当前位置:首页>文档>山东省平阴县实验高级中学2025-2026学年高二上学期1月阶段检测地理试卷(含答案)_2024-2025高二(7-7月题库)_2026年1月高二

山东省平阴县实验高级中学2025-2026学年高二上学期1月阶段检测地理试卷(含答案)_2024-2025高二(7-7月题库)_2026年1月高二

  • 2026-03-21 06:40:05 2026-02-18 04:47:29

文档预览

山东省平阴县实验高级中学2025-2026学年高二上学期1月阶段检测地理试卷(含答案)_2024-2025高二(7-7月题库)_2026年1月高二
山东省平阴县实验高级中学2025-2026学年高二上学期1月阶段检测地理试卷(含答案)_2024-2025高二(7-7月题库)_2026年1月高二
山东省平阴县实验高级中学2025-2026学年高二上学期1月阶段检测地理试卷(含答案)_2024-2025高二(7-7月题库)_2026年1月高二
山东省平阴县实验高级中学2025-2026学年高二上学期1月阶段检测地理试卷(含答案)_2024-2025高二(7-7月题库)_2026年1月高二
山东省平阴县实验高级中学2025-2026学年高二上学期1月阶段检测地理试卷(含答案)_2024-2025高二(7-7月题库)_2026年1月高二
山东省平阴县实验高级中学2025-2026学年高二上学期1月阶段检测地理试卷(含答案)_2024-2025高二(7-7月题库)_2026年1月高二
山东省平阴县实验高级中学2025-2026学年高二上学期1月阶段检测地理试卷(含答案)_2024-2025高二(7-7月题库)_2026年1月高二
山东省平阴县实验高级中学2025-2026学年高二上学期1月阶段检测地理试卷(含答案)_2024-2025高二(7-7月题库)_2026年1月高二
山东省平阴县实验高级中学2025-2026学年高二上学期1月阶段检测地理试卷(含答案)_2024-2025高二(7-7月题库)_2026年1月高二
山东省平阴县实验高级中学2025-2026学年高二上学期1月阶段检测地理试卷(含答案)_2024-2025高二(7-7月题库)_2026年1月高二
山东省平阴县实验高级中学2025-2026学年高二上学期1月阶段检测地理试卷(含答案)_2024-2025高二(7-7月题库)_2026年1月高二

文档信息

文档格式
docx
文档大小
3.533 MB
文档页数
11 页
上传时间
2026-02-18 04:47:29

文档内容

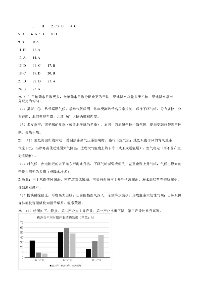
2024 级高二上学期 1 月份阶段检测地理试题 考试范围:高中地理选择性必修一,选择性必修二第一二章; 考试时间:90 分钟 第 I 卷(选择题) 一、单选题(每题 2 分,共 50 分) 摄影爱好者陈老师在五一劳动节当日,从丰城乘坐大巴车历时 2 小时 20 分钟到达江口水库进行风光摄 影旅游。陈老师在前往江口水库途中发现绝大多数时间阳光都从大巴车的右侧车窗照进车内。下图示意从 丰城到江口水库的公路线路以及江口水库位置。完成下面小题。 1. 旅游当日( ) A. 陈老师出发时间可能是上午 9 时 B. 丰城昼长大于夜长 C. 江口水库周边树木正午日影朝南 D. 丰城的正午太阳高度较 4 月 30 日小 2. 为拍摄日落及其在水面倒影的照片,陈老师应该选择的最佳拍摄点是( ) A. 甲 B. 乙 C. 丙 D. 丁 下图为某区域地质结构示意图,地层 O3、S1、S2、S3、D、C 依次由老到新。据此完成下面小题。 3. 甲地构造地貌为( )A. 背斜山 B. 背斜谷 C. 向斜山 D. 向斜谷 4. 东山的形成是由于( ) A. 岩层水平挤压隆起 B. 岩层断裂抬升 C. 岩层抗蚀能力差异 D. 岩浆喷发冷凝 图示意新疆塔河油田一组碳酸盐岩溶洞的发育过程。该组溶洞中地下水的搬运和沉积作用较弱,重力 崩塌和地下水滴落对溶洞演化具有关键作用。完成下面小题。 5. 该组溶洞的发育整体表现为洞穴空间( ) A. 水平扩张 B. 向下扩张 C. 水平收缩 D. 向上扩张 6. 乙、丙洞穴贯通后,在地下水的影响下( ) A. 乙洞扩张减缓,丙洞扩张加快 B. 乙洞扩张加快,丙洞扩张减缓 C. 两个洞穴扩张都加快 D. 两个洞穴扩张都减慢 良渚玉琮是中国新石器时代的重要礼器,其原料主要为透闪石质软玉,一种由白云石和石英混合沉积 后形成的变质岩。下图为岩石圈物质循环示意图。据此完成下面小题。 7. 结合图示,关于制作良渚玉琮的玉料岩石类型及成因说法正确的是( ) A. 丙侵入形成 花岗岩 B. 甲(沉积岩)经区域变质或热液交代形成的 C. 火山喷发形成的乙(玄武岩) D. 生物化学沉积形成的甲(石灰岩) 第 2页/共 9页8. 数字图中箭头所表示的地质作用正确的是( ) A. ①——变质作用 B. ②——外力作用 C. ③——成岩作用 D. ④——重熔再生 锋区附近, 由于锋的下部是冷气团,上部是暖气团, 自下而上通过锋区时会出现气温随高度增高而 增加的现象,称为锋面逆温。锋面逆温多发生于暖锋过境时,逆温层离地的高度与观测点相对于锋线的位 置有关。 下左图为某时刻亚洲部分地区海平面气压分布图, 右图为气温随高度变化示意图,读图完成下 面小题。 9. 图示时刻,最有可能出现降水的地区是( ) A. 甲、 乙 B. 丁、 戊 C. 甲、 丁 D. 乙、 戊 10. 图示时刻,右图中与甲乙丙三地气温垂直变化相符的分别是( ) A. ①②③ B. ①③② C. ③①② D. ③②① 东亚海陆热力差指数是指东亚季风区的陆表温度与副热带西北太平洋的海表温度之差,指数大的年份 夏季风偏强,反之夏季风偏弱。下图为东亚 1960~1999 年夏季海陆热力差指数逐年变化。据此完成下面小 题。 11. 图示时段,东亚地区( ) 第 3页/共 9页A. 陆表温度比海表温度高 B. 陆表与海表温度持续上升 C. 夏季海陆热力差异有固定的周期性变化 D. 夏季海陆热力差异有明显的年际变化 12. 据图推断我国东部季风区( ) A. 1980 年江淮地区降水偏多 B. 夏季风逐年减弱 C. 1961 年华北地区降水偏少 D. 夏季风逐年增强 北黄海以浅水陆架为主,整体呈现北隆南凹的地形特征。在盛行风、地形及黄海暖流残流的作用下, 北黄海夏季表层冷水现象稳定存在。如图为 1982-2023 年北黄海 6 月、7 月、8 月海水等温线空间分布图。 据此完成下面小题。 13. 关于 6~8 月北黄海表层水温状况描述正确的是( ) A. 冷水区出现在东部 B. 近岸水温高于外海 C. 水温南北差异变大 D. 东西整体增温一致 14. 北黄海表层冷水区在 8 月仍然显著存在,主要原因是( ) ①夏季风为离岸风,冷水上泛 ②黄海暖流北侵,阻隔其与外界混合 ③簸箕状陆地轮廓,约束冷水空间分布 ④远离陆地,海水增温缓慢 A. ①②③ B. ①②④ C. ①③④ D. ②③④ 伊利运河西起伊利湖出口处的布法罗,东至哈德孙河沿岸的奥尔巴尼。哈德孙河干流落差小,伊利湖 流向安大略湖形成了著名的落差超过 50 米的尼亚加拉瀑布。下图为伊利运河略图。据此完成下面小题。 第 4页/共 9页15. 哈德孙河与伊利运河接通后,奥尔巴尼附近上游河段水文特点的变化表现为( ) A. 径流总量减小 B. 结冰期变长 C. 含沙量变大 D. 河流流速变慢 16. 伊利运河修建对纽约市影响明显的是( ) A. 增加大气降水 B. 缓解热岛效应 C. 扩大经济腹地 D. 改善市内交通 17. 连接奥尔巴尼 伊利运河取水点没有选择安大略湖,最可能是为了( ) A. 降低开挖成本 B. 实现水体自流 C. 减轻河流结冰影响 D. 技术要求更低 下面四幅图分别示意四座山地南、北坡的植被或气候要素随海拔的变化情况。据此完成下面小题。 第 5页/共 9页18. 从南北半球看,位于不同半球的两座山地是( ) A. 甲和乙 B. 乙和丁 C. 甲和丙 D. 甲和丁 19. 四座山地的共同特征是( ) A. 南坡都 阳坡 B. 南坡都是迎风坡 C. 山顶都有冰川 D. 阳坡都是迎风坡 20. 下列关于甲、丁两山地所在区域的叙述,正确的是( ) A. 分别处于亚热带大陆 东、西两岸 B. 冬季都盛行西南风 C. 河流汛期出现的季节相反 D. 南坡光热条件都优于北坡 下图为城市与其周边地区关系发展过程示意图。读图,完成下面小题。 21. 极化效应( ) A. 只在城市发展的雏形期间出现 B. 直接影响城市扩展轴的方向 C. 促进城市及周边地区经济平衡 D. 是城市产生辐射效应的前提 22. 由城市转变为都市圈的实质在于( ) A. 城市规模扩大 B. 城市拓展方式由轴向变为面状 C. 城市数量增加 D. 城市的辐射效应大于极化效应 23. 长期以来北京市极化效应强。京津冀协同发展战略通过( ) A. 政策引导,强化核心城市辐射效应 B. 资源调配,提高区域整体极化效应 C 交通联系,推动区域经济均衡发展 D. 产业重构,促进中小城镇人口增长 东北黑土区近年来因融雪侵蚀黑土而退化严重,有机质明显下降。表层解冻土壤是受侵蚀的主要物质。 下面左图为某年 3 月 16 日—21 日东北地区某小流域融雪径流量与泥沙含量的变化过程。采取“横坡垄作+ 垄沟秸秆覆盖”的农耕方式,可有效减轻黑土退化。读图完成下面小题。 第 6页/共 9页24. 该流域前期(3 月 16 日—17 日)径流量大,后期(3 月 20 日—21 日)泥沙含量大的成因是( ) ①前期昼夜温差大 ②后期融水少 ③前期土壤解冻少 ④后期土壤冻结浅 A. ①② B. ②③ C. ②④ D. ③④ 25. 采取“横坡垄作+垄沟秸秆覆盖”耕作方式的主要目的是( ) A. 减缓地表径流速度 B. 增大枯枝落叶含量 C. 提高作物种植密度 D. 增加土壤水分蒸发 第Ⅱ卷(非选择题) 二、综合题 26. 读世界某区域气候类型分布图及甲、乙两城市降水资料表,回答下列问题。 月份 1 2 3 4 5 6 7 8 9 10 11 12 第 7页/共 9页降 甲 23 20 24 21 22 21 25 24 19 18 18 21 水 日 乙 18 17 17 9 6 6 8 9 4 8 14 20 数 降 甲 40 382 478 323 228 259 289 218 121 133 170 357 水 乙 270 256 183 50 20 7 11 15 9 67 170 304 量 (1)与乙地相比,归纳甲地的降水特征。 (2)指出图中①所示的气候类型,从气压带、风带的角度分析②气候类型的主要成因并简述其分布规律。 (3)指出丙地森林火灾多发的季节,并从气候角度分析原因。 27. 阅读图文材料,完成下列问题。 材料一:国家气候中心最新监测显示:自 2023 年 5 月赤道中东太平洋进入厄尔尼诺状态以来,关键海 区指数呈现出快速持续增暖趋势,根据预测,此次厄尔尼诺事件将持续到 2024 年春季,或成为 1850 年以 来最暖的年份。 材料二:安第斯山脉属于科迪勒拉山系,位于南美洲的西岸,从北到南全长 8900 余千米,是世界上最 长的山脉,素有“南美洲脊梁”之称。山脉有许多海拔 6000 米以上、山顶终年积雪的高峰。甲图为安第斯 山脉分布图,图中虚线①表示南美洲西海岸一南北走向的洋流,该洋流北侧分布有世界上著名的渔场,渔 业易受极端天气现象的影响,丙图为南美洲南部(45°S 附近)地理环境形成和演变过程示意图。 (1)在安第斯山脉和太平洋之间分布有南北延长的阿塔卡马沙漠,该沙漠地区上升气流极弱,试分析该区 域气流难以上升的原因。 (2)试从海—气相互作用角度,分析 2023 年厄尔尼诺事件可能对①洋流北侧的气候和渔业产生的影响。 第 8页/共 9页(3)位于南美洲南部的巴塔哥尼亚高原东临大西洋,但气候却十分干燥。结合丙图,运用自然环境的整体 性原理,描述该地地理环境的演变过程。 28. 阅读图文资料,回答下列问题 株洲市是湖南省第二大城市,全国首批重点建设的八个工业城市之一,被称为“火车拖来的城市”“中 国电力机车之都”。下表为株洲市不同时期产业结构数据(单位:%)。 第一产 第二产 第三 产 时期 业 业 业 1978 年 33.7 50 16.3 2010 年 9.7 58.5 31.8 2022 年 7.6 47.4 45 (1)选择柱状图或饼状图,绘制株洲市不同时期产业结构统计图,并依据数据说出株洲市产业结构特点。 近年来,株洲市积极推进产业转型升级,由传统工业重镇向创新型工业新城转变,以轨道交通、通用 航空、新能源汽车三大动力产业为引领,加速发展新能源、新材料、电子信息、节能环保、生物医药特色 等五类新兴产业,改造提升陶瓷、服饰两个传统优势产业,构建“3+5+2”的现代产业体系。目前,株洲市 已形成集产品研发、生产制造和营运维保、物流配套于一体的、全球首个千亿规模的轨道交通产业集群。 (2)概括株洲市产业转型升级的主要表现。 都市圈是城市群内部以超大特大城市或辐射带动功能强的大城市为中心、以 1 小时通勤圈为基本范围 的城镇化空间形态。长沙、株洲、湘潭三市通过开通城际铁路、促进产业协同、共建综合物流枢纽、人才 引进互通、生态环境共保共治等措施,积极推进长株潭都市圈建设,进入融合发展新阶段。 (3)简述长株潭都市圈建设对株洲城市发展的助推作用。 第 9页/共 9页1. B 2. C3 B 4. C 5. D 6. A 7. B 8. D 9. D 10. A 11. D 12. A 13. A 14. A 15. D 16. C 17. B 18. C 19. D 20. B 21. D 22. D 23. A 24. B 25. A 26.(1)甲地降水日数更多,全年降水日数分配也更为平均;甲地降水总量多于乙地,甲地降水季节 分配更为均匀。 (2)类型:①:热带草原气候。②地气候成因:常年受副热带高压带控制,盛行下沉气流。分布规律:分 布在南、北回归线至南、北纬 30°大陆内部和西岸。 (3)多发季节:南半球的夏季(或者北半球的冬季)。原因:丙地属于地中海气候,夏季受副热带高压控 制,炎热干燥。 27. (1)地处南回归线附近,受副热带高气压带影响时,盛行下沉气流;地处东南信风的背风地带, 气流下沉;沿岸寒流使近地面大气降温,造成大气温度上热下冷(或形成逆温层),空气稳定(而不易产生 对流现象)。 (2)对气候:赤道附近的太平洋东部海水升温,下沉气流减弱或消失,甚至出现上升气流,气候由原来的 干燥少雨变为多雨(或降水增多). 对渔业:由于东南信风减弱,南赤道暖流减弱,南美洲西海岸上升补偿流减弱,海水表层营养物质减少, 导致渔业减产。 (3)板块碰撞挤压,形成高大山脉;山脉阻挡西风深入,东侧降水减少,形成温带大陆性气候;山脉东侧 森林植被逐渐演化为温带草原、温带荒漠。 28. (1)绘图如下。特点:第二产业为主导产业;第一产业比重下降;第三产业比重升高等。(2)动力产业为主导,发展现代制造业和高新技术产业;改造传统优势产业;推动产业结构多元化;产业 规模扩大、产业集群形成等;产业链延长,产品附加值提高等。 (3)利于发挥比较优势,促进城市分工协作,推动动力产业、新兴产业等的发展等;利于完善交通运输网, 提高对外联通效率和联系强度等;促进城市化进程,完善城市功能,提高辐射能力等。