当前位置:首页>文档>化学(1)_2023年10月_0210月合集_2024届广西北海市高三第一次模拟考试_2024届广西北海市高三第一次模拟考试化学

化学(1)_2023年10月_0210月合集_2024届广西北海市高三第一次模拟考试_2024届广西北海市高三第一次模拟考试化学

  • 2026-03-20 16:18:41 2026-02-12 15:56:17

文档预览

化学(1)_2023年10月_0210月合集_2024届广西北海市高三第一次模拟考试_2024届广西北海市高三第一次模拟考试化学
化学(1)_2023年10月_0210月合集_2024届广西北海市高三第一次模拟考试_2024届广西北海市高三第一次模拟考试化学
化学(1)_2023年10月_0210月合集_2024届广西北海市高三第一次模拟考试_2024届广西北海市高三第一次模拟考试化学
化学(1)_2023年10月_0210月合集_2024届广西北海市高三第一次模拟考试_2024届广西北海市高三第一次模拟考试化学
化学(1)_2023年10月_0210月合集_2024届广西北海市高三第一次模拟考试_2024届广西北海市高三第一次模拟考试化学
化学(1)_2023年10月_0210月合集_2024届广西北海市高三第一次模拟考试_2024届广西北海市高三第一次模拟考试化学
化学(1)_2023年10月_0210月合集_2024届广西北海市高三第一次模拟考试_2024届广西北海市高三第一次模拟考试化学
化学(1)_2023年10月_0210月合集_2024届广西北海市高三第一次模拟考试_2024届广西北海市高三第一次模拟考试化学
化学(1)_2023年10月_0210月合集_2024届广西北海市高三第一次模拟考试_2024届广西北海市高三第一次模拟考试化学
化学(1)_2023年10月_0210月合集_2024届广西北海市高三第一次模拟考试_2024届广西北海市高三第一次模拟考试化学

文档信息

文档格式
pdf
文档大小
0.798 MB
文档页数
6 页
上传时间
2026-02-12 15:56:17

文档内容

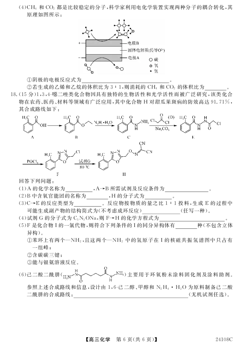
#%#$$%&’()!*+,-./ #!!$ !"#$!%%$!%&’(()$)" %&’(! !**+,!-./0123#4%56789&":*+;?@AB9*+;< 1CDEF" #*GH+6IJ9*+;?@5$ !*;<=>?&@ABC5D’EFGHIJ4K 5*LM&NOP4QRSTUVWX;YZ ,*[\]^YS(T8;YZ ’*?_‘a1bcXd4ef(g1hijkd4lmno 6*pqrst1uvw4QRxyKz{| #*74".- #)74"’.#*"}~(cid:127)(cid:128)(cid:129)#K*(cid:130)(cid:129)(cid:131)4(cid:132)(cid:133)(cid:134)y’EF(cid:135)D(cid:136)Z94(cid:137)(cid:138)(cid:139)(cid:140)4K $ " 5*u(cid:141)_%."’"- ,*(cid:127)(cid:128)(cid:129)d(cid:128)(cid:142)(cid:143)(cid:135)(cid:144)(cid:130);Y(cid:145) ’*.-8 d-+.+-4(cid:146)(cid:147)(cid:148).- d4-+.+-4(cid:146)(cid:147)(cid:149) $ + 6*(cid:127)(cid:128)(cid:129)d4(cid:150)(cid:151)K’.9((cid:136)(cid:150)(cid:151)d!(cid:146)="(cid:146)4(cid:152)(cid:153)(cid:154)(cid:148)K#:! +*! V(cid:155)(cid:156)(cid:157)(cid:158)(cid:159)(cid:160)(cid:152)4¡’EF(cid:137)(cid:138)IJ4K 5 5*¢£⁄¥E()*";’-’< dƒ(cid:135)4§78(cid:152)V%*()! + 5 ,*#;%*)=><,;9!.0?/ ¤'d4?/+9 (cid:152)(cid:153)V! + $ $ 5 ’*@%A“«‹"’- / #dƒ(cid:135)›fi_(cid:146)(cid:152)V#*)! " !# " 5 6*"*&A-/ =fl:4{_B23/ ¤'(cid:176)–(†‡u84(cid:152)(cid:153)V%*&! # # $ 5 $*EFfl·d4;<(cid:176)–(5–4(cid:181)8¶·•IJ4K 5*74#8‚„_jkd”p»…;%$74#88/ 8#-/8&/-9##$74"/-#$ # # + ,*‰…;(cid:128)(cid:157)(cid:190)‰¿{¤'d%74"/-#8+-8##74+88+-/ + # u` ’*2(cid:128)(cid:192)tfiu`§;´¤'%2A#88#’<98#-/###2A"/-#$8- %8’<% # # # # 6*W{ˆ(cid:157)(cid:190)˜{¤'d%’0’/ 8#-8##’0#88-/8’/ % + # # )*¯(cid:135)(cid:133)Z˘˙¨(cid:201)˚¸(EF(cid:135)D(cid:136)(cid:135)(cid:133)Z4(cid:137)(cid:138)(cid:139)(cid:140)4K 5*T8d˚(cid:135)W7801#(cid:204)˝ ,*T8dW784˛;¶•(cid:135)(cid:144)(cid:130) ’*!=><(cid:136)(cid:135)(cid:133)Z‚*ˇ—(cid:209)E=‰…;(cid:210)(cid:211)>(cid:176)–((cid:212)(cid:213)(cid:214)(cid:215) $=><.0/- 6*(cid:136)(cid:135)(cid:133)Z1(cid:216)(cid:217){_B23/ ¤'(cid:218)(cid:131) $ !!"#$!!!!!!!""#""#$ #$!%&’ {#{QQABBYaAogiIABAAAQhCEwFSCEIQkAEACKoGgFAMoAABgRNABAA=}#} 书书书"*EF(cid:219)(cid:220)(cid:221)(cid:222)(cid:223)(cid:224)Æ&˘(cid:226)Yª4K (cid:228)(cid:229) (cid:219)(cid:220)(cid:153)4 (cid:219)(cid:220)(cid:221)(cid:222)(cid:223)(cid:224)Æ ˘(cid:226) (cid:230)(cid:231)74#8 KŁØ º*ˇ(cid:236)(cid:237)474’< ¤'d(cid:238)(cid:157)(cid:239):{_((cid:240){æ 5 # 74#8Ø(cid:135)Œ7_ (cid:135)Œ7_ ¤'(((cid:240){æ¤'(cid:242)(cid:243)(cid:131)(cid:218)c (cid:244)(cid:220)1/ »(cid:151)d (cid:246)»(cid:151)(cid:247)+łfløœ.0-’/ ¤'œß(cid:252)(cid:253)(cid:254)X( , # + 1/ »(cid:151)dı(cid:135)’/ KŁı(cid:135)’/ ß(cid:252)(cid:253)(cid:254)X(cid:255)!" # # # (cid:144))/*dT+,5$-(cid:237)&5$(cid:236)(cid:237)&5$(cid:151). (cid:230)(cid:231)#$%;& 4-/ ¤'(T+(cid:238)(cid:157)5$Z94:(cid:236)(cid:237)&5$(cid:151) 74’< 6 -/ T` ’ # # + # # 4%;’( .474’< ¤'=’C’< ¤'((cid:238)(cid:157)74’< ¤'4 4%;’(0( + # + /*d/>»(cid:151)01 (cid:230)(cid:231) -5 KŁK 6 3¯-(cid:237)E*ˇ(cid:236)(cid:237).05¤'4D-(D-"( -5K2u`9 2u`9 (*B23/ K*(cid:130)(cid:160)24…;&(¯(cid:219)(cid:220)4562’< …;B 23/ 78B23/ 49:¨(cid:201) $ # # $ $ ˚¸";<9:=#’ !!! !!! !!! 5!!! ,!!! ’!!!!! 6!!! >?%B 23/ ‚(cid:236)@„¤'d0AˇB‚(„_C2DE(cid:211)>(cid:176)–%+23/#98#-/## # $ $ # #23/9823/ $8$/-9’ $ # EF(cid:137)(cid:138)(cid:139)(cid:140)4K 5*/&E0FKGPHI 23/ # ,*9:JKLMKF&0&G&4&H&I ’*9:’dN>S!=>< $ # 6*OcP9:5(QRSB23/ /(TU $ &*E&J&K&LV78M(cid:152)(cid:247)+V(cid:149)4WXYQZ(cid:142)(cid:143)(E&J&K[^$XY\5](E= L $ Z(L4^_u8‘(cid:152)a^EœK4^_u8‘(cid:152)(cid:154)œ’EF(cid:137)(cid:138)IJ4K 5*(cid:142)(cid:143)4!*u(cid:181)1%K"J"E"L ,*bc‰;Z4Aˇ_%K"J"E"L ’*!=>?%#¡¤'d((cid:159)QRF )K3"-/#*#84d•B‚(wB‚u(cid:181)(cid:204)¢)K3"-/#*#8’()K3"-/#"/-#*88-8’ # " # " # ) EF(cid:137)(cid:138)(cid:139)(cid:140)4K 5*(cid:160)uD(#¡¤'d)K3"-/#"/-#*8(cid:236)(cid:237)V(cid:149) # ) ,*(cid:160)uD($¡d4’<9łfl£(cid:181)8⁄¥ƒ§(cid:190)#¡ ’*(cid:151)uD(K3ufi4ufi(cid:176)–V)K3"-/#*#88#49##K38"-/ # " # 6*(cid:151)uD(N>S%*#=><9! # ) # # # (cid:176)–$%’-/-"A#’(’- "A#8’/"A#8- "A#!&"N8$@*(OP,=><9! # ) $ # (cid:176)–%%’/ "A#8- "A#’(’/"A#8-/"A#!&"N8$!*$OP,=><9! # # # F-/œ’-/-V7y»(łfl9(cid:135)%;&4(cid:176)–«((cid:176)–5$Dq(˜v†;(œ # # ) ’- &’/&’/ (cid:228)‹_(cid:131)-(cid:237)(cid:255);4(cid:128)(cid:129)¨(cid:201)˚¸’EF(cid:137)(cid:138)(cid:139)(cid:140)4K $ # 5*º˜vX¤»(cid:127)'(cid:176)–(cid:151)›dł(cid:190)fi:/ (0FV(cid:127)'(cid:176)–fl(cid:176)x: # ,*k–—(cid:209)#(cid:255)(†(-(cid:237)1(cid:216)˜v4(cid:204)¢†;(V(cid:149) ’*V(cid:157)7y»dX4(cid:148)‡(0FV(cid:149)’/4(cid:228)‹_ 6*+%%’$)%QD((cid:131)-(cid:237)†((- 4/(V(cid:149) # !!"#$!!!!!!+""#""#$ #$!%&’ {#{QQABBYaAogiIABAAAQhCEwFSCEIQkAEACKoGgFAMoAABgRNABAA=}#}!$*·(cid:181){K¶•d(cid:212)(cid:160)‚4„”{_Z9(kT8˘˙b•V ’-’//- # ** -/))’))’//-"2-R»¸#’(cid:160)-E(2%*!%%%=><,;9! + ** ’-’//- # .0/-¤'(cid:238)ˇ#%*%%=;%*!%%%=><,;9!-R¤'4(cid:238) + ˇ(cid:128)(cid:129)¨(cid:201)˚¸’>?(cid:160)-E·(cid:181){4u(cid:181)(cid:160)(cid:152)V%# N $! !*%S!%9+*!(# N!*%S!%9$*&(# N!*%S!%9"*$’EFG $# $+ HIJ4K !!5*0…¤'d(%".08#N%"-R9#8#%"-R#9#8+%"R+9# # ,*G…¤'d(%".08#"%"-R#9#"%"-R9#"%"R+9# # %"-R9# ’*(cid:160)-E.0-R¤'(cid:157)X(cid:217)“fl·d( # C4 # %"-R#9# 6*(cid:160)-ER+94X`(cid:160)(cid:152)V!*%S!%9@*# A"B*+,!-,."/,#.%&1$ !)*"!$T#(cid:154)§;‰"TU’<#K7(cid:190)¿„(cid:142)(cid:143)xy+++‰Y(cid:192)4(cid:127)R7y’(cid:219)(cid:220)¡FTU/ œ $ # ’’< V7y7(cid:190)'`TU’< 49:¨(cid:201)˚¸"(cid:138)T;<9:´=#’ $ $ ((cid:176)–7ª%TU/ "V#8’’<"A###TU’<"A#8’/ "A#’ # $ $ # )(cid:176)–—(cid:209)%(cid:132)X&(cid:132)…((cid:157)x’ >?%(cid:135)DZ94_9¨E»% Z9 ˆ…-Q ˜…-Q k– ’’< 9#+ (" =TU’< ¯¤ $ $ TU’< 9#) !+" ˘˙¨p»/>P(cid:201)(‚))%QD1”…»…; $ ˚¸EF(cid:204)˝% "!#˚9(cid:217)˛{4ˇ«—~V!!!!!’9:’(cid:209)2xX(cid:210)4(cid:153)4K!!!!!!!’ "##O(cid:211)(cid:135)9:7((cid:146)9:Wd/>P(cid:201)47(cid:147)K!!!!!!!!!!!!!!!’ "+#(cid:219)(cid:220)(cid:212)(cid:213)D((cid:214)(cid:215)(cid:238)(cid:190)(cid:217)˛{(1(cid:216)(cid:217)’/ >(cid:218)(cid:219)9:d4p»4(cid:219)(cid:220)(cid:224)ÆK!!!! # !!!!!!!!!!!’ "$#(cid:220)W(cid:209)/ZdT(cid:181)(cid:221)TU’< 4(cid:219)(cid:220)¶(cid:138)K!!!!!!’ $ ")#(cid:222)(cid:223)»dfl(cid:176)4(cid:152)(cid:223)(T(cid:224)’’<&TU’< 4ˆ…UÆU47(cid:147)K!!!!!!!!!!’ $ $ ""#TU’< Œ0(cid:226)TU/ &ª‘œ§»‚(cid:157)x—(cid:209)E7(cid:140)(>S(cid:151).(cid:148)V#:!4’/œ’/ ı $ # # Y»(cid:151)((cid:176)–d…;&=Œ7&4Z94:(cid:154)(cid:148)V$:+((cid:176)–4;<¶·•V!!!! !!!!!!!!!!!!!!!!!!!!!!!!!’ !"*"!$T#˛{(cid:228)(cid:127))".- #’4"1/ #*(cid:229)¤^X(#¤^˜v(¤^(cid:132)(cid:133){(02(cid:192)T(cid:224)/&& $ # $ + …;&’¯(cid:142)(cid:230)2W{(cid:228))’4"’/ #*(cid:231)(cid:253)78˛{(cid:228)(cid:127)4(cid:142)ŁØ·¨E% # + + !!"#$!!!!!!$""#""#$ #$!%&’ {#{QQABBYaAogiIABAAAQhCEwFSCEIQkAEACKoGgFAMoAABgRNABAA=}#}>?%(# )’4"/-#*N#S!%9$&’ VD $ )˛{(cid:228)(cid:127)4ˆ…V!+%Q(˜…V++%Q’ ˚¸EF(cid:204)˝% "!#".- #’4"1/ #d(cid:228)(cid:142)(cid:143)4;Y(cid:145)V!!!!’ $ # $ + "##Œº*d((cid:236)(cid:246)’4"’/ #(cid:231)(cid:253)H(cid:237)((cid:153)4K!!!!!!!!!!!!!!!!’ # + + "+#Œº(cid:139)d((cid:176)–-(cid:237)(cid:238)R(cid:239)7‚%’+%Q(7(cid:147)K!!!!!!!!!!!!!!!’ (cid:176)–(cid:240)(cid:137)æ(R(cid:246)ıYZ†-(cid:242)@%Q((cid:153)4K!!!!!!!!!!!!!!!! !’ "$#Œº(cid:139)d(’4"1/ #=-/ &.- ,-/(cid:176)–>S’4"/-#4;<¶·•V # $ + # # + # $ !!!!!!!!!!!!!!!!!!!!!!!!!!!’ ")#Œº)(cid:176)–(cid:240)(cid:137)æ4¤'(cid:243)!!!!&!!!!&fl(cid:244)((cid:140)3(cid:132)(cid:151)’(cid:212)æ2!!!!ı[ #’++æ((cid:140)3((cid:246)˛{(cid:228)(cid:127)(cid:132)(cid:151)’ ""#O(cid:212)(cid:247)~(cid:190)*ˇ:4W{(cid:228)(cid:231)(cid:253)(kdƒ’4"’/ #$*"%OA((cid:243)(cid:136)(cid:142)ŁØ·(cid:212)łø(cid:140) # + + )*"#OA".- #’4"1/ #(cid:132)(cid:151)((cid:146)".- #’4"1/ #4/(V!!!!!"œß)[(cid:135) $ # $ + $ # $ + ’(cid:152)(cid:252)#’ !(*"!)T#’- 9’/ %;(cid:127)'6-¡»(cid:151)4C(cid:218)Ø(cid:135)(cid:127)R(cid:253)(cid:254)(k(cid:176)–V%’- "A#8’/ "A# $ # $ # ’(#’/"A#8#- "A#!&"’˚¸EF(cid:204)˝% # "!#>?5DZ94(cid:255)!x"#)Q&!%!O?0#% Z9 ’- $ "A# ’/"A# - # "A# (cid:255)!x&"-"OP,=><9!# 9&@%*+ 9#&+*% 9#&)*& (cid:146)’- 9’/ %;(cid:127)'(cid:176)–4&"N!!!!!!!OP,=><9!’ $ # "##(cid:246)7y"(cid:247)(cid:213)5S&"’- #:&"’/ #N!:!(cid:151)(cid:190)B#$«d(œ<(cid:151)›%@V!%%O?0 $ # (cid:211)>(cid:176)–’(cid:149)3(cid:204)¢D(’/ (cid:151).T(cid:152)=-(cid:237)4D›¨(cid:201)˚¸’ # (’Q&!%%O?0E(&"(cid:204)¢D»(cid:151)#:&"(cid:247)(cid:213)»(cid:151)#N!!!!!’(cid:136)-(cid:237)E((cid:153)(cid:176)–4 ! (cid:204)¢(cid:160)(cid:152)# N!!!!!"O?0##"FT%»¸(T%N‘%@S»(cid:151)ST4Z94: D T(cid:152)’œß![4(cid:152)#’ )O5&,&’)…»¸#$-(cid:237)œ%@E(cid:149)3(cid:204)¢D’/ 4(cid:151).T(cid:152)((cid:146)!!!…6– # 4(cid:204)¢(cid:160)(cid:152)(cid:212)4(ª(cid:226)K!!!!!!!!!!!!!!!!!!!!!!!!!’ "+#k–—(cid:209)5$(‚#$%;&"5&,#(cid:192)2E((cid:176)–’- "A#8’/"A#’(#’/"A#8#- "A# $ # # §&5$Dqæ(’/4/((cid:131)(cid:176)–-(cid:237)4(cid:255);¨(cid:201)˚¸’ (‚%;&5&,(cid:192)2E(’(I&)(cid:176)–?;1*¡T+2("5#&(",#»¸((cid:146)("5# !!(",#"+."/.+/I.N/(E$#’ )X…6–4) )!!Y…6–4) I ’ !!"#$!!!!!!)""#""#$ #$!%&’ {#{QQABBYaAogiIABAAAQhCEwFSCEIQkAEACKoGgFAMoAABgRNABAA=}#}"$#’- œ’/ ,K(cid:148)ÆAˇ4T8(@<-62u;<9:(cid:219)(cid:224)(cid:144)(cid:130)T84.Y†;(k $ # 7ª¨(cid:201)˚¸% (£fi4ufi(cid:176)–•V!!!!!!!!!!!!!!!!’ )O>S4˜/œ˜04(cid:151).(cid:148)V+:!((cid:146)(cid:214)(cid:215)4’- œ’/ 4(cid:151).(cid:148)V!!!!’ $ # !&*"!)T#!(+($Z1(cid:139)23;YZ(cid:147)Ø(cid:135)454>Z?_œo?@n4A’((cid:149)@!*(![( kYSB(cid:129)¨E% ˚¸EF(cid:204)˝% "!#54;<—~V!!!!!(5&,˚(cid:238)/&(cid:223)(cid:176)–—(cid:209)V!!!!!!!!’ "##,dƒ…C1D4—~V!!!!(-4T8•V!!!!!’ "+#’&W4(cid:176)–3EV!!!!!’(cid:176)–Z"Z94:(cid:154)(cid:148)!:!Fy(>SW4fl·d 01>SG/Z4˘˙b•V"#.mSj(cid:176)–#!!!!!!!"HI*(cid:130)#’ "$#/&\4T8•V’./.0((cid:146)7&-4;<¶·•V!!!!!!!!!!!!’ + + ")#7K;YZ]4*§JZ((cid:146)KYEF—(cid:209)4]4$Te˙(cid:151)(cid:135)!!!!(cid:130)"#Lƒn(cid:151) e˙#’ (qjr(cid:135)(cid:144)(cid:133)+.- (\M(cid:144)(cid:133)+.- d4‰78‚]4^N#O‰P(cid:201)dQR(cid:135) # # *5S0 )ƒWW)(cid:146)0 *1=TU¤'(cid:176)–’ ""#V(cid:139){(cid:139)WX" #QR2^j…HYZy(cid:130);&(cid:223)Zy[&’ \prHYSB(cid:129)œ]^((cid:221)(cid:222)(cid:226)!("ZV(cid:139)v&_vœ. - ,-/V7y78V(cid:139){ # $ # (cid:139)WX4YSB(cid:129)%!!!!!!!!!!!!!!!!!!!!!"(cid:132)(cid:133)/&H(cid:228)#’ !!"#$!!!!!!"""#""#$ #$!%&’ {#{QQABBYaAogiIABAAAQhCEwFSCEIQkAEACKoGgFAMoAABgRNABAA=}#}