当前位置:首页>文档>专题23三角函数(基础测评卷)-高一数学单元复习(人教A版2019必修第一册)_E015高中全科试卷_数学试题_必修1_01.单元测试_单元测试(第一套)

专题23三角函数(基础测评卷)-高一数学单元复习(人教A版2019必修第一册)_E015高中全科试卷_数学试题_必修1_01.单元测试_单元测试(第一套)

  • 2026-03-28 17:42:48 2026-02-15 11:31:52

文档预览

专题23三角函数(基础测评卷)-高一数学单元复习(人教A版2019必修第一册)_E015高中全科试卷_数学试题_必修1_01.单元测试_单元测试(第一套)
专题23三角函数(基础测评卷)-高一数学单元复习(人教A版2019必修第一册)_E015高中全科试卷_数学试题_必修1_01.单元测试_单元测试(第一套)
专题23三角函数(基础测评卷)-高一数学单元复习(人教A版2019必修第一册)_E015高中全科试卷_数学试题_必修1_01.单元测试_单元测试(第一套)
专题23三角函数(基础测评卷)-高一数学单元复习(人教A版2019必修第一册)_E015高中全科试卷_数学试题_必修1_01.单元测试_单元测试(第一套)
专题23三角函数(基础测评卷)-高一数学单元复习(人教A版2019必修第一册)_E015高中全科试卷_数学试题_必修1_01.单元测试_单元测试(第一套)
专题23三角函数(基础测评卷)-高一数学单元复习(人教A版2019必修第一册)_E015高中全科试卷_数学试题_必修1_01.单元测试_单元测试(第一套)
专题23三角函数(基础测评卷)-高一数学单元复习(人教A版2019必修第一册)_E015高中全科试卷_数学试题_必修1_01.单元测试_单元测试(第一套)
专题23三角函数(基础测评卷)-高一数学单元复习(人教A版2019必修第一册)_E015高中全科试卷_数学试题_必修1_01.单元测试_单元测试(第一套)
专题23三角函数(基础测评卷)-高一数学单元复习(人教A版2019必修第一册)_E015高中全科试卷_数学试题_必修1_01.单元测试_单元测试(第一套)
专题23三角函数(基础测评卷)-高一数学单元复习(人教A版2019必修第一册)_E015高中全科试卷_数学试题_必修1_01.单元测试_单元测试(第一套)
专题23三角函数(基础测评卷)-高一数学单元复习(人教A版2019必修第一册)_E015高中全科试卷_数学试题_必修1_01.单元测试_单元测试(第一套)
专题23三角函数(基础测评卷)-高一数学单元复习(人教A版2019必修第一册)_E015高中全科试卷_数学试题_必修1_01.单元测试_单元测试(第一套)
专题23三角函数(基础测评卷)-高一数学单元复习(人教A版2019必修第一册)_E015高中全科试卷_数学试题_必修1_01.单元测试_单元测试(第一套)
专题23三角函数(基础测评卷)-高一数学单元复习(人教A版2019必修第一册)_E015高中全科试卷_数学试题_必修1_01.单元测试_单元测试(第一套)
专题23三角函数(基础测评卷)-高一数学单元复习(人教A版2019必修第一册)_E015高中全科试卷_数学试题_必修1_01.单元测试_单元测试(第一套)
专题23三角函数(基础测评卷)-高一数学单元复习(人教A版2019必修第一册)_E015高中全科试卷_数学试题_必修1_01.单元测试_单元测试(第一套)
专题23三角函数(基础测评卷)-高一数学单元复习(人教A版2019必修第一册)_E015高中全科试卷_数学试题_必修1_01.单元测试_单元测试(第一套)
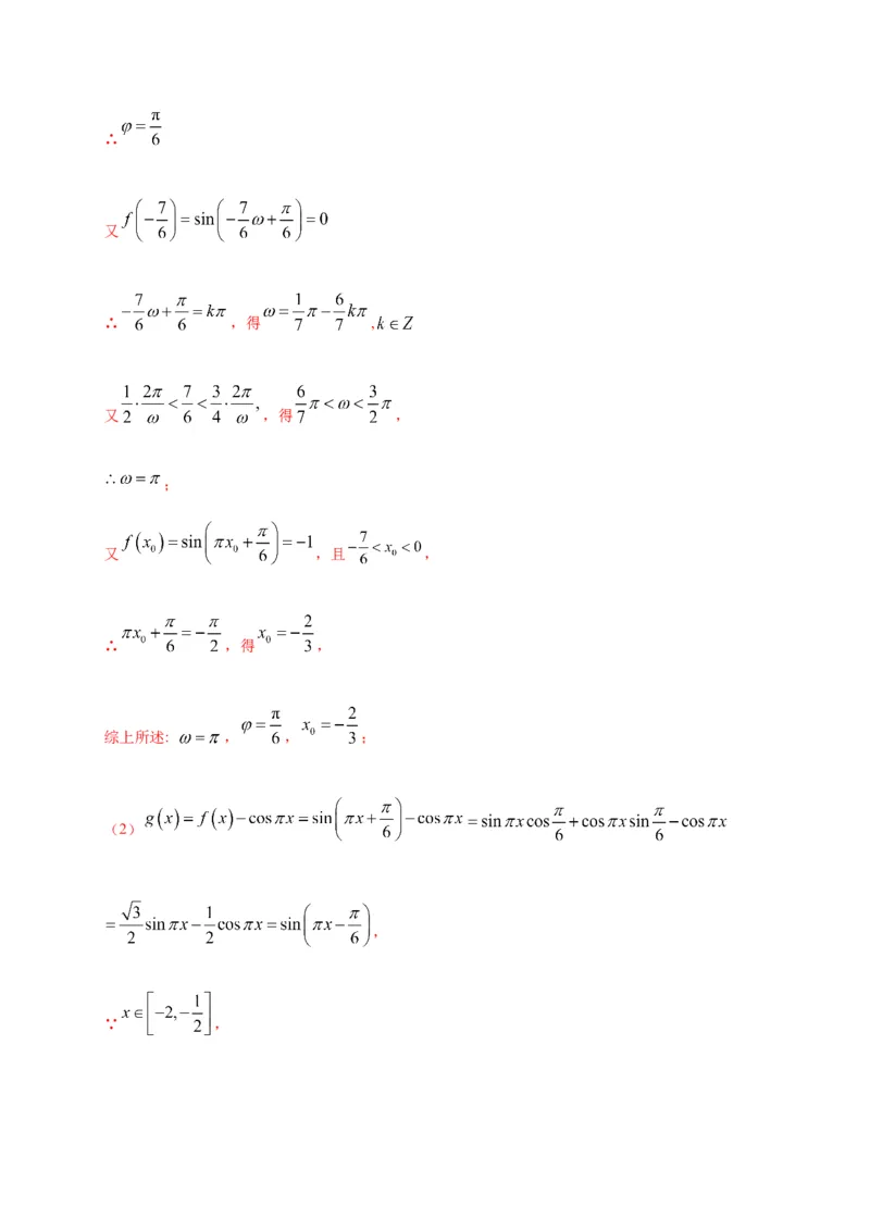
专题23三角函数(基础测评卷)-高一数学单元复习(人教A版2019必修第一册)_E015高中全科试卷_数学试题_必修1_01.单元测试_单元测试(第一套)
专题23三角函数(基础测评卷)-高一数学单元复习(人教A版2019必修第一册)_E015高中全科试卷_数学试题_必修1_01.单元测试_单元测试(第一套)

文档信息

文档格式
docx
文档大小
0.590 MB
文档页数
19 页
上传时间
2026-02-15 11:31:52

文档内容

章末检测(五) 三角函数 基础卷 (时间:120分钟,满分:150分) 一、单项选择题(本大题共8小题,每小题5分,共40分.在每小题给出的四个选项中,只有一项 是符合题目要求的) 1.(2020·四川成都外国语学校高一开学考试(理))若 ,则 ( ) A. B. C. D. 【答案】B 【解析】设 ,则 , ,故 .故选:B 2.(2020·浙江绍兴一中高三)若函数 在 上的最大值为 ,最 小值为 ,则 的值( ). A.与 有关,且与 有关 B.与 有关,且与 无关 C.与 无关,且与 有关 D.与 无关,且与 无关 【答案】B 【解析】由题意 ,因为 ,令 ,则 , 则 、 分别为 在 上的最大值与最小值, 由二次函数的性质可得最大值 与最小值 的差 的值与 有关,但与 无关. 故选:B. 3.(2020·山东省鄄城县第一中学高一月考)函数 的部 分图象如图所示,则 ( ) A. B. C. D. 【答案】B 【解析】将 代入函数解析式,可得: ,又 ,解得: ;将 代入函数解析式,可得: ,解得: , 由图可知: ,即 ,当 时, ,故选:B. 4.(2020·上海市莘庄中学高一月考)已知 是第二象限角,且 ,那么 的值是( ) A.1 B. C. D. 【答案】C 【解析】 是第二象限角,即 , , 在第一、 三象限, 又 ,∴ 是第三象限角,∴ , ∴ . 故选:C. 5.(2020·山西高一期中)函数 在区间 上的零点个数为( )A.0 B.3 C.1 D.2 【答案】D 【解析】令 ,解得 ,即 . ∵ ,∴ , ; , .故选D. 6.(2020·全国高一课时练习)如果 , ,那么 的值为( ) A. B. C. D. 【答案】C 【解析】由 可知 是第二象限角, , , 为第三象限角, .故选: 7.(2020·湖南高二期末(理))已知函数 在区间 内 单调递增,则 的最大值是( ) A. B. C. D. 【答案】D【解析】令 ,又函数在 单增,故有 ,解得 ,又 ,当 时 取到最大值 故选:D 8.(2020·重庆市育才中学高一月考)已知 , ,则 ( ) A. B. C. D. 【答案】C 【解析】因为 ,即 ,所以 , 因为 ,即 ,解得 ,因为 , 所以 .故选:C 二、多项选择题(本大题共4小题,每小题5分,共20分.在每小题给出的四个选项中,有多个选项是符合题目要求的,全部选对的得5分,选对但不全的得3分,有选错的得0分) 1.(2020·海南临高二中高二期末)下列结论正确的是( ) A. 是第三象限角 B.若圆心角为 的扇形的弧长为 ,则该扇形面积为 C.若角 的终边过点 ,则 D.若角 为锐角,则角 为钝角 【答案】BC 【解析】选项A: 终边与 相同,为第二象限角,所以A不正确; 选项B:设扇形的半径为 , 扇形面积为 ,所以B正确; 选项C:角 的终边过点 ,根据三角函数定义, ,所以C正确; 选项D:角 为锐角时, ,所以D不正确,故选:BC 2.(2020·山东高三其他)若将函数 的图象向左平移 个单位长度,得到函 数 的图象,则下列说法正确的是( )A. 的最小正周期为 B. 在区间 上单调递减 C. 不是函数 图象的对称轴 D. 在 上的最小值为 【答案】ACD 【解析】 . 的最小正周期为 ,选项A正确; 当 时, 时,故 在 上有增有减,选项B错误; ,故 不是 图象的一条对称轴,选项C正确; 当 时, ,且当 ,即 时, 取最小值 , D正确.故选:ACD 3.(2020·江苏海安高级中学高二期末)关于函数 ,如下结论中正 确的是( ). A.函数 的周期是 B.函数 的值域是 C.函数 的图象关于直线 对称D.函数 在 上递增 【答案】ACD 【解析】A.∵ , ∴ , ∴ 是周期为 的周期函数,A正确, B.当 时, ,此时 , ,∴ ,又 的周期是 ,∴ 时, 值域是 ,B错; C.∵ , ∴函数 的图象关于直线 对称,C正确; D.由B知 时, ,当 时, , 单调 递增,而 是周期为 的周期函数,因此 在 上的图象可以看作是在 上的图象向右平移 单位得到的,因此仍然递增.D正确.故选:ACD. 4.(2020·全国高三课时练习(理))下图是函数y= sin(ωx+φ)的部分图像,则sin(ωx+φ)= ( ) A. B. C. D. 【答案】BC 【解析】由函数图像可知: ,则 ,所以不选A, 当 时, ,解得: , 即函数的解析式为: . 而 ,故选:BC.三、填空题(本大题共4小题,每小题5分,共20分.把答案填在题中横线上) 13.(2016·上海市控江中学高三开学考试)函数 的最小正周期是 ,则实数 ________ 【答案】 【解析】 ,周期 ,解得 . 故答案为: 14.(2020·广东高二期中)已知角 的终边与单位圆交于点( ),则 =__________. 【答案】 【解析】因为角 的终边与单位圆交于点( ),所以 , 所以 ,所以 , 故答案为: 15.(2016·湖南高一学业考试)若 ,则 ____________. 【答案】【解析】由已知得 .故答案为: . 16.(2020·浙江高一期末)已知 为锐角, 则 _______. 【答案】 【解析】∵ 且 ,∴ ; ∵ ,∴ .故答案为: . 四、解答题(本大题共6小题,共70分.解答时应写出必要的文字说明、证明过程或演算步骤) 17.(2020·天津静海一中高一期末) (1)已知 ,求 ; (2)若 ,求 的值; (3)求 的值; (4)已知 ,求 .结合题目的解答过程总结三角函数求值(化简) 最应该注意什么问题? 【解析】(1)用诱导公式化简等式可得,代入 可得 . 故答案为 . (2)原式可化为: , 把 代入,则原式 . 故答案为1. (3) 故答案为 . (4)令 ,则.解题中应注意角与角之间的关系. 18.(2020·全国高三期中(理))已知函数 的图象关于直线 对称,且 在 上为单调函数. (1)求 ; (2)当 时,求 的取值范围. 【解析】(1)因为函数 的图像关于直线 对称. 则 ,所以 . 又 在 上为单调函数,所以 ,即 , 当 满足题意,当 或 不满足题意.故 . (2)设 ,则 ,由(1)得 , 因为 ,则 ,所以 .故 .所以 取值范围是 . 19.(2020·贵州高一期末)已知函数 的最小正周期为 ,将 的图象向右平移 个单位长度,再向上平移 个单位长度得到函数 的图象. (1)求函数 的解析式; (2)在 中,角 所对的边分别为 ,若 ,且 ,求 周长 的取值范围. 【解析】(1)周期 , , . 将 的图象向右平移 个单位长度,再向上平移 个单位长度得到 . 所以 . (2) , . 因为 ,所以 , .. 因为 ,所以 . 所以 ,即 , . 所以 . 20.(2020·全国高一课时练习)已知函数 的最大值为2,最小值为 . (1)求a,b的值; (2)求函数 的最小值,并求出对应的x的集合. 【解析】(1)由题知 ,∵ ,∴ . ∴ ∴ (2)由(1)知 ,∵ , ∴ . ∴ 的最小值为 ,此时 ,由 ,求得对应的x的集合 为 . 21.(2020·浙江高一期末)函数 ( , )的部分图像如图所示 (1)求 , 及图中 的值; (2)设 ,求函数 在区间 上的最大值和最小值 【解析】(1)由题图得 ,∴ ∵ ,∴ 又 ∴ ,得 , 又 ,得 , ; 又 ,且 , ∴ ,得 , 综上所述: , , ; (2) , ∵ ,∴ , 所以当 时, ; 当 , . 22.(2020·上海华师大二附中高一期中)已知 ,并且 , ,求 的值. 【解析】 平方相加得 因为 ,所以 当 时, 当 时,因此 , 或 ,