当前位置:首页>文档>答案_2024-2025高二(7-7月题库)_2024年12月试卷_1212四川省南充高级中学2024-2025学年高二上学期第二次月考(12月)

答案_2024-2025高二(7-7月题库)_2024年12月试卷_1212四川省南充高级中学2024-2025学年高二上学期第二次月考(12月)

  • 2026-03-30 09:44:41 2026-02-19 03:02:50

文档预览

答案_2024-2025高二(7-7月题库)_2024年12月试卷_1212四川省南充高级中学2024-2025学年高二上学期第二次月考(12月)
答案_2024-2025高二(7-7月题库)_2024年12月试卷_1212四川省南充高级中学2024-2025学年高二上学期第二次月考(12月)
答案_2024-2025高二(7-7月题库)_2024年12月试卷_1212四川省南充高级中学2024-2025学年高二上学期第二次月考(12月)
答案_2024-2025高二(7-7月题库)_2024年12月试卷_1212四川省南充高级中学2024-2025学年高二上学期第二次月考(12月)

文档信息

文档格式
pdf
文档大小
1.219 MB
文档页数
4 页
上传时间
2026-02-19 03:02:50

文档内容

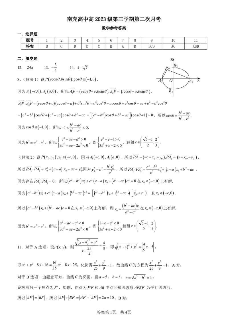
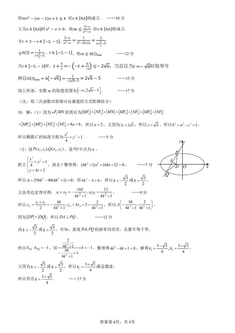
南充高中高 2023 级第三学期第二次月考 数学参考答案 一.选择题 题号 1 2 3 4 5 6 7 8 9 10 11 答案 B C D D C B A D BCD AC ABD 二.填空题 3 12. 24π 13.  14. 4 7 4 8.(解法1)设Pccos,bsin,cos1,0,   因为A c,0,A a,0,所以APccosc,bsin,A P ccosa,bsin . 1 2 1 2   APA Pccoscccosab2sin2c2cos2accosc2cosacb2b2cos2 1 2   c2b2 cos2  c2ca  cosb2ac  c2b2 cosb2accos10,所以cos b2ac .   b2c2 因为cos1,0,所以1 b2ac 0. b2c2  c2aca2 0  e2e10  51 2 因为b2 a2c2,所以 3c2ac2a2 0 ,即 3e2e20 ,解得e   2 , 3    .   (解法2)设Px ,y ,x c,0,因为A c,0,A a,0,所以PA cx ,y ,PA  ax ,y , 0 0 0 1 2 1 0 0 2 0 0   b2x2   c2b2 所以PA PA  x2 ca x ac y2.因为y2 b2 0 ,所以PA PA  x2 ca x b2ac . 1 2 0 0 0 0 c2 1 2 c2 0 0   因为存在PA .PA 0,所以  c2b2 x2c2cax   b2ac  c2 0在x c,0上有解. 1 2 0 0 0 因为  c2b2 x2c2 cax   b2ac  c2   c2b2  x  b 2ac c   x c ,且x c,0, 0 0  0  0 0 所以  c2b2 x 0   b2ac  c0在x 0 c,0上有解,即 x   b2ac  c 在x 0 c,0上有解. 0 b2c2 a2acc2 0 1ee2 0  51 2 因为b2 a2c2,所以 3c2ac2a2 0 ,即 3e2e20 解得e   2 , 3    . x42 y2 4 11.对于A选项,设 ,则  ,即 x42 y2  4 x5 , 25 5 x 5 4 , 16 x2 y2 x2 y2 即x2 y28x16 x28x25,化简得  1,故曲线C的方程为  1,A对; 25 25 9 25 9 对于B选项,由题意可知,曲线C为椭圆,且a5,b3, c a2 b2 4 , 设椭圆另一个焦点为F,如图,由O为FF 和AB中点可知四边形AFBF为平行四边形, 所以 AF  BF ,所以 AF  BF  AF  AF 2a10,B对; 答案第1页,共4页对于C选项,设点Mx ,y 、 ,则Bx,y , 0 0 1 1 1, 1 x2 y2  x2 因为点M 在曲线C上,则 0  0 1,可得y2 91 0 , 25 9 0  25  x2  x2  x2 91 1 91 0  同理y2 91 1 ,所以 y y y y y2y2  25  25 9 ,C错; 1  25 kk  1 0 1 0  1 0   1 2 x x x x x2x2 x2x2 25 1 0 1 0 1 0 1 0 PF 4 对D,由定义知动点到定点F 与它到定直线l距离d满足  , d 5 5 25 所以 PO  PF  PO d,其中d为点P到直线l:x 的距离,即求椭圆上一 4 4 25 点P到O与到直线l:x 距离和的最大值,如图所示:显然当P在椭圆左顶点时, 4 PO 和d同时取得最大值,所以, PO d  55 25  65 ,D对. max 4 4   14.如图,设 ,由题知动点P的轨迹是过OD的终点D且垂直OD的平面, =3 动点Q的轨迹是以线段AB为直径的球M , PQ 的最小值就是球心M 到平面的距离d减去球M 的半径R.   1 O  A  O  B   3O  C  O  C  . DM OC  2   , d     4 OC OC 1  1    2  R AB  OBOA  7, PQ 4  7.故答案为:4 7. 2 2 min 三.解答题 2 2 2 8 15.解:(1)设事件A=“甲前三局都获胜”,事件B=“乙前三局都获胜”,则P(A)    , 3 3 3 27 1 1 1 1 8 1 1 PB    ,比赛只需打三局的概率为:PP(AB)P(A)P(B)   . ……5分 3 3 3 27 27 27 3 2 1 2 2 (2)甲需要打三局的概率为:P  ,甲需要打四局的概率为:P    ,甲需要打五局的概率为: 1 3 2 3 3 9 1 1 2 2 2 2 2 26 P     ,则甲最终获胜的概率为:PP P P     . ……13分 3 3 3 3 27 1 2 3 3 9 27 27 16.解:(1)由C:x32y42 4,则圆心C3,4,半径r 2, 当切线l的斜率不存在时,直线l的方程为x5,符合题意; ……2分 3k45k1 当切线l的斜率存在时,则设切线l的方程为y1kx5,即kxy5k10,所以 2,解得 k21 5 5  5  k  ,此时切线l的方程为 xy5 10,即5x12y370. ……5分 12 12  12 综上所述,切线l的方程为x5或5x12y370. ……7分 答案第2页,共4页(2)设Gx,y,Aa,b, 因为P5,1,Q1,2,G为三角形APQ的重心, a51  x   3 a3x4 所以 ,即 , ……11分 b12  y b3y1  3 由A为圆C上的动点,得a32b42 4,则3x4323y142 4 ……13分 2 2  7 4  7 4 整理得 x  y12  ,即动点G的轨迹方程为 x  y12  . ……15分  3 9  3 9 17.(1)证明:在△PAD中,PAPD,O为AD中点,所以PO AD.因为侧面PAD底面ABCD,平面PAD 平面ABCD AD,PO平面PAD,所以PO平面ABCD. ……6分 (2)解:连接OC,由(1)知PO平面ABCD,且OC 平面ABCD, 1 所以POOC.因为BC∥AD,BC ADOA,所以四边形ABCO为平行四边 2    形.又因为ABAD,所以OC  AD.以O为坐标原点,以OC,OD,OP 为x轴、y 轴、z轴正方向,建立如图所示的空间直角坐标系,则 O0,0,0,P0,0,1,A0,1,0,B1,1,0, ,    0,1,0  所以BD1,2,0,PA0,1,1,PB1,1,1.设平面PAB的一个法向量为nx,y,z , 1 1 1    nPA0 y z 0  则 n    P  B  0 ,即 x 1  1 y 1  1 z 1  0 ,令z 1 1,得x 1 0,y 1 1,平面PAB的一个法向量n0,1,1……12分     BDn 2 10 设直线BD与平面PAB的夹角为,则sin cosBD,n      . ……15分 BD n 5 2 5 18.解:(1)由题意,函数 f x在  1, 2  上单调递减,在区间  2,2  上单调递增,且 f 11 2 3, 1   2 2 f 2  2 2 2, f 22 3,所以函数 f x的最小值为2 2,最大值为3. ……4分 2 2 (2)由题意,关于x的不等式mx2m1x13的解集为R,即不等式mx2m1x20对于xR恒成  m0 立,当m0时,不等式为x20,即x2不恒成立,不符合题意;当m0时,有 ,解 Δm128m0   得32 2m32 2. 综上所述,实数m的取值范围为 32 2,32 2 . ……8分 2 (3)解:对于函数 f xx ,x1,2,由(1)知, f x 3. x max 由题意,对于x 4,6,都有 成立 1 g 1 ≤3+1= 4 答案第3页,共4页即 对 恒成立. ……10分 2 又当 −( −时1) +1 ≤ 4,故 ∈ 4,6 对 恒成立. 2 3− ∈ 4,6 − >0 ≤ 2 − ∈ 4,6 令 , 3− 1 2 2 6 令 =3− ∈ − , 3,−1 − = ,则 −5 +6 = + −5 ……12分 1 ℎ = + 6 −5 ∈ −3,−1 ≤ℎ min 当 时, ,当且仅当 时取等号 6 6 所 以 ∈ −3,−1 + =− − +− ≤−2 6 ……15分 =− 6 1 综上所 ℎ 述 , min 实 = 数 ℎ m − 的取 6 值 = 范 − 围 2 为 6−5  = , 2 2 6 6 − 5 5 . ……17分  (注:用二次函数对称轴讨论最值的方式酌情给分) 19.解:(1)因为FMN的周长为 MF  NF  MN  MF  NF  MF  NF 2 2 2 2 2 1 1  MF  MF  NF  NF 4a8,所以a2,又因为 2c2 3 ,所以c 3,所以b2 a2c2 1, 2 1 2 1 x2 所以椭圆C的标准方程为 y2 1. ……5分 4 (2)设P(x,y ),Q(x ,y ),设PQ中点为A, 1 1 2 2 x2   y2 1 联立 4 ,消去y整理得,(4k21)x216kx120, ……7分  ykx2 3 3 所以256k2 48(4k2 1)0,即4k2 30,所以k 或k  , 2 2 16k 12 又由韦达定理可得,x 1 x 2  4k 21 ,x 1 x 2  4k 21 , ……9分 x x 8k 2  8k 2  所以x  1 2  ,y kx 2 ,所以A , , A 2 4k21 A A 4k21  4k21 4k21 因为 DP  DQ ,所以DA PQ, ……12分 3 3 由k 或k  ,可知,直线DA,PQ的斜率均存在,且都不等于零, 2 2 2 所以k k 1,即 4k21 k 1,整理得4k26k10,解得k  3 5 ,k  3 5 , DA PQ  8k 1 1 4 2 4 4k21 3 3 3 5 又因为k 或k  ,所以k  满足题意, 2 2 2 4 3 5 所以存在k  . ……17分 4 答案第4页,共4页