当前位置:首页>文档>高三化学答案(1)_2023年10月_0210月合集_2024届辽宁省大连市滨城高中联盟高三上学期10月期中考试_辽宁省大连市滨城高中联盟2024届高三上学期10月期中考试化学

高三化学答案(1)_2023年10月_0210月合集_2024届辽宁省大连市滨城高中联盟高三上学期10月期中考试_辽宁省大连市滨城高中联盟2024届高三上学期10月期中考试化学

  • 2026-04-01 11:15:25 2026-02-13 19:29:04

文档预览

高三化学答案(1)_2023年10月_0210月合集_2024届辽宁省大连市滨城高中联盟高三上学期10月期中考试_辽宁省大连市滨城高中联盟2024届高三上学期10月期中考试化学
高三化学答案(1)_2023年10月_0210月合集_2024届辽宁省大连市滨城高中联盟高三上学期10月期中考试_辽宁省大连市滨城高中联盟2024届高三上学期10月期中考试化学
高三化学答案(1)_2023年10月_0210月合集_2024届辽宁省大连市滨城高中联盟高三上学期10月期中考试_辽宁省大连市滨城高中联盟2024届高三上学期10月期中考试化学
高三化学答案(1)_2023年10月_0210月合集_2024届辽宁省大连市滨城高中联盟高三上学期10月期中考试_辽宁省大连市滨城高中联盟2024届高三上学期10月期中考试化学

文档信息

文档格式
pdf
文档大小
0.176 MB
文档页数
2 页
上传时间
2026-02-13 19:29:04

文档内容

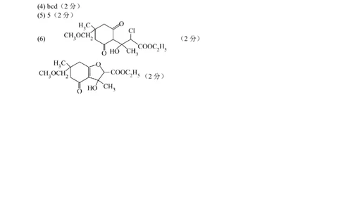
滨城高中联盟 2023-2024 学年度上学期高三期中 Ⅰ 考试 化学试卷(答案) 一、选择题(本大题共15小题,每小题3分,共45分。在每小题给出的四个选项中, 只有一项是符合题目要求的。) 1 2 3 4 5 6 7 8 9 10 11 12 13 14 15 C A D A B D A D C B C D A C B 二、非选择题(本题共4小题,共55分。) 16.(13分) (1)①N、O(2分) Ba(NO ) (1分) 3 2 ②第六周期第 IIA 族 (2分) (2)16NH +12NO+6NO =17N +24H O(2分) 3 2 2 2 (3)2NO +4SO2-=N +4SO2-(2分) 2 3 2 4 (4) ①取少量废水于试管中,向其中加入浓NaOH溶液,加热,用湿润的红色石蕊试纸接 近试管口,若试纸变蓝,则含有NH + ,若不变蓝,则不含有NH + 。(2分) 4 4 ②45(2分) 17.(14分,每空2分) (1) 1200℃ (2)Cu S+O 2Cu+SO 2 2 2 (3)温度高于40℃时,H O 分解,浓度减小,反应速率减慢 2 2 (4)2Cu2++4I-=2CuI↓+I 2 (5)洗去残余水分且可快速晾干 5191Va103 (6) ×100% 偏高 2m 18.(14分) (1) 恒压滴液漏斗 (1分) 2MnO+16H++10Cl-=2Mn2++5Cl ↑+8H O(2分) 4 2 2 (2)检查装置气密性(2分) (3) ①增大反应物接触面积,使Cl 充分反应(2分) 2 ②降低 (1分) 反应放热,导致NaClO含量降低,进而使消洗灵产率降低 (2分) 高三化学试卷第 1 {#{QQABLYIUogCAQgBAAAgCEwUwCgGQkAGAAIoGQBAIIAAAwAFABAA=}#}③蒸发浓缩、冷却结晶、过滤洗涤、低温干燥(2分) (4)65.7%(2分) 19.(14分) (1) 羟基(1分) 醚键(1分) (2)CH 3 COOH+CH 3 CH 2 OH 浓  硫 Δ  酸 CH 3 COOCH 2 CH 3 +H 2 O(2分) (3) (2分) (4)bcd(2分) (5)5(2分) (6) (2分) (2分) 高三化学试卷第 2 {#{QQABLYIUogCAQgBAAAgCEwUwCgGQkAGAAIoGQBAIIAAAwAFABAA=}#}