当前位置:首页>文档>押北京卷第7题直线和圆(解析版)_2.2025数学总复习_2024年新高考资料_5.2024三轮冲刺_备战2024年高考数学临考题号押题(北京专用)322768321

押北京卷第7题直线和圆(解析版)_2.2025数学总复习_2024年新高考资料_5.2024三轮冲刺_备战2024年高考数学临考题号押题(北京专用)322768321

  • 2026-03-25 01:06:00 2026-03-21 00:28:41

文档预览

押北京卷第7题直线和圆(解析版)_2.2025数学总复习_2024年新高考资料_5.2024三轮冲刺_备战2024年高考数学临考题号押题(北京专用)322768321
押北京卷第7题直线和圆(解析版)_2.2025数学总复习_2024年新高考资料_5.2024三轮冲刺_备战2024年高考数学临考题号押题(北京专用)322768321
押北京卷第7题直线和圆(解析版)_2.2025数学总复习_2024年新高考资料_5.2024三轮冲刺_备战2024年高考数学临考题号押题(北京专用)322768321
押北京卷第7题直线和圆(解析版)_2.2025数学总复习_2024年新高考资料_5.2024三轮冲刺_备战2024年高考数学临考题号押题(北京专用)322768321
押北京卷第7题直线和圆(解析版)_2.2025数学总复习_2024年新高考资料_5.2024三轮冲刺_备战2024年高考数学临考题号押题(北京专用)322768321
押北京卷第7题直线和圆(解析版)_2.2025数学总复习_2024年新高考资料_5.2024三轮冲刺_备战2024年高考数学临考题号押题(北京专用)322768321
押北京卷第7题直线和圆(解析版)_2.2025数学总复习_2024年新高考资料_5.2024三轮冲刺_备战2024年高考数学临考题号押题(北京专用)322768321
押北京卷第7题直线和圆(解析版)_2.2025数学总复习_2024年新高考资料_5.2024三轮冲刺_备战2024年高考数学临考题号押题(北京专用)322768321
押北京卷第7题直线和圆(解析版)_2.2025数学总复习_2024年新高考资料_5.2024三轮冲刺_备战2024年高考数学临考题号押题(北京专用)322768321
押北京卷第7题直线和圆(解析版)_2.2025数学总复习_2024年新高考资料_5.2024三轮冲刺_备战2024年高考数学临考题号押题(北京专用)322768321
押北京卷第7题直线和圆(解析版)_2.2025数学总复习_2024年新高考资料_5.2024三轮冲刺_备战2024年高考数学临考题号押题(北京专用)322768321
押北京卷第7题直线和圆(解析版)_2.2025数学总复习_2024年新高考资料_5.2024三轮冲刺_备战2024年高考数学临考题号押题(北京专用)322768321

文档信息

文档格式
docx
文档大小
0.598 MB
文档页数
12 页
上传时间
2026-03-21 00:28:41

文档内容

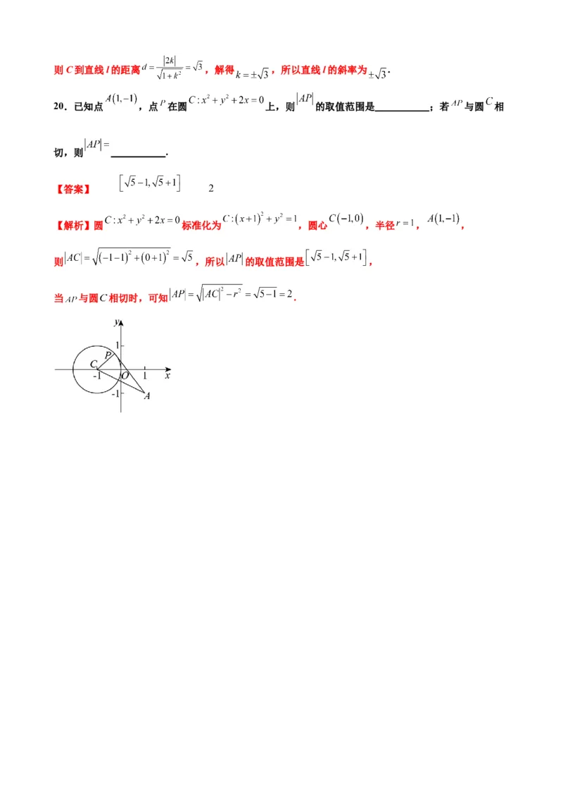
押北京卷 7 题 直线和圆 核心考点 考情统计 考向预测 备考策略 圆的性质 2022·北京卷T3 直线与圆以客观题为主,难度较易或 可以预测2024年新高考命题方向 一般,纵观近几年的新高考试题,分 最值问题 2021·北京卷T9 将继续以直线与圆的问题展开命 别考查圆的性质与直线的位置关系, 题. 及最值问题等知识点,同时也是高考 冲刺复习的重点复习内容。 最值问题 2020·北京卷T5 1.(2022·北京卷T3)若直线 是圆 的一条对称轴,则 ( ) A. B. C.1 D. 【答案】A 【解析】由题可知圆心为 ,因为直线是圆的对称轴,所以圆心在直线上, 即 ,解得 .故选:A. 2.(2021·北京卷T9)已知直线 ( 为常数)与圆 交于点 ,当 变化时,若 的最小值为2,则 A. B. C. D. 【答案】C【解析】由题可得圆心为 ,半径为2, 则圆心到直线的距离 , 则弦长为 , 则当 时, 取得最小值为 ,解得 . 故选:C. 3.(2020·北京卷T5)已知半径为1的圆经过点 ,则其圆心到原点的距离的最小值为( ). A.4 B.5 C.6 D.7 【答案】A 【解析】设圆心 ,则 , 化简得 , 所以圆心 的轨迹是以 为圆心,1为半径的圆, 所以 ,所以 , 当且仅当 在线段 上时取得等号, 故选:A.1. 点到直线的距离公式 点 ,直线 ,点到直线的距离为: 2. 两条平行线间的距离公式 , , 3. 直线与圆的位置关系 直线 ,圆 代数关系 ,几何关系 4. 圆上一点的切线方程 求过某点的圆的切线问题时,应首先确定点与圆的位置关系,再求切线方程.若点在圆上 5. (即为切点),则过该点的切线只有一条;若点在圆外,则过该点的切线有两条,此时注意 斜率不存在的切线. 6.圆与圆的位置关系 设圆 的半径为 ,设圆 的半径为 ,两圆的圆心距为 若 ,两圆外离,若 ,两圆外切,若 ,两圆内切 若 ,两圆相交,若 ,两圆内含,若 ,同心圆 两圆外离,公切线的条数为4条;两圆外切,公切线的条数为3条; 两圆相交,公切线的条数为2条;两圆内切,公切线的条数为1条; 两圆内含,公切线的条数为0条; 7.弦长公式,直线与圆交于A,B两点,设 , ,有:则 或: 1.圆(x-2)2+y2=1上的点到原点距离的取值范围是( ) A.(0,3] B.[0,3] C.[1,3] D.[2,3] 【答案】C 【解析】圆心为(2,0),半径1,所以圆上的点到原点的距离d满足2-1≤d≤2+1,即1≤d≤3. 2.若直线 与圆 相交所得的弦长为 ,则 ( ) A.1 B.2 C.3 D.4 【答案】B 【解析】圆 的圆心坐标为 ,半径为 , 圆心到直线 的距离为 , 由勾股定理得 , ,解得 ,故选B. 3.过圆x2+y2-4x=0上点P(1, )的圆的切线方程为( ) A.x+ y-4=0 B. x-y=0 C.x- y+2=0 D.x=1或x- y+2=0 【答案】C【解析】注意到P(1, )在圆x2+y2-4x=0上, 将点(1, )代入公式(x-2)(x-2)+(y-0)(y-0)=4,得直线方程x- y+2=0. 0 0 4.已知直线 和圆 相交于A,B两点.若 ,则 ( ) A.2 B. C.4 D. 【答案】D 【解析】圆 的圆心为: ,半径为 , 则圆心到直线 的距离为 , 由垂径定理可得 ,故选D. 5.已知直线 ,点 在圆 上运动,那么点 到直线 的距离的最大值为 ( ) A. B. C. D. 【答案】C 【解析】圆 的圆心为 ,半径为 . 则圆心 到直线 : 的距离为: . 所以圆上的点 到直线 : 距离的最大值为: ,故选C 6.若过点 向圆C: 作两条切线,切点分别为A,B,则直线AB的方程为( ) A. B. C. D.【答案】A 【解析】过点 向圆 作两条切线,切点分别为 、 ,则 , 于是点 、 在以 为直径的圆上,而 ,则 的中点为 , , 因此以 为直径的圆 方程为 , 圆 与圆 方程相减,得公共弦 所在直线的方程为 , 所以直线AB的方程为 ,故选A 7.若从圆(x-1)2+(y-1)2=1外一点P(2,3)向这个圆引一条切线,则切线长为( ) A.1 B. C. D.2 【答案】D 【解析】圆心坐标为O(1,1),半径r=1,OP= .因为圆心、切点、点O构成直角三角形,所以切 线长为 =2 8.已知圆 与圆 关于直线 对称,则直线 的方程为( ) A. B. C. D. 【答案】C 【解析】圆 ,圆心 ,半径 , ,圆心 ,半径 , 由题意知, 是圆 和圆 圆心连线的垂直平分线, , , 的中点 , 圆心 连线的斜率为 ,则直线 的斜率为 , 故 的方程: ,即 ,故C正确.故选:C. 9.圆 关于直线 对称的圆的标准方程为( ) A. B. C. D. 【答案】B 【解析】由圆 ,得 , 则圆心坐标为 ,半径为1, 设 关于直线 的对称点为 , 则 ,解得 , 圆 关于直线 对称的圆的标准方程为 . 故选:B. 10.已知半径为1的圆经过点 ,其圆心到直线 的距离的最大值为( ) A. B. C.2 D.3 【答案】D 【解析】设圆的圆心为 ,则 ,即圆的圆心的轨迹是以 为圆心, 为半径的圆, 其中点 到直线 的距离 , 则圆心到直线 的距离的最大值为 ,故选D 11.已知点A(-2,0),B(2,0),点P在圆(x-3)2+(y-4)2=4上运动,则PA2+PB2的最小值是( ) A.14 B.26 C.40 D.58 【答案】B 【解析】设点P(x,y),则PA2+PB2=(x+2)2+y2+(x-2)2+y2=2x2+2y2+8=2OP2+8.因为OP的最小值为 -2=3,所以PA2+PB2的最小值是2×32+8=26. 12.过点 作圆 : 的两条切线,切点分别为 , ,则四边形 的面积为 ( ) A.4 B. C.8 D. 【答案】C 【解析】由 ,得 ,则圆心 , 则 ,则 , 则四边形 的面积为 . 故选:C 13.已知 ,线段 是过点 的弦,则 的最小值为 . 【答案】 【解析】由 ,故点 在圆的内部, 且该圆圆心为 ,半径为 , 设圆心到直线 的距离为 , 由垂径定理可得 ,即 , 故当 取最大值时, 有最小值, 又 , 故 . 14.已知直线l: ,圆C: ,则直线l被圆C所截得的线段的长为 . 【答案】【解析】由已知可得,圆C: 的圆心为 ,半径 , 圆心到直线 的距离为 , 所以,直线与圆相交. 根据垂径定理可得,直线l被圆C所截得的线段的长为 . 15.已知 为坐标原点,点 在圆 上,则 的最小值为 . 【答案】2 【解析】如图, 令 , ,得 , ,即 , , 则当 时, 有最小值为2. 16.若双曲线 的渐近线与圆 相切,则 . 【答案】 【解析】由 可得其渐近线方程为: ,即 ,由 可得: . 依题意,圆心 到直线 的距离 ,解得: ,因 ,故 . 17.写出一个过点 且与圆 相切的直线方程 . 【答案】 或 (答案不唯一,写出一个即可)【解析】依题意,将圆 化为标准方程可得 ,则圆 表示以 为圆心,半径 的圆, 当切线的斜率不存在时,过 的直线 正好与圆 相切; 当切线的斜率存在时,设切线方程为 ,则 ,解得 ,此时切线方程 为 . 由于只需写出一个过点 且与圆 相切的直线方程, 故答案为: 或 (答案不唯一,写出一个即可) 18.设直线 和圆 相交于 , 两点,若 ,则 . 【答案】 / 【解析】方法一: 如图所示,由已知 ,即 , 可得 ,半径 , 又 ,所以 ,即 为等腰直角三角形, 所以圆心 到直线 得距离 ,即 ,解得 ; 方法二:设 , , 又 , 在直线 上,则 , 由 ,即 , 可得 , 联立圆与直线方程 ,得 , ,即 或 , 且 , , 又 , ,且 , 则 , 即 , 解得 , 19.已知圆 ,若过点 的直线l与圆C相交所得弦的长为2,则直线l的斜率 为 . 【答案】 【解析】由 ,可得 ,所以圆心 ,半径 . 由已知得圆心C到直线l的距离 , 易知直线l的斜率存在,设直线l的方程为 ,则C到直线l的距离 ,解得 ,所以直线l的斜率为 . 20.已知点 ,点 在圆 上,则 的取值范围是 ;若 与圆 相 切,则 . 【答案】 【解析】圆 标准化为 ,圆心 ,半径 , , 则 ,所以 的取值范围是 , 当 与圆 相切时,可知 .