当前位置:首页>文档>成都石室中学2023-2024年度下期高2024届入学考试答案及评分标准—文科_2024年2月_01每日更新_24号_2024届四川省成都市石室中学高三下学期开学考试

成都石室中学2023-2024年度下期高2024届入学考试答案及评分标准—文科_2024年2月_01每日更新_24号_2024届四川省成都市石室中学高三下学期开学考试

  • 2026-03-20 16:06:40 2026-02-16 10:07:52

文档预览

成都石室中学2023-2024年度下期高2024届入学考试答案及评分标准—文科_2024年2月_01每日更新_24号_2024届四川省成都市石室中学高三下学期开学考试
成都石室中学2023-2024年度下期高2024届入学考试答案及评分标准—文科_2024年2月_01每日更新_24号_2024届四川省成都市石室中学高三下学期开学考试
成都石室中学2023-2024年度下期高2024届入学考试答案及评分标准—文科_2024年2月_01每日更新_24号_2024届四川省成都市石室中学高三下学期开学考试
成都石室中学2023-2024年度下期高2024届入学考试答案及评分标准—文科_2024年2月_01每日更新_24号_2024届四川省成都市石室中学高三下学期开学考试
成都石室中学2023-2024年度下期高2024届入学考试答案及评分标准—文科_2024年2月_01每日更新_24号_2024届四川省成都市石室中学高三下学期开学考试
成都石室中学2023-2024年度下期高2024届入学考试答案及评分标准—文科_2024年2月_01每日更新_24号_2024届四川省成都市石室中学高三下学期开学考试
成都石室中学2023-2024年度下期高2024届入学考试答案及评分标准—文科_2024年2月_01每日更新_24号_2024届四川省成都市石室中学高三下学期开学考试
成都石室中学2023-2024年度下期高2024届入学考试答案及评分标准—文科_2024年2月_01每日更新_24号_2024届四川省成都市石室中学高三下学期开学考试
成都石室中学2023-2024年度下期高2024届入学考试答案及评分标准—文科_2024年2月_01每日更新_24号_2024届四川省成都市石室中学高三下学期开学考试
成都石室中学2023-2024年度下期高2024届入学考试答案及评分标准—文科_2024年2月_01每日更新_24号_2024届四川省成都市石室中学高三下学期开学考试
成都石室中学2023-2024年度下期高2024届入学考试答案及评分标准—文科_2024年2月_01每日更新_24号_2024届四川省成都市石室中学高三下学期开学考试
成都石室中学2023-2024年度下期高2024届入学考试答案及评分标准—文科_2024年2月_01每日更新_24号_2024届四川省成都市石室中学高三下学期开学考试
成都石室中学2023-2024年度下期高2024届入学考试答案及评分标准—文科_2024年2月_01每日更新_24号_2024届四川省成都市石室中学高三下学期开学考试
成都石室中学2023-2024年度下期高2024届入学考试答案及评分标准—文科_2024年2月_01每日更新_24号_2024届四川省成都市石室中学高三下学期开学考试
成都石室中学2023-2024年度下期高2024届入学考试答案及评分标准—文科_2024年2月_01每日更新_24号_2024届四川省成都市石室中学高三下学期开学考试
成都石室中学2023-2024年度下期高2024届入学考试答案及评分标准—文科_2024年2月_01每日更新_24号_2024届四川省成都市石室中学高三下学期开学考试
成都石室中学2023-2024年度下期高2024届入学考试答案及评分标准—文科_2024年2月_01每日更新_24号_2024届四川省成都市石室中学高三下学期开学考试
成都石室中学2023-2024年度下期高2024届入学考试答案及评分标准—文科_2024年2月_01每日更新_24号_2024届四川省成都市石室中学高三下学期开学考试

文档信息

文档格式
docx
文档大小
1.521 MB
文档页数
18 页
上传时间
2026-02-16 10:07:52

文档内容

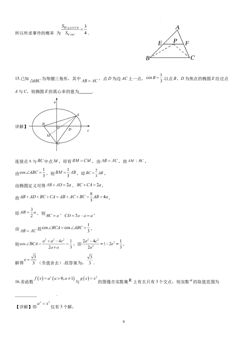
成都石室中学 2023-2024 年度下期高 2024 届入学考试文科答案 一、 选择题(本题共12道小题,每小题5分,共60分) 1.已知全集 ,能表示集合 与 , 关系的 图是 A. B. C. D. 【解答】解:全集 ,集合 ,1, , , , , 能表示集合 , , 关系的 图是 . 故选: . 2.已知向量 , ,则 在 方向上投影为 A . B. C. D. 解:由 , , 则 在 方向上的投影向量为: .故选: . 3. 技术在我国已经进入高速发展的阶段, 手机的销量也逐渐上升,某手机商城统计了最近 5个月手机的实 际销量,如表所示: 时间 1 2 3 4 5 销售量 (千 0.5 0.8 1.0 1.2 1.5 只) 若 与 线性相关,且线性回归方程为 ,则下列说法不正确的是 A.由题中数据可知,变量 与 正相关,且相关系数 B.线性回归方程 中 C.残差 的最大值与最小值之和为0 D.可以预测 时该商场 手机销量约为1.72(千只) 【解答】解:从数据看 随 的增加而增加,故变量 与 正相关,由于各增量并不相等,故相关系数 ,故 1 学科网(北京)股份有限公司正确; 由已知数据易得 ,代入 中得到 ,故 错误; , , , , , , , , , , , 残差 的最大值 与最小值 之和为0,故 正确; 时该商场 手机销量约为 ,故 正确. 故选: . 4.方程 表示双曲线的必要不充分条件可以是 A. B. , , C. D. 【解答】解:若方程 表示双曲线, 则 ,解得: , 则:方程 表示双曲线的必要不充分条件所对应的集合必须真包含 , 选项故选: . 5.执行如图所示的程序框图,若依次输入 , , ,则输出 的 结果为 A. B. C. D.以上都不对 【解答】解:根据题意,该流程图的作用是求出 、 、 中的最小数, : . , 2 学科网(北京)股份有限公司.故选: . 6.在 中,角 、 、 的对边分别为 、 、 ,且 的面积 , , 则 A. B. C. D. 【解答】解: 的面积 ,可得: , 又 故选: . 7. 设等差数列的前 项和为 ,已知 , , ,则 的值为 A.15 B.16 C.17 D.18 【解答】解:因为等差数列中, , , , 则 , 两式相加得, ,即 , 因为 ,所以 .故选: . 8.如图是某四棱锥的三视图,则该四棱锥的高为 A.1 B.2 C. D. 【解答】解:由题意几何体是四棱锥 ,过 作 于 , 在正方体中有 平面 ,所以 , 又因为 ,所以 平面 , 所以四棱锥的高为 , 在 中, , , , 3 学科网(北京)股份有限公司故 , , 故 ,解得 . 所以该四棱锥的高为: . 故选: . 9.抛物线 的焦点为 ,准线为 , , 是抛物线上的两个动点,且满足 , 为线段 的中 点,设 在 上的射影为 ,则 的最大值是 . B. C. D. A 【解答】解:设 , , , 在 上的射影分别为 , ,则 , , 故 . 又 ,所以 , 因为 , 4 学科网(北京)股份有限公司所以 , 当且仅当 时等号成立, 故 . 故选: . 如图,正方体 的棱长为1,线段 上有两个动点 , ,且 ,点 , 分别为 10. , 的中点, 在侧面 上运动,且满足 平面 ,以下命题错误的是 A. B.多面体 的体积为定值 C.侧面 上存在点 ,使得 D.直线 与直线 所成的角可能为 解:对于 ,正方体 中, , , 、 是线段 上有两个动点, ,故 正确; 对于 , , 到 的距离为定值, 是定值, 5 学科网(北京)股份有限公司点 到平面 的距离为定值, 多面体 的体积为定值,故 正确; 对于 , , 当 为 中点时, ,故 正确; 对于 ,取 中点 , 中点 ,当 与 或 重合时, 直线 与直线 所成的角 最大, ,故 错误. 故选: . 11.已知直线 与圆心为 且半径为3的圆相交于 , 两点,直线 与 圆 交于 , 两点,则四边形 的面积的值最大是 . B. C. D. A 【解答】解:根据题意,圆 的圆心为 且半径为 3,则圆 的方程为 ,即 , 直线 与圆 相交于 , 两点, 则有 ,解可得: 或 ,即 、 的坐标为 , , 则 ,且 的中点为 , , 6 学科网(北京)股份有限公司直线 ,变形可得 ,直线 恒过定点 , , 设 , , 当 与 垂直时,四边形 的面积最大, 此时 的方程为 ,变形可得 ,经过点 , 则此时 , 故 的最大值 , ,故选: . 故 12.已知函数 在区间 上有且仅有4个极值点,给出下列四个结论: ① 在区间 上有且仅有3个不同的零点;② 的最小正周期可能是 ; ③ 的取值范围是 ;④ 在区间 上单调递增. 其中正确结论的个数为( ) A.1 B.2 C.3 D.4 12.C【分析】令 , ,则 , ,结合条件可得 有4个整数 符合题 意,可求出 的取值范围,再利用三角函数图象性质逐项分析即可得出结论. 【详解】由函数 , 令 , 可得 , , 因为 在区间 上有且仅有4个极值点,即可得 有且仅有4个整数 符合题意, 解得 ,即 ,可得 , 即 ,解得 ,即③正确; 7 学科网(北京)股份有限公司对于①,当 时, ,即可得 , 显然当 时, 在区间 上有且仅有3个不同的零点; 当 时, 在区间 上有且仅有4个不同的零点;即①错误; 对于②, 的最小正周期为 ,易知 , 所以 的最小正周期可能是 ,即②正确; 对于④,当 时, ; 由 可知 , 由三角函数图象性质可知 在区间 上单调递增,即④正确; 即可得②③④正确.故选:C 第Ⅱ卷(共90分) 二、填空题(本题共4道小题,每小题5分,共20分) 13.若 ,则 的共轭复数为_________ 【详解】依题意, 所以 的共轭复数为 . 14.向面积为2的 内部投掷一点 ,则 的面积小于1的概率为______ 【详解】如图所示,取 的中点 , 则 为 的中位线,当点P落在四边形 内时 的面积小于 , 已知总事件为 的面积 , , 8 学科网(北京)股份有限公司所以所求事件的概率 为 . 15.已知 为等腰三角形,其中 ,点D为边AC上一点, .以点B、D为焦点的椭圆E经过点 A与C,则椭圆E的离心率的值为 . 详解】 连接点 与 中点 ,即有 ,由 ,故 , 由 ,则 ,即 , 由椭圆定义可得 、 , 故 , 即 ,则 、 , 由 故 , 则 ,即 , 解得 (负值舍去).故答案为: . 16.若函数 与 的图像在实数集 上有且只有3个交点,则实数 的取值范围为 __________ . 【详解】即 仅有3个解, 9 学科网(北京)股份有限公司显然不是该方程的解,则 ,即 仅有3个解, 设 ,定义域关于原点对称,且满足 。 即 为奇函数, 考虑 时的情况, , , 当 时, ,即 在 上单调递增, 当 时, ,即 在 上单调递减, 则函数极大值为 ,且当 时, ;当 时, ; 结合函数 为奇函数,即可作出函数 的图象如图示: 由于 仅有3个解,故 与函数 的图象仅有3个交点, 结合图象可得 或 , 即 或 , 故答案为: 或 三、解答题(本题共6道小题,共70分) 17.已知数列 的首项为 ,且满足 ,数列 满足 . (Ⅰ)求 的通项公式; (Ⅱ)设数列 的前 项和为 ,求 . 10 学科网(北京)股份有限公司【解答】解:(1)证明: , , , , 当 时,上式成立, , ;………………………………………5分 (2)由(1)得 , ①, ②, ① ②得, , .………………………………………12分 18.某企业有甲、乙、丙三个部门,其员工人数分别为24,16,8.现在医务室通过血检进行一种流行疾病的检查. (Ⅰ)现采用分层抽样的方法从中抽取6人进行前期调查,求甲、乙、丙三个部门的员工中分别抽取的人数和每 一位员工被抽到的概率? (Ⅱ)将该企业所有员工随机平均分成4组,先将每组的血样混在一起化验,若结果呈阴性,则可断定本组血样 全部为阴性,不必再化验;若结果呈阳性,则本组中至少有一人呈阳性,再逐个化验.已知每组化验结果呈阴性 的概率都为 ,记 ,2,3, 为“第 组化验结果呈阴性”, ,2,3, 为“第 组化验结果呈阳 性”,请计算恰有两个组需要进一步逐个化验的概率. 【解答】解:(1)由已知,甲、乙、丙三个部门的员工人数之比为 , 由于采用分层抽样的方法从中抽取6人, 因此应从甲、乙、丙三个部门的员工中分别抽取3人,2人,1人, 该企业总共有 名员工, 记事件 :“任意一位被抽到”,由于每位员工被抽到的概率相等, 11 学科网(北京)股份有限公司每位员工被 抽到的概率为 .………………………………………5分 (2)记“恰有两个组需要进一步逐个化验”为事件 ,所有分组化验的结果有16种,分别为: , , , , , , , , , , , , , , , , , , , , ,………………………………………8分 其中,恰有两个组化验结果呈阳性,即需要进一步逐个化验的情况有6种,分别为: , , , , , , , , 每组化验结果呈阴性与阳性互为对立, 每组化验呈阳性的概率都为 ,………………………………………10分 则上述每个结果出现的可能性都相等, 恰有两个组需要进一步逐个化验的概率为 (B) .………………………………………12分 19.如图,已知梯形 与 所在的平面垂直, , , , , , , ,连接 , . (Ⅰ)若 为 边上一点, ,求证: 平面 ; (Ⅱ)求多面体 的体积. 【解答】(Ⅰ)证明:在 上取一点 ,使得 . 12 学科网(北京)股份有限公司延长 和 交于点 ,由相似三角形原理可得 , 。 且 , 是平行四边形 平面 , 平面 ;………………………………………6分 (Ⅱ)解:连接 , , 则 .………………………12分 20.已知椭圆 的离心率为 ,焦距为 ,过 的左焦点 的直线 与 相交于 、 两点, 与直线 相交于点 . (Ⅰ)若 ,求证: ; (Ⅱ)过点 作直线 的垂线 与 相交于 、 两点,与直线 相交于点 .求 的 最大值. 【详解】(1)证明:设 、 ,因为椭圆 的焦距为 ,所以 ,解得 . 又因为椭圆 的离心率 ,所以 ,所以 , 所以椭圆 的方程为 . 因为直线 经过 、 , , 所以,直线 的方程为 , 设点 、 ,联立 可得 , 由 ,得 , . ……………………………………………………………………….2分 所以 , 13 学科网(北京)股份有限公司, 因此, .……………………………………………………………………….5分 (2)证明:若直线 、 中两条直线分别与两条坐标轴垂直,则其中有一条必与直线 平行,不合乎题意, 所以,直线 的斜率存在且不为零,设直线 方程为 , 则直线 方程为 ,其中 . 联立 可得 , 设 、 ,则 , 由韦达定理可得 , ,………………………………………………………….6分 易知 且 ,将 代入直线 的方程可得 ,即点 , 所以 ,……………………………………………………….8分 同理可得 ,…………………………………………………….9分 所以 ,……………………………………………….11分 当且仅当 时,等号成立, 14 学科网(北京)股份有限公司因此, 的最大值为 .……………………………………………….12分 21.已知函数 . (Ⅰ)若 在区间 上恒成立,求实数 的取值范围; (Ⅱ)若函数 和 有公切线,求实数 的取值范围. 【详解】(1)由题意,当 时,设 , 则 , ,……………………………….1分 令 ,得 (舍负) 在 上单调递减,在 上单调递增, .……………………………….2分 根据题意 的取值范围为 .……………………………….4分 (2)设函数 在点 处与函数 在点 处有相同的切线, 则 , ,代入 得 . 问题转化为:关于 的方程 有解,……………………………….6分 设 ,则函数 有零点, 15 学科网(北京)股份有限公司,当 时, . 问题转化为: 的最小值小于或等于0.………………………………7分 , 设 ,则 当 时, ,当 时, . 在 上单调递减,在 上单调递增, 的最小值为 .……………………………9分 由 知 ,故 . 设 ,则 , 故 在 上单调递增, 当 时, , 的最小值 等价于 .……………………………11分 又 函数 在 上单调递增, .…………………………12分 22.在直角坐标系 中,曲线 的参数方程为 (t为参数)以坐标原点 为极点, 轴的正半轴为 极轴建立极坐标系,直线 的极坐标方程 . (Ⅰ)求 和 的直角坐标方程; 16 学科网(北京)股份有限公司(Ⅱ) ,直线 与C交于MN两点,求 两点的极坐标 【详解】(1)方法一:曲线 :由题意得 ,即 , 然后代入 ,即可得到曲线C的普通方程 , ………………3分 备注:若没有扣点,则扣1分 而直线 ,将 代入其极坐标方程即可得其直角坐标方程 . ………………2分 方法二:因为 , 所以C的普通方程为 ,直线l的直角坐标方程为: ; 方法三:由万能公式: , 令 ,则有 , 由椭圆的常用参数方程可得: , 直线 的方程为: . (2)设 ,联立 得 . 解得 , 点的坐标为 , 点的坐标为 ………………6分 所以 点的极坐标为 ,………………8分 17 学科网(北京)股份有限公司点的极径为 ………………10分 23.已知函数 , . (Ⅰ)求函数 的最小值; (Ⅱ)设 ,求证: . 【详解】(1)由题设 ,………………2分 而 在 、 、 上均能取到最小值 ,………………3分 对于 在 上递减, 上为常数, 上递增,且连续, 所以 的最小值在 上取得,即 时,最小值为 .………………5分 (2)由 ,仅当 取等号,.………………7分 要证 ,即证 ,则 , 需证 ,而 ,即 , 所以 恒成立,故 得证..………………10分 备注:此题可用其它方法证明 18 学科网(北京)股份有限公司