文档
办公文件
生活文档
学习资料
当前位置:
首页
>
文档
>87040601-二次型的标准形-194068_军队文职(1)_01.军队文职真题-专业课_(全)版本一(历年真题+章节练习+模拟题)_数学1(军队文职)_章节练习_题目+解析
87040601-二次型的标准形-194068_军队文职(1)_01.军队文职真题-专业课_(全)版本一(历年真题+章节练习+模拟题)_数学1(军队文职)_章节练习_题目+解析
2026-03-12 15:16:26
2026-01-29 13:10:38
文档预览
文档信息
文档格式
pdf
文档大小
0.079 MB
文档页数
2 页
上传时间
2026-01-29 13:10:38
下载文档
文档内容
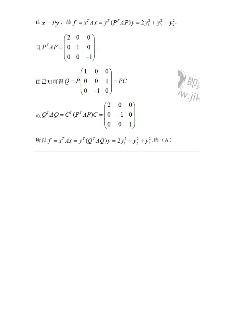
二次型的标准形 即刻题库 www.jike.vip 1 、 单选题 正确答案: A 解析:
本文档来自网络内容,如有侵犯您的权益请联系我们删除,联系邮箱:wyl860211@qq.com。
上一篇
87040601-二次型的标准形-194068_军队文职(1)_01.军队文职真题-专业课_(全)版本一(历年真题+章节练习+模拟题)_数学1(军队文职)_章节练习_纯题目
下一篇
87040601-二次型的标准形-194154_军队文职(1)_01.军队文职真题-专业课_(全)版本一(历年真题+章节练习+模拟题)_数学2(军队文职)_章节练习_纯题目
最新文档
第08讲大气环流与气候(讲义)(原卷版)_9.2025地理总复习_2024年新高考资料_1.2024一轮复习_2024年高考地理一轮复习讲练测(新教材新高考)
专题29应用文写作建议信--备考2023年高考二轮英语复习讲练测--讲练_3.2025英语总复习_赠品通用版(老高考)复习资料_二轮复习_2023年高考英语二轮复习讲练测(全国通用)
专题29应用文写作建议信--备考2023年高考二轮英语复习讲练测--测(解析版)_3.2025英语总复习_赠品通用版(老高考)复习资料_二轮复习_2023年高考英语二轮复习讲练测(全国通用)
第08讲大气环流与气候(练习)(解析版)_9.2025地理总复习_2024年新高考资料_1.2024一轮复习_2024年高考地理一轮复习讲练测(新教材新高考)
第08讲大气环流与气候(练习)(原卷版)_9.2025地理总复习_2024年新高考资料_1.2024一轮复习_2024年高考地理一轮复习讲练测(新教材新高考)
第07讲热力环流与大气的水平运动(讲义)(解析版)_9.2025地理总复习_2024年新高考资料_1.2024一轮复习_2024年高考地理一轮复习讲练测(新教材新高考)
专题29应用文写作建议信--备考2023年高考二轮英语复习讲练测--测(原卷版)_3.2025英语总复习_赠品通用版(老高考)复习资料_二轮复习_2023年高考英语二轮复习讲练测(全国通用)
第07讲热力环流与大气的水平运动(讲义)(原卷版)_9.2025地理总复习_2024年新高考资料_1.2024一轮复习_2024年高考地理一轮复习讲练测(新教材新高考)
专题29完形填空之议论文类-2023年高考英语一轮复习《考点•题型•技巧》精讲与精练高分突破系列(通用)(解析版)_3.2025英语总复习_2023年新高考资料_一轮复习
第07讲热力环流与大气的水平运动(练习)(解析版)_9.2025地理总复习_2024年新高考资料_1.2024一轮复习_2024年高考地理一轮复习讲练测(新教材新高考)
热门文档
第07讲热力环流与大气的水平运动(练习)(原卷版)_9.2025地理总复习_2024年新高考资料_1.2024一轮复习_2024年高考地理一轮复习讲练测(新教材新高考)
第07讲热力环流与大气水平运动(讲义)(解析版)_9.2025地理总复习_2025年新高考资料_一轮复习_2025年高考地理一轮复习讲练测(新教材新高考)
第07讲热力环流与大气水平运动(讲义)(原卷版)_9.2025地理总复习_2025年新高考资料_一轮复习_2025年高考地理一轮复习讲练测(新教材新高考)
专题29完形填空之议论文类-2023年高考英语一轮复习《考点•题型•技巧》精讲与精练高分突破系列(通用)(原卷版)_3.2025英语总复习_2023年新高考资料_一轮复习
第07讲热力环流与大气水平运动(解析版)_9.2025地理总复习_2025年新高考资料_一轮复习_备战2025年高考地理一轮复习考点帮(新高考通用)
第07讲热力环流与大气水平运动(练习)(解析版)_9.2025地理总复习_2025年新高考资料_一轮复习_2025年高考地理一轮复习讲练测(新教材新高考)
第07讲热力环流与大气水平运动(练习)(原卷版)_9.2025地理总复习_2025年新高考资料_一轮复习_2025年高考地理一轮复习讲练测(新教材新高考)
第07讲热力环流与大气水平运动(原卷版)_9.2025地理总复习_2025年新高考资料_一轮复习_备战2025年高考地理一轮复习考点帮(新高考通用)
第06讲大气的组成、垂直结构及受热过程(讲义)(解析版)_9.2025地理总复习_2025年新高考资料_一轮复习_2025年高考地理一轮复习讲练测(新教材新高考)
第06讲大气的组成、垂直结构及受热过程(讲义)(解析版)_9.2025地理总复习_2024年新高考资料_1.2024一轮复习_2024年高考地理一轮复习讲练测(新教材新高考)
随机文档
专题292023新课标I卷词汇二次开发+真题语料单句填空100例原卷版_3.2025英语总复习_2025年新高考资料_一轮复习_2025年高考英语一轮复习知识清单
第06讲大气的组成、垂直结构及受热过程(讲义)(原卷版)_9.2025地理总复习_2025年新高考资料_一轮复习_2025年高考地理一轮复习讲练测(新教材新高考)
专题09数列的通项公式、数列求和及综合应用(9大核心考点)(讲义)(解析版)_2.2025数学总复习_2024年新高考资料_2.2024二轮复习_2024年高考数学二轮复习讲练(新教材新高考)
第06讲大气的组成、垂直结构及受热过程(讲义)(原卷版)_9.2025地理总复习_2024年新高考资料_1.2024一轮复习_2024年高考地理一轮复习讲练测(新教材新高考)
第06讲大气的组成、垂直结构及受热过程(解析版)_9.2025地理总复习_2025年新高考资料_一轮复习_备战2025年高考地理一轮复习考点帮(新高考通用)
专题29.选择性必修第3册 Unit3 EnvironmentalProtection(教师版)---2023届高三英语总复习(人教版2019)_3.2025英语总复习_2023年新高考资料_专项复习_2023届高三英语总复习
第06讲大气的组成、垂直结构及受热过程(练习)(解析版)_9.2025地理总复习_2025年新高考资料_一轮复习_2025年高考地理一轮复习讲练测(新教材新高考)
第06讲大气的组成、垂直结构及受热过程(练习)(解析版)_9.2025地理总复习_2024年新高考资料_1.2024一轮复习_2024年高考地理一轮复习讲练测(新教材新高考)
第06讲大气的组成、垂直结构及受热过程(练习)(原卷版)_9.2025地理总复习_2025年新高考资料_一轮复习_2025年高考地理一轮复习讲练测(新教材新高考)
第06讲大气的组成、垂直结构及受热过程(练习)(原卷版)_9.2025地理总复习_2024年新高考资料_1.2024一轮复习_2024年高考地理一轮复习讲练测(新教材新高考)