当前位置:首页>文档>河北省新时代NT教育2024-2025学年第一学期12月高三阶段测试数学试卷+答案_2024-2025高三(6-6月题库)_2024年12月试卷_1215河北省新时代NT教育2024-2025学年第一学期12月高三阶段测试

河北省新时代NT教育2024-2025学年第一学期12月高三阶段测试数学试卷+答案_2024-2025高三(6-6月题库)_2024年12月试卷_1215河北省新时代NT教育2024-2025学年第一学期12月高三阶段测试

  • 2026-04-09 11:20:03 2026-02-18 22:24:15

文档预览

河北省新时代NT教育2024-2025学年第一学期12月高三阶段测试数学试卷+答案_2024-2025高三(6-6月题库)_2024年12月试卷_1215河北省新时代NT教育2024-2025学年第一学期12月高三阶段测试
河北省新时代NT教育2024-2025学年第一学期12月高三阶段测试数学试卷+答案_2024-2025高三(6-6月题库)_2024年12月试卷_1215河北省新时代NT教育2024-2025学年第一学期12月高三阶段测试
河北省新时代NT教育2024-2025学年第一学期12月高三阶段测试数学试卷+答案_2024-2025高三(6-6月题库)_2024年12月试卷_1215河北省新时代NT教育2024-2025学年第一学期12月高三阶段测试
河北省新时代NT教育2024-2025学年第一学期12月高三阶段测试数学试卷+答案_2024-2025高三(6-6月题库)_2024年12月试卷_1215河北省新时代NT教育2024-2025学年第一学期12月高三阶段测试
河北省新时代NT教育2024-2025学年第一学期12月高三阶段测试数学试卷+答案_2024-2025高三(6-6月题库)_2024年12月试卷_1215河北省新时代NT教育2024-2025学年第一学期12月高三阶段测试
河北省新时代NT教育2024-2025学年第一学期12月高三阶段测试数学试卷+答案_2024-2025高三(6-6月题库)_2024年12月试卷_1215河北省新时代NT教育2024-2025学年第一学期12月高三阶段测试
河北省新时代NT教育2024-2025学年第一学期12月高三阶段测试数学试卷+答案_2024-2025高三(6-6月题库)_2024年12月试卷_1215河北省新时代NT教育2024-2025学年第一学期12月高三阶段测试
河北省新时代NT教育2024-2025学年第一学期12月高三阶段测试数学试卷+答案_2024-2025高三(6-6月题库)_2024年12月试卷_1215河北省新时代NT教育2024-2025学年第一学期12月高三阶段测试
河北省新时代NT教育2024-2025学年第一学期12月高三阶段测试数学试卷+答案_2024-2025高三(6-6月题库)_2024年12月试卷_1215河北省新时代NT教育2024-2025学年第一学期12月高三阶段测试
河北省新时代NT教育2024-2025学年第一学期12月高三阶段测试数学试卷+答案_2024-2025高三(6-6月题库)_2024年12月试卷_1215河北省新时代NT教育2024-2025学年第一学期12月高三阶段测试
河北省新时代NT教育2024-2025学年第一学期12月高三阶段测试数学试卷+答案_2024-2025高三(6-6月题库)_2024年12月试卷_1215河北省新时代NT教育2024-2025学年第一学期12月高三阶段测试

文档信息

文档格式
pdf
文档大小
1.263 MB
文档页数
11 页
上传时间
2026-02-18 22:24:15

文档内容

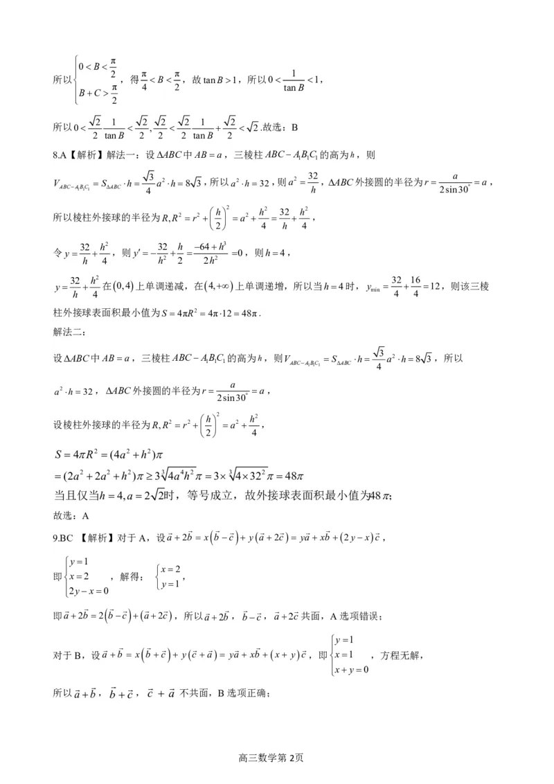
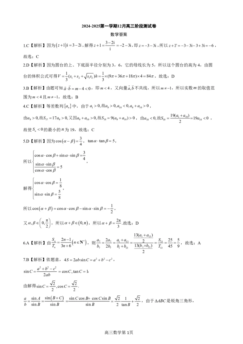
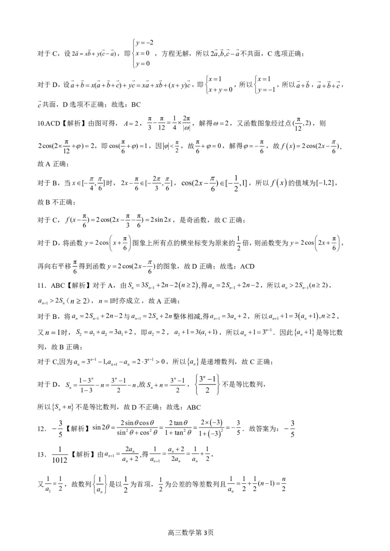
!"!#$!"!%!"#$!%&!&’()*+,- .! /,01!&’!"#$&%"%!&"’(&!"%)! !’*+,-./01.-23! $"234!546(74#874%9#6#"9$:874;<=>?2@A# BC$@DEF4GHI=$ &’!"#$!%&!!)&"*+,$!*!*’($)*"#+!)!$+ -’#!!!!!!.’$#!!!!!!/’$0!!!!!!1’0 !’!",-./01$2345678’,#0#90:;<’%#+=-./0>?’ -’,0! .’#!! /’2!! 1’(#! ,’!"@A" " +!##!"B@A$ " +!&#$!"CD’ED#+F$#0GHIJK -’### .’###L#$$& /’#%$# 1’#%$#L#$# " #’!"MN$O%"&0P%QR’& #S"%"# 3 #$&#+T& #"0UV0 % % & " % &" %0H’ -’&2 .’&( /’&3 1’!" ! , %’!"!# "&!"# "#456!!$ " "+ #789!’789 " +%#+!) " + ! # ! ! ! !! -’ .’ /’ 1’ , # 0 , & !%$& 0’SW-MN$O%"&#%$&0P%QR78’& #’ #%& % + !%& % % % % ’ ,%)0 % " !’"#+ 2 + $ 2 % 2 &2 &% -’ .’ /’ 1’ 3 &! !, !0 2’!"(()*KXDYDZ#D(#)#*[\0]78’"#$#+#&’(()* " 04?##&+"!)$!$+!#+ 0GHIJ’ $ 槡! 槡! 槡! -’!"# 槡!" .’! # 槡!" /’!"# " 1’! #&" ! ! ! ! (’^_Y‘a()*$()* b#34(()*%&()+(*#))(*+ !#SY‘ & & & , a()*$()* 0>?’(槡,#+cY‘adefg4?0UVH’ & & & -’#(! .’,!! /’&0! 1’(! 高三数学!第&页!共#页 书书书J"234!546,74#87409#6&(9$:874;<=2@A#CK @EF4GHI$LM2N=O09#M92N=OM99#C2P=O"9$ 3’S%" "#$ "#+ "&Khi0,-j3#+2Oklbmnohi,-j30p -’" " )!$ "#$ " $+ "#" " )!+ " .’" " )$ "#$ " )+ "#+ " )" " /’!" "#$ "#+ " $" " 1’" " )$ "#" " )$ " )+ "#+ " ! &"’!"q$,!-"+(456!#-) $ "!(%"##%"#*$*# "0r7stus[v# ! +2Owxyz0K ! -’,!-"+!456!!-$ " 0 ! ! .’q$,!-"^($ # )10H{’($&# 槡,) # 0 ! /’q$,!-$ "K|q$ 0 ! & 1’q$,!-"0st}~.+!456!-) "1[p(cid:127)0(cid:128)(cid:129)(cid:130)(cid:131)’(cid:132)(cid:133)0 (cid:134)# 0 ! ! (cid:135)@(cid:136)(cid:137)(cid:138) (cid:139)(cid:140) 0 &&’!"$O%"&0P%QR’& #"+"#L& +,& )!%$!!%+!"#+2O % % & % %$& (cid:141)(cid:142)byz0K -’" %!& .’%")&&KM(cid:143)$O %)& % % /’%"&K(cid:144)(cid:145)$O 1’%&)%&KM(cid:143)$O % % ("QR4!546,74#874%9#6&%9$ &!’S789%+$,#+6*9!%+!!!/ !" &,/!"$O%"&b#"+!L" + % !%&!’"#+" +!!!!/ % & %)& " )! !"!# % &#/^(cid:137)(cid:146)(cid:147)4> ()*0$()*0 b#()+(0+&#(( +!#)(()+ & & & & & & ,," ,," ,," ,," )((0+0"1#)0()+3"1#S(2+-()).(0)!(( #(cid:148)b-#.#!& & & ("#&)#(cid:149)(cid:150)2O(cid:151)-(cid:141)(cid:142)* ,," "S(cid:127)2’** 0b(cid:127)#+*(2*+槡%+ & #S(cid:127)2^(cid:137)4()0(cid:152)#+-).)!+&+ & 槡! $S!+&#+Y‘(cid:153)2$()00>?’ + ( %S(cid:127)2’(* 0b(cid:127)#+(cid:154)4_;(2B)0(cid:155)_/ & & [pyz(cid:141)(cid:142)0(cid:156)(cid:157)K!!!! !(cid:158)[pyz(cid:159)(cid:160)0(cid:156)(cid:157)¡¢^(cid:128);1"/ 高三数学!第!页!共#页>"ST4!546%74#6229$STUV