文档
办公文件
生活文档
学习资料
当前位置:
首页
>
文档
>91270601-二次型的标准形-194240_军队文职(1)_01.军队文职真题-专业课_(全)版本一(历年真题+章节练习+模拟题)_数学3(军队文职)_章节练习_题目+解析
91270601-二次型的标准形-194240_军队文职(1)_01.军队文职真题-专业课_(全)版本一(历年真题+章节练习+模拟题)_数学3(军队文职)_章节练习_题目+解析
2026-03-12 04:04:47
2026-01-29 13:34:47
文档预览
文档信息
文档格式
pdf
文档大小
0.079 MB
文档页数
2 页
上传时间
2026-01-29 13:34:47
下载文档
文档内容
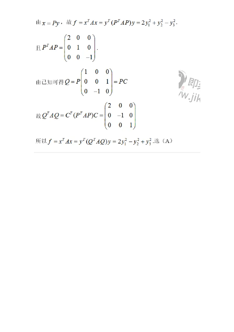
二次型的标准形 即刻题库 www.jike.vip 1 、 单选题 正确答案: A 解析:
本文档来自网络内容,如有侵犯您的权益请联系我们删除,联系邮箱:wyl860211@qq.com。
上一篇
2313三上语文关联词语的运用专项练习(练习+答案)22页_一到六小学晨读晚默晨诵晚读_三年级上册各类资料(小纸条知识点默写单)
下一篇
91280101-函数的概念、函数定义域的求法-194241_军队文职(1)_01.军队文职真题-专业课_(全)版本一(历年真题+章节练习+模拟题)_数学3(军队文职)_章节练习_纯题目
最新文档
初中生物实验课_教资初高中_教资面试2025教资面试备考资料合集_教资面试资料合集_1、面试模板合集(结构化+试讲+教案)_试讲逐字稿
初中生物55篇逐字稿_扫描版_教资初高中_教资面试2025教资面试备考资料合集_教资面试资料合集_2025教资面试资料_02上岸熊最新版各学科55篇试讲逐字稿幼小初高
第1部分教材知识解读必修第三册Unit5 TheValueofMoney_3.2025英语总复习_2024年新高考资料_1.2024一轮复习_2024年高考英语一轮复习讲义(新人教版)
专题3-9利用导函数研究极值点偏移问题(解析版)_2.2025数学总复习_2023年新高考资料_二轮复习_2023年高考数学二轮热点题型归纳演练(新高考专用)
第1部分教材知识解读必修第三册Unit5TheValueofMoney_3.2025英语总复习_2023年新高考资料_一轮复习_2023年新高考大一轮复习讲义_2023年高考英语一轮复习讲义(新人教新高考)
第1部分教材知识解读必修第三册Unit4 SpaceExploration_3.2025英语总复习_2024年新高考资料_1.2024一轮复习_2024年高考英语一轮复习讲义(新人教版)
初中生物-答辩部分_教资初高中_教资面试2025教资面试备考资料合集_教资面试资料合集_3、教资面试资料包大全_45大圣中小幼面试资料包_初中_生物
初中物理面试题本+教案+逐字稿+答辩_纯图版_教资初高中_教资面试2025教资面试备考资料合集_教资面试资料合集_2025教资面试资料
第1部分教材知识解读必修第三册Unit3 DiverseCultures_3.2025英语总复习_2024年新高考资料_1.2024一轮复习_2024年高考英语一轮复习讲义(新人教版)
专题3-9利用导函数研究极值点偏移问题(原卷版)_2.2025数学总复习_2023年新高考资料_二轮复习_2023年高考数学二轮热点题型归纳演练(新高考专用)
热门文档
第1部分教材知识解读必修第三册Unit3DiverseCultures_3.2025英语总复习_2023年新高考资料_一轮复习_2023年新高考大一轮复习讲义_2023年高考英语一轮复习讲义(新人教新高考)
初中物理面试试讲模板资料_教资初高中_教资面试2025教资面试备考资料合集_教资面试资料合集_3、教资面试资料包大全_45大圣中小幼面试资料包_初中_物理
初中物理面试真题+模板_教资初高中_教资面试2025教资面试备考资料合集_教资面试资料合集_3、教资面试资料包大全_45大圣中小幼面试资料包_初中_物理
专题3-8利用导函数证明不等式(解析版)_2.2025数学总复习_2023年新高考资料_二轮复习_2023年高考数学二轮热点题型归纳演练(新高考专用)
第1部分教材知识解读必修第三册Unit2 MoralsandVirtues_3.2025英语总复习_2024年新高考资料_1.2024一轮复习_2024年高考英语一轮复习讲义(新人教版)
初中物理简案+逐字稿_教资初高中_教资面试2025教资面试备考资料合集_教资面试资料合集_2025教资面试资料_25卢姨各科简案+逐字稿_初中
初中物理更多资料加入._教资初高中_教资面试2025教资面试备考资料合集_教资面试资料合集_3、教资面试资料包大全_19中小学教师资格面试试库宝书_21年版本--赠送
第1部分教材知识解读必修第三册Unit2MoralsandVirtues_3.2025英语总复习_2023年新高考资料_一轮复习_2023年新高考大一轮复习讲义_2023年高考英语一轮复习讲义(新人教新高考)
初中物理教师资格证面试练习题_教资初高中_教资面试2025教资面试备考资料合集_教资面试资料合集_4、教资面试真题汇总_学科面试真题及答案_卢姨汇总版
初中物理教师资格证面试练习题_教资初高中_教资面试2025教资面试备考资料合集_教资面试资料合集_2025教资面试资料_卢姨教资面试真题汇总版
随机文档
第1部分教材知识解读必修第三册Unit1FestivalsandCelebrations_3.2025英语总复习_2023年新高考资料_一轮复习_2023年新高考大一轮复习讲义_2023年高考英语一轮复习讲义(新人教新高考)
初中物理_教资初高中_教资面试2025教资面试备考资料合集_教资面试资料合集_1、面试模板合集(结构化+试讲+教案)_试讲逐字稿
专题3-8利用导函数证明不等式(原卷版)_2.2025数学总复习_2023年新高考资料_二轮复习_2023年高考数学二轮热点题型归纳演练(新高考专用)
第1部分教材知识解读必修第一册WelcomeUnit_3.2025英语总复习_2023年新高考资料_一轮复习_2023年新高考大一轮复习讲义_2023年高考英语一轮复习讲义(新人教新高考)
专题3-7利用导函数研究双变量问题(解析版)_2.2025数学总复习_2023年新高考资料_二轮复习_2023年高考数学二轮热点题型归纳演练(新高考专用)
第1部分教材知识解读必修第一册Unit5 LanguagesAroundtheWorld_3.2025英语总复习_2024年新高考资料_1.2024一轮复习_2024年高考英语一轮复习讲义(新人教版)
第1部分教材知识解读必修第一册Unit5LanguagesAroundtheWorld_3.2025英语总复习_2023年新高考资料_一轮复习_2023年新高考大一轮复习讲义_2023年高考英语一轮复习讲义(新人教新高考)
第1部分教材知识解读必修第一册Unit4 NaturalDisasters_3.2025英语总复习_2024年新高考资料_1.2024一轮复习_2024年高考英语一轮复习讲义(新人教版)
第1部分教材知识解读必修第一册Unit3 SportsandFitness_3.2025英语总复习_2024年新高考资料_1.2024一轮复习_2024年高考英语一轮复习讲义(新人教版)
专题3-7利用导函数研究双变量问题(原卷版)_2.2025数学总复习_2023年新高考资料_二轮复习_2023年高考数学二轮热点题型归纳演练(新高考专用)