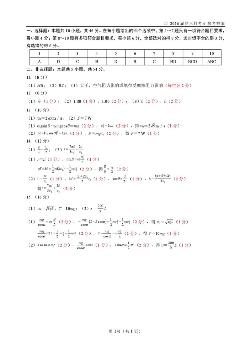
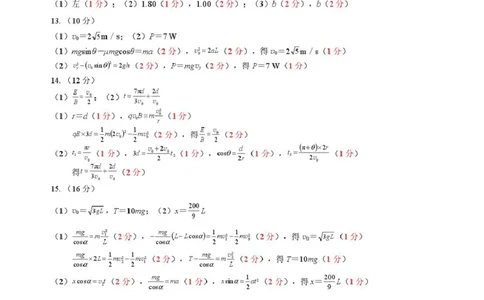
当前位置:首页>文档>哈六中高三物理期末考试试题及答案高三物理试题答案(1)_2026年1月_260111黑龙江省哈尔滨市第六中学校2025-2026学年高三上学期1月期末考试(全科)

哈六中高三物理期末考试试题及答案高三物理试题答案(1)_2026年1月_260111黑龙江省哈尔滨市第六中学校2025-2026学年高三上学期1月期末考试(全科)

  • 2026-03-30 17:35:08 2026-02-12 13:40:58

文档预览

哈六中高三物理期末考试试题及答案高三物理试题答案(1)_2026年1月_260111黑龙江省哈尔滨市第六中学校2025-2026学年高三上学期1月期末考试(全科)
哈六中高三物理期末考试试题及答案高三物理试题答案(1)_2026年1月_260111黑龙江省哈尔滨市第六中学校2025-2026学年高三上学期1月期末考试(全科)

文档信息

文档格式
pdf
文档大小
0.114 MB
文档页数
1 页
上传时间
2026-02-12 13:40:58