C : 0
D : 不存在445 、 单选题
A : 正态分布
B : 自由度为16的t分布
C : 标准正态分布
D : 自由度为15的t分布
446 、 单选题
A : 4cos4x+C
B :
C : 4cos2x+C
D : 8cos4x+C
447 、 单选题
下列广义积分中发散的是( )。
A :
B :
C :
D :
448 、 单选题
A : g′(x)=C(常数)
B : g′(x)是单调增加的
C : g′(x)是单调减少的
D : g′(x)是函数,但不单调449 、 单选题
曲线y=sinx在[-π,π]上与x轴所围成的图形的面积为( )。
A : 2
B : 0
C : 4
D : 6
450 、 单选题
A :
B :
C :
D :
451 、 单选题
盒子中装有10个晶体管,其中7个是一级品.从盒子中任意取2次,每次1个.在下列两种情
形下,分别求取出的晶体管中恰有1个是一级品的概率.(1)先取出的晶体管不放回盒子;
第二次取到一级品的概率等于( ).
A : 6/9
B : 7/9
C : 7/10
D : 6/10
452 、 单选题
设两函数f(x)及g(x)都在x=a处取得极大值,则函数F(x)=f(x)g(x)在x=a处( )。
A : 必取极大值
B : 必取极小值
C : 不可能取极值
D : 是否取极值不能确定
453 、 单选题A : 1/4
B : 1/3
C : 1/2
D : 1
454 、 单选题
设A,B是n阶方阵,且AB=0.则下列等式成立的是( ).
A : =0或B=0
B : A=0
C :
D :
455 、 单选题
函数1/x展开成(x-2)的幂级数是( )。
A :
B :
C :
D :
456 、 单选题
A :
B :
C :
D :
457 、 单选题
下列方阵中,不能与对角阵相似的是( ).
A :
B :
C : 零矩阵
D :
458 、 单选题
设三向量a,b,c满足关系式a·b=a·c,则( )。
A : 必有a=0或b=c
B : 必有a=b-c=0
C : 当a≠0时必有b=c
D : a与(b-c)均不为0时必有a⊥(b-c)
459 、 单选题
A :
B :
C :
D :
460 、 单选题
A : 1
B : 1/2
C : 0
D : 2
461 、 单选题
A :
B :
C :
D :
462 、 单选题
A : 1
B : 1/6
C : 7/6
D : 6
463 、 单选题
A : e
B :
C :
D :
464 、 单选题
设随机变量X的密度函数为f(x),且f(-x)=f(x),F(x)是X的分布函数,则对任意实数a有( )。
A :
B :
C : F(-a)=F(a)
D : F(-a)=2F(a)-1
D : 1/2
2 、 单选题
设射手在向同一目标的80次射击中,命中75次,则参数的最大似然估计值为( )。
A : 15/16
B : 0
C : 1/2
D : 1
3 、 单选题
A : (1,0)
B : (1,2)
C : (1,1)
D : (-3,0)
4 、 单选题
A :
B :
C :
D :
5 、 单选题
A : 只有1条
B : 只有2条
C : 至少有3条
D : 不存在
6 、 单选题
设曲线y=1/x与直线y=x及x=2所围图形的面积为A,则计算A的积分表达式为( ).
A :
B :
C :
D :
7 、 单选题
A :
B :
C :
D :
8 、 单选题
A : -6,2,-6
B : -6,-2,6
C : -6,2,6
D : -6,-2,-6
9 、 单选题
A : 绝对收敛
B : 条件收敛
C : 等比级数收敛
D : 发散
10 、 单选题
A :
B :
C : λ|A|
D :
11 、 单选题
以C表示事件“零件长度合格且直径不合格”,则C的对立事件是( )。
A : “零件长度不合格且直径合格”
B : “零件长度与直径均合格”
C : “零件长度不合格或直径合格”D : “零件长度不合格”
12 、 单选题
A :
B :
C :
D :
13 、 单选题
A : 3
B : 10
C : 4
D : 不能确定
14 、 单选题
A :
B :
C :
D : A、B、C任何关系
15 、 单选题A :
B :
C : 2x
D :
16 、 单选题
设y=f(t),t=φ(x)都可微,则dy=( )。
A : f′(t)dt
B : φ′(x)dx
C : f′(t)φ′(x)dt
D : f′(t)dx
17 、 单选题
A :
B :
C :
D :
18 、 单选题
A : f(x)是有极限的函数
B : f(x)是有界函数
C : f(x)是无穷小量
D :
19 、 单选题
A : 必在x=-3处发散
B : 必在x=2处收敛
C : 必在|x|>3时发散
D : 其收敛区间为[-2,3)
20 、 单选题
设α=i+k,β=-j+k,与α,β都垂直的单位向量为( )。
A : ±(i+j-k)
B :
C :
D :
21 、 单选题
A :
B :
C :
D :
22 、 单选题
A :
B :
C :
D :
23 、 单选题
3维向量组A:a1,a2,…,am线性无关的充分必要条件是( ).
A : 对任意一组不全为0的数k1,k2,…,km,都有k1a1+k2a2+…+kmam≠0
B : 向量组A中任意两个向量都线性无关
C : 向量组A是正交向量组
D :
24 、 单选题
A :
B :
C :
D :
25 、 单选题
A :
B :
C :
D :
26 、 单选题
设非齐次线性微分方程y´+P(x)y=Q(x)有两个不同的解析:y1(x)与y2(x),C为任意常数,
则该方程的通解是( ).
A : C[(y1(x)-y2(x)]
B : y1(x)+C[(y1(x)-y2(x)]
C : [(y1(x)+y2(x)]
D : y1(x)+C[(y1(x)+y2(x)]
27 、 单选题
设X1,…,Xn是取自正态总体N(μ,1)的样本,其中μ未知,μ的无偏估计是( ).
A :
B :
C :
D : X-X1
28 、 单选题
A : 1
B : 1/2
C : 2
D : 1/4
29 、 单选题
若向量组α,β,γ线性无关α,β,δ线性相关,则( )。
A : α必可由β,γ,δ线性表示
B : β必不可由α,γ,δ线性表示
C : δ必可由α,β,γ线性表示D : δ必不可由α,γ,β线性表示
30 、 单选题
设函数f(x)在x=a的某个邻域内连续,且f(a)为其极大值,则存在δ>0,当x∈(a-δ,a+δ)
时,必有( )。
A : (x-a)[f(x)-f(a)]≥0
B : (x-a)[f(x)-f(a)]≤0
C :
D :
31 、 单选题
A :
B :
C :
D :
32 、 单选题
已知直线L1过点M1(0,0,-1)且平行于X轴,L2过点M2(0,0,1)且垂直于XOZ平面,则
到两直线等距离点的轨迹方程为( )。
A :
B :
C :
D :
33 、 单选题
A :
B :
C :
D :
34 、 单选题
A : f(6)-f(1)
B : F(1,1)-F(0,0)
C : f(1)-f(0)
D : F(6,6)-F(1,1)
35 、 单选题
A : β是A的属于特征值0的特征向量
B : α是A的属于特征值0的特征向量
C : β是A的属于特征值3的特征向量
D : α是A的属于特征值3的特征向量
36 、 单选题A :
B :
C :
D :
37 、 单选题
A :
B :
C :
D :
38 、 单选题
设A,B为同阶可逆矩阵,则( )。
A : B=BA
B :
C :
D : 存在可逆矩阵P和Q,使PAQ=B
39 、 单选题
将3个球随机地放入4个杯子中,则杯中球的最大个数为2的概率为( )。
A : 1/16
B : 3/16
C : 9/16D : 4/27
40 、 单选题
向量( )是单位向量。
A : (1,1,-1)
B :
C : (-1,0,0)
D :
41 、 单选题
A :
B :
C :
D :
42 、 单选题
A : F(0)是极大值
B : F(0)是极小值
C : F(0)不是极值,但(0,F(0))是曲线F(x)的拐点坐标
D : F(0)不是极值,(0,F(0))也不是曲线F(x)的拐点坐标
43 、 单选题
A : 4x+2y-z=0B : 4x-2y+z+3=0
C : 16x+8y-16z+11=0
D : 16x-8y+8z-1=0
44 、 单选题
A :
B :
C :
D :
45 、 单选题
A : xsinx
B :
C : xln(1-x)
D : xln(1+x)
46 、 单选题
A : 1
B : -1
C : 0
D : 2
47 、 单选题A :
B :
C :
D :
48 、 单选题
A :
B :
C :
D :
49 、 单选题
A :
B :
C :
D :
50 、 单选题
A : f(x)是x等价无穷小
B : f(x)与x是同阶但非等价无穷小
C : f(x)是比x高阶的无穷小
D : f(x)是比x低阶的无穷小
51 、 单选题
A : 都是收敛的
B : 都是发散的
C : 左端点收敛,右端点发散
D : 左端点发散,右端点收敛
52 、 单选题
A : 必在|x|>3时发散
B : 必在|x|≤3时发敛
C : 在x=-3处的敛散性不定
D : 其收敛半径为3
53 、 单选题
A : 无实根
B : 有且仅有一个实根
C : 有且仅有两个实根
D : 有无穷多个实根
54 、 单选题
A :
B :
C :
D :
55 、 单选题
A :
B :
C :
D :
56 、 单选题
A :
B :
C :
D :
57 、 单选题A : 2
B : 5
C : -2
D : -4
58 、 单选题
A :
B :
C : 2
D : 0
59 、 单选题
A : π
B :
C :
D :
60 、 单选题
A : (-1,1,2)
B : (-1,1,-2)
C : (1,1,-2)
D : (1,1,2)
61 、 单选题
设A为n阶可逆方阵,则( )不成立。A :
B :
C : -2A可逆
D : A+E可逆
62 、 单选题
设A、B、C为随机事件,则( )。
A : P(A-B-C)=P(A)-P(AB)-P(AC)-P(BC)+P(ABC)
B : P(A-B-C)=P(A)-P(AB)-P(AC)+P(ABC)
C : P(A-B-C)=P(A)-P(AB)-P(BC)+P(ABC)
D : P(A-B-C)=P(A)-P(AC)-P(BC)+P(ABC)
63 、 单选题
下列各选项正确的是( ).
A :
B :
C :
D :
64 、 单选题
n阶实对称矩阵A为正定矩阵,则下列不成立的是( )。
A : 所有k级子式为正(k=1,2,…,n)
B : A的所有特征值非负
C :
D : 秩(A)=n
65 、 单选题A :
B :
C :
D :
66 、 单选题
设曲线y=y(x)上点P(0,4)处的切线垂直于直线x-2y+5=0,且该点满足微分方
程y″+2y′+y=0,则此曲线方程为( )。
A :
B :
C :
D :
67 、 单选题
A : 2
B : -2
C : 0
D : 4
68 、 单选题A :
B :
C : t(1)
D : N(0,1)
69 、 单选题
A : 1/9
B : 1/8
C : 1/10
D : 1/7
70 、 单选题
A : 要求a=b
B :
C :
D : 使用F检验
71 、 单选题
设f(x)在(a,b)内连续,则在(a,b)内f(x)( ).
A : 必有最大值与最小值
B : 最大值与最小值中至少有一个
C : 不可能有最大值和最小值
D : 最大值与最小值可能有也可能没有
72 、 单选题
设f(x)是以2π为周期的周期函数,它在[-π,π)上的表达式为f(x)=|x|,则f(x)的傅里叶级
数为( ).
A :
B :
C :
D :
73 、 单选题
若P(A)>0,P(B)>0,P(AB)=P(A),则下列各式不成立的是( )。
A : P(B|A)=P(B)
B :
C : P(AB)=P(A)P(B)
D : A,B互斥
74 、 单选题
A : f(x)与x是等价无穷小
B : f(x)与x同阶但非等价无穷小
C : f(x)是比x高阶的无穷小
D : f(x)是比x低价的无穷小
75 、 单选题
A :
B :
C :
D :
76 、 单选题
A : p>-1
B : p>0
C : p≥0
D : p≥-1
77 、 单选题
设A是m×n阶矩阵,Ax=0是非齐次线性方程组Ax=b所对应的齐次线性方程组,则下列结
论正确的是( )。
A : 若Ax=0仅有零解,则Ax=b有惟一解
B : 若Ax=0有非零解,则Ax=b有无穷多个解
C : 若Ax=b有无穷多个解,则Ax=0仅有零解
D : 若Ax=b有无穷多个解,则Ax=0有非零解
78 、 单选题
设A是3阶矩阵,矩阵A的第1行的2倍加到第2行,得矩阵B,则下列选项中成立的是( )。
A : B的第1行的-2倍加到第2行得A
B : 的第1列的-2倍加到第2列得A
C : B的第2行的-2倍加到第1行得A
D : B的第2列的-2倍加到第1列得A
79 、 单选题
A : a=b或a+2b=0
B : a=b或a+2b≠0
C : a≠b且a+2b=0
D : a≠b且a+2b≠0
80 、 单选题
A : 1/3
B : 2/3
C : 1/2
D : 1/481 、 单选题
A : λ=-2且%7cB%7c=0
B : λ=-2且%7cB%7c≠0
C : λ=1且%7cB%7c=0
D : λ=1且%7cB%7c≠0
82 、 单选题
微分方程y″+2y=0的通解是( )。
A : y=Asin2x
B : y=Acosx
C :
D :
83 、 单选题
A :
B : A=E
C : |A|=1
D : A=0或A=E
84 、 单选题
A : 过点(0,-2,1),方向向量为2i-j-3k
B : 过点(0,-2,1),方向向量为-2i-j+3k
C : 过点(0,2,-1),方向向量为2i+j-3k
D : 过点(O,2,-1),方向向量为-2i+j+3k85 、 单选题
A : 2
B :
C :
D : 1
86 、 单选题
A :
B :
C :
D :
87 、 单选题
A :
B :
C :
D :
88 、 单选题
A : 1
B :
C : 2
D :
89 、 单选题
A : 1/2N
B : 2N
C : 1/2(N-1)
D : 2(N-1)
90 、 单选题
设随机变量X与Y相互独立,已知P(X≤1)=p,P(Y≤1)=q,则P(max(X,Y)≤1)等于( ).
A : p+q
B : pq
C : p
D : q
91 、 单选题
下列命题中,正确的是( ).
A : 单调函数的导函数必定为单调函数
B : 设f´(x)为单调函数,则f(x)也为单调函数
C : 设f(x)在(a,b)内只有一个驻点xo,则此xo必为f(x)的极值点
D : 设f(x)在(a,b)内可导且只有一个极值点xo,f´(xo)=0
92 、 单选题
A : 过点(1,-1,0),方向向量为2i+j-k
B : 过点(1,-1,0),方向向量为2i-j+kC : 过点(-1,1,0),方向向量为-2i-j+k
D : 过点(-1,1,0),方向向量为2i+j-k
93 、 单选题
A : O
B : -E
C : E
D :
94 、 单选题
A : 2
B : 3
C : 0
D : 不存在
95 、 单选题
A : 充分条件而非必要条件
B : 必要条件而非充分条件
C : 充分必要条件
D : 既非充分条件又非必要条件
96 、 单选题
A :
B :
C :
D :
97 、 单选题
A : 与Δx等价的无穷小
B : 与Δx同阶的无穷小,但不等价
C : 比Δx低阶的无穷小
D : 比Δx高阶的无穷小
98 、 单选题
A :
B :
C :
D :
99 、 单选题
A : (1,-1,2)
B : (-1,1,2)
C : (1,1,2)
D : (-1,-1,2)
100 、 单选题
设随机变量X服从区间(-1,5)上的均匀分布,Y=3X-5,则E(Y)与D(Y)分别等于( ).
A : 1,9
B : 3,27C : 4,27
D : 1,27
101 、 单选题
在下列等式中,正确的结果是( )。
A :
B :
C :
D :
102 、 单选题
A :
B :
C :
D :
103 、 单选题
A :
B :
C :
D :
104 、 单选题
设a,b为非零向量,且满足(a+3b)⊥(7a-5b),(a-4b)⊥(7a-2b),则a与b的夹角θ=( )。
A : 0
B :
C :
D :
105 、 单选题
A :
B :
C :
D :
106 、 单选题
A :
B :
C :
D :
107 、 单选题
在平面x+y+z-2=0和平面x+2y-z-1=0的交线上有一点M,它与平面x+2y+z+1=0
和x+2y+z-3=0等距离,则M点的坐标为( )。
A : (2,0,0)
B : (0,0,-1)
C : (3,-1,0)
D : (0,1,1)
108 、 单选题
下列命题中,错误的是( ).
A : 设f(x)为奇函数,则f(x)的傅里叶级数是正弦级数
B : 设f(x)为偶函数,则f(x)的傅里叶级数是余弦级数
C :
D :
109 、 单选题
A :
B :
C :
D :
110 、 单选题
A : 1
B : 1/2
C : 2
D : 0
111 、 单选题
设f(x)为连续函数,且下列极限都存在,则其中可推出f′(3)存在的是( )。
A :
B :
C :
D :
112 、 单选题
幂级数的收敛域是( )。
A : [-2,4)
B : (-2,4)
C : (-1,1)
D :
113 、 单选题
A : 0
B : 1/2
C : 2
D : +∞
114 、 单选题A : 点(0,0)不是f(x,y)的极值点
B : 点(0,0)是f(x,y)的极大值点
C : 点(0,0)是f(x,y)的极小值点
D : 根据所给条件无法判断点(0,0)是否为f(x,y)的极值点
115 、 单选题
A : 2
B : 0
C : ∞
D : 不存在且不是∞
116 、 单选题
A : 1
B : 0
C : 不存在且不是∞
D : ∞
117 、 单选题
当下列哪项成立时,事件A与B为对立事件( )。
A : B=φ
B : A+B=Ω
C :
D : AB=φ且A+B=Ω
118 、 单选题
A : π/2
B : π/3
C : π/4
D : ∞119 、 单选题
A : 0
B : 1
C : 2
D : 不存在
120 、 单选题
A : 0
B : 1
C : 2
D : 3
121 、 单选题
设A,B均为n阶非零矩阵,且AB=0,则R(A),R(B)满足( )。
A : 必有一个等于0
B : 都小于n
C : 一个小于n,一个等于n
D : 都等于n
122 、 单选题
A :
B :
C :
D :
123 、 单选题已知方阵A满足|A+2E|=0,则A必定有特征值( ).
A : 1
B : 2
C : -1
D : -2
124 、 单选题
A : -1,0
B : 2,3
C : 4,5
D : 1,1
125 、 单选题
A :
B :
C :
D :
126 、 单选题
将质量为m的物体在空气中竖直上抛,初速度为vo,若空气阻力与物体的速度V(t)(t是时
间)成正比,比例系数为k,g为重力加速度.V(t)所满足的微分方程及初始条 件是( ).
A :
B :
C :
D :
127 、 单选题
点M(1,2,1)到平面x+2y+2z-10=0的距离是( )。
A : 1
B : ±1
C : -1
D : 1/3
128 、 单选题
A :
B :
C :
D :
129 、 单选题
设A是n阶方阵,a是n维列向量,下列运算无意义的是( ).
A :
B :
C : αA
D : Aα
130 、 单选题直线L:2x=5y=z-1与平面∏:4x-2z=5的位置关系是( ).
A : 直线L与平面∏平行
B : 直线L与平面∏垂直
C : 直线L在平面∏上
D : 直线L与平面∏相交,但不垂直
131 、 单选题
A :
B :
C :
D :
132 、 单选题
A : -1
B : 1
C : 1/3
D : 2/3
133 、 单选题
设A,B是n阶方阵,下列等式成立的是( ).
A :
B :
C :
D :
134 、 单选题
设A,B是n阶方阵,下列命题正确的是( ).
A : 若A,B都是可逆阵,则A+B也是可逆阵
B : 若A+B是可逆阵,则A、B中至少有一个是可逆阵
C : 若AB不是可逆阵,则A、B也都不是可逆阵
D :
135 、 单选题
A : I(R)是R的一阶无穷小
B : I(R)是R的二阶无穷小
C : I(R)是R的三阶无穷小
D : I(R)至少是R的三阶无穷小
136 、 单选题
设a,b均为向量,下列命题中错误的是( ).
A : a∥b的充分必要条件是存在实数λ,使b=λa
B : a∥b的充分必要条件是a×b=0
C : a⊥b的充分必要条件是a·b=0
D :
137 、 单选题
A : 43
B : 34
C : 12
D : 14
138 、 单选题
A : Pβ
B :
C :
D :
139 、 单选题
A : 为正常数
B : 为负常数
C : 恒为零
D : 不为常数
140 、 单选题
已知随机变量X服从二项分布,且EX=2.4,DX=1.44,则二项分布的参数n,p的值为( )。
A : n=4;p=0.6
B : n=6;p=0.4
C : n=8;p=0.3
D : n=24;p=0.1
141 、 单选题
A :
B :
C :
D :
142 、 单选题A :
B :
C :
D :
143 、 单选题
A : -1
B : 0
C : 1
D : 2
144 、 单选题
A :
B :
C :
D :
145 、 单选题
设A是S×6矩阵,则( )正确。
A : 若A中所有5阶子式均为0,则秩R(A)=4
B : 若秩R(A)=4,则A中5阶子式均为0
C : 若秩R(A)=4,则A中4阶子式均非0
D : 若A中存在不为0的4阶子式,则秩尺(A)=4146 、 单选题
A :
B :
C :
D :
147 、 单选题
A : 三个事件全发生
B : 三个事件全不发生
C : 三个事件不全发生
D : 至少有一个事件发生
148 、 单选题
A : -1.33;2.67
B : -1.33;4.25
C : -0.75;2.67
D : -0.75;4.25
149 、 单选题
A : 10
B : -10
C : -250D : 250
150 、 单选题
设α,β,γ,δ是n维向量,已知α,β线性无关,γ可以由α,β线性表示,δ不能由α,β线
性表示,则以下选项中正确的是( )。
A : α,β,γ,δ线性无关
B : α,β,γ线性无关
C : α,β,δ线性相关
D : α,β,δ线性无关
151 、 单选题
下列矩阵中不能对角化的是( )。
A :
B :
C :
D :
152 、 单选题
设f(x)=(x-a)φ(x),其中φ(x)在x=a处连续,则f´(a)等于( ).
A : aφ(a)
B : -aφ(a)
C : -φ(a)
D : φ(a)
153 、 单选题
A : 0.1
B : 0.3
C : 0.5
D : 0.6154 、 单选题
设平面π的方程为x+z-3=0,以下选项中错误的是( )。
A : 平面π垂直于zox面
B : 平面π垂直于y轴
C : 平面π的法向量为i+k
D : 平面π平行于y轴
155 、 单选题
A : f(x)为偶函数,值域为(-∞,+∞)
B : f(x)为偶函数,值域为(1,+∞)
C : f(x)为奇函数,值域为(-∞,+∞)
D : f(x)为奇函数,值域为(1,+∞)
156 、 单选题
A : +2E
B :
C : AB
D : A-B
157 、 单选题
A :
B :
C :
D :
158 、 单选题对于二元函数z=f(x,y),下列有关偏导数与全微分关系中正确的命题是( )。
A : 偏导数存在,则全微分存在
B : 偏导数连续,则全微分必存在
C : 全微分存在,则偏导数必连续
D : 全微分存在,而偏导数不一定存在
159 、 单选题
A : 不存在
B :
C : 1/56
D :
160 、 单选题
数项级数的部分和数列有界是该级数收敛的( ).
A : 充分条件
B : 必要条件
C : 充分必要条件
D : 既非充分又非必要条件
161 、 单选题
A : 有极限的函数
B : 有界函数
C : 无穷小量
D : 比(x-a)高阶的无穷小
162 、 单选题
A : 连续点
B : 可去间断点
C : 无穷间断点
D : 振荡间断点163 、 单选题
A : |A|>0
B :
C : f的正惯性指数p=n
D : f的负惯性指数q=0
164 、 单选题
设平面π的方程为2x-2y+3=0,以下选项中错误的是( )。
A : 平面π的法向量为i-j
B : 平面π垂直于z轴
C : 平面π平行于z轴
D :
165 、 单选题
A :
B :
C :
D :
166 、 单选题
设α,β,γ都是非零向量,若α×β=α×γ,则( )。
A : β=γ
B : α//β且α//γC : α//(β-γ)
D : α⊥(β-γ)
167 、 单选题
A :
B :
C :
D :
168 、 单选题
A : 5
B :
C : 1/3
D : 1/5
169 、 单选题
设总体X服从参数为λ的泊松分布,其中λ未知.X1,…,Xn是取自总体X的样本,则λ的最
大似然估计是( ).
A :
B :
C : S
D :
170 、 单选题
A : 2ln2
B : 2ln2-1
C : ln2
D : ln2-1
171 、 单选题
A : (-1,1)
B : [-1,1]
C : [-1,1)
D : (-1,1]
172 、 单选题
A : 0
B : 1
C : 2
D : 不存在
173 、 单选题
若在区间(a,b)内,f′(x)=g′(x)则下列等式中错误的是( )。
A : f(x)=cg(x)
B : f(x)=g(x)+c
C :
D : df(x)=dg(x)
174 、 单选题
已知D(X)=2,D(Y)=3,则Cov(X+Y,X-Y)等于( ).
A : 1
B : -1
C : 5D : 6
175 、 单选题
A : 24
B : 36
C : 12
D : 6
176 、 单选题
A : 12
B : -12
C : 18
D : 0
177 、 单选题
A : 0
B :
C : π
D : 2
178 、 单选题
设A为三阶可逆方阵,则( )与A等价。
A :
B :
C :
D :
179 、 单选题
A :
B :
C :
D :
180 、 单选题
若f(x)的导函数是sinx,则f(x)有一个原函数为( )。
A : 1+sinx
B : 1-sinx
C : 1+cosx
D : 1-cosx
181 、 单选题
与向量(1,3,1)和(1,0,2)同时垂直的向量是( )。
A : (3,-1,0)
B : (6,-1,-3)
C : (4,0,-2)
D : (1,0,1)
182 、 单选题
A :
B :
C :
D :
183 、 单选题
A : (3,-1)
B : (3,1)
C : (1,1)
D : (-1,-1)
184 、 单选题
已知f´(x)=1/[x(1+2lnx)],且f(x)等于( )。
A : ln(1+2lnx)+1
B : 1/2ln(1+2lnx)+1
C : 1/2ln(1+2lnx)+1/2
D : 2ln(1+2lnx)+1
185 、 单选题
设a,b,c为非零向量,则与a不垂直的向量是( )。
A : (a·c)b-(a·b)c
B :
C : a×b
D : a+(a×b)×a
186 、 单选题
A : (x-1)+2(y-2)-(z-3)=0
B : (x+1)+2(y+2)+3(z+3)=O
C : (x-1)+2(y-2)+3(z-3)=0
D : (x+1)+2(y+2)-(z+3)=0187 、 单选题
A : 必绝对收敛
B : 必条件收敛
C : 必发散
D : 可能收敛,也可能发散
188 、 单选题
A : a=1,b=2
B : a=-1,b=2
C : a=1,b=0
D : a=-1,b=0
189 、 单选题
设A,B是2个互不相容的事件,P(A)>0,P(B)0,则( )一定成立。
A : P(A)=1-P(B)
B : P(A|B)=0
C :
D :
190 、 单选题
A : x-z-2=0
B : x+z=0
C : x-2y+z=0
D : x+y+z=1
191 、 单选题A :
B :
C :
D :
192 、 单选题
A : 连续
B : 左连续,且不连续
C : 右连续,且不连续
D : 既非左连续,也非右连续
193 、 单选题
设线性无关的函数y1、y2、y3都是二阶非齐次线性方程y″+p(x)y′+q(x)y=f(x)的
解,C1、C2是任意常数,则该非齐次方程的通解是( )。
A : C1y1+C2y2+y3
B : C1y1+C2y2-(C1+C2)y3
C : 1y1+C2y2-(1-C1-C2)y3
D : C1y1+C2y2+(1-C1-C2)y3
194 、 单选题
A :
B :
C :
D :
195 、 单选题
A :
B :
C :
D :
196 、 单选题
三个平面x=cy+bz,y=az+cx,z=bx+ay过同一直线的充要条件是( )。
A : a+b+c+2abc=0
B : a+b+c+2abc=1
C :
D :
197 、 单选题
设X~P(λ),且P{X=3}=P{X=4},则λ为( )。
A : 3
B : 2
C : 1
D : 4
198 、 单选题
A : [-1,1)
B : [4,6)
C : [4,6]D : (4,6]
199 、 单选题
A : 5/2
B : 27/2
C : 27
D : 9/2
200 、 单选题
A : 0
B : 2
C : -1
D : 1
201 、 单选题
A : (1,-1,2)
B : (-1,1,2)
C : (1,1,2)
D : (-1,-1,2)
202 、 单选题
在空间直角坐标系中,方程x=2表示( ).
A : x轴上的点(2,0,0)
B : xOy平面上的直线x=2
C : 过点(2,0,0)且平行于yOz面的平面
D : 过点(2,0,0)的任意平面
203 、 单选题
微分方程ydx+(x-y)dy=0的通解是( )。
A :
B :
C : xy=C
D :
204 、 单选题
A :
B :
C : P(AB)=P(A)P(B)
D : P(AB)≠P(A)P(B)
205 、 单选题
A : π
B :
C :
D :
206 、 单选题
A :
B :
C :
D :
207 、 单选题
A :
B :
C :
D :
208 、 单选题
若A、B为非零常数,C1、C2为任意常数,则微分方程y″+k2y=cosx的通解应具有形式( )。
A : C1coskx+C2sinkx+Asinx+Bcosx
B : C1coskx+C2sinkx+Axcosx
C : 1coskx+C2sinkx+Axsinx
D : C1coskx+C2sinkx+Axsinx+Bxcosx
209 、 单选题
A :
B :
C :
D : 0
210 、 单选题A : T服从t(n-1)分布
B : T服从t(n)分布
C : T服从正态分布N(0,1)
D : T服从F(1,n)分布
211 、 单选题
A : 2
B : 1
C : 0
D : 不存在
212 、 单选题
A : 4/3πab
B :
C :
D :
213 、 单选题
A :
B :
C :
D :
214 、 单选题
A : 平行,但直线不在平面上
B : 直线在平面上
C : 垂直相交
D : 相交但不垂直
215 、 单选题
已知D(X)=4,D(y)=9,Cov(X+y)=2,则D(3X-2Y)等于( ).
A : 96
B : 72
C : 48
D : 36
216 、 单选题
A : a=b=-1,c=1
B : a=-1,b=2,c=-2
C : a=1,b=-2,c=2
D : a=b=-1,c=-1
217 、 单选题
在方差分析中所用的检验的拒绝域的临界值来自( )。
A : 正态分布
B :
C : t分布
D : F分布
218 、 单选题
A : -2或3
B : 2或3C : 2或-3
D : -2或-3
219 、 单选题
下列方阵中具有正定性的是( ).
A :
B :
C :
D :
220 、 单选题
A : 0
B : 9π
C : 3π
D :
221 、 单选题
口袋里装有10只外形相同的球,其中7只红球,3只白球.从口袋中任意取出2只球,则它
们是一只红球、一只白球的概率等于( ).
A : 21/90
B : 21/45
C : 21/100
D : 21/50
222 、 单选题A : 3
B : 2
C : 4
D : 1
223 、 单选题
A : a=-4,b=1
B : a=4,b=-7
C : a=0,b=-3
D : a=b=1
224 、 单选题
A :
B :
C :
D :
225 、 单选题
A :
B :
C :
D :
226 、 单选题
设α={1,1,1},β={1,2,0},则下列结论中哪一个正确?( )。
A : α与β平行
B : α·β=3
C : α与β垂直
D : α×β={2,-1,-1}
227 、 单选题
A : 0.6
B : 0.7
C : 0.8
D : 0.9
228 、 单选题
A : N<P<M
B : M<P<N
C : N<M<P
D : P<M<N
229 、 单选题
A : f(x)为偶函数,值域为(-1,1)
B : f(x)为奇函数,值域为(-∞,0)
C : f(x)为奇函数,值域为(-1,1)
D : f(x)为奇函数,值域为(0,+∞)
230 、 单选题
A :
B :
C :
D :
231 、 单选题
A :
B :
C : 1/5<I<1
D : I≥1
232 、 单选题
下列各级数发散的是( )。
A :
B :
C :
D :
233 、 单选题
A :
B :
C :
D :
234 、 单选题
A : a=0,b=1
B : a=1,b=0
C : a=2,b=-1
D : a=-1,b=2
235 、 单选题
A :
B :
C :
D :
236 、 单选题
A : 条件收敛
B : 绝对收敛
C : 发散
D : 收敛性不能确定
237 、 单选题下列广义积分中收敛的是( )。
A :
B :
C :
D :
238 、 单选题
设a=-i+3j+k,β=i+j+tk,已知α×β=-4i-4k,则t等于( )。
A : 1
B : 0
C : -1
D : -2
239 、 单选题
设向量x垂直于向量a=(2,3,-1)和b=(1,-2,3)且与c=(2,-1,1)的数量积为-6,则向
量x=( )。
A : (-3,3,3)
B : (-3,1,1)
C : (0,6,0)
D : (0,3,-3)
240 、 单选题
A :
B :
C :
D :
241 、 单选题
A : 用洛必达法则后,求得极限为0
B :
C :
D : 因为不能用洛必达法则,故极限不存在
242 、 单选题
A : cosx-sinx+C
B : sinx+cosx+C
C : sinx-cosx+C
D : -cosx+sinx+C
243 、 单选题
A : 0
B : 1
C : 2
D : 3
244 、 单选题
A :
B :
C :
D :
245 、 单选题
设f(x)是以2π为周期的周期函数,在[-π,π]上的表达式为f(x)=cos(x/2),则f(x)的傅里叶
级数为( ).
A :
B :
C :
D :
246 、 单选题
设A是n阶矩阵,矩阵A的第1列的2倍加到第2列,得矩阵B,则以下选项中成立的是( )。
A : B的第1列的-2倍加到第2列得A
B : 的第1行的-2倍加到第2行得A
C : B的第2行的-2倍加到第1行得A
D : B的第2列的-2倍加到第1列得A
247 、 单选题
A : π
B :
C :
D :
248 、 单选题设f(x)是定义在(-∞,+∞)上的连续函数,则( ).
A :
B :
C :
D :
249 、 单选题
n阶行列式Dn=0的必要条件是( )。
A : 以Dn为系数行列式的齐次线性方程组有非零解
B : Dn中有两行(或列)元素对应成比例
C : Dn中各列元素之和为零
D : n中有一行(或列)元素全为零
250 、 单选题
设向量a=(-2,4,4),b=(0,6,3),则a与b的夹角为( ).
A :
B :
C :
D :
251 、 单选题A : αi相等,βi相等
B : αi相等,βi不相等
C : αi不相等,βi相等
D : αi不相等,βi不相等
252 、 单选题
A : 0
B : 1
C : 2
D : 3
253 、 单选题
A : 0
B : 1
C : 2
D : 3
254 、 单选题
A :
B :
C :
D :
255 、 单选题
点(1,1,1)到平面2x+y+2z+5=0的距离d=( )。
A : 10/3
B : 3/10
C : 3
D : 10
256 、 单选题
A : 锥面
B : 单叶双曲面
C : 双叶双曲面
D : 椭圆抛物面
257 、 单选题
A :
B :
C :
D :
258 、 单选题
x=0是函数arctan1/x的( ).
A : 第二类间断点
B : 可去间断点
C : 跳跃间断点
D : 连续点259 、 单选题
A :
B :
C :
D :
260 、 单选题
设向量组A:a1=(1,-1,0),a2=(2,1,t),a3=(0,1,1)线性相关,则t等于( ).
A : 1
B : 2
C : 3
D : 0
261 、 单选题
A : 2
B : 1
C : 1/2
D : 1/4
262 、 单选题
A :
B :
C :
D :
263 、 单选题
A : 64
B : 65.6
C : 66.6
D : 80
264 、 单选题
A : 1
B : 2
C : 3
D : 与a的取值有关
265 、 单选题
A :
B :
C :
D :
266 、 单选题A : 1
B : -1
C : k
D : 1/k
267 、 单选题
在区间(0,2π)上,曲线y=sinx与y=cosx之间所围图形的面积是( )。
A :
B :
C :
D :
268 、 单选题
A : 平行于x轴
B : 与x轴相交
C : 通过原点
D : 与x轴重合
269 、 单选题
A : (-1,1)
B : (-2,2)
C :
D : (-∞,+∞)
270 、 单选题A : 1次
B : 2次
C : 3次
D : 4次
271 、 单选题
A :
B :
C :
D :
272 、 单选题
A :
B :
C :
D :
273 、 单选题A :
B :
C :
D :
274 、 单选题
A : y″+9y′=0
B : y″-9y′=0
C : y″+9y=0
D : y″-9y=0
275 、 单选题
A : 1/2
B :
C : 3/4
D :
276 、 单选题
A :
B :
C :
D :
277 、 单选题
A :
B :
C :
D :
278 、 单选题
下列方程中代表双叶双曲面的是( )。
A :
B :
C :
D :
279 、 单选题A :
B :
C :
D :
280 、 单选题
A : lnx
B : lnx+2(1-2ln2)x
C : lnx-2(1-2ln2)x
D : lnx+(1-2ln2)x
281 、 单选题
A :
B :
C :
D :
282 、 单选题A : 12
B : -6
C : -12
D : 0
283 、 单选题
微分方程y[lny-lnx]dx=xdy的通解是( )。
A :
B :
C : xy=C
D :
284 、 单选题
A :
B :
C :
D :
285 、 单选题
下列结论中,错误的是( ).
A :
B :
C :
D :
286 、 单选题
A : A|>0
B : A|=0
C : A|<0
D : 以上三种都有可能
287 、 单选题
A :
B :
C :
D :
288 、 单选题
假设事件A和B满足P(B|A)=1,则( )。
A : 是必然事件
B :
C :
D :
289 、 单选题
A : 变长
B : 变短
C : 保持不变
D : 不能确定
290 、 单选题
A :
B :
C :
D :
291 、 单选题
设A,B,C是三个随机事件,则事件“A、B、C不多于一个发生”的逆事件是( )。
A : 、B、C至少有一个发生
B : A、B、C至少有二个发生
C : A、B、C都发生
D : A、B、C不都发生
292 、 单选题
A : 3
B : 7
C : 8
D : 9293 、 单选题
A :
B :
C :
D :
294 、 单选题
设两个相互独立的随机变量X和Y的方差分别为4和2,则随机变量3X-2Y的方差是( )。
A : 8
B : 16
C : 28
D : 44
295 、 单选题
A :
B :
C :
D :
296 、 单选题
A :
B :
C :
D :
297 、 单选题
A :
B :
C :
D :
298 、 单选题
A : P(X≤λ)=P(X≥λ)
B : P(X≥λ)=P(X≤-λ)
C :
D :
299 、 单选题
设随机变量X服从正态分布N(-1,9),则随机变量Y=2-X服从( ).
A : 正态分布N(3,9)
B : 均匀分布
C : 正态分布N(1,9)
D : 指数分布300 、 单选题
A : 充分条件,但非必要条件
B : 必要条件,但非充分条件
C : 充分必要条件
D : 既非充分条件,又非必要条件
301 、 单选题
A : λ=1
B :
C :
D :
302 、 单选题
A : L1//L2
B : L1,L2相交但不垂直
C : L1⊥L2但不相交
D : L1,L2是异面直线
303 、 单选题
A : 绝对收敛
B : 条件收敛
C : 发散
D : 收敛性与α的取值有关304 、 单选题
下列等式中,错误的是( ).
A :
B :
C :
D :
305 、 单选题
A : 通解
B : 特解
C : 是解,但既非通解也非特解
D : 不是解
306 、 单选题
若A~B,则有( )。
A : λE-A=λE-B
B : |A|=|B|
C : 对于相同的特征值λ,矩阵A与B有相同的特征向量
D : A与B均与同一个对角矩阵相似
307 、 单选题
A :
B :
C :
D :
308 、 单选题
A :
B :
C :
D :
309 、 单选题
A :
B : 1/n
C :
D :
310 、 单选题
圆周ρ=1,ρ=2cosθ及射线θ=0,θ=π/3所围图形的面积S为( )。
A :
B :
C :
D :
311 、 单选题
A :
B :
C :
D :
312 、 单选题
A :
B :
C :
D :
313 、 单选题
A :
B :
C :
D :
314 、 单选题
微分方程y″-4y=4的通解是( )。(c1,c2为任意常数)
A :
B :
C : e2x-e-2x+1
D : c1e2x+c2e-2x-2
315 、 单选题
已知某个连续型随机变量X的数学期望E(X)=1,则X的概率密度函数不可能是( ).
A :
B :
C :
D :
316 、 单选题
A : 1
B : -1
C : 2
D : -2317 、 单选题
A : λ>-1
B : λ>0
C : λ>1
D : λ≥1
318 、 单选题
A : -2
B : 2
C : -1
D : 1
319 、 单选题
A : c>0
B : 0<λ<1
C : c=1-λ
D :
320 、 单选题
A : 单叶双曲面
B : 双叶双曲面
C : 旋转双曲面
D : 圆锥面
321 、 单选题
A :
B :
C : 1
D : 2
322 、 单选题
A :
B :
C :
D :
323 、 单选题
A :
B :
C :
D :
324 、 单选题
A : x轴
B : y轴
C : z轴
D : 直线x=y=z325 、 单选题
A :
B :
C :
D :
326 、 单选题
把一颗均匀骰子掷了6次,假定各次出现的点数相互不影响,随机变量X表示出现6点的
次数,则X服从( ).
A : 参数n=6,p=1/2的二项分布
B : 参数n=1,p=1/6的二项分布
C : 参数n=6,p=1/6的二项分布
D : 非二项分布
327 、 单选题
设事件A与B互不相容,且P(A)>0,P(B)>0,则下列结论正确的是( )。
A : P(A|B)=P(A)
B : P(A|B)=0
C : P(AB)=P(A)P(B)
D : P(B|A)>0
328 、 单选题
A :
B :
C :
D :
329 、 单选题
设随机变量X服从正态分布N(μ,1).已知P(X≤μ-3)=c,则P(μ<x<μ+3)等于( ).
A : 2c-1
B : 1-c
C : 0.5-c
D : 0.5+c
330 、 单选题
A : 1/4
B : 1/2
C : 2
D : 0
331 、 单选题
A : 2
B : -2
C : 4
D : -4
332 、 单选题
A : 0.4
B : 0.6
C : 0.5
D : 0.3333 、 单选题
A :
B :
C :
D :
334 、 单选题
A : f(-x,y)=f(x,y),f(x,-y)=-f(x,y)
B : f(-x,y)=f(x,y),f(x,-y)=f(x,y)
C : f(-x,y)=-f(x,y),f(x,-y)=-f(x,y)
D : f(-x,y)=-f(x,y),f(x,-y)=f(x,y)
335 、 单选题
设X1,…,Xn是取自正态总体N(μ,1)的样本,其中μ未知,下列μ的无偏估计中,最有
效的是( ).
A :
B :
C :
D : X1
336 、 单选题A : 1
B : 2
C : 3
D : 4
337 、 单选题
设随机变量x与Y相互独立,它们分别服从参数λ=2的泊松分布与指数分布.记Z=X-2Y,则
随机变量Z的数学期望与方差分别等于( ).
A : 1,3
B : -2,4
C : 1,4
D : -2,6
338 、 单选题
已知a、b均为非零向量,而|a+b|=|a-b|,则( )。
A : a-b=0
B : a+b=0
C : a·b=0
D : a×b=0
339 、 单选题
A : 0
B : 2
C : 0.8
D : 2或0.8
340 、 单选题
A : 过点(-1,2,-3),方向向量为i+2j-3kB : 过点(-1,2,-3),方向向量为-i-2j+3k
C : 过点(1,2,-3),方向向量为i-2j+3k
D : 过点(1,-2,3),方向向量为-i-2j+3k
341 、 单选题
A :
B :
C :
D :
342 、 单选题
设A是n阶矩阵,且Ak=O(k为正整数),则( )。
A : 一定是零矩阵
B : A有不为0的特征值
C : A的特征值全为0
D : A有n个线性无关的特征向量
343 、 单选题
A :
B :
C :
D :
344 、 单选题
A : 充分条件,但非必要条件
B : 必要条件,但非充分条件
C : 充分必要条件
D : 既非充分条件,又非必要条件
345 、 单选题
A : 发散
B : 条件收敛
C : 绝对收敛
D : 收敛性与α有关
346 、 单选题
A : π/6
B : π/4
C : π/3
D : π/2
347 、 单选题
A :
B :
C :
D :
348 、 单选题
A :
B :
C :
D :
349 、 单选题
A :
B :
C :
D :
350 、 单选题
A :
B :
C :
D :
351 、 单选题
A : 10!
B : -10!
C : 9!
D : -9!
352 、 单选题
设A,B都是n阶方阵,下列等式不正确的是( ).
A :
B :
C :
D :
353 、 单选题
A :
B :
C :
D :
354 、 单选题
下列结论正确的是( ).
A : x=f(x,y)在点(x,y)的偏导数存在是f(x,y)在该点连续的充分条件
B : z=f(x,y)在点(x,y)连续是f(x,y)的偏导数存在的必要条件
C : z=f(x,y)在点(x,y)的偏导数存在是f(x,y)在该点可微分的充分条件
D : z=(x,y)在点(x,y)连续是f(x,y)在该点可微分的必要条件
355 、 单选题
A : 不存在
B : 等于1
C : 等于2
D : 等于3
356 、 单选题
汽车途经5个交通路口,假定遇上红灯的概率都是0.4,且相互独立,则汽车最多遇上一
次红灯的概率等于( ).
A : 0.34
B : 0.36
C : 0.38
D : 0.4
357 、 单选题
A : α<-1
B : -1≤α<0
C : 0≤α<1
D : α≥1358 、 单选题
A :
B :
C :
D :
359 、 单选题
A : 1
B : 2
C : 3
D : 与a,b,c,d的值有关
360 、 单选题
A : 一个极小值点和两个极大值点
B : 两个极小值点和一个极大值点
C : 两个极小值点和两个极大值点
D : 三个极小值点和一个极大值点361 、 单选题
下列函数中,在点(0,0)处连续的函数是( )。
A :
B :
C :
D :
362 、 单选题
A : 发散
B : 条件收敛
C : 绝对收敛
D : 无法判定
363 、 单选题
设X是随机变量,已知P(X≤1)=p,P(X≤2)=q,则P(X≤1,X≤2)等于( ).
A : p+q
B : p-q
C : q-p
D : p
364 、 单选题
设事件A满足P(A)=0,则( ).
A : 事件A不可能发生
B : A与任意一个事件B相互独立
C : 事件A必定发生
D : A与任意一个事件B互不相容
365 、 单选题
A :
B :
C :
D :
366 、 单选题
A :
B :
C :
D :
367 、 单选题
A :
B :
C :
D :
368 、 单选题A : 8,(-2,2]
B : 8,[-2,2]
C : 不定,(-2,2]
D : 8,[-2,2)
369 、 单选题
A : β是A的属于特征值0的特征向量
B : α是A的属于特征值0的特征向量
C : β是A的属于特征值2的特征向量
D : α是A的属于特征值2的特征向量
370 、 单选题
A :
B :
C :
D : 不可导
371 、 单选题
A :
B :
C :
D :
372 、 单选题
设有一箱产品由三家工厂生产,第一家工厂生产总量的1/2,其他两厂各生产总量的1/4;
又知各厂次品率分别为2%、2%、4%。现从此箱中任取一件产品,则取到正品的概率是(
)。
A : 0.85
B : 0.765
C : 0.975
D : 0.95
373 、 单选题
函数f(x)=1/ln(x-1)的连续区间是( ).
A : [1,2)U(2,+∞)
B : (1,2)U(2,+∞)
C : (1,+∞)
D : [1,+∞)
374 、 单选题
A : lnx+c
B :
C :
375 、 单选题
A :
B :
C :
D :
376 、 单选题
A : 4/3
B : 3/4
C : 1/2
D : 1/4
377 、 单选题
设f′(lnx)=1+x,则f(x)=( )。
A :
B :
C :
D :
378 、 单选题
A :
B :
C :
D :
379 、 单选题A : -1
B : 0.1
C : 1
D : 0.5
380 、 单选题
A : 高阶无穷小
B : 低阶无穷小
C : 同阶但非等价无穷小
D : 等价无穷小
381 、 单选题
10张奖券中有3张中奖的奖券,两个人先后随机地各买一张,若已知第二人中奖,则第
一人中奖的概率是( )。
A : 2/9
B : 3/10
C : 7/15
D : 1/15
382 、 单选题
A : 有3个极值点
B : 有3个拐点
C : 有2个极值点
D : 对称原点
383 、 单选题
甲、乙、丙三人各射一次靶,事件A表示“甲中靶”,事件B表示“乙中靶”,事件C表示
“丙中靶”,则“三人中至多两人中靶”可表示为( )。
A :
B :
C : AB+AC+BC
D :
384 、 单选题
A : 18
B : 18π
C :
D :
385 、 单选题
A : 0
B :
C :
D :
386 、 单选题
有一群人受某种疾病感染患病的占20%。现随机地从他们中抽50人,则其中患病人数的
数学期望和方差是( )。
A : 25和8
B : 10和2.8
C : 25和64
D : 10和8
387 、 单选题A : p-q
B : q-p
C : p+q
D : 2(p-q)
388 、 单选题
A : 1
B : 2
C : 3
D : 无法确定
389 、 单选题
A : L平行于π
B : L在π上
C : L垂直于π
D : L与π斜交
390 、 单选题
设函数y=f(x)在(0,+∞)内有界且可导,则( )。
A :
B :
C :
D :
391 、 单选题
A : 1
B : 2
C : 3
D : 与a,b,c取值有关
392 、 单选题
A :
B :
C :
D :
393 、 单选题
A : 与z轴成定角
B : 与x轴成定角
C : 与yOz平面成定角
D : 与zOx平面成定角
394 、 单选题
袋中共有5个球,其中3个新球,2个旧球,每次取1个,无放回的取2次,则第二次取到
新球的概率是( )。A : 3/5
B : 3/4
C : 2/4
D : 3/10
395 、 单选题
设随机变量X与Y相互独立,方差分别为6和3,则D(2X-Y)=( )。
A : 9
B : 15
C : 21
D : 27
396 、 单选题
设随机变量X服从正态分布N(1,4).已知Φ(1)=a,则P(-1<X≤3)等于
A : a-1
B : 2a+1
C : a+1
D : 2a-1
397 、 单选题
A :
B :
C :
D :
398 、 单选题
设A是一个n阶方阵,已知|A|=2,则|-2A|等于( ).
A :
B :
C :
D :
399 、 单选题
A : =0
B : RA.=0
C :
D : RA.=3
400 、 单选题
A :
B :
C :
D :
401 、 单选题
A : 5/6
B : 1/6
C : 1/3
D : 1/5402 、 单选题
A : 极限不存在
B : 极限存在,但不连续
C : 连续,但不可导
D : 可导
403 、 单选题
A : 0.08
B : 0.12
C : 0.2
D : 0.4
404 、 单选题
设A是4×5矩阵,ξ1,ξ2是齐次线性方程组Ax=0的基础解系,则下列结论正确的是( ).
A : ξ1-ξ2,ξ1+2ξ2也是Ax=0的基础解系
B : k1ξ1+k1ξ2是Ax=0的通解
C : k1ξ1+ξ2是Ax=0的通解
D : ξ1-ξ2,ξ2-ξ1也是Ax=0的基础解系
405 、 单选题
A :
B :
C :
D :
406 、 单选题
A : 发散
B : 条件收敛
C : 绝对收敛
D : 收敛性与λ有关
407 、 单选题
设f(x)是(-a,a)是连续的偶函数,且当0<x<a时,f(x)<f(0),则有结论( )。
A : f(0)是f(x)在(-a,a)的极大值,但不是最大值
B : f(0)是f(x)在(-a,a)的最小值
C : f(0)是f(x)在(-a,a)的极大值,也是最大值
D : f(0)是曲线y=f(x)的拐点的纵坐标
408 、 单选题
下列各级数中发散的是( )。
A :
B :
C :
D :
409 、 单选题
A : 连续,偏导数存在
B : 连续,偏导数不存在
C : 不连续,偏导数存在
D : 不连续,偏导数不存在
410 、 单选题设α=i+2j+3k,β=i-3j-2k,与α、β都垂直的单位向量为( )。
A : ±(i+j-k)
B :
C :
D :
411 、 单选题
一元回归方程不一定经过的点是( )。
A : (0,a)
B :
C :
D : (0,0)
412 、 单选题
设A是n阶方阵,n≥3.已知|A|=0,则下列命题正确的是( ).
A : 中某一行元素全为0
B : A的第n行是前n-1行(作为行向量)的线性组合
C : A中有两列对应元素成比例
D : A中某一列是其余n-1列(作为列向量)的线性组合
413 、 单选题
A : 9
B : 6
C : 3
D : 1
414 、 单选题
A : (-1,1)B : [-1,1)
C : (-1,1]
D : (-∞,+∞)
415 、 单选题
A : -1
B : -1/2
C : 1/2
D : +∞
416 、 单选题
A :
B :
C :
D :
417 、 单选题
向量a,b的数量积a·b=( )。
A :
B :
C :
D :
418 、 单选题
A :
B :
C :
D :
419 、 单选题
设随机变量X的二阶矩存在,则( )。
A :
B :
C :
D :
420 、 单选题
A :
B :
C : f′(x0)=0且f′(x0)>0
D : f′(x0)=0或导数不存在421 、 单选题
A : (0,0)
B :
C :
D : (1,2)和(-1,2)
422 、 单选题
A :
B :
C :
D :
423 、 单选题
A : p>2
B : p<2
C : p>0
D : 0<p<2
424 、 单选题
设f(x)、g(x)在区间[a,b]上连续,且g(x)<f(x)<m(m为常数),由曲
线y=g(x),y=f(x),x=a及x=b所围平面图形绕直线y=m旋转而成的旋转体体积为( )。
A :
B :
C :
D :
425 、 单选题
A : 1/4
B : 1/2
C : 2
D : 0
426 、 单选题
微分y″=x+sinx方程的通解是( )。(c1,c2为任意常数)
A :
B :
C :
D :
427 、 单选题
A :
B :
C :
D :
428 、 单选题
A : 1/2
B : -1/2
C : 1
D : -1
429 、 单选题
A :
B :
C :
D :
430 、 单选题
A :
B :
C :
D :
431 、 单选题
A :
B :
C :
D :
432 、 单选题
设非齐次线性微分方程y′+P(x)y=Q(x)有两个不同的解y1(x),y2(x),C为任意常数,则该
方程通解是( )。
A : C[y1(x)-y2(x)]
B : y1(x)+C[y1(x)-y2(x)]
C : [y1(x)+y2(x)]
D : y1(x)+C[y1(x)+y2(x)]
433 、 单选题
A : m+n
B : -(m+n)
C : n-m
D : m-n
434 、 单选题
A :
B :
C :
D :
435 、 单选题
下列函数中不是方程y″-2y′+y=0的解的函数是( )。
A :
B :
C :
D :
436 、 单选题
A :
B :
C :
D :
437 、 单选题A : 只能确定R≤2
B : 只能确定R≤4
C : 只能确定R≥4
D : 只能确定R=4
438 、 单选题
A :
B :
C :
D :
439 、 单选题
A : 发散
B : 条件收敛
C : 绝对收敛
D : 收敛性不能确定
440 、 单选题
方程x-cos(x-1)=0在下列区间中至少有一个实根的区间是( ).
A : (-∞,0)
B : (0,π)
C : (π,4)
D : (4,+∞)
441 、 单选题
A :
B :
C : xdx
D :
442 、 单选题
A : 1
B : 3
C : 4
D : 5
443 、 单选题
A :
B :
C :
D :
444 、 单选题
A : 2
B : 3
C : 0
D : 不存在445 、 单选题
A : 正态分布
B : 自由度为16的t分布
C : 标准正态分布
D : 自由度为15的t分布
446 、 单选题
A : 4cos4x+C
B :
C : 4cos2x+C
D : 8cos4x+C
447 、 单选题
下列广义积分中发散的是( )。
A :
B :
C :
D :
448 、 单选题
A : g′(x)=C(常数)
B : g′(x)是单调增加的
C : g′(x)是单调减少的
D : g′(x)是函数,但不单调449 、 单选题
曲线y=sinx在[-π,π]上与x轴所围成的图形的面积为( )。
A : 2
B : 0
C : 4
D : 6
450 、 单选题
A :
B :
C :
D :
451 、 单选题
盒子中装有10个晶体管,其中7个是一级品.从盒子中任意取2次,每次1个.在下列两种情
形下,分别求取出的晶体管中恰有1个是一级品的概率.(1)先取出的晶体管不放回盒子;
第二次取到一级品的概率等于( ).
A : 6/9
B : 7/9
C : 7/10
D : 6/10
452 、 单选题
设两函数f(x)及g(x)都在x=a处取得极大值,则函数F(x)=f(x)g(x)在x=a处( )。
A : 必取极大值
B : 必取极小值
C : 不可能取极值
D : 是否取极值不能确定
453 、 单选题A : 1/4
B : 1/3
C : 1/2
D : 1
454 、 单选题
设A,B是n阶方阵,且AB=0.则下列等式成立的是( ).
A : =0或B=0
B : A=0
C :
D :
455 、 单选题
函数1/x展开成(x-2)的幂级数是( )。
A :
B :
C :
D :
456 、 单选题
A :
B :
C :
D :
457 、 单选题
下列方阵中,不能与对角阵相似的是( ).
A :
B :
C : 零矩阵
D :
458 、 单选题
设三向量a,b,c满足关系式a·b=a·c,则( )。
A : 必有a=0或b=c
B : 必有a=b-c=0
C : 当a≠0时必有b=c
D : a与(b-c)均不为0时必有a⊥(b-c)
459 、 单选题
A :
B :
C :
D :
460 、 单选题
A : 1
B : 1/2
C : 0
D : 2
461 、 单选题
A :
B :
C :
D :
462 、 单选题
A : 1
B : 1/6
C : 7/6
D : 6
463 、 单选题
A : e
B :
C :
D :
464 、 单选题
设随机变量X的密度函数为f(x),且f(-x)=f(x),F(x)是X的分布函数,则对任意实数a有( )。
A :
B :
C : F(-a)=F(a)
D : F(-a)=2F(a)-1