当前位置:首页>文档>山东省济宁市邹城市第二中学2024-2025学年高二上学期12月考历史试题(含答案)_2024-2025高二(7-7月题库)_2025年01月试卷

山东省济宁市邹城市第二中学2024-2025学年高二上学期12月考历史试题(含答案)_2024-2025高二(7-7月题库)_2025年01月试卷

  • 2026-04-02 05:23:29 2026-02-18 05:36:11

文档预览

山东省济宁市邹城市第二中学2024-2025学年高二上学期12月考历史试题(含答案)_2024-2025高二(7-7月题库)_2025年01月试卷
山东省济宁市邹城市第二中学2024-2025学年高二上学期12月考历史试题(含答案)_2024-2025高二(7-7月题库)_2025年01月试卷
山东省济宁市邹城市第二中学2024-2025学年高二上学期12月考历史试题(含答案)_2024-2025高二(7-7月题库)_2025年01月试卷
山东省济宁市邹城市第二中学2024-2025学年高二上学期12月考历史试题(含答案)_2024-2025高二(7-7月题库)_2025年01月试卷
山东省济宁市邹城市第二中学2024-2025学年高二上学期12月考历史试题(含答案)_2024-2025高二(7-7月题库)_2025年01月试卷
山东省济宁市邹城市第二中学2024-2025学年高二上学期12月考历史试题(含答案)_2024-2025高二(7-7月题库)_2025年01月试卷
山东省济宁市邹城市第二中学2024-2025学年高二上学期12月考历史试题(含答案)_2024-2025高二(7-7月题库)_2025年01月试卷
山东省济宁市邹城市第二中学2024-2025学年高二上学期12月考历史试题(含答案)_2024-2025高二(7-7月题库)_2025年01月试卷
山东省济宁市邹城市第二中学2024-2025学年高二上学期12月考历史试题(含答案)_2024-2025高二(7-7月题库)_2025年01月试卷
山东省济宁市邹城市第二中学2024-2025学年高二上学期12月考历史试题(含答案)_2024-2025高二(7-7月题库)_2025年01月试卷

文档信息

文档格式
doc
文档大小
1.025 MB
文档页数
10 页
上传时间
2026-02-18 05:36:11

文档内容

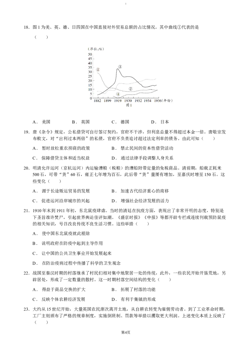
1 高二上学期 12 月质量检测 历史试题 一、选择题(每小题2分,共计60分) 1.西汉《二年律令·田律》定:“收入刍(饲草)藁(禾秆),县各度一岁用刍藁,足其县用,其余令顷 入五十五钱以当刍藁。刍一石当十五钱,藁一石当五钱。刍藁即贵于律,以入刍藁时平贾(评定物 价)入钱。”这反映出西汉政府( ) A.重视基层治理 B.干预经济活动 C.推进货币汇兑 D.维护政权统一 2.有学者认为,距今5000多年前,我国一些地区已出现较为明确的社会分工。下列考古发现能佐证这一 观点的是( ) A.洞穴遗址中出现打制石器 B.居住遗址有明显用火痕迹 C.公共墓地存在多人合葬墓 D.高级墓葬中出土雕花骨筒 3.嘉靖三十九年(1560)《平凉府志》载:“番麦,一名西天麦,苗如葛秫而肥短,末有穗如稻而非实, 实如塔,如桐子大,生节间,花垂红绒在塔末,长五六寸,三月种,八月收。”下列关于“番麦”说 法不正确的是( ) A.明朝时多途径传入中国,并迅速大规模推广 B.改变人们的饮食习惯,深刻影响着日常生活 C.丰富了粮食种类,大幅度提高了粮食总产量 D.适应性强,可以在荒山、丘陵、沙地等地种植 4.下表所示为辣椒在中国的记载情况(部分)。这些记载可用于研究( ) 时间 文献 内容 康熙十年 《山阴志·物产志》 “绿茄,红色状,如笼,可以代积(花椒)” (1671年) “人多务贯,与时逐,以香、糖、果、番椒、苏 康熙十九年 《广东新语》 木、蒲葵请货,此走豫章、吴、渐,西北走长 (1680年) 沙,汉口,其路者南走澳门获大赢利” “番椒,一名番美,花细白,实老红,味绿,能 乾隆二十三年 《安溪县志·药属》 解水族毒,食鱼蟹过多者,或泄泻或胀满,用于 (1758年) 荒汤服” A.物种传播伴随着殖民活动的拓展 B.传统经济结构制约了物种交流 C.外来物种对中国饮食结构的影响 D.辣椒在中国的传播范围和价值 5.熙宁八年(1075)夏,吴越大旱,赵师孟救灾,“民取息钱者,告富人纵与之,而待熟,官为责其 偿。”朱熹也曾几次劝谕上户借贷下户,以度灾荒,官府为债务的偿还作保证。这表明( ) A.官府保护债权人的正当权益 B.富民成社会救助的主体力量 C.政府鼓励民间资本自由流通 D.自然灾害抑制农业生产发展 6.清初谕旨官府织造局确立“买丝招匠”的经营体制。在苏州,一些殷实的机户都受雇于苏州织造局。 他们拥有机张执照,同时预买丝斤,从民间雇募工匠在局里按照规定式样织造缎匹,织作完工后,工 匠可另找其他工作。“买丝招匠”的经营制度( ) A.标志着资本主义生产关系萌芽 B.反映了近代经营方式的出现 第1页1 C.助力民营手工业占据市场主导 D.促进民营手工业进一步发展 7.下表为中国先秦至唐代农业发展的部分成就,这反映出古代中国( ) 时期 先秦 汉代 魏晋 唐代 垄作法都江 翻车耕耙耱技 成就 耦犁龙首渠 曲辕犁筒车 堰 术 A.农业生产注重精耕细作 B.南稻北粟种植格局形成 C.政局稳定推动技术革新 D.农业技术水平领先世界 8.1916年7月,美国总统威尔逊发表演讲:“现在,我们的世界黄金盈余……从这时起,提供贷款和帮 助,在世界范围内发展和平的大企业,就成了我们的事业。我们必须为世界提供大量财政支持,但谁 支持的,谁就应认识它,并按照自己的思想观念来管理它。”威尔逊意在( ) A.体现大国担当维护和平 B.构建美国主导的世界体系 C.全球扩张追求霸权利益 D.输出美国特色的意识形态 9.19世纪的欧洲,松散随意、忙闲交替的工作方式越来越被认为是一个社会问题。富裕者认为:穷人之 所以贫困是因为他们不够自律,没有时间观念。这也加强了一个社会共识,即当工人“进入上班时 间”,他们的时间就属于“买下”其上班时间的老板。这一观念的出现是因为( ) A.资产阶级延长工人工时 B.工业革命促进社会观念变迁 C.技术革命扩大贫富分化 D.中产阶层社会影响日益扩大 10.“新质生产力”是2023年9月习近平总书记在黑龙江考察调研期间首次提到的新词汇,其基本特征是 高科技、高效能和高质量。以下符合“新质生产力”的是( ) A.魏晋南北朝时期的坞堡 B.1765年哈格里夫斯的珍妮纺纱机 C.1946年美国军方研制出世界上第一台电子计算机“埃尼阿克” D.近年来“无人码头”、“无人工厂”纷纷出现 11.受英国传统观念影响,妇女没有独立自主权。后来自由党人对市政选举法案提出 “把缴纳济贫税的 妇女包括在市政选民中”的修正案获得通过,妇女由此获得了市议会的选举权。到工业革命完成之后, 英国已经约有503000名妇女符合地方选举的资格条件。这说明( ) A.英国妇女获得和男子同等的选举权和被选举权 B.英国妇女缴纳济贫税才可以享有地方选举资格 C.工业革命提高了英国妇女的政治地位 D.英国妇女参与地方选举获得大力支持 12.某国际组织致力于“推进国际贸易之平衡发展借以提倡并维持高度之就业与实际收益……提倡汇兑之 稳定,在会员国间维持有秩序之汇兑方法,并避免竞争性之汇兑贬值。”该组织的图标是( ) 第2页1 13.英国东印度公司在成立之初,拥有股份的人未必能获得公司成员身份。1661年英王颁发给东印度公司 新特许状,正式确认按股票数额获得投票表决权的做法。1693年,东印度公司特许状首次明确规定: 凡认购股份者均应无偿成为该公司成员,进而拥有参加股东大会、选举董事等权利。17世纪英国东印 度公司制度的变迁( ) A.有利于资产阶级控制市场 B.得益于英国议会权力扩张 C.加速资产阶级革命的进程 D.反映英国殖民霸权的确立 14.下图反映的是1937年各国工业总产值在世界工业中的占比情况。其中②代表的是( ) A.美国 B.苏联 C.英国 D.德国 15.中唐以前城市实行宵禁,没有夜市;唐朝中后期开始出现灯笼广告;宋朝时灯笼广告广泛被应用于装 饰门面和吸引顾客,酒肆、茶楼中各种灯笼较为常见。这一变化主要反映了( ) A.新型经济模式产生 B.市民生活逐渐丰富多彩 C.门第观念日趋淡化 D.传统民间习俗发生变动 16.20世纪70年代以前,美国推行“自由贸易”政策,致力于让其他国家削减关税。70年代以后,美国 开始推行“公平贸易”政策,对所谓“非公平贸易”的国家实施报复性贸易制裁。这一转变主要基于 ( ) A.美元中心地位完全丧失 B.美国经济霸权不断增强 C.自由放任政策引发危机 D.世界新兴力量逐渐崛起 17.英国东印度公司利用中国开放五口通商之机,雇用园艺学家罗伯特·福钧乔装潜入安徽和福建等茶叶产 区,窃取优质茶籽、茶苗,偷运中国茶叶专家及专用工具,将完整的制茶产业复制到印度喜马拉雅山 区。英国此举的主要目的是( ) A.削弱中国传统贸易优势 B.扶持印度民族经济的发展 C.推动茶叶贸易的全球化 D.促进全球植物物种大交流 第3页1 18.图1为美、英、德、日四国在中国直接对外贸易总额的占比情况。其中曲线①代表的是 ( ) A.美国 B.英国 C.德国 D.日本 19.唐《杂令》规定,公私借贷可自行签订契约,官府不干涉,但利息总量不得超过本金一倍。唐敬宗发 布敕文,对“出利过本两倍”的私债,官府不负责追讨超过法定利率的债务。由此可知( ) A.暂时放松重农抑商的政策 B.禁止民间的资本性借贷活动 C.保障借贷主体和适当权益 D.通过法律手段调整人身关系 20.明清允许运河(京杭运河)内运输漕粮(税粮)的漕船附带定量的免税商品。清前期,船载正耗米 500石,可带“货”60石,雍正七年增为百石,此后带“货”量屡有增加,至嘉庆时增至150石。这 些变化( ) A.源于长途贩运贸易的发展 B.加速古代经济重心的南移 C.促进运河沿岸城市的兴起 D.增强社会经济发展的活力 21.1910年末到1911年初,东北鼠疫肆虐。当时的清廷在抗疫方面,表现出了非常开明的态度,特别是 下圣旨准许焚尸,引起世界舆论佳评如潮。《盛京时报》《申报》等都开辟专栏或连续刊载预防鼠疫 的相关知识,号召改良传统不良生活习惯。这些举措( ) A.使中国东北鼠疫就此根除 B.说明政府在防疫中起到主导作用 C.让中国的公共卫生事业开始发展起来 D.在防治疫病过程中传播了科学的卫生观念 22.战国至秦汉时期的村落继承了村民们相对集中地聚居一处的传统,此外,一些农民开始开垦荒地,另 辟居处,形成了一定数量的散村。这一时期村落空间结构的变化( ) A.得益于商品交换的扩大 B.拓展了村落的功能 C.反映个体农耕经济发展 D.有利于集镇的形成 23.大约从15世纪开始,大量英国农民渐次离开土地,从自耕农转变为雇佣劳动者。到了工业革命时期, 工厂主则颁布了严格的规章制度,实施倒班制、罚款等举措以攫取更大利润。上述变化本质上反映了 ( ) 第4页1 A.生产关系的变革 B.生产管理的科学化 C.生产力大幅提高 D.阶级矛盾尖锐化 24.下图为1945年8月9日发表的漫画《孩子,玩这个美妙的球吧?》:左侧站立者为美国总统杜鲁门, 他的上衣口袋里装着写有“原子”(The Atom)字样的手册,右手拿着原子球正逗引在地球上爬行代 表人(HUMANITY)的婴儿,原子球下面的文字是“生存或死亡”。作者旨在表达( ) A.原子能的出现是一把双刃剑 B.原子能的诞生源于美苏争霸 C.对美国掌握原子能潜在威胁的巨大担忧 D.原子弹的爆炸标志着美国成为世界霸主 25.进入19世纪后,美国的棉花边疆不断向前开拓,从弗吉尼亚到乔治亚,越过密西西比河进入得克萨斯, 最后到整个墨西哥湾平原,至19世纪中期,美国形成了南部约35万平方英里的“棉花王国”。出现 这一现象的原因最有可能是( ) A.棉花种植技术在美国的普及 B.种植园经济适应了美国环境 C.工业革命导致棉花需求增加 D.解放黑奴提供了大量劳动力 26.下图呈现的是“1951—1981年主要资本主义国家国民生产总值年均增长率(单位:%)”(以1950年 为基数,从左至右,依次是联邦德国、美国、日本、法国、英国的有关数据)。以下解读正确的是( ) A.日本经济发展水平一度超过美国等西方国家 B.各国发展不平衡源于国际缺少协调合作 第5页1 C.政府宏观调控与市场调节结合是经济增长重要原因 D.两极格局瓦解与多极化发展为日本赶超提供契机 27.20世纪80年代以来,越来越多的国家实行了金融开放政策,全球金融市场一体化的程度越来越高, 在全球各市场出入的国际投机资本约有7.2万亿美元,相当于全球每年经济总产值的20%,如此大 规模的资本流动几乎不受任何限制。上述现象说明( ) A.金融发展助推国际贸易的繁荣 B.发展中国家对外依赖日益弱化 C.经济全球化进程中的风险增加 D.区域集团化下的利益普惠共享 28.在16—18世纪英国海外殖民活动蓬勃发展的历史背景下,特许公司成为英国进行殖民统治和海外贸易 的主要力量,对推动英帝国的形成做出重大贡献。下列对这些特许公司说法正确的是( ) A.是英国推行自由贸易的急先锋 B.是英国资本原始积累的重要来源 C.主要的经营业务是贩卖黑奴 D.主要依靠武装走私鸦片获取利润 29.下表是英国在19世纪上半叶颁布的一系列法令。这些法令( ) 时间 法令 相关内容 1834 《济贫法修正 取消对无业贫民的一切金钱和实物的救助,避免“鼓励懒惰”, 年 案》 保障生产所需要的自由劳动力 1844 《工厂法》 《工厂法》是调整生产组织内部或生产组织与其他社会经济组织 年 的经济关系的法规 1848 《公共卫生法》 在供水、排污、垃圾处理、住房等问题上规定了政府的责任和义 年 务 A.解决了日益严重的环境问题 B.推动了英国殖民霸权建立 C.适应了资本主义的发展需要 D.形成了国家垄断资本主义 30.二战后期,美国、苏联、英国、中国等国召开了布雷顿森林会议,但直到冷战结束前,苏联是与会国 家中唯一个没有加入国际货币基金组织和世界银行的国家,它也没有在关贸总协定上签字。苏联这些 做法直接导致( ) A.世界货币体系难以形成 B.经济全球化进程逆转 C.苏联错过改革有利时机 D.世界多极化趋势加强 31.材料 油画里的中国工人 第6页1 图1 图2 提取材料信息,对两幅画中塑造的工人形象进行阐释。(12分) 32. 阅读材料,回答问题。 材料一 1570——1649年间抵达马尼拉的中国商船数量与运回白银数量统计表 年代 船只数量 输入白银(万两)) 1570—1579 75 28.5 1580—1589 234 88.9 1590—1599 185 70.3 1600—1609 274 104.1 1610—1619 273 107.3 1620—1629 237 90.1 1630—1639 368 139.3 1640—1649 181 68.6 ——据吴承明《市场·近代化·经济史论》 材料二 隆庆元年(1567年),准贩东西二洋……海澄,水国也,贾杂半,走洋如适市,朝夕皆海供, 酬酌皆夷产。同年,颁布诏令:凡买卖货物,值银一钱以上者,银钱兼使;一钱以下只许用钱。 万历九年(1581年)新法规定:一条鞭法者,总括一州之赋役,量地计丁,丁粮毕输于官……凡额办、 第7页1 派办、京库岁需与存留供亿诸费,以及土贡方物,悉并一条。皆计亩征银折办于官。 ——据《明史》等 材料三 明代中国与世界的现代化进程的趋向性发展是一致的,中国在与全球的互动中前行,为全球 化开端做出了重要的历史性贡献。 ——据万明《明代白银货币化的总体视野》 运用材料一、二并结合所学知识,说明材料三的观点。(14分) 33. 阅读材料,回答问题。 胶济铁路与近代山东 1904年建成通车的胶济铁路,东起青岛站西至济南站,是山东最早的铁路。某班级以“胶济铁路与近 代山东”为主题开展研究性学习,搜集了如下史料。 【资料夹】 ①清末民初,济南老字号瑞蛱祥绸布店,由专营土布转为主要经营洋布、呢绒等。益都(今青州)民 众用洋纱织成的布料做衣服,手纺土布已几不可见。 《胶济铁路经济调查报告》(三)②1905年,胶济铁路运输货物310482吨,到1913年,增加到 946610吨。花生、核桃、豆类等原来只在产地附近销售的农产品均经胶济铁路运往青岛,再经海运输出。 ——《胶济铁路史》 ③益都杨家庄,未有铁路时,是一个偏僻的小村,无商业可言;有了铁路后,成为一个商业繁兴的集 镇。单就烟叶交易一项,每年成交值,约有一百万元。 ——《胶济铁路经济调查报告》(四) ④吾邑人情质实,安土重迁久成习惯,然数十年来,生齿日蕃,物产所入渐有不给之势,(胶济铁路 开通后)则多有远游异域以谋生计者,此亦习俗之稍变于前也。 ——孙维均《安邱续新志卷八风俗考》 ⑤中国传统社会生活节奏缓慢,不讲求精确计时。胶济铁路开通后,司机严格按照规定时间开车与停 车,不可早到或迟到,乘客也严格按照时间出行。 ——赵建修《胶济铁路杂忆》 ⑥清末民初,整个临清(运河沿岸城市)市井萧条,较之全盛之时已然面目全非,聊城、德州的情况 也差不多;1905年青岛的贸易额比1900年增长了4.6倍,1910年青高的贸易总值已在全国各通商口岸中 居第6位。 ——《近代山东沿海通商口岸贸易统计资料》 从资料夹中任选三则材料,围绕主题提炼一个观点,并结合所学知识加以论述。(要求:表述成文,叙述 完整,立论正确,史论结合;逻辑严密、条理清晰)(14分) 第8页1 邹城二中高二上学期 12 月质量检测 历史试题 答案 一、选择题 题号 1 2 3 4 5 6 7 8 9 10 答案 B D A D A D A C B D 题号 11 12 13 14 15 16 17 18 19 20 答案 C A A B B D A B C D 题号 21 22 23 24 25 26 27 28 29 30 答案 D C A C C C C B C C 31【答案】图1作于1954年,中国处于过渡时期(社会主义革命时期),任务是建立社会主义制度,国家 制定了一五计划,优先发展重工业,钢铁工业是国家工业的基础。画中炼钢工人面带笑容簇拥在毛主席周 围,倾听毛主席讲话,体现了当时工人听党话、跟党走,积极投身新中国工业建设的时代面貌。 第9页1 图2完成于1980年,此时国家已经做出改革开放的决策,各领域的改革逐步开始,钢铁工业对国家经济建 设的重要性进一步加强。画中炼钢工人眼神坚定,体型健硕,汗水布满全身,体现了炼钢工人为中国工业 发展而拼搏的奉献精神。 两幅画中塑造的不同工人形象,反映了时代背景变化和社会生活变迁。作者对工人形象的塑造,表达了对 工人群体在中国革命和建设中默默无闻、无私奉献的赞美。总之,时代在变,工人形象在变,但是工人群 体对祖国的热爱不变,乐观、坚毅、积极的品质不变,积极投身祖国建设的初心不变。 32【答案】示例:明代中国农耕经济发展,商品经济繁荣,白银逐渐成为主要货币,民营手工业中产生了 资本主义萌芽。同时期的欧洲,工商业繁荣,资本主义萌芽产生并发展。可见,中国与世界的发展趋向是 一致的,为全球经济的互动奠定了物质基础。 伴随着新航路的开辟和殖民扩张,全球经济联系不断加强,大量白银和物种通过马尼拉大帆船贸易等航线 涌入中国。明政府主动调整海外贸易政策,“隆庆开海”使中国市场与世界市场顺利衔接并相互促进。明 政府颁布诏令,白银成为官方合法货币,张居正改革推行“一条鞭法”,促成白银成为社会上的主导货币。 中国白银的需求量增多,随着国际贸易的发展,大量白银流入中国。可见,中国的变革与世界的发展联系 在一起,以白银为中心的贸易网络,带来了全球经济的互动。 明朝中后期,中国商业贸易发展,且主动变革融人到全球经济贸易中,促进了世界市场的发展,推动了全 球经济体系的初步建构。 。 33【答案】示例1:选择材料①④⑤ 观点:胶济铁路的修建见证了山东民众的社会生活变迁。 鸦片战争后,铁路等新式交通传入中国。 材料①反映了民众日益接受西式的布料及服装等;材料④反映了民众传统的安土重迁思想发生变化;材料 ⑤反映了民众的时间观念发生变化。 胶济铁路的开通对沿线民众的生活习俗、思想观念等都产生了重要影响;促进了社会生活的近代化,推动 了中国向近代社会转型。 第10页