文档
办公文件
生活文档
学习资料
当前位置:
首页
>
文档
>87040601-二次型的标准形-194154_军队文职(1)_01.军队文职真题-专业课_(全)版本一(历年真题+章节练习+模拟题)_数学2(军队文职)_章节练习_题目+解析
87040601-二次型的标准形-194154_军队文职(1)_01.军队文职真题-专业课_(全)版本一(历年真题+章节练习+模拟题)_数学2(军队文职)_章节练习_题目+解析
2026-03-11 08:11:26
2026-01-29 13:10:43
文档预览
文档信息
文档格式
pdf
文档大小
0.079 MB
文档页数
2 页
上传时间
2026-01-29 13:10:43
下载文档
文档内容
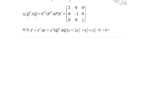
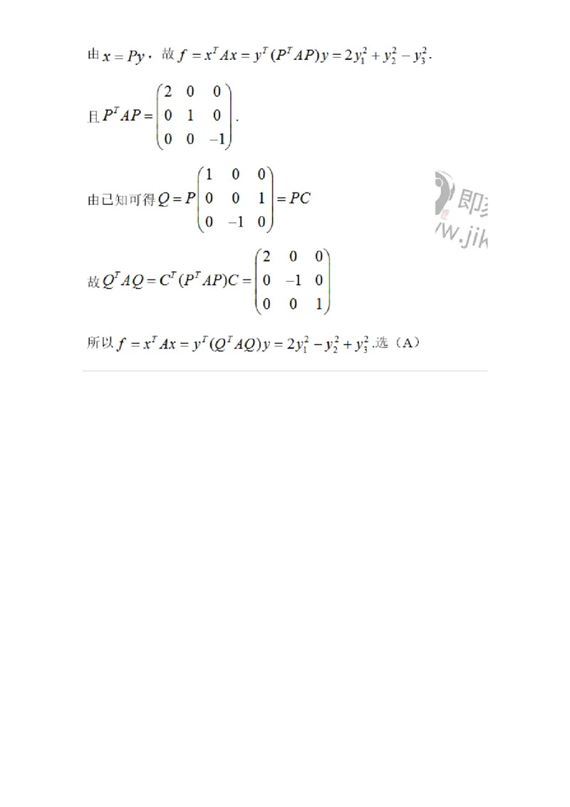
二次型的标准形 即刻题库 www.jike.vip 1 、 单选题 正确答案: A 解析:
本文档来自网络内容,如有侵犯您的权益请联系我们删除,联系邮箱:wyl860211@qq.com。
上一篇
87040601-二次型的标准形-194154_军队文职(1)_01.军队文职真题-专业课_(全)版本一(历年真题+章节练习+模拟题)_数学2(军队文职)_章节练习_纯题目
下一篇
87050101-函数的概念、函数定义域的求法-194069_军队文职(1)_01.军队文职真题-专业课_(全)版本一(历年真题+章节练习+模拟题)_数学1(军队文职)_章节练习_纯题目
最新文档
林线-2023年高三地理二轮小专题练习(新课标)(原卷版)_9.2025地理总复习_2023年新高考复习资料_二轮复习_寒假小练2023年高三地理二轮小专题练习(新课标)291470456
构造地貌-2023年高三地理二轮小专题练习(新课标)(解析版))_9.2025地理总复习_2023年新高考复习资料_二轮复习_寒假小练2023年高三地理二轮小专题练习(新课标)291470456
构造地貌-2023年高三地理二轮小专题练习(新课标)(原卷版)_9.2025地理总复习_2023年新高考复习资料_二轮复习_寒假小练2023年高三地理二轮小专题练习(新课标)291470456
服务业(解析版)-2023届高三地理一轮复习选择题暑期分专题训练_9.2025地理总复习_赠品通用版(老高考)复习资料_一轮复习
服务业(原卷版)-2023届高三地理一轮复习选择题暑期分专题训练_9.2025地理总复习_赠品通用版(老高考)复习资料_一轮复习
专题09不等式(文理)-2023年高考数学一轮复习小题多维练(全国通用)(原卷版)_2.2025数学总复习_赠品通用版(老高考)复习资料_一轮复习
晋江二中、鹏峰中学、广海中学、泉港五中22-23学年上学期十月高三联考地理_9.2025地理总复习_2023年新高考复习资料_3地理高考模拟题_新高考
专题24-书面表达之书信体应用文(建议信&邀请信&申请信&求助信)必备句型与万能模板(原卷版)先学先知备考2023年高考英语零轮复习双基必过学与练(通用版)_专项复习
昼夜长短-2023年高三地理二轮小专题练习(新课标)(解析版)_9.2025地理总复习_2023年新高考复习资料_二轮复习_寒假小练2023年高三地理二轮小专题练习(新课标)291470456
昼夜长短-2023年高三地理二轮小专题练习(新课标)(原卷版)_9.2025地理总复习_2023年新高考复习资料_二轮复习_寒假小练2023年高三地理二轮小专题练习(新课标)291470456
热门文档
新黄金卷08(参考答案版)-赢在高考黄金8卷备战2024年高考地理模拟卷(福建专用)_9.2025地理总复习_2024年新高考资料_4.2024高考模拟预测试卷
新高三摸底联考地理答案_9.2025地理总复习_地理高考模拟题_老高考_2023年_2023衡水金卷高三联考(老高考)地理
专题09三角恒等变换(解析版)_2.2025数学总复习_2024年新高考资料_3.2024专项复习_计算训练2024年高考数学计算题型精练系列(新高考通用版)
新高三摸底联考地理正文_9.2025地理总复习_地理高考模拟题_老高考_2023年_2023衡水金卷高三联考(老高考)地理
新疆新和县实验中学2023届高三上学期第一次月考地理试题+Word版含答案_9.2025地理总复习_地理高考模拟题_老高考_2023年_新疆新和县实验中学2023届高三上学期第一次月考地理含答案
新未来1月联考-文综答案_9.2025地理总复习_地理高考模拟题_老高考_2023年_河南省新未来2023届高三1月联考文综_河南省新未来2023届高三1月联考文综
新建MicrosoftWord文档_9.2025地理总复习_2023年新高考复习资料_一轮复习_2023新高考一轮复习教参+练案+课件_温馨提示_!程序包_MathType6.5中文破解版
新型城镇化-2023年高三地理二轮小专题练习(新课标)(解析版))_9.2025地理总复习_2023年新高考复习资料_二轮复习_寒假小练2023年高三地理二轮小专题练习(新课标)291470456
新型城镇化-2023年高三地理二轮小专题练习(新课标)(原卷版)_9.2025地理总复习_2023年新高考复习资料_二轮复习_寒假小练2023年高三地理二轮小专题练习(新课标)291470456
文综高三上学期模拟考试_9.2025地理总复习_地理高考模拟题_老高考_2023年_江西省九江市2023年第一次高考模拟统一考试文综_江西省九江市2023年第一次高考模拟统一考试文综
随机文档
(练习)专题17中国近现代经济、社会生活与教育科技文化(原卷版)_02中考总复习(2026版更新中)_06-历史-中考总复习_2024年中考复习资料_一轮复习_配套练习(原卷版+解析版)
文综试题及答案无历史答案_9.2025地理总复习_地理高考模拟题_老高考_2023年_2023届安徽六安市省示范高中高三教学质量检测文综_2023届安徽六安市省示范高中高三教学质量检测文综
(练习)专题16民族团结与祖国统一、国防建设与外交成就(解析版)_02中考总复习(2026版更新中)_06-历史-中考总复习_2024年中考复习资料_一轮复习_配套练习(原卷版+解析版)
专题09三角函数(教师版)_2.2025数学总复习_赠品通用版(老高考)复习资料_专项复习_五年(2018-2022)高考数学真题分项汇编(全国通用)
专题23阅读理解之记叙文类-2023年高考英语一轮复习《考点•题型•技巧》精讲与精练高分突破系列(通用)(解析版)_3.2025英语总复习_2023年新高考资料_一轮复习
(练习)专题16民族团结与祖国统一、国防建设与外交成就(原卷版)_02中考总复习(2026版更新中)_06-历史-中考总复习_2024年中考复习资料_一轮复习_配套练习(原卷版+解析版)
文综试题_9.2025地理总复习_地理高考模拟题_老高考_2023年_四川省遂宁市射洪中学2022-2023学年高三上学期第一次月考试题(9月)文综Word版含答案
(练习)专题15中国特色社会主义道路(解析版)_02中考总复习(2026版更新中)_06-历史-中考总复习_2024年中考复习资料_一轮复习_配套练习(原卷版+解析版)_教师版(含答案解析)
文综试题A卷_9.2025地理总复习_地理高考模拟题_老高考_2023年_2023年1月山西省高三年级适应性调研测试A卷文综_2023年1月山西省高三年级适应性调研测试A卷
文综试卷_9.2025地理总复习_地理高考模拟题_老高考_2023年_河南天一大联考2022-2023学年高三上学期1月期末文综试题_河南天一大联考2022-2023学年高三上学期1月期末文综试题