当前位置:首页>文档>2023年高考全国甲卷化学真题(原卷版)_全国卷+地方卷_5.化学_1.化学高考真题试卷_2023年高考-化学_2023年全国甲卷-化学

2023年高考全国甲卷化学真题(原卷版)_全国卷+地方卷_5.化学_1.化学高考真题试卷_2023年高考-化学_2023年全国甲卷-化学

  • 2026-03-14 18:21:47 2026-03-06 23:03:06

文档预览

2023年高考全国甲卷化学真题(原卷版)_全国卷+地方卷_5.化学_1.化学高考真题试卷_2023年高考-化学_2023年全国甲卷-化学
2023年高考全国甲卷化学真题(原卷版)_全国卷+地方卷_5.化学_1.化学高考真题试卷_2023年高考-化学_2023年全国甲卷-化学
2023年高考全国甲卷化学真题(原卷版)_全国卷+地方卷_5.化学_1.化学高考真题试卷_2023年高考-化学_2023年全国甲卷-化学
2023年高考全国甲卷化学真题(原卷版)_全国卷+地方卷_5.化学_1.化学高考真题试卷_2023年高考-化学_2023年全国甲卷-化学
2023年高考全国甲卷化学真题(原卷版)_全国卷+地方卷_5.化学_1.化学高考真题试卷_2023年高考-化学_2023年全国甲卷-化学
2023年高考全国甲卷化学真题(原卷版)_全国卷+地方卷_5.化学_1.化学高考真题试卷_2023年高考-化学_2023年全国甲卷-化学
2023年高考全国甲卷化学真题(原卷版)_全国卷+地方卷_5.化学_1.化学高考真题试卷_2023年高考-化学_2023年全国甲卷-化学
2023年高考全国甲卷化学真题(原卷版)_全国卷+地方卷_5.化学_1.化学高考真题试卷_2023年高考-化学_2023年全国甲卷-化学
2023年高考全国甲卷化学真题(原卷版)_全国卷+地方卷_5.化学_1.化学高考真题试卷_2023年高考-化学_2023年全国甲卷-化学
2023年高考全国甲卷化学真题(原卷版)_全国卷+地方卷_5.化学_1.化学高考真题试卷_2023年高考-化学_2023年全国甲卷-化学

文档信息

文档格式
docx
文档大小
1.075 MB
文档页数
10 页
上传时间
2026-03-06 23:03:06

文档内容

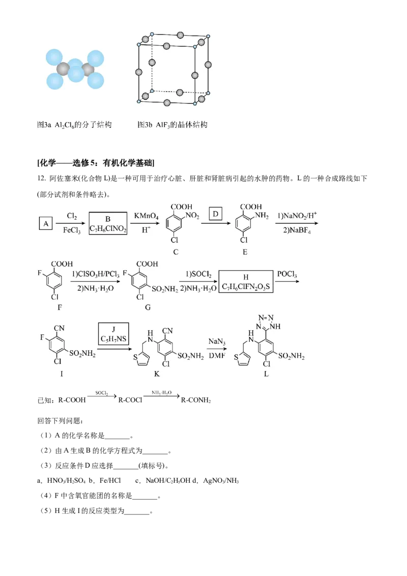
2023 年普通高等学校招生全国统一考试 理科综合能力测试化学部分(全国甲卷) 可能用到的相对原子质量:F 19 Al 27 一、选择题:本题共13小题,每小题6分,共78分。在每小题给出的四个选项中,只有一 项是符合题目要求的。(化学部分为第7~13题) 1. 化学与生活密切相关,下列说法正确的是 A. 苯甲酸钠可作为食品防腐剂是由于其具有酸性 的 B. 豆浆能产生丁达尔效应是由于胶体粒子对光线 散射 C. SO 可用于丝织品漂白是由于其能氧化丝织品中有色成分 2 D. 维生素C可用作水果罐头的抗氧化剂是由于其难以被氧化 2. 藿香蓟具有清热解毒功效,其有效成分结构如下。下列有关该物质的说法错误的是 . A 可以发生水解反应 B. 所有碳原子处于同一平面 C. 含有2种含氧官能团 D. 能与溴水发生加成反应 3. 实验室将粗盐提纯并配制 的 溶液。下列仪器中,本实验必须用到的有 ①天平 ②温度计 ③坩埚 ④分液漏斗 ⑤容量瓶 ⑥烧杯 ⑦滴定管 ⑧酒精灯 A. ①②④⑥ B. ①④⑤⑥ C. ②③⑦⑧ D. ①⑤⑥⑧ 4. 为阿伏伽德罗常数的值。下列叙述正确的是 A. 异丁烷分子中共价键的数目为 B. 标准状况下, 中电子的数目为 C. 的 溶液中 的数目为 D. 的 溶液中 的数目为5. W、X、Y、Z为短周期主族元素,原子序数依次增大,最外层电子数之和为19。Y的最外层电子数与 其K层电子数相等,WX 是形成酸雨的物质之一。下列说法正确的是 2 A. 原子半径: B. 简单氢化物的沸点: C. 与 可形成离子化合物 D. 的最高价含氧酸是弱酸 6. 用可再生能源电还原 时,采用高浓度的 抑制酸性电解液中的析氢反应来提高多碳产物(乙烯、 乙醇等)的生成率,装置如下图所示。下列说法正确的是 A. 析氢反应发生在 电极上 B. 从 电极迁移到 电极 C. 阴极发生的反应有: D. 每转移 电子,阳极生成 气体(标准状况) 7. 下图为 和 在水中达沉淀溶解平衡时的 关系图( ; 可认为 离子沉淀完全)。下列叙述正确的是. A 由 点可求得 B. 时 的溶解度为 C. 浓度均为 的 和 可通过分步沉淀进行分离 D. 混合溶液中 时二者不会同时沉淀 二、非选择题:本题共4小题,共58分。(必做题:26~28题,选做题:35~36题) 8. 是一种压电材料。以 为原料,采用下列路线可制备粉状 。 回答下列问题: (1)“焙烧”步骤中碳粉的主要作用是_______。 (2)“焙烧”后固体产物有 、易溶于水的 和微溶于水的 。“浸取”时主要反应的离子方程式 为_______。 (3)“酸化”步骤应选用的酸是_______(填标号)。 a.稀硫酸 b.浓硫酸 c.盐酸 d.磷酸 (4)如果焙烧后的产物直接用酸浸取,是否可行?_______,其原因是_______。(5)“沉淀”步骤中生成 的化学方程式为_______。 (6)“热分解”生成粉状钛酸钡,产生的 _______。 9. 钴配合物 溶于热水,在冷水中微溶,可通过如下反应制备: 。 具体步骤如下: 。 Ⅰ.称取 ,用 水溶解 Ⅱ.分批加入 后,将溶液温度降至 以下,加入 活性炭、 浓氨水,搅拌下逐 滴加入 的双氧水。 Ⅲ.加热至 反应 。冷却,过滤。 Ⅳ.将滤得的固体转入含有少量盐酸的 沸水中,趁热过滤。 Ⅴ.滤液转入烧杯,加入 浓盐酸,冷却、过滤、干燥,得到橙黄色晶体。 回答下列问题: (1)步骤Ⅰ中使用的部分仪器如下。 仪器a的名称是_______。加快NH Cl溶解的操作有_______。 4 (2)步骤Ⅱ中,将温度降至10℃以下以避免_______、_______;可选用_______降低溶液温度。 (3)指出下列过滤操作中不规范之处:_______。(4)步骤Ⅳ中,趁热过滤,除掉的不溶物主要为_______。 (5)步骤Ⅴ中加入浓盐酸的目的是_______。 10. 甲烷选择性氧化制备甲醇是一种原子利用率高的方法。回答下列问题: (1)已知下列反应的热化学方程式: ① ② 反应③ 的 _______ ,平衡常数 _______(用 表示)。 (2)电喷雾电离等方法得到的 ( 等)与 反应可得 。 与 反应能高选 择性地生成甲醇。分别在 和 下(其他反应条件相同)进行反应 , 结果如下图所示。图中 的曲线是_______(填“a”或“b”。 、 时 的转化率为_______(列 出算式)。(3) 分别与 反应,体系的能量随反应进程的变化如下图所示(两者历程相似,图中以 示例)。 (ⅰ)步骤Ⅰ和Ⅱ中涉及氢原子成键变化的是_______(填“Ⅰ”或“Ⅱ”)。 (ⅱ)直接参与化学键变化的元素被替换为更重的同位素时,反应速率会变慢,则 与 反应的能量变 化应为图中曲线_______(填“c”或“d”)。 (ⅲ) 与 反应,氘代甲醇的产量 _______ (填“>”“<”或“=”)。若 与 反应,生成的氘代甲醇有_______种。 [化学——选修3:物质结构与性质] 的 11. 将酞菁—钴钛—三氯化铝复合嵌接在碳纳米管上,制得一种高效催化还原二氧化碳 催化剂。回答下 列问题:(1)图1所示的几种碳单质,它们互为_______,其中属于原子晶体的是_______, 间的作用力是 _______。 (2)酞菁和钴酞菁的分子结构如图2所示。 酞菁分子中所有原子共平面,其中 轨道能提供一对电子的 原子是_______(填图2酞菁中 原子的标 号)。钴酞菁分子中,钴离子的化合价为_______,氮原子提供孤对电子与钴离子形成_______键。 (3)气态 通常以二聚体 的形式存在,其空间结构如图3a所示,二聚体中 的轨道杂化类 型为_______。 的熔点为 ,远高于 的 ,由此可以判断铝氟之间的化学键为 _______键。 结构属立方晶系,晶胞如图3b所示, 的配位数为_______。若晶胞参数为 ,晶 体密度 _______ (列出计算式,阿伏加德罗常数的值为 )。[化学——选修5:有机化学基础] 12. 阿佐塞米(化合物L)是一种可用于治疗心脏、肝脏和肾脏病引起的水肿的药物。L的一种合成路线如下 (部分试剂和条件略去)。 已知:R-COOH R-COCl R-CONH 2 回答下列问题: (1)A的化学名称是_______。 (2)由A生成B的化学方程式为_______。 (3)反应条件D应选择_______(填标号)。 a.HNO/H SO b.Fe/HCl c.NaOH/C HOH d.AgNO/NH 3 2 4 2 5 3 3 (4)F中含氧官能团的名称是_______。 (5)H生成I的反应类型为_______。(6)化合物J的结构简式为_______。 (7)具有相同官能团的B的芳香同分异构体还有_______种(不考虑立体异构,填标号)。 a.10 b.12 c.14 d.16 其中,核磁共振氢谱显示4组峰,且峰面积比为2:2:1:1的同分异构体结构简式为_______。