当前位置:首页>文档>数学试题卷答案(1)_2026年1月_260130广东省肇庆市2026届高中毕业班高三年级第一学期末教学质量监测(肇庆二模)(全科)

数学试题卷答案(1)_2026年1月_260130广东省肇庆市2026届高中毕业班高三年级第一学期末教学质量监测(肇庆二模)(全科)

  • 2026-03-17 16:52:22 2026-02-12 15:48:11

文档预览

数学试题卷答案(1)_2026年1月_260130广东省肇庆市2026届高中毕业班高三年级第一学期末教学质量监测(肇庆二模)(全科)
数学试题卷答案(1)_2026年1月_260130广东省肇庆市2026届高中毕业班高三年级第一学期末教学质量监测(肇庆二模)(全科)
数学试题卷答案(1)_2026年1月_260130广东省肇庆市2026届高中毕业班高三年级第一学期末教学质量监测(肇庆二模)(全科)
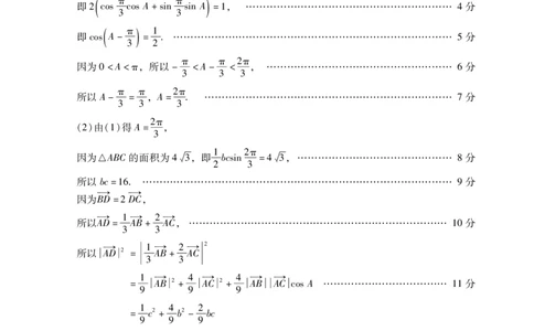
数学试题卷答案(1)_2026年1月_260130广东省肇庆市2026届高中毕业班高三年级第一学期末教学质量监测(肇庆二模)(全科)
数学试题卷答案(1)_2026年1月_260130广东省肇庆市2026届高中毕业班高三年级第一学期末教学质量监测(肇庆二模)(全科)
数学试题卷答案(1)_2026年1月_260130广东省肇庆市2026届高中毕业班高三年级第一学期末教学质量监测(肇庆二模)(全科)
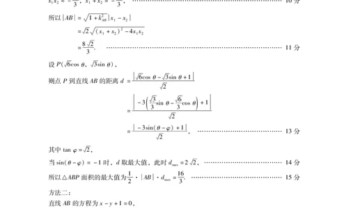
数学试题卷答案(1)_2026年1月_260130广东省肇庆市2026届高中毕业班高三年级第一学期末教学质量监测(肇庆二模)(全科)
数学试题卷答案(1)_2026年1月_260130广东省肇庆市2026届高中毕业班高三年级第一学期末教学质量监测(肇庆二模)(全科)
数学试题卷答案(1)_2026年1月_260130广东省肇庆市2026届高中毕业班高三年级第一学期末教学质量监测(肇庆二模)(全科)
数学试题卷答案(1)_2026年1月_260130广东省肇庆市2026届高中毕业班高三年级第一学期末教学质量监测(肇庆二模)(全科)
数学试题卷答案(1)_2026年1月_260130广东省肇庆市2026届高中毕业班高三年级第一学期末教学质量监测(肇庆二模)(全科)
数学试题卷答案(1)_2026年1月_260130广东省肇庆市2026届高中毕业班高三年级第一学期末教学质量监测(肇庆二模)(全科)
数学试题卷答案(1)_2026年1月_260130广东省肇庆市2026届高中毕业班高三年级第一学期末教学质量监测(肇庆二模)(全科)
数学试题卷答案(1)_2026年1月_260130广东省肇庆市2026届高中毕业班高三年级第一学期末教学质量监测(肇庆二模)(全科)
数学试题卷答案(1)_2026年1月_260130广东省肇庆市2026届高中毕业班高三年级第一学期末教学质量监测(肇庆二模)(全科)
数学试题卷答案(1)_2026年1月_260130广东省肇庆市2026届高中毕业班高三年级第一学期末教学质量监测(肇庆二模)(全科)
数学试题卷答案(1)_2026年1月_260130广东省肇庆市2026届高中毕业班高三年级第一学期末教学质量监测(肇庆二模)(全科)

文档信息

文档格式
pdf
文档大小
0.851 MB
文档页数
13 页
上传时间
2026-02-12 15:48:11

文档内容

!"# !"!#$%&’()*+,-./,0123 456789:";<#$=, +$ >?@% A@B# C@& DC@$ 8& B%& 8’EDC@FGHIJ>K&& LM +KNOP@QRSH’ 12 " ( ) % $ * + # %& , - . , . , / - T$ >?@% A@B) C@& DC@* 8& B"# 8’EDC@FGH>K&& MUKO P@QRS’VW>XHY* 8& W8>XHYW88& M>ZHY& 8’ 12 0 "& "" %& /,. /-. /,. [$ \]@% A@B) C@& DC@$ 8& B"$ 8’ " [ ( ) "(’")$!!")’ !!"%’ & 2! ( 1 I$ ^4@% A@B$ C@& B++ 8’^4_‘Gabcd$ edfghijkl’ " 2( "$!’34(""#56 # 3$ & " 3$ ( # " " $ 2( 789#3"& :; " 3$ & ( " 4;$ 3(! <<<<<<<<<<<<<<<<<<<<<<<<<<<<<< " ) " " 2( =#!( >& #4" 3$ & <<<<<<<<<<<<<<<<<<<<<<< ( ) ( #4" $ ? # 3$ 4$ & @$ 3($ & <<<<<<<<<<<<<<<<<<<<<< ) ) ( # #4" # #4" 78)$ *ABC6(& DE6( FGE#H& <<<<<<<<<<<<<<<< % ) # 78#H)$ *FICDJ6$ 3(#!<<<<<<<<<<<<<<<<<<<< $ ) # # "(#56$ 3(#& # 78567$ 3567(# 3#& <<<<<<<<<<<<<<<<<<<<<<<<< * ) ( # ( " " @%3#!"#2"#& 3 & <<<<<<<<<<<<<<<<<<< + ) # % #!"#2"# # " " " 78& 3 2 2+2 <<<<<<<<<<<<<<<<<<< # ) # " 8( ( 8) #!"#2"# ( " ) ( " " ) ( " " ) 3 " 4 2 4 2+2 4 <<<<<<<<<<<<<< "& ) ( ( ) # #2" " 3" 4 ! <<<<<<<<<<<<<<<<<<<<<<<<<< "" ) #2" " " 56#"!#& 78 9&& @" 4 :"& <<<<<<<<<<<<<<< "( ) #2" #2" !"!#$!%&’()*+",-#!.!!!!"/"0# /# 书书书78&:"!<<<<<<<<<<<<<<<<<<<<<<<<<<<<<< ") ) # $ % ( "*!’34(""#56槡)$;<= ’2(>6;)4(3&& 3 3 & ;<= ) ;<= * ;<= ’ 78槡);<= );<= ’2;<= ’>6;)4;<= ’3&! <<<<<<<<<<<<<<<<<< " ) 56’""&& !#& 78;<= ’$&& 78>6;)2槡);<= )4" 3&& <<<<<<<<<<<<<<<<<<<<<<< ( ) 78( ( " >6;)2 槡) ;<= ) ) 3"& <<<<<<<<<<<<<<<<<<<<<< ) ) ( ( ( ! ! ) @( >6; >6;)2;<= ;<= ) 3"& <<<<<<<<<<<<<<<<<<<< % ) ) ) ( !) " @>6;)4 3 !<<<<<<<<<<<<<<<<<<<<<<<<<<< $ ) ) ( ! ! (! 56& :):!& 784 :)4 : & <<<<<<<<<<<<<<<<<< * ) ) ) ) ! ! (! 78)4 3 & )3 ! <<<<<<<<<<<<<<<<<<<<<<<< + ) ) ) ) (! "(#K""#;)3 & ) " (! 56%)*’FLM6%槡)& @ %(;<= 3%槡)& <<<<<<<<<<<<<<< # ) ( ) 78%(3"*! <<<<<<<<<<<<<<<<<<<<<<<<<<<<<< 0 ) ’’& ’’& 56*+3( +’& ’’& " ’’& ( ’’& 78)+3 )*2 )’& <<<<<<<<<<<<<<<<<<<<<<<<< "& ) ) ) ’’& " ’’& ( ’’& ( 78 )+( 3 )*2 )’ ) ) " ’’& % ’’& % ’’& ’’& 3 )*( 2 )’( 2 )* )’>6;) <<<<<<<<<<<< "" ) 0 0 0 " % ( 3 (( 2 %( 4 %( 0 0 0 " % ( !( 槡((! %( 4 %(<<<<<<<<<<<<<<<<<<<< "( ) 0 0 0 ( 3 %( 0 )( 3 ! <<<<<<<<<<<<<<<<<<<<<<<<<<< ") ) 0 " % =NO= (( 3 %(& @(3(%>& G2PQ& <<<<<<<<<<<<<<< "% ) 0 0 %槡( 78RS)+TUFVWX6 ! <<<<<<<<<<<<<<<<<<<< "$ ) ) !"!#$!%&’()*+",-#!.!!!!(/"0# /#"+!’34(""#YZ[% K1\]& ((3(槡)& @(3槡)& <<<<<<<<<<<<<<<<<<<<<< " ) ^_‘’Fa$ bcd)e6,& ,& " ( ?," 4槡)& &#& ,"槡)& &#! " ( 56 -, 2 -, 3($& " ( 78槡"( 2槡)#( 2" 2槡"( 4槡)#( 2" 3($& 4;$3槡*! <<<<<<<<<<<<<<<<<<<<<<<<<<<<<< ( ) f56%( 3$( 4((& 78%( 3)! <<<<<<<<<<<<<<<<<<<<<<<<<<<<<< ) ) .( /( 78_‘’FYg6 2 3"! <<<<<<<<<<<<<<<<<<<<< % ) * ) YZh% K1\]& ((3(槡)& @(3槡)& <<<<<<<<<<<<<<<<<<<<<< " ) 56d-"(& "#i_‘’j& % " 78 2 3"& $( %( f56$( 3%( 2((& 78$( 3%( 2)& <<<<<<<<<<<<<<<<<<<<<<<<<<<< ( ) % " 78 2 3"& %( 2) %( @%%( 2%( 2) 3%% 2)%(& kl;%( 3) m%( 34""no#& <<<<<<<<<<<<<<<<<<<<< ) ) 78$( 3%( 2(( 3%& .( /( 78_‘’FYg6 2 3"! <<<<<<<<<<<<<<<<<<<<< % ) % ) ( ( " ) "(#"<#^)".& /#& *".& /#& 56RS)*Fpd6& 4 & & " " ( ( ) ) % ( 78.2.34 & /2/3 & <<<<<<<<<<<<<<<<<<<<< $ ) " ( ) " ( ) /2/ " 0 3" ( 34 ! <<<<<<<<<<<<<<<<<<<<<<<<<<< * ) 1& .2. ( " ( .( " 2 /( " 3"& * ) 56)& *qdi_‘j& 78 .( /(  ( 2 ( 3"& * ) .( 4.( /( 4/( 78 " ( 2" ( 3&& <<<<<<<<<<<<<<<<<<<<<<<<< + ) * ) ".4.#".2.# "/4/#"/2/# 78 " ( " ( 2 " ( " ( 3&& * ) !"!#$!%&’()*+",-#!.!!!!)/"0# /#/4/ .2. 780 3( " 34 " ( 3"& <<<<<<<<<<<<<<<<<<<< # ) )* .4. ("/2/# ( " " ( 78rR)*FYg6.4/2" 3&! <<<<<<<<<<<<<<<<<<<< 0 ) "<<#YZ[% rR)*FYg6.4/2" 3&& {.4/2" 3&& sQ .( /( 2 3"& * ) kl;).( 2%.4% 3&& % % ..34 & .2.34 & <<<<<<<<<<<<<<<<<<<<<<< "& ) " ( ) " ( ) 78 )* 3槡" 20( .4. )* " ( 3槡(槡".2.#( 4%.. " ( " ( #槡( 3 ! <<<<<<<<<<<<<<<<<<<<<<<<<<< "" ) ) ^2"槡*>6;!& 槡);<= !#& 槡*>6;!4槡);<= !2" ?d2trR)*Fuv3 3 槡( 4) ( 槡) ;<= !4 槡* >6;! ) 2" ) ) 3 槡( 4);<="!4"# 2" 3 & <<<<<<<<<<<<< ") ) 槡( wp?@= "3槡(& =;<="!4"# 34" >& 3xVyX& z>3 3(槡(& <<<<<<<<<<<< "% ) A@B " "* 78%)*2LMFVyX6 ! )*!3 3 !<<<<<<<<<<<<<< "$ ) ( A@B ) YZh% rR)*FYg6.4/2" 3&& ^{rR)*|}& N{_‘’~(cid:127)FrRFYg6.4/243&& {.4/243&& sQ .( /( 2 3"& * ) kl;).( 2%4.2(4( 4* 3&& #3&& 4;43C)& <<<<<<<<<<<<<<<<<<<<<<<<<< "& ) =434) >& rR.4/2" 3& {rR .4/243& Fuv(cid:128)y& z>& (cid:127)d(cid:129)A_‘j trR)*uvVyFd& <<<<<<<<<<<<<<<<<<<<<<<< "" ) d2trR)*Fuv3FVyX(cid:129)A|}R(cid:130)Fuv& !"!#$!%&’()*+",-#!.!!!!%/"0# /#" 4" 4)# 3 3 3(槡(& <<<<<<<<<<<<<<<<<<<<<<<< "( ) A@B 槡( {.4/2" 3&& sQ .( /( 2 3"& * ) kl;).( 2%.4% 3&& % % ?..34 & .2.34 & <<<<<<<<<<<<<<<<<<<<<< ") ) " ( ) " ( ) 78 )* 3槡" 20( .4. )* " ( 3槡(槡".2.#( 4%.. " ( " ( #槡( 3 & <<<<<<<<<<<<<<<<<<<<<<<<<<< "% ) ) " "* 78%)*2LMFVyX6 ! )*!3 3 !<<<<<<<<<<<<<< "$ ) ( A@B ) "#!’34(""#(cid:131)(cid:132)% 56(cid:133)L)*’+A(cid:134)(cid:135)& 78)*(’+& <<<<<<<<<<<<<<<<<<<<<<<<<<<<< " ) 56’+)|L2)*& )**|L2)*& 78’+(|L2)*& <<<<<<<<<<<<<<<<<<<<<<<<<< ( ) 56|L2)*+|L2’+35& ’+*|L2’+& 785(’+! <<<<<<<<<<<<<<<<<<<<<<<<<<<<<< % ) "(#(cid:131)(cid:132)% (cid:136)(cid:137)"& )ex)*& ’+Fpd6& ,& (cid:138)(cid:139)26& 6,& 2,! <<<<< $ ) 562)32*& 6A)*Fpd& 7826,)*& <<<<<<<<<<<<<<<<<<<<<<<<<<<<< * ) f56(cid:133)L)*’+A(cid:134)(cid:135)& 6& ,)eA)*& ’+Fpd& 786,,)*& <<<<<<<<<<<<<<<<<<<<<<<<<<<<< + ) 56)*(’+& 7826,’+& 6,,’+& <<<<<<<<<<<<<<< # ) 5626+6,36& 26& 6,*|L26,& ’+)|L26,& 78’+,|L26,& <<<<<<<<<<<<<<<< 0 ) 562,*|L26,& 78’+,2,& (cid:137)" 56,A’+Fpd& 782’32+!<<<<<<<<<<<<<<<<<<<<<<<<<<<<< "& ) ")#(cid:140)^(cid:141)(cid:142)(cid:143)2 )*’+(cid:144)i(cid:145)(cid:127)(cid:146)& ^d2t|L)*’+Fuv67& ?7-26& 263槡2)( 4)6( 3%& =26,|L)*’+>& 7xVyX& z>(cid:141)(cid:142)(cid:143)2 )*’+F(cid:147)MVy& <<<< "" ) !"!#$!%&’()*+",-#!.!!!!$/"0# /#YZ[% 5626,|L)*’+& 78|L2)*,|L)*’+& 56|L2)*+|L)*’+3)*& )+,)*& 78)+,|L2)*& @)+,2)! 782+( 3)+( 2)2( 3%"& " ?(cid:148)]" 3 !)*!263"(& %2)* ( " " 3" 3 !)+!)23"&& %2*’ %2)+ ( " ( " )( " 3 !槡2+( 4 ’+ !’+3"(槡(& %2’+ ( ( " 3)+!)*3(%! (cid:149)Y(cid:135))*’+ " 8 3 !26!" 3)(& <<<<<<<<<<<<<<<<<<< "( ) (cid:141)(cid:142)(cid:143)2)*’+ ) (cid:149)Y(cid:135))*’+ )8 0* 78(cid:145)(cid:127)(cid:146)(cid:150)(cid:151)93 (cid:141)(cid:142)(cid:143)2)*’+3 ! <<<<<<<<<<<<<<< ") ) " (cid:152)2)*’+ $* 2"(槡( ^(cid:145)(cid:127)(cid:146)(cid:146)(cid:153)61& 2,pd6-! 561t|L2)+{|L2*’uv~G& 78K(cid:154)(cid:155)(cid:156):]& d1i|L26,j& <<<<<<<<<<<<<<<<< "% ) f56d1t|L 2)*{|L )*’+uv~G& NhL(cid:157) 2 ! )* ’FyW6 & 78d1i6-j& <<<<<< "$ ) ( (cid:136)(cid:137)( 7(cid:158)& 566-3(槡(& 78(槡( 4槡(939& 4;93% 4(槡(& <<<<<<<< "* ) 56q(cid:159)9FX(cid:160)¡& 78(cid:160)(cid:144)i(cid:145)(cid:127)(cid:146)!<<<<<< "+ ) (cid:137)( YZh% 5626,|L)*’+& 26*|L2)*& 78|L2)*,|L)*’+& 566,,)*& |L2)*+|L)*’+3)*& 786,,|L2)*& 866¢*£d& )e86*& 6,& 627iFrR6 .⁄& /⁄& :⁄& ¥Q(cid:136)(cid:137)) 7(cid:158)Fƒ(cid:130)r(cid:157)¢*§! ?2"&& && %#& )" 4)& && &#& *")& && &#& ’")& %& &#& +" 4)& %& &#! <<<<<<<<<<<<<<<<<< "( ) |L2)*F[(cid:159)Z¤'6!3"&& "& &#& (cid:137)) " ’’& ’’& ?2’3")& %& 4%#& 2+3" 4)& %& 4%#& ^|L2’+FZ¤'6!3".& /& :#& ( !"!#$!%&’()*+",-#!.!!!!*/"0# /#’’& {!!2’3&& ( 56 ’’& !!2+3&& ( {).2%/4%:3&& 78 4).2%/4%:3&& {.3&& kl; /3:& 9!3"&& "& "#& ( ^(cid:145)(cid:127)(cid:146)(cid:146)(cid:153)1"$& %& (#& (cid:148)]& $& %& (9&! ¡“:«& |L)*’+Z¤'6!3"&& && "#& ) |L2)+Z¤'6!3"%& && 4)#& % |L2*’Z¤'6!3" 4%& && 4)#& <<<<<<<<<<<<<<<<< ") ) $ ’’& 263"$& %& (4%#& ’’& 26!! d1t|L2)*Fuv3 3 " 3%& " ! " ’’& 26!! %2(4% d1t|L2’+Fuv3 3 ( 3 & ( ! ( 槡( (cid:148)]d1t|L)*’+Fuv3 3(& ) ’’& 26!! %$4)(2"( d1t|L2)+Fuv3 3 % 3 & % ! $ % ’’& 26!! 4%$4)(2"( d1t|L2)’Fuv3 3 $ 3 & <<<<<<<<< "$ ) $ ! $ $ K3 33 & 4;$3&& % $ K3 33 & 4;%3(& " ) ) K$3&& 3 33 & 4;(3 & ) % ( ) ?$3&& %3(3 & <<<<<<<<<<<<<<<<<<<<<<<<<< "* ) ( 槡( ) 783 3 & 3 3 & 3 $3 & ‹›& ( ( " ( " ( 78fiflF(cid:145)(cid:127)(cid:146)(cid:160)(cid:144)i! <<<<<<<<<<<<<<<<<<<<<<< "+ ) )( 4(( $ "0!’34(""#2";3"# 3 3 ! <<<<<<<<<<<<<<<<<<<< " ) )( 0 (( 4" " 2";3(# 3 3 & <<<<<<<<<<<<<<<<<<<<<<<<<< ( ) )( ) $ " %% (cid:176)t–2" F†‡(cid:154)·(cid:181)¶F•‚A & (cid:176)t–2( F†‡(cid:154)·(cid:181)¶F•‚A ! 0 ) <<<<<<<<<<<<<<<<<<<<<<<<<<<<<<<<<< ) ) "% 402"#< "$ 40#< "(#"2";!0# 3 3 & 03"& (& )& %! <<<<<<<<<< $ ) %< %< !"!#$!%&’()*+",-#!.!!!!+/"0# /##56„”;30{„”;!02" »…& 782";!0# 32";!02"# 22".30#& "%402"#<4"%40#< @2";30# 32";!0# 42";!02"# 3 & 03"& (& )& %& < + ) %< "!"%<4)<# 2(!")<4(<# 2)!"(<4"<# 2%!""<4&<# 78‰(cid:190)¿';F(cid:192)`6";# 3 %< %<2)<2(<2" ( " )< ( " )< ( ) )< 3 3" 2 2 2 ! <<<<<<<<<<<<<<< 0 ) %< % ( % "#402"## 4"#40## ")#2";30# 32";!0# 42";!02"# 3 & 03"& (& +& #& ## <<<<<<<<<<<<<<<<<<<<<<<<<<<<<<<<<<< "& ) # ‰(cid:190)¿';F(cid:192)`6";# 3.0!2";30# 03" "!,## 4"#4"##- 2(!,"#4"## 4"#4(##- 2+2"#4"#!"(# 4"## 2#!"# 3 ## ## 2"#4"## 2+2(# 2" ( " )# ( ( )# (#4")# 3 3" 2 2 2+2 !<<<<<<<< "" ) ## # # # ^=".# 3.# 2"" 4.##& .""&& "#& =>".# 3#,.#4" 4"" 4.##4"-& <<<<<< "( ) =#3" >& 2";3"# 3"& 6";# 3" 8" 3"& G2PQ. <<<<<<<<<<<<<<<<<<<<<< ") ) =#3( >& ") 4"#( 4"( 4"#( ) " 2";3"# 3 3 & 2";3(# 3 & (( % % ) " $ 6";# 3" 8 2( 8 3 & G2PQ. <<<<<<<<<<<<<<<<<< "% ) % % % =#!) >& ( " ) ( " ) =." && >& =>".# :&. =." & " >& =>".# 9&& ( ( ( " ) ( 78=".# 3.# 2"" 4.##!= 3 & <<<<<<<<<<<<<<<<<< "$ ) ( (# ( " )# ( ( )# (#4()# (#4")# ^-3 2 2+2 2 & # # # # (#4")# (#4()# ( ( )# ( " )# 56-3 2 2+2 2 & # # # # ( #4" 78(-!"#4"#! & 78-! !<<<<<<<<<<<<<<<<<< "* ) (# (# #4" ´j7ˆ& 6";#!" 2 ! <<<<<<<<<<<<<<<<<<<<<< "+ ) (# !"!#$!%&’()*+",-#!.!!!!#/"0# /#4 5 m ^ "!’%&(, ’34(:3"" 2<#"" 4<# 3(& :3(! (!’%&(- ’34(56.( 4.4* :&& 784( :.:)! 56.A˜#& 78)3) 4"& && "& (*& ¯˘˙)0¨(% 3"* (cid:159)(cid:201)˘! )!’%&(. ( ’34(K1\]& 3(& @(3($& $ 56$( 2%( 3((& 78%3槡)$& % 78˚¸(cid:204)RF˝˛RYg6/3C .3C槡).! $ %!’%&(, ’34(ˇ$ —(cid:209)(cid:210)p(cid:211)x( —& 0¨,( 3"& (cid:212):(cid:213)& $ (cid:211)tF( —(cid:209)(cid:210)p#(cid:214)(cid:215)M6(cid:216)#& @[(cid:149)[(cid:216)& 0,"!," 3% (cid:212):(cid:213)& ( ( % ( 78(cid:211)tF( —(cid:209)(cid:210)p#(cid:214)(cid:215)M6(cid:216)#F•‚23 3 & "& $ ( ) ?(cid:211)tF( —(cid:209)(cid:210)p#(cid:214)(cid:215)M6(cid:217)(cid:216)#F•‚23" 4 3 ! $ $ $!’%&(. ’34(YZ[% " " 56" 3 1)!1*!;<=/)1*3 ;<=/)1*& %1)* ( ( ! 78=;<=/)1*3"& @/)1*3 >& %1)*FLMVy& ( z>%1)*AG(cid:218)r(cid:157)"(cid:157)(cid:135)& 槡( d1trR5Fuv6 ! ( YZh% ^d1trR5Fuv63& " ?)*3( 槡" 43(& " 3 !)*!33槡3( 43%& %1)* ( 565{‘1~(cid:219)& N5(cid:160)(cid:220)(cid:221)d1& 78& :3:"& " 78=3( 3 >& 3( 43% xVyX& @" xVyX& ( %1)* 槡( z>33 & ( !"!#$!%&34",-#!.!!!!"/"0$ /#槡( @d1trR5Fuv6 ! ( YZ"% ^d1trR5Fuv63& )".& /#& *".& /#! " " ( ( < ?33 & 槡( {/3.2<& sQ .( 2/( 3"& kl& ;(.( 2(<.2<( 4" 3&& <( 4" ?..3 & .2.34<& #3# 4%<( 9&04槡( :<:槡(& " ( ( " ( 56 )* 3槡" 20! .4. 3槡(!槡( 4<(& " ( " " < " 78" 3 !)*!33 !槡(!槡( 4<(! 3 槡(<( 4<%& %1)* ( ( 槡( ( =<( 3" >& (<( 4<% xVyX& @" xVyX& %1)* < 槡( z>33 3 ! 槡( ( *!’%&(, {!9( 30!& {93)& " " ’34((cid:222)1\& (cid:223)‘(cid:224)Fj$ Æ(cid:133)L(cid:150)(cid:151))e69& 9& ? 4; " ( !9( 3)*!& 93*& ( ( ^‘(cid:224)F(cid:226)RT65& ?!"929#53%$!& 4;53$& " ( 78‘(cid:224)F!73槡$( 4"* 4)#( 3%& " 78‘(cid:224)F(cid:147)M83 8% 8"0!2)*!2槡0!8)*!# 3#%!! ) +!’%&(/ "1(.4"#>6;. ’34(56=".# 3 3"1.414.#>6;.& N ="4.# 3"14.41.#>6;.34=".#& 1. 78=".#Aª(cid:228)#& (cid:229)(cid:230)(cid:231)C-. ! =&-.- >& =".#!&& (cid:229)(cid:230)(cid:231)C,. ( 56=>".# 3"1.214.#>6;.4"1.414.#;<= .& 78=> ( !) 3槡(14! % 9&& (cid:229)(cid:230)(cid:231)C.! % #!’%&(- ’34((cid:136)(cid:137)& x)*Fpd+& (cid:138)(cid:139)’+& 2+& 562)32*& *’3’)& 782+,)*& ’+,)*& 78/2+’(cid:129)A|L2)*{|L’)*FŁ(cid:157)& ^2)3.& ?2+3槡.( 4"& !"!#$!%&34",-#!.!!!!(/"0$ /#2+( 2’+( 42’( 槡) >6;/2+’3 3 & (2+!’+ ) 4;.3槡(& 782)( 22*( 3)*(& @2),2*& ¡“& 2*,2’& 2),2’& 78"(cid:142)(cid:143)2 )*’Ø(cid:139)(cid:146)Fr(cid:151)(?3槡2)( 22*( 22’( 3槡*& 78"(cid:142)(cid:143)2 )*’Ø(cid:139)(cid:146)F(cid:152)LM"3%!?( 3*!! 0!’%&(/,. ’34(56‰(cid:190)¿';D@"$& %(#& 782";-$4(# 32";!$2(#& 78 2";-$4 (# 22";-$2(# 32";!$2(# 22";-$2(# 3"& ¯/(cid:149)Œ. $36";#& ¯-º(cid:236). ‰(cid:190)¿';F)(cid:237)(cid:238)˘p& (cid:239)(cid:132)#(cid:240)Fæ(cid:242)(cid:238)W& Y(cid:243)(cid:238)W& (cid:244)%( 3+";#& ?%FX(cid:238) W& ¯,(cid:149)Œ. ı(cid:240))%£?& .(cid:149)Œ! "&!’%&(/-. ) " ’34(K1(cid:137):]& (cid:228)#=".#FVyX6)& @)3)& ="&# 3);<= "3 & E;<= "3 & ( ( ! ! ( !) F " : & E"3 & E=".# 3);<= &.2 ! ( * * ($! ) ($!) ( $! !) $! ! 56=".#F(cid:137)(cid:246)(cid:221)d & & & E= 3);<= &8 2 3&& E&8 2 3!2 "( "( "( * "( * (%0 (0!& 0""& 4;&3( 2 & 0""& $ & $! (! $! "( K1(cid:137):]& =".#FVW(cid:149)(cid:247)(cid:192)&łø 9 & @ 9 & 4;& :&: & E&3(& ( "( (& "( $ ( !) E=".# 3);<= (.2 & /(cid:149)Œ. * ( !) [ ( !) !] ( !) ! =4 3);<= ( 84 2 3);<= 4 34)& E=".#F(cid:137)(cid:246)œßrR .34 (cid:154)(cid:155)& ) ) * ( ) -(cid:149)Œ. ! (cid:228)#=".#F(cid:137)(cid:246)¤a|(cid:252) (cid:159)(cid:253)(cid:254)TU(cid:255)& ;t!(cid:228)# ) ( !) [ ( !) !] ( $!) /3=.2 3);<= ( .2 2 3);<= (.2 $)>6;(.& ,º(cid:236). ) ) * * YZ[% ( !) ) ( !) " =);<= (.2 3 >& @;<= (.2 3 & * ( * ( ! ! ! $! E(.2 3 2(0!& m(.2 3 2(0!"0""#& * * * * ! @.30!m.3 20!"0""#& ) !"!#$!%&34",-#!.!!!!)/"0$ /#) ! ! ! E=".# 3 F* (cid:159)ı)e6!& (!& )!{ & 2!& 2(!& ( ) ) ) * (cid:159)ıF"6"&!& .(cid:149)Œ! YZh% ( !) ! ! K1\]& =".# 3);<= (.2 & (cid:154)(cid:155)⁄Yg6.34 2 !0"0""#& * ) ( ) Yg=".# 3 i"&& <#jF* (cid:159)##ıAœß(cid:154)(cid:155)⁄(cid:154)(cid:155)F& ^fi* (cid:159)ıˇWty(cid:222)$ ( 6.& .& .& .& .& .& " ( ) % $ * ( !) ) F="&# 3= 3 & ) ( ! ! ! (! E.3 & .[%(cid:154)(cid:155)⁄6rR.34 2 8( 3 & " ) ) ( ) ( ! ! ) ( ! ! ) ( ! ! ) E.2.3(8 4 2 8( & .2.3(8 4 2 8% & .2.3(8 4 2 8* & " ( ) ( ) % ) ( $ * ) ( Efi* (cid:159)ıF"6"&!& .(cid:149)Œ! ""!’%&(/,. ’34(^)".& /#& *".& /#& rR)*FYg6.34/2"& " " ( ( {.34/2"& ? )* 3.2.2( 34"/2/# 2%& sQ " ( " ( /( 3%.& ?/( 4%4/4% 3&& /2/3%4& //34%& " ( " ( /( /( 78..3 "! ( 3"& " ( % % 78 )* 34"/2/# 2% 3%4( 2%& =43& >& )*¨VWX& VWX6%& ¯/(cid:149)Œ. " ( A = ), 3% >& .3 ), 4 3)& " ( .. " 78.3" ( 3 & ¯-º(cid:236). ( . ) " 56’" 4"& /#& +" 4"& /#& " ( ( /2/) 78- 4"& " ( & ( ’+( 3"/4/#( 3"/2/#( 4%//3"*4( 2"*& " ( " ( " ( (/2/)( -,( 3% 2 " ( 3%4( 2%& ( 78( -, 3 ’+& ¯,(cid:149)Œ. K( -, 3 ’+]& -, 3 ’- 3 +- & ! ! 78%)’-1%),-& %*+-1%*,-& ?/)-*3 & /),-3 & ( ( 78-,,)*& " 560 34 & -, ( !"!#$!%&34",-#!.!!!!%/"0$ /#780 3(& ¯.(cid:149)Œ! )* "(!’%&(")$ ’34( ( ).2 " )* &’JFIC6& 3,9!").#*49! ( " )9 3,9!)*49!.*4) (9& 槡. 92" * 槡. * ) 9* 4 93&& 4;93%& ( ¯hC&’JF(#C6&3,% 8)*4%!.*4) ( 8% 3,% 8)( 3")$! $ * * " ")!’%&( ( 0"$ 2$ # " 0 $ 2$ $ 2$ ( " " ’34(KG(cid:243)#HF(cid:156)):]& ( # 3 " 0 3 3 0 3 ! %2% %2% 0"%2%# & ( % * " 0 " 0 0 ( [ ( ) "%!’%&( & 2! 1 1$.4(5= . ’34(56 !.4$& . 781$.2$.!.( 2(5= .& @15=.( 25= .(-1$.2$.& 9B".# 31.2.& (cid:148)]B".#(cid:253)*+,! 5615=.( 25= .(-1$.2$.& 78B"5= .(#-B"$.#& 5= . $ ?5= .(-$.& @ - & . ( 5= . " 45= . ^7".# 3 & ?7>".# 3 & . .( =.91>& 7>".# :&& 7".#(cid:253)*+-& 5= 1 " =& :.:1>& 7>".# 9&& 7".#(cid:253)*+,& 787".# 3 3 & A@B 1 1 $ " [ ( ) 78 ! & ?$FxX./6 & 2! ! ( 1 1 !"!#$!%&34",-#!.!!!!$/"0$ /#