当前位置:首页>文档>物理(九省联考考后提升卷,江西)(解析版)_2024年4月_其他_2024年1月新“九省联考”考后提升卷(原卷+解析)_2024年1月“九省联考”物理真题完全解读与考后提升

物理(九省联考考后提升卷,江西)(解析版)_2024年4月_其他_2024年1月新“九省联考”考后提升卷(原卷+解析)_2024年1月“九省联考”物理真题完全解读与考后提升

  • 2026-04-01 05:16:31 2026-02-18 00:29:00

文档预览

物理(九省联考考后提升卷,江西)(解析版)_2024年4月_其他_2024年1月新“九省联考”考后提升卷(原卷+解析)_2024年1月“九省联考”物理真题完全解读与考后提升
物理(九省联考考后提升卷,江西)(解析版)_2024年4月_其他_2024年1月新“九省联考”考后提升卷(原卷+解析)_2024年1月“九省联考”物理真题完全解读与考后提升
物理(九省联考考后提升卷,江西)(解析版)_2024年4月_其他_2024年1月新“九省联考”考后提升卷(原卷+解析)_2024年1月“九省联考”物理真题完全解读与考后提升
物理(九省联考考后提升卷,江西)(解析版)_2024年4月_其他_2024年1月新“九省联考”考后提升卷(原卷+解析)_2024年1月“九省联考”物理真题完全解读与考后提升
物理(九省联考考后提升卷,江西)(解析版)_2024年4月_其他_2024年1月新“九省联考”考后提升卷(原卷+解析)_2024年1月“九省联考”物理真题完全解读与考后提升
物理(九省联考考后提升卷,江西)(解析版)_2024年4月_其他_2024年1月新“九省联考”考后提升卷(原卷+解析)_2024年1月“九省联考”物理真题完全解读与考后提升
物理(九省联考考后提升卷,江西)(解析版)_2024年4月_其他_2024年1月新“九省联考”考后提升卷(原卷+解析)_2024年1月“九省联考”物理真题完全解读与考后提升
物理(九省联考考后提升卷,江西)(解析版)_2024年4月_其他_2024年1月新“九省联考”考后提升卷(原卷+解析)_2024年1月“九省联考”物理真题完全解读与考后提升
物理(九省联考考后提升卷,江西)(解析版)_2024年4月_其他_2024年1月新“九省联考”考后提升卷(原卷+解析)_2024年1月“九省联考”物理真题完全解读与考后提升
物理(九省联考考后提升卷,江西)(解析版)_2024年4月_其他_2024年1月新“九省联考”考后提升卷(原卷+解析)_2024年1月“九省联考”物理真题完全解读与考后提升
物理(九省联考考后提升卷,江西)(解析版)_2024年4月_其他_2024年1月新“九省联考”考后提升卷(原卷+解析)_2024年1月“九省联考”物理真题完全解读与考后提升
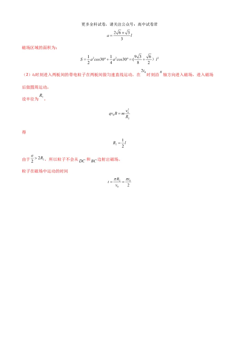
物理(九省联考考后提升卷,江西)(解析版)_2024年4月_其他_2024年1月新“九省联考”考后提升卷(原卷+解析)_2024年1月“九省联考”物理真题完全解读与考后提升
物理(九省联考考后提升卷,江西)(解析版)_2024年4月_其他_2024年1月新“九省联考”考后提升卷(原卷+解析)_2024年1月“九省联考”物理真题完全解读与考后提升
物理(九省联考考后提升卷,江西)(解析版)_2024年4月_其他_2024年1月新“九省联考”考后提升卷(原卷+解析)_2024年1月“九省联考”物理真题完全解读与考后提升
物理(九省联考考后提升卷,江西)(解析版)_2024年4月_其他_2024年1月新“九省联考”考后提升卷(原卷+解析)_2024年1月“九省联考”物理真题完全解读与考后提升
物理(九省联考考后提升卷,江西)(解析版)_2024年4月_其他_2024年1月新“九省联考”考后提升卷(原卷+解析)_2024年1月“九省联考”物理真题完全解读与考后提升
物理(九省联考考后提升卷,江西)(解析版)_2024年4月_其他_2024年1月新“九省联考”考后提升卷(原卷+解析)_2024年1月“九省联考”物理真题完全解读与考后提升
物理(九省联考考后提升卷,江西)(解析版)_2024年4月_其他_2024年1月新“九省联考”考后提升卷(原卷+解析)_2024年1月“九省联考”物理真题完全解读与考后提升
物理(九省联考考后提升卷,江西)(解析版)_2024年4月_其他_2024年1月新“九省联考”考后提升卷(原卷+解析)_2024年1月“九省联考”物理真题完全解读与考后提升

文档信息

文档格式
docx
文档大小
1.346 MB
文档页数
19 页
上传时间
2026-02-18 00:29:00

文档内容

更多全科试卷,请关注公众号:高中试卷君 2024 年 1 月“九省联考”考后提升卷 高三物理 (适用地区:江西 试卷满分:100分) 注意事项: 1.答卷前,考生务必将自己的姓名、准考证号填写在答题卡上。 2.回答选择题时,选出每小题答案后,用铅笔把答题卡上对应题目的答案标号涂黑。如需改动,用橡皮 擦干净后,再选涂其他答案标号。回答非选择题时,将答案写在答题卡上。写在本试卷上无效。 3.考试结束后,将本试卷和答题卡一并交回。 一、选择题:本题共10小题,共46分.在每小题给出的四个选项中,第1~7题只有一项符 合题目要求,每小题4分;第8~10题有多项符合题目要求,每小题6分,全部选对的得6分, 选对但不全的得3分,有选错的得0分。 1.(2024·辽宁沈阳·统考一模)日本将核废水排放到大海中,会对太平洋造成长时间的核污染。废水中含 有铯、锶、氚等多种放射性物质,其中铯137原子核具有较强的放射性,会发生衰变并释放能量,其半衰 期长达30年。若铯137原子核的衰变方程为: ,下列说法正确的是( ) A.铯137衰变时,衰变产物中的X为中子 B.铯137衰变时,衰变产物中的X为质子 C.虽然未衰变的铯137数量逐渐减少,但其半衰期并不改变 D.排入太平洋后,废水中的铯137经过60年只衰变了四分之一 【答案】C 【详解】AB.由核反应中,电荷数守恒和质量数守恒可知,铯137衰变时,衰变产物中的X的电荷数 为-1,质量数为0,即X为电子。故AB错误; CD.半衰期是原子核发生半数衰变所需的时间,与原子核自身有关,与外界因素无关。废水中的铯137经 过60年(两个半衰期)衰变了四分之三,故C正确、D错误。 故选C。 2.(2024·浙江嘉兴·统考一模)杭州亚运会 跳台的跳水决赛中,中国运动员全红婵完美一跳后裁判全 给10分并获得冠军。从全红婵离开跳板开始计时,跳水过程中重心的 图像如图所示。则全红婵的重 心( )更多全科试卷,请关注公众号:高中试卷君 A.在 过程中作自由落体运动 B.在 过程中速度方向发生改变 C.在 过程中加速度逐渐减小 D.在 时刻上浮至水面 【答案】C 【详解】A.在 过程中初速度不是零,不是自由落体运动,故A错误; B.在 过程中速度始终为正值,方向不变,故B错误; C.在 过程中,图像斜率变小,斜率代表加速度,加速度逐渐减小,故C正确; D.根据图像可知, 过程竖直向上运动, 过程中竖直向下运动,在 时刻下降到最低点,故D 错误。 故选C。 3.(2024·重庆·统考一模)北斗系统主要由离地面高度约为6R(R为地球半径)的同步轨道卫星和离地面 高度约为3R的中轨道卫星组成,已知地球表面重力加速度为g,忽略地球自转。则( ) A.中轨道卫星的向心加速度约为更多全科试卷,请关注公众号:高中试卷君 B.中轨道卫星的运行周期为12小时 C.同步轨道卫星的角速度大于中轨道卫星的角速度 D.因为同步轨道卫星的速度小于中轨道卫星的速度,所以卫星从中轨道变轨到同步轨道,需向前方喷 气减速 【答案】A 【详解】A.设M表示地球的质量,在地球表面质量为m的物体,有 中圆轨道卫星由万有引力提供向心力 联立可得中圆轨道卫星向心加速度约为 故A正确; B.设M表示地球的质量,m表示卫星的质量,根据万有引力提供向心力有 可得 则有 已知 ,解得 故B错误; C.根据万有引力提供向心力有 解得更多全科试卷,请关注公众号:高中试卷君 因为同步轨道卫星轨道半径大于中轨道卫星轨道半径,所以同步轨道卫星的角速度小于中轨道卫星的角速 度,故C错误; D.因为同步轨道卫星的轨道半径大于中圆轨道卫星的轨道半径,所以卫星从中圆轨道变轨到同步轨道, 需向后方喷气加速做离心运动,故D错误。 故选A。 4.(2024上·黑龙江鸡西·高三统考期末)电磁轨道炮发射的基本原理图如图所示,两条平行的金属导轨充 当传统火炮的炮管,弹丸放置在两导轨之间,并与导轨保持良好接触,当电磁炮中通过如图虚线所示的强 电流时,轨道电流在弹丸处形成垂直于轨道平面的磁场,弹丸获得很大的加速度,最终高速发射出去,下 列说法正确的是( ) A.电磁炮的本质是一种大功率的发电机 B.若通入与图示方向相反的电流,弹丸不能发射出去 C.其他条件不变的情况下,弹丸的质量越小,发射速度越大 D.两导轨中的强电流(如图示)在导轨之间产生的磁场,方向竖直向下 【答案】C 【详解】A.电磁炮的本质是电磁发射技术,不是大功率的发电机,故A错误; B.若通入与图示方向相反的电流,弹丸也能发射出去,故B错误; C.电磁炮是将电磁能量转化为弹丸的动能,则其他条件不变的情况下,弹丸的质量越小,发射速度越大, 故C正确; D.根据安培定则可知,两导轨中的强电流(如图示)在导轨之间产生的磁场方向竖直向上,故D错误。 故选C。 5.(2024上·海南省直辖县级单位·高三校考阶段练习)质点O从 时刻开始振动, 后停止振动,再 经 ,图中的质点B刚好开始振动,形成的波形图如图所示,此时质点A位于波谷。已知 ,下更多全科试卷,请关注公众号:高中试卷君 列说法正确的是( ) A.该波的波长为 B.该波的周期为 C.O、A两质点对应的平衡位置的距离为15m D.从图示位置开始,再经0.5s质点B第二次出现在波谷位置 【答案】C 【详解】B.根据题意,由图可知 解得 故B错误; AC.根据题意可知,波的传播速度为 则波长为 O、A两质点对应的平衡位置的距离为 故A错误,C正确; D.由图可知,质点B开始向上振动,经过时间 可知,质点B第二次出现在波峰位置,故D错误。 故选C。 6.(2024上·北京丰台·高三统考期末)地磁学家曾经尝试用“自激发电”假说解释地球磁场的起源,其原 理如图所示:一个金属圆盘A在某一大小恒定、方向时刻沿切线方向的外力作用下,在弱的轴向磁场B中更多全科试卷,请关注公众号:高中试卷君 绕金属轴 转动,根据法拉第电磁感应定律,盘轴与盘边之间将产生感应电动势,用一根螺旋形导线 MN在圆盘下方连接盘边与盘轴,MN中就有感应电流产生,最终回路中的电流达到稳定值,磁场也达到稳 定状态。下列说法正确的是( ) A.MN中的电流方向从M→N B.MN中感应电流的磁场方向与原磁场方向相反 C.圆盘转动的速度逐渐减小 D.磁场达到稳定状态后,MN中不再产生感应电流 【答案】A 【详解】A.根据右手定则知,MN中的电流方向从M→N,故A正确; B.根据右手螺旋定则判断知MN中感应电流的磁场方向与原磁场方向相同,故B错误; C.圆盘在大小恒定、方向时刻沿切线方向的外力作用下,转动的速度先越来越大,磁场也越来越大,根 据法拉第电磁感应定律 知产生的电动势也越来越大,流过电阻R的电流也越来越大,最终回路中的电流达到稳定值,磁场也达到 稳定状态,则圆盘转动的速度也达到稳定值。故C错误; D.可将圆盘看成若干个沿着半径方向的幅条组成,因此在任何时刻都有幅条切割磁感线,故磁场达到稳 定状态后,MN中也产生感应电流,故D错误。 故选A。 7.(2024上·湖北·高三永州市第一中学校联考阶段练习)某同学用“插针法”测定玻璃的折射率。该同学 正确操作后,作出如图甲所示的光路图并测出相关角度α、β,根据得到的多组数据,作出cosβ随cosα变 化的关系图像如图乙所示。若图线的斜率为k,则该玻璃的折射率为( )更多全科试卷,请关注公众号:高中试卷君 A.k B.k2 C. D. 【答案】C 【详解】光从空气进入玻璃发生折射,入射光线和折射光线与法线的夹角分别是入射角和折射角,根据折 射定律有 整理可得 则 随 的图像的斜率为 可得折射率为 故选C。 8.(2024·广东·统考一模)如图(a)为游乐场中的“空中飞椅”项目。“空中飞椅”结构示意图如图 (b),转动轴带动顶部圆盘转动,悬绳一端系在圆盘边缘,另一端系着椅子。若所有椅子质量相等,悬 绳长短不一定相等,忽略悬绳质量与空气阻力,则坐在椅子上的游客与椅子整体随圆盘匀速转动的过程中 ( ) A.任一时刻,所有游客的线速度都相同 B.所有游客做圆周运动的周期都相同更多全科试卷,请关注公众号:高中试卷君 C.悬绳越长,悬绳与竖直方向的夹角就越大 D.悬绳与竖直方向的夹角与游客质量无关 【答案】BCD 【详解】AB.根据题意可知,所有游客为同轴转动,则所有游客做圆周运动的角速度相同,由 可知, 游客做圆周运动的半径不同,线速度大小不同,游客的线速度方向也不同,由 可知,所有游客做圆 周运动的周期都相同,故A错误,B正确; CD.根据题意,设绳长为 ,悬绳与竖直方向的夹角为 ,则有 解得 可知,悬绳与竖直方向的夹角与游客质量无关,悬绳越长, 越小, 越大,即悬绳越长,悬绳与竖直 方向的夹角就越大,故CD正确。 故选BCD。 9.(2024·河南·项城市模拟预测)两点电荷 分别固定在 和坐标原点处,所形成电场的电 势在 轴上的分布如图所示,图线与 轴交于 处, 处电势最低,取无穷远处电势为0,一正电 荷 自 处由静止释放,则( ) A. 处的电场强度为0 B.电荷 所带电量大小之比为更多全科试卷,请关注公众号:高中试卷君 C.正电荷 运动的过程中,加速度先增大后减小 D.正电荷 运动的过程中,电势能先减小后增大 【答案】BD 【详解】A. 图像,斜率表示电场强度,在 处的图像斜率不为零,则电场强度也不为零,故A错误; B. 处图像斜率为零,则满足 所以电荷 所带电量大小之比为 故B正确; C.一正电荷 自 处由静止释放,根据电势变化情况可知,自 处右侧场强方向先沿 轴正方向后沿 轴 负方向,场强先减小为零后反向增大再减小,根据牛顿第二定律,有 可知正电荷 运动的过程中,加速度先减小为零后反向增大再减小,故C错误; D.一正电荷 自 处由静止释放,根据电势变化情况可知,自 处右侧场强方向先沿 轴正方向后沿 轴 负方向,电场力先做正功后做负功,电势能先减小后增大,故D正确。 故选BD。 10.(2024上·河北张家口·高三统考期末)张家口怀来大桥作为交通大动脉,与京张高铁跨官厅湖大桥交 相辉映(如图甲)。其简化模型如下:吊桥由六对钢杆悬吊,六对钢杆在桥面上分列两排,其上端挂在两 根钢缆上,如图乙所示为其一侧面图。已知图中相邻两钢杆间距离为8m,靠桥面中心的钢杆长度为2m (即 ), , ,又已知两端钢缆 、 与水平方向夹角均为37°,若 钢杆、钢缆自重不计,每根钢杆承受拉力相同,桥面总质量为 ,则下列说法正确的是( )更多全科试卷,请关注公众号:高中试卷君 A.每根钢杆的拉力大小为 B.钢缆 中的拉力大小为 C. , D. , 【答案】BC 【详解】A.桥面总质量为 ,每根钢杆拉力均为 ,由平衡条件可得 解得 A错误; B.对左边的悬索受力分析如图1所示, 由平衡条件可得 , 即钢缆 中的拉力大小为 ,B正确; CD.对 点受力分析如图2所示, 由平衡条件可得 由几何关系可得更多全科试卷,请关注公众号:高中试卷君 对 两点整体受力分析如图3所示, 由平衡条件可得 C正确,D错误。 故选BC。 二、非选择题:本题共5小题,共54分。 11.(2024·全国·高三专题练习)两名同学“用DIS研究温度不变时气体的压强跟体积的关系”,实验示意 图如图甲所示,缓慢推动活塞,在使注射器内空气体积逐渐减小的过程中,多次从注射器的刻度上读出体 积值并输入计算机,同时由压强传感器将对应体积的压强值通过数据采集器传送给计算机。实验完成后, 两名同学在计算机屏幕上显示出如图乙所示的①②两条p-V图线。 (1)两组图线经检验均符合反比例关系,由图判断导致①②两组数据差异的原因可能是 。 (填序号) A.两组实验环境温度不同 B.两组封闭气体的质量不同 C.某组器材的气密性不佳 D.某组实验中活塞移动太快 (2)在实验操作过程中,要采取以下做法 是为了保证实验的恒温条件。(填序号) A.用橡皮帽堵住注射器的小孔 B.移动活塞要缓慢 C.实验时,不要用手握注射器 D.在注射器活塞一周涂润滑油更多全科试卷,请关注公众号:高中试卷君 (3)为验证气体的压强p与体积V成反比例关系,还可将图线转化为V (选填“p”或“ ”)图线而得到如图丙所示的一条直线;图线不过坐标原点,则截距中的b代表的是 。 【答案】 AB/BA BC/CB 注射器与压强传感器连接处软管的气体体积 【详解】(1)[1]AB.根据理想气体状态方程 ,整理可得 由曲线可知对于同一 值所对应的 值不同,故两组注射器内气体的p与V的乘积不相等,可知当气体质 量一定时,若两组实验环境温度T不同,pV乘积不等;常数C与气体的质量有关,当两组封闭气体的质量 不同时,pV乘积不等,故AB正确; CD.器材的气密性不佳实验过程中气体质量改变,活塞移动太快,封闭气体内能改变,温度改变,图线不 符合反比例关系,故CD错误。 故选AB。 (2)[2]AD.本实验需要研究的问题是“一定质量气体在温度不变时,压强与体积的关系”,实验中为保 证气体的质量不变,用橡皮帽堵住注射器的小孔,并在注射器光滑活塞一周涂润滑油,防止漏气,即封闭 气体的容器密封良好,故AD错误; BC.为保证气体的温度不变,实验时,移动活塞一定要缓慢,同时不要用手握注射器,否则不能保证实验 条件,故BC正确。 故选BC。 (3)[3][4]根据玻意耳定律 ,整理可得 则 图线为一条直线,根据实验数据画出的 图线不过坐标原点,该图线的方程为 说明注射器中的气体的体积小于实际的封闭气体的体积,结合实验的器材可知,截距b代表注射器与压强 传感器连接部位的气体体积。 12.(2024·浙江嘉兴·统考一模)某兴趣小组想测量一节干电池的电动势和内阻。 (1)小王想用多用电表粗测干电池的电动势和内阻,下列说法正确的是 (单选)更多全科试卷,请关注公众号:高中试卷君 A.多用电表可以粗测电动势,不能粗测内阻 B.多用电表可以粗测内阻,不能粗测电动势 C.多用电表可以粗测电动势和内阻 D.多用电表既不可粗测电动势,也不可粗测内阻 (2)其他同学从实验室找来了以下器材: A.量程 的电压表 B.量程 的电流表 C.滑动变阻器 D.开关、导线若干 ①连接电路如图甲所示,P点应连接在 (填“A”或“B”)点。 ②选择合适量程的器材,正确连接好电路甲,闭合开关前,滑动变阻器滑片应打到最 端(填 “左”或“右”)。 ③实验过程中发现电压表示数变化不大,其可能的原因是 。(写出1条) (3)另一同学提出一种可以准确测量干电池电动势和内阻的方案:如图乙连接电路,闭合开关 ,将开 关 接在 端,调节电阻箱 的阻值,记录多个电压表和电流表的示数,作出 图线,如图丙中图线1 所示,图线1与 轴和 轴的截距分别为 和 。保持开关 闭合,再将开关 接在 端,调节电阻箱 的阻值,记录多个电压表和电流表的示数,作出 图线,如图丙中图线2所示,图线2与 轴和 轴的 截距分别为 和 。从减小电表测量的系统误差角度,电动势的准确值为 ,内阻 的准确值为 。( 都为已知量)更多全科试卷,请关注公众号:高中试卷君 【答案】 A B 右 电源的内阻太小 【详解】(1)[1]多用电表电压挡内阻远大于电源内阻,所以用多用电表电压挡可以粗测电源电动势,而 多用电表电流挡内阻与电源内阻相差不大,所以不能用多用电表电流挡粗测电源内阻,电源内阻太小,也 不能用欧姆挡测量,故A正确,BCD错误。 故选A。 (2)[2] 图甲中,电压表在开关闭合之前测电源电动势,开关闭合之后测路端电压,所以P点应连接在A 点。 [3] 正确连接好电路甲,闭合开关前,滑动变阻器阻值应调至最大,所以滑片应打到最右端。 [4] 电源的内阻太小,会造成电压表示数变化不大。 (3)[5] 开关 接在 端,有 当电流为零时,有 [6] 开关 接在 端,有 当电压为零时,有 所以 13.(2024上·贵州贵阳·高三统考开学考试)在一次救灾中,救援人员乘坐载有救援物资的热气球在距水 平地面 高度处,悬停在空中。救援人员将质量为 的物资水平投出,相对地面的速度大小为 ,经一段 时间落地。已知物资投出后热气球(含救援人员)的总质量为 ,投出物资前后,热气球所受浮力不变, 空气对热气球和物资的阻力可以忽略,物资所受的浮力不计,且物资和热气球(含救援人员)可视为质点, 重力加速度大小为 。 (1)从物资被投出到落地过程,请根据你对物资和热气球(含救援人员)运动情况的分析,在同一坐标更多全科试卷,请关注公众号:高中试卷君 系中定性画出二者在竖直方向分运动的 图像(规定竖直向上为正方向); (2)求物资落地时,热气球(含救援人员)的速度大小。 【答案】(1) ;(2) 【详解】(1)如图 (2)设物资从投出到落的时间为 ,有 投出物资时,热气球的速度为 ,由动量守恒定律有 热气球所受浮力为 ,加速度为 ,由平衡条件和牛顿第二定律有 物资落地时,热气球竖直向上的速度 热气球的速度 联立以上各式得更多全科试卷,请关注公众号:高中试卷君 14.(2024上·广东东莞·高三东莞市东莞中学校联考期中)我国的高铁发展迅速,引领世界。小明同学在 某次乘坐高铁时,利用手机加速度传感器测量动车的加速度,如下图。t=6s时刻开始加速,可以认为加速 1 度随时间均匀增大,t=8s时达到最大加速度 ,并以此加速度在水平面上做匀加速直线运动直至 2 达到最大速度 车厢中水平放置一质量为 的物品,物品始终相对车厢静止。重力加 速度 。求: (1)动车达到最大速度的时刻t; 3 (2)整个匀加速直线运动阶段,动车对该物品的作用力大小及做功的大小。(结果可用根号表示) 【答案】(1)107s;(2) , 【详解】(1)在加速度变化阶段,加速度随时间均匀增大 解得 由 ,解得 动车达到最大速度的时刻 (2)由牛顿第二定律 ,解得更多全科试卷,请关注公众号:高中试卷君 整个匀加速直线运动阶段,动车对该物品的作用力大小 由动能定理得动车对该物品做功的大小为 解得 15.(2024上·江西南昌·高三校考阶段练习)如图1所示,在 坐标系中,两平行极板P、Q垂直于y轴 且关于x轴对称,极板长度和板间距均为l,紧靠极板的右边缘的有界匀强磁场区域由 和矩形 构成,其中 , 。磁场方向垂直于 平面向里,D、A位于y轴上。位于极板左侧的 粒子源沿 轴向右接连发射质量为 、电荷量为 、速度相同的带电粒子,现在 时间内两板间加上 如图2所示的电压,已知 时刻进入两板间的粒子,在 时刻射入磁场时,恰好不会从磁场边界射出磁 场区域且圆心在 轴上,上述 、 、 、 为已知量, ,不考虑P、Q两板电压的变化对磁场的 影响,也不考虑粒子的重力及粒子间的相互影响,求: (1)t=0时刻进入两板间的带电粒子射入磁场时的速度; (2)匀强磁场的磁感应强度的大小及磁场区域的面积; (3)t=t 时刻进入两板间的带电粒子在匀强磁场中运动的时间。 0更多全科试卷,请关注公众号:高中试卷君 【答案】(1) ,与 轴负方向夹角 ;(2) , ;(3) 【详解】解:(1)t=0时刻进入电场的粒子 时刻刚好射出电场,带电粒子沿 轴分速度大小为 轴负方向偏移距离 设粒子离开电场沿 轴负方向的分速度为 ,则有 可知 射入磁场的速度 与 轴负方向夹角 ; (2)设粒子在磁场中做匀变速圆周运动的半径为 ,由几何关系得 得 设 长为 ,则由几何关系得 得更多全科试卷,请关注公众号:高中试卷君 磁场区域的面积为: (2)t 时刻进入两板间的带电粒子在两板间做匀速直线运动。在 时刻沿 轴方向进入磁场,进入磁场 0 后做圆周运动, 设半径为 , 得 由于 ,所以粒子不会从 和 边射出磁场。 粒子在磁场中运动的时间