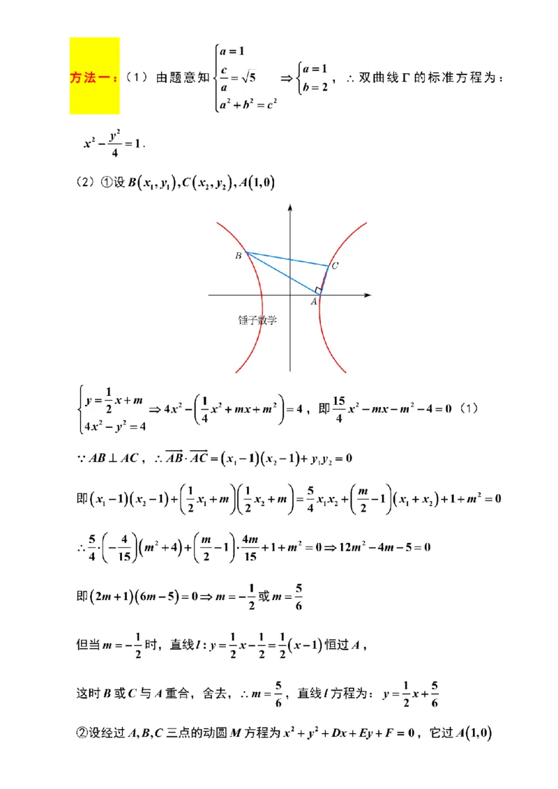
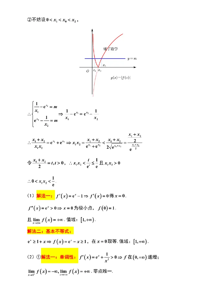
文档
办公文件
生活文档
学习资料
当前位置:
首页
>
文档
>数学解析镇江高三期中2512_2025年12月_251204江苏省镇江市2025-2026学年高三上学期期中质量监测(全科)
数学解析镇江高三期中2512_2025年12月_251204江苏省镇江市2025-2026学年高三上学期期中质量监测(全科)
2026-03-18 04:17:34
2026-02-08 19:38:01
文档预览
文档信息
文档格式
pdf
文档大小
4.345 MB
文档页数
24 页
上传时间
2026-02-08 19:38:01
下载文档
本文档来自网络内容,如有侵犯您的权益请联系我们删除,联系邮箱:wyl860211@qq.com。
上一篇
LH高三物理答案-01_2024届广东省深圳市罗湖区高三上学期期末质量监测_广东省深圳市罗湖区2024届高三上学期期末质量监测物理
下一篇
政治试卷-辽宁省实验中学2026届高三上学期期中考试_251114辽宁省实验中学2026届高三上学期期中考试(全科)
最新文档
2024年高考生物一轮复习(新人教版)第9单元 第5课时 生态系统的结构_09高考生物_2024年新高考资料_1.2024一轮复习_2024年高考生物一轮复习讲义(新人教版)
专题2.5分式全章三大类型十八个必考点(必考点分类集训)(人教版)(学生版)_初中数学_八年级数学上册(人教版)_考点分类必刷题-U181
2024年高考生物一轮复习(新人教版)第9单元 第3课时 群落的结构_09高考生物_2024年新高考资料_1.2024一轮复习_2024年高考生物一轮复习讲义(新人教版)
专题2-3八种隐圆类最值问题,圆来如此简单(解析版)_02中考总复习(2026版更新中)_02-数学-中考总复习_2024年中考复习资料_专项复习资料_教师版(含答案解析)
黄冈名卷四年级下册英语人教PEP版_26春四年级上下册人教版_四上英语合集人教版PEP英语四年级上册新教材(教学视频+课件+动画+音频+练习+教案)_17练习资料_《黄冈名卷》
2024年高考生物一轮复习(新人教版)第9单元 第2课时 种群数量的变化及其影响因素_09高考生物_2024年新高考资料_1.2024一轮复习_2024年高考生物一轮复习讲义(新人教版)
2024年高考生物一轮复习(新人教版)第9单元 第1课时 种群的数量特征_09高考生物_2024年新高考资料_1.2024一轮复习_2024年高考生物一轮复习讲义(新人教版)
2024年高考生物一轮复习(新人教版)第8单元 第9课时 植物生长素及其生理作用_09高考生物_2024年新高考资料_1.2024一轮复习_2024年高考生物一轮复习讲义(新人教版)
专题1初中英语牛津深圳版单词表(按单元顺序)(七年级至九年级(背诵版)_02中考总复习(2026版更新中)_03-英语-中考总复习_2024年中考复习资料_一轮复习_单词表
2024年高考生物一轮复习(新人教版)第8单元 第8课时 免疫失调和免疫学的应用_09高考生物_2024年新高考资料_1.2024一轮复习_2024年高考生物一轮复习讲义(新人教版)
热门文档
2024年高考生物一轮复习(新人教版)第8单元 第6课时 体液调节与神经调节的关系_09高考生物_2024年新高考资料_1.2024一轮复习_2024年高考生物一轮复习讲义(新人教版)
专题1 长效热点探究 热点1 积蓄百年伟力,起笔复兴新篇_8.2025政治总复习_2023年新高考资料_二轮复习_2023年高考政治二轮复习讲义+课件(新高考版)_学生版_大二轮专题复习讲义
专题1 课时2 党的百年奋斗重大成就和历史经验_8.2025政治总复习_2023年新高考资料_二轮复习_2023年高考政治二轮复习讲义+课件(新高考版)_2023年高考政治二轮复习讲义(新高考版)
2024年高考生物一轮复习(新人教版)第8单元 第5课时 激素与内分泌系统、激素调节的过程_09高考生物_2024年新高考资料_1.2024一轮复习_2024年高考生物一轮复习讲义(新人教版)
专题1 课时1 人类社会的发展进程_8.2025政治总复习_2023年新高考资料_二轮复习_2023年高考政治二轮复习讲义+课件(新高考版)_2023年高考政治二轮复习讲义(新高考版)_学生版
专题19:七上古诗词+文言文对比阅读精练-备战2025年中考语文一轮复习古代诗歌阅读(全国通用)解析版_02中考总复习(2026版更新中)_01-语文-中考总复习_2025年中考资料_中考文言文专项
2024年高考生物一轮复习(新人教版)第8单元 第4课时 神经系统的分级调节和人脑的高级功能_09高考生物_2024年新高考资料_1.2024一轮复习_2024年高考生物一轮复习讲义(新人教版)
2024年高考生物一轮复习(新人教版)第8单元 第3课时 神经冲动的产生、传导和传递_09高考生物_2024年新高考资料_1.2024一轮复习_2024年高考生物一轮复习讲义(新人教版)
黄冈名卷六年级下册英语人教PEP版_26春四年级上下册人教版_四上英语合集人教版PEP英语四年级上册新教材(教学视频+课件+动画+音频+练习+教案)_17练习资料_《黄冈名卷》
2024年高考生物一轮复习(新人教版)第8单元 第2课时 神经调节的结构基础及基本方式_09高考生物_2024年新高考资料_1.2024一轮复习_2024年高考生物一轮复习讲义(新人教版)
随机文档
专题19说明对象与顺序(讲练)(解析版)_02中考总复习(2026版更新中)_01-语文-中考总复习_2025年中考资料_2025中考二轮课件ppt+讲义+练习语文_讲义练习
2024年高考生物一轮复习(新人教版)第8单元 第1课时 人体的内环境与稳态_09高考生物_2024年新高考资料_1.2024一轮复习_2024年高考生物一轮复习讲义(新人教版)
2024年高考生物一轮复习(新人教版)第8单元 第10课时 其他植物激素、植物生长调节剂及环境因素参与调节植物的生命活动_09高考生物_2024年新高考资料_1.2024一轮复习
专题19矩形、菱形、正方形(解析版)_02中考总复习(2026版更新中)_02-数学-中考总复习_2025中考复习资料_(2025年中考复习全国通用)2024年中考数学真题专题分类精选汇编
2024年高考生物一轮复习(新人教版)第8单元 微专题六 动物生命活动调节模型的构建和分析_09高考生物_2024年新高考资料_1.2024一轮复习_2024年高考生物一轮复习讲义(新人教版)
2024年高考生物一轮复习(新人教版)第7单元 第3课时 生物的进化_09高考生物_2024年新高考资料_1.2024一轮复习_2024年高考生物一轮复习讲义(新人教版)
专题19电学必考的四个重点实验(解析版)_02中考总复习(2026版更新中)_04-物理-中考总复习_2025年中考复习资料_2025年中考物理答题方法模板
2024年高考生物一轮复习(新人教版)第7单元 第2课时 染色体变异_09高考生物_2024年新高考资料_1.2024一轮复习_2024年高考生物一轮复习讲义(新人教版)
2024年高考生物一轮复习(新人教版)第7单元 第1课时 基因突变与基因重组_09高考生物_2024年新高考资料_1.2024一轮复习_2024年高考生物一轮复习讲义(新人教版)
2024年高考生物一轮复习(新人教版)第6单元 第4课时 基因表达与性状的关系_09高考生物_2024年新高考资料_1.2024一轮复习_2024年高考生物一轮复习讲义(新人教版)