当前位置:首页>文档>解密07任意角的三角函数、诱导公式及恒等式(解析版)_2.2025数学总复习_2023年新高考资料_二轮复习_考点2023年高考数学二轮复习讲义+训练(新高考专用)

解密07任意角的三角函数、诱导公式及恒等式(解析版)_2.2025数学总复习_2023年新高考资料_二轮复习_考点2023年高考数学二轮复习讲义+训练(新高考专用)

  • 2026-04-03 02:17:40 2026-03-27 16:47:24

文档预览

解密07任意角的三角函数、诱导公式及恒等式(解析版)_2.2025数学总复习_2023年新高考资料_二轮复习_考点2023年高考数学二轮复习讲义+训练(新高考专用)
解密07任意角的三角函数、诱导公式及恒等式(解析版)_2.2025数学总复习_2023年新高考资料_二轮复习_考点2023年高考数学二轮复习讲义+训练(新高考专用)
解密07任意角的三角函数、诱导公式及恒等式(解析版)_2.2025数学总复习_2023年新高考资料_二轮复习_考点2023年高考数学二轮复习讲义+训练(新高考专用)
解密07任意角的三角函数、诱导公式及恒等式(解析版)_2.2025数学总复习_2023年新高考资料_二轮复习_考点2023年高考数学二轮复习讲义+训练(新高考专用)
解密07任意角的三角函数、诱导公式及恒等式(解析版)_2.2025数学总复习_2023年新高考资料_二轮复习_考点2023年高考数学二轮复习讲义+训练(新高考专用)
解密07任意角的三角函数、诱导公式及恒等式(解析版)_2.2025数学总复习_2023年新高考资料_二轮复习_考点2023年高考数学二轮复习讲义+训练(新高考专用)
解密07任意角的三角函数、诱导公式及恒等式(解析版)_2.2025数学总复习_2023年新高考资料_二轮复习_考点2023年高考数学二轮复习讲义+训练(新高考专用)
解密07任意角的三角函数、诱导公式及恒等式(解析版)_2.2025数学总复习_2023年新高考资料_二轮复习_考点2023年高考数学二轮复习讲义+训练(新高考专用)
解密07任意角的三角函数、诱导公式及恒等式(解析版)_2.2025数学总复习_2023年新高考资料_二轮复习_考点2023年高考数学二轮复习讲义+训练(新高考专用)
解密07任意角的三角函数、诱导公式及恒等式(解析版)_2.2025数学总复习_2023年新高考资料_二轮复习_考点2023年高考数学二轮复习讲义+训练(新高考专用)
解密07任意角的三角函数、诱导公式及恒等式(解析版)_2.2025数学总复习_2023年新高考资料_二轮复习_考点2023年高考数学二轮复习讲义+训练(新高考专用)
解密07任意角的三角函数、诱导公式及恒等式(解析版)_2.2025数学总复习_2023年新高考资料_二轮复习_考点2023年高考数学二轮复习讲义+训练(新高考专用)
解密07任意角的三角函数、诱导公式及恒等式(解析版)_2.2025数学总复习_2023年新高考资料_二轮复习_考点2023年高考数学二轮复习讲义+训练(新高考专用)
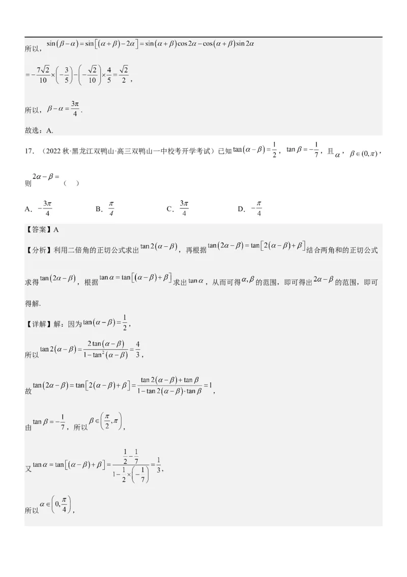
解密07任意角的三角函数、诱导公式及恒等式(解析版)_2.2025数学总复习_2023年新高考资料_二轮复习_考点2023年高考数学二轮复习讲义+训练(新高考专用)
解密07任意角的三角函数、诱导公式及恒等式(解析版)_2.2025数学总复习_2023年新高考资料_二轮复习_考点2023年高考数学二轮复习讲义+训练(新高考专用)
解密07任意角的三角函数、诱导公式及恒等式(解析版)_2.2025数学总复习_2023年新高考资料_二轮复习_考点2023年高考数学二轮复习讲义+训练(新高考专用)
解密07任意角的三角函数、诱导公式及恒等式(解析版)_2.2025数学总复习_2023年新高考资料_二轮复习_考点2023年高考数学二轮复习讲义+训练(新高考专用)
解密07任意角的三角函数、诱导公式及恒等式(解析版)_2.2025数学总复习_2023年新高考资料_二轮复习_考点2023年高考数学二轮复习讲义+训练(新高考专用)
解密07任意角的三角函数、诱导公式及恒等式(解析版)_2.2025数学总复习_2023年新高考资料_二轮复习_考点2023年高考数学二轮复习讲义+训练(新高考专用)
解密07任意角的三角函数、诱导公式及恒等式(解析版)_2.2025数学总复习_2023年新高考资料_二轮复习_考点2023年高考数学二轮复习讲义+训练(新高考专用)
解密07任意角的三角函数、诱导公式及恒等式(解析版)_2.2025数学总复习_2023年新高考资料_二轮复习_考点2023年高考数学二轮复习讲义+训练(新高考专用)
解密07任意角的三角函数、诱导公式及恒等式(解析版)_2.2025数学总复习_2023年新高考资料_二轮复习_考点2023年高考数学二轮复习讲义+训练(新高考专用)
解密07任意角的三角函数、诱导公式及恒等式(解析版)_2.2025数学总复习_2023年新高考资料_二轮复习_考点2023年高考数学二轮复习讲义+训练(新高考专用)
解密07任意角的三角函数、诱导公式及恒等式(解析版)_2.2025数学总复习_2023年新高考资料_二轮复习_考点2023年高考数学二轮复习讲义+训练(新高考专用)
解密07任意角的三角函数、诱导公式及恒等式(解析版)_2.2025数学总复习_2023年新高考资料_二轮复习_考点2023年高考数学二轮复习讲义+训练(新高考专用)
解密07任意角的三角函数、诱导公式及恒等式(解析版)_2.2025数学总复习_2023年新高考资料_二轮复习_考点2023年高考数学二轮复习讲义+训练(新高考专用)
解密07任意角的三角函数、诱导公式及恒等式(解析版)_2.2025数学总复习_2023年新高考资料_二轮复习_考点2023年高考数学二轮复习讲义+训练(新高考专用)
解密07任意角的三角函数、诱导公式及恒等式(解析版)_2.2025数学总复习_2023年新高考资料_二轮复习_考点2023年高考数学二轮复习讲义+训练(新高考专用)
解密07任意角的三角函数、诱导公式及恒等式(解析版)_2.2025数学总复习_2023年新高考资料_二轮复习_考点2023年高考数学二轮复习讲义+训练(新高考专用)
解密07任意角的三角函数、诱导公式及恒等式(解析版)_2.2025数学总复习_2023年新高考资料_二轮复习_考点2023年高考数学二轮复习讲义+训练(新高考专用)
解密07任意角的三角函数、诱导公式及恒等式(解析版)_2.2025数学总复习_2023年新高考资料_二轮复习_考点2023年高考数学二轮复习讲义+训练(新高考专用)
解密07任意角的三角函数、诱导公式及恒等式(解析版)_2.2025数学总复习_2023年新高考资料_二轮复习_考点2023年高考数学二轮复习讲义+训练(新高考专用)
解密07任意角的三角函数、诱导公式及恒等式(解析版)_2.2025数学总复习_2023年新高考资料_二轮复习_考点2023年高考数学二轮复习讲义+训练(新高考专用)
解密07任意角的三角函数、诱导公式及恒等式(解析版)_2.2025数学总复习_2023年新高考资料_二轮复习_考点2023年高考数学二轮复习讲义+训练(新高考专用)
解密07任意角的三角函数、诱导公式及恒等式(解析版)_2.2025数学总复习_2023年新高考资料_二轮复习_考点2023年高考数学二轮复习讲义+训练(新高考专用)
解密07任意角的三角函数、诱导公式及恒等式(解析版)_2.2025数学总复习_2023年新高考资料_二轮复习_考点2023年高考数学二轮复习讲义+训练(新高考专用)
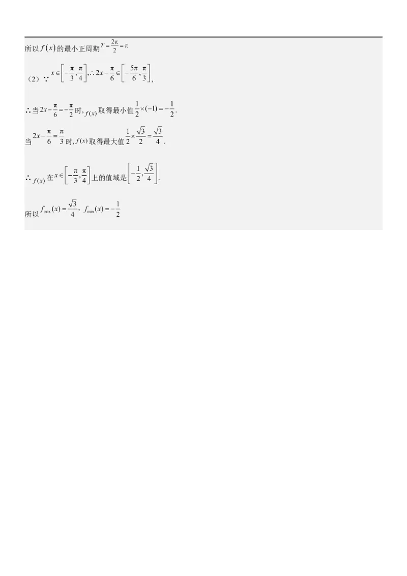
解密07任意角的三角函数、诱导公式及恒等式(解析版)_2.2025数学总复习_2023年新高考资料_二轮复习_考点2023年高考数学二轮复习讲义+训练(新高考专用)
解密07任意角的三角函数、诱导公式及恒等式(解析版)_2.2025数学总复习_2023年新高考资料_二轮复习_考点2023年高考数学二轮复习讲义+训练(新高考专用)
解密07任意角的三角函数、诱导公式及恒等式(解析版)_2.2025数学总复习_2023年新高考资料_二轮复习_考点2023年高考数学二轮复习讲义+训练(新高考专用)
解密07任意角的三角函数、诱导公式及恒等式(解析版)_2.2025数学总复习_2023年新高考资料_二轮复习_考点2023年高考数学二轮复习讲义+训练(新高考专用)
解密07任意角的三角函数、诱导公式及恒等式(解析版)_2.2025数学总复习_2023年新高考资料_二轮复习_考点2023年高考数学二轮复习讲义+训练(新高考专用)
解密07任意角的三角函数、诱导公式及恒等式(解析版)_2.2025数学总复习_2023年新高考资料_二轮复习_考点2023年高考数学二轮复习讲义+训练(新高考专用)
解密07任意角的三角函数、诱导公式及恒等式(解析版)_2.2025数学总复习_2023年新高考资料_二轮复习_考点2023年高考数学二轮复习讲义+训练(新高考专用)
解密07任意角的三角函数、诱导公式及恒等式(解析版)_2.2025数学总复习_2023年新高考资料_二轮复习_考点2023年高考数学二轮复习讲义+训练(新高考专用)
解密07任意角的三角函数、诱导公式及恒等式(解析版)_2.2025数学总复习_2023年新高考资料_二轮复习_考点2023年高考数学二轮复习讲义+训练(新高考专用)
解密07任意角的三角函数、诱导公式及恒等式(解析版)_2.2025数学总复习_2023年新高考资料_二轮复习_考点2023年高考数学二轮复习讲义+训练(新高考专用)
解密07任意角的三角函数、诱导公式及恒等式(解析版)_2.2025数学总复习_2023年新高考资料_二轮复习_考点2023年高考数学二轮复习讲义+训练(新高考专用)
解密07任意角的三角函数、诱导公式及恒等式(解析版)_2.2025数学总复习_2023年新高考资料_二轮复习_考点2023年高考数学二轮复习讲义+训练(新高考专用)
解密07任意角的三角函数、诱导公式及恒等式(解析版)_2.2025数学总复习_2023年新高考资料_二轮复习_考点2023年高考数学二轮复习讲义+训练(新高考专用)
解密07任意角的三角函数、诱导公式及恒等式(解析版)_2.2025数学总复习_2023年新高考资料_二轮复习_考点2023年高考数学二轮复习讲义+训练(新高考专用)
解密07任意角的三角函数、诱导公式及恒等式(解析版)_2.2025数学总复习_2023年新高考资料_二轮复习_考点2023年高考数学二轮复习讲义+训练(新高考专用)
解密07任意角的三角函数、诱导公式及恒等式(解析版)_2.2025数学总复习_2023年新高考资料_二轮复习_考点2023年高考数学二轮复习讲义+训练(新高考专用)
解密07任意角的三角函数、诱导公式及恒等式(解析版)_2.2025数学总复习_2023年新高考资料_二轮复习_考点2023年高考数学二轮复习讲义+训练(新高考专用)

文档信息

文档格式
docx
文档大小
1.964 MB
文档页数
49 页
上传时间
2026-03-27 16:47:24

文档内容

解密07讲:任意角的三角函数、诱导公式与恒等式 【考点解密】 1.角的概念 (1)定义:角可以看成一条射线绕着它的端点旋转所成的图形. (2)分类 (3)相反角:我们把射线OA绕端点O按不同方向旋转相同的量所成的两个角叫做互为相反角.角α的相反角记为 -α. (4)终边相同的角:所有与角α终边相同的角,连同角α在内,可构成一个集合S={β|β=α+k·360°,k∈Z}. 2.弧度制的定义和公式 (1)定义:把长度等于半径长的圆弧所对的圆心角叫做1弧度的角,弧度单位用符号rad表示. (2)公式 角α的弧度数公式 |α|=(弧长用l表示) 角度与弧度的换算 1°= rad;1 rad=° 弧长公式 弧长l=αr 扇形面积公式 S=lr=αr2 3.任意角的三角函数 设α是一个任意角,α∈R,它的终边OP与单位圆相交于点P(x,y),则sin α=y,cos α=x,tan α=(x≠0). 三个三角函数的性质如下表: 第一象限 第二象 第三象 第四象限 三角函数 定义域 符号 限符号 限符号 符号 sin α R + + - - cos α R + - - + tan α {α|α≠kπ+,k∈Z} + - + - 4.同角三角函数的基本关系 (1)平方关系:sin2α+cos2α=1. (2)商数关系:=tan α . 5.三角函数的诱导公式 公式 一 二 三 四 五 六 角 2kπ+α(k∈Z) π+α -α π-α -α +α正弦 sin α -sin α -sin α sin α cos α cos α 余弦 cos α -cos α cos α -cos α sin α -sin α 正切 tan α tan α -tan α -tan α 口诀 奇变偶不变,符号看象限 6.常见特殊角的三角函数值 n 0° 180° 30° 45° 60° 90° 120° 135° 150° 270° 360° π π π π 3π α 0 π 6 4 3 2 2 2π sinα 0 1 0 -1 0 cosα 1 0 -1 0 1 - - - tanα 0 1 -1 0 0 - - 7.两角和与差的余弦、正弦、正切公式 (1) sin(α±β)=sin αcos β±cos αsin β; (2) cos(α±β)=cos αcos β∓sin αsin β; tanα±tanβ (3) tan(α±β)= . 1∓tanαtanβ 8.二倍角公式 (1)基本公式: ①sin 2α=2sin αcos α; ②cos 2α=cos2α-sin2α=2cos2α-1=1-2sin2α; ③tan 2α=. (2)公式变形: 由cos 2α=2cos2α-1=1-2sin2α可得 降幂公式:cos2α=;sin2α=; 升幂公式:cos 2α=2cos2α-1=1-2sin2α.9.辅助角公式 asin x+bcos x=sin(x+θ). (其中 ) =cos(x—φ). (其中 ) 【方法技巧】 1.求三角函数值 (1)利用三角函数的定义,已知角α终边上一点P的坐标可求α的三角函数值;已知角α的三角函数值,也可以求 出角α终边的位置. (2)判断三角函数值的符号,关键是确定角的终边所在的象限,然后结合三角函数值在各象限的符号确定所求三角 函数值的符号,特别要注意不要忽略角的终边在坐标轴上的情况. 2.同角三角函数基本关系式的应用 (1)利用sin2α+cos2α=1可实现正弦、余弦的互化,开方时要根据角α所在象限确定符号;利用=tan α可以实现角 α的弦切互化. (2)应用公式时注意方程思想的应用:对于sin α+cos α,sin αcos α,sin α-cos α这三个式子,利用(sin α±cos α)2=1±2sin αcos α,可以知一求二. (3)注意公式逆用及变形应用:1=sin2α+cos2α,sin2α=1-cos2α,cos2α=1-sin2α. 3.诱导公式 (1)诱导公式的两个应用 ①求值:负化正,大化小,化到锐角为终了. ②化简:统一角,统一名,同角名少为终了. (2)含2π整数倍的诱导公式的应用 由终边相同的角的关系可知,在计算含有2π的整数倍的三角函数式中可直接将2π的整数倍去掉后再进行运算. 如cos(5π-α)=cos(π-α)=-cos α.4.三角函数式化简的常用方法 (1)利用诱导公式,将任意角的三角函数转化为锐角三角函数. (2)切化弦:一般需将表达式中的切函数转化为弦函数. (3)注意“1”的代换:1=sin2α+cos2α=tan. 5.给值求值的解题策略 (1)已知某些角的三角函数值,求另外一些角的三角函数值,要注意观察已知角与所求表达式中角的关系,即拆角 与凑角. ①当“已知角”有两个时,“所求角”一般表示为两个“已知角”的和或差的形式. ②当“已知角”有一个时,此时应着眼于“所求角”与“已知角”的和或差的关系,然后应用诱导公式把“所求 角”变成“已知角”. (2)由于和、差角与单角是相对的,因此解题过程中根据需要灵活地进行拆角或凑角的变换.常见角的变换有: ①α=(α-β)+β; ②α=+; ③2α=(α+β)+(α-β); ④2β=(α+β)-(α-β). 6.已知三角函数值求角的解题步骤 (1)界定角的范围,根据条件确定所求角的范围. (2)求所求角的某种三角函数值.为防止增解最好选取在范围内单调的三角函数. (3)结合三角函数值及角的范围求角. 提醒:在根据三角函数值求角时,易忽视角的范围,而得到错误答案. 7.利用公式T(α±β)化简求值的两点说明 ㈠分析式子结构,正确选用公式形式: T(α±β)是三角函数公式中应用灵活程度较高的公式之一,因此在应用时先从所化简(求值)式子的结构出发,确定是 正用、逆用还是变形用,并注意整体代换. (1)整体意识:若化简的式子中出现了“tan α±tan β”及“tan α·tan β”两个整体,常考虑tan(α±β)的变形公式. (2)熟知变形:两角和的正切公式的常见四种变形: ①tan α+tan β=tan(α+β)(1-tan αtan β);②1-tan αtan β=; ③tan α+tan β+tan α·tan β·tan(α+β)=tan(α+β); ④tan α·tan β=1-. 提醒:当一个式子中出现两角正切的和或差时,常考虑使用两角和或差的正切公式. ㈡化简求值中要注意“特殊值”的代换和应用: 当所要化简(求值)的式子中出现特殊的数值“1”,“”时,要考虑用这些特殊值所对应的特殊角的正切值去代换, 如“1=tan ”,“=tan ”,这样可以构造出利用公式的条件,从而可以进行化简和求值. 【核心题型】 题型一:定义法求三角函数值 1.(2022·吉林延边·高三阶段练习)若点 在函数 的图象上,则 的值为( ) A.0 B. C.1 D. 【答案】D 【详解】由题意知:9= ,解得 =2,所以 ,故选D. 2.(2023秋·湖南长沙·高三湖南师大附中校考阶段练习)已知角 的终边上有一点 ,则 的值为( ) A. B. C. D. 【答案】C 【分析】根据三角函数定义可知 ,再利用三角恒等变换和同角三角函数之间的基本关系即可求得结果. 【详解】角 的终边上有一点 , 根据三角函数定义得 ,所以. 故选:C 3.(2021秋·江苏扬州·高三邵伯高级中学校考阶段练习)已知锐角 终边上一点A的坐标为 ,则 角 的弧度数为( ) A. B. C. D. 【答案】A 【分析】先根据定义得 正切值,再根据诱导公式求解 【详解】 , 又 , 为锐角, ∴ , 故选:A. 题型二:利用三角函数符号判断角所在象限 4.(2017·全国·校联考二模)若 ,则 是( ) A.第一象限角 B.第二象限角 C.第三象限角 D.第四象限角 【答案】D 【分析】运用诱导公式先化简后根据符号定象限. 【详解】 ,即 是第一或第四象限的角, ,即 是第三或第四象限的角, 综上, 是第四象限的角. 故选:D.5.(2019秋·河北衡水·高三统考阶段练习)已知 ,则点P 所在的象限是( ) A.第一象限 B.第二象限 C.第三象限 D.第四象限 【答案】D 【详解】试题分析:∵ ,∴ ,即 是第三象限角,∴ ,∴点P在第四象限. 考点:三角函数值符号判断. 6.(2022·浙江·模拟预测)已知 ,则“ ”是“角 为第一或第四象限角”的( ) A.充分不必要条件 B.必要不充分条件 C.充要条件 D.既不充分又不必要 【答案】B 【分析】利用定义法进行判断. 【详解】充分性:当 时,不妨取 时轴线角不成立.故充分性不满足; 必要性:角 为第一或第四象限角,则 ,显然成立. 故选:B. 题型三:知一求二 7.(2021秋·福建三明·高三三明市第二中学校考阶段练习)已知 , ,则 ( ) A. B. C. D. 【答案】A 【分析】将题设条件等式两边平方,可得 ,再将目标式平方并结合角的范围即可求 . 【详解】 ,则 , 而 ,又 , ∴ ,则 . 故选:A 8.(2022秋·贵州贵阳·高三贵阳一中校考阶段练习)已知 ,则 的值为( )A. B. C. D. 【答案】A 【分析】先把已知的等式平方得到 ,再化简代入即得解. 【详解】由 , 所以 , ∴ , 所以 . 故选:A. 9.(2022秋·安徽滁州·高三校考阶段练习)在三角形 中,已知 , ,若 ,则 的值为__________. 【答案】 或 【分析】由 , 解出A,B,C的正余弦值,将等式化简后代入,解出 . 【详解】因为 , , , , 所以 , , , , . , 即 , 所以 ,解得 或 .故答案为: 或 . 题型四:齐次式法求值 10.(2022秋·辽宁抚顺·高三校联考阶段练习)若 ,则 ( ) A. B. C. D. 【答案】C 【分析】由题意可知 ,根据二倍角公式及同角的三角函数关系可得 ,即可得答案. 【详解】解:因为 , 所以 . 故 . 故选:C. 11.(2022秋·云南昆明·高三校考阶段练习)已知 ,则 ( ) A. B. C. D. 【答案】A 【分析】先对原式利用两角和与差的正余弦公式化简,然后再利用同角三角函数的关系化简变形,再代值计算即 可. 【详解】因为 , 所以, 故选:A 12.(2023·全国·高三校联考阶段练习)已知 ,则 ( ) A. B. C. D. 【答案】B 【分析】利用诱导公式化简已知等式可求得 ,结合二倍角公式,由正余弦齐次式的求法可求得结果. 【详解】由 得: , 即 , , . 故选:B. 题型五:整体代换法诱导公式化简求值 13.(2014·高三课时练习)已知 ,则 的值是( ) A. B. C. D. 【答案】C 【分析】由 可得 ,化简则 ,从而 可得结果.【详解】 , ,故选C. 【点睛】三角函数求值有三类,(1)“给角求值”:一般所给出的角都是非特殊角,从表面上来看是很难的,但仔细 观察非特殊角与特殊角总有一定关系,解题时,要利用观察得到的关系,结合公式转化为特殊角并且消除非特殊 角的三角函数而得解.(2)“给值求值”:给出某些角的三角函数式的值,求另外一些角的三角函数值,解题关键在 于“变角”,使其角相同或具有某种关系.(3)“给值求角”:实质是转化为“给值求值”,先求角的某一函数值, 再求角的范围,确定角. 14.(2022·四川遂宁·射洪中学校考模拟预测)已知 ,则 等于( ) A. B. C. D. 【答案】D 【分析】由 ,然后根据正切的和差公式求解即可. 【详解】解: , , . 故选:D. 15.(2023·全国·高三专题练习)已知 ,且 ,则 ______. 【答案】 【分析】根据诱导公式进行三角恒等变换,根据已知三角函数值和角的范围进一步细化角的范围,再利用同角的三角函数基本关系式即可求解. 【详解】 , 又 , 所以 , 又 , 所以 , 所以 为负值, 所以 . 故答案为: . 题型六:给值求角 16.(2022秋·山东青岛·高三青岛二中校考期中)已知 , , , , 则 ( ) A. B. C. D. 【答案】A 【分析】求出 的取值范围,利用同角三角函数的基本关系以及两角差的正弦公式求出 的值,即可 得解. 【详解】因为 ,则 ,因为 ,则 ,可得 , 因为 ,则 , , 所以, , ,所以, , 所以, . 故选:A. 17.(2022秋·黑龙江双鸭山·高三双鸭山一中校考开学考试)已知 , ,且 , , 则 ( ) A. B. C. D. 【答案】A 【分析】利用二倍角的正切公式求出 ,再根据 结合两角和的正切公式 求得 ,根据 求出 ,从而可得 的范围,即可得出 的范围,即可 得解. 【详解】解:因为 , 所以 , 故 , 由 ,所以 , 又 , 所以 ,故 , 所以 . 故选:A. 18.(2022·河南·安阳一中校联考模拟预测)已知 ,且 , 求 的值为_____. 【答案】 ## 【分析】注意到 ,利用诱导公式和两角和的正弦公式求解,注意 范围的确定. 【详解】 ,则 ,注意到 ,于是 ,不妨记 ,于是 ,而 ,于是 (负值舍去),又 ,则 (正值舍去),于是计算可得: ,而 ,于是 . 故答案为: . 题型七:利用三角函数恒等变换解决三角函数性质问题19.(2023·全国·高三专题练习)以下关于 的命题,正确的是( ) A.函数 在区间 上单调递增 B.直线 是函数 图象的一条对称轴 C.点 是函数 图象的一个对称中心 D.将函数 图象向左平移 个单位,可得到 的图象 【答案】D 【分析】根据三角函数恒等变换化简 为 ,计算出 ,根据正弦函数的单调性,可判断A;采用代入验证的方法可判断 ;根据三角函数的平移变换 可得平移后的函数解析式,判断D. 【详解】由题意得 , 当 时, ,由于函数 在 不单调, 故函数 在区间 上不是单调递增函数,A错误; 当 时, ,故直线 不是函数 图象的对称轴,B错误; 当 时, ,故点 不是函数 图象的对称中心,C错误; 将函数 图象向左平移 个单位,可得到 的图象,D正确, 故选:D20.(2021秋·陕西榆林·高三陕西省神木中学校考阶段练习)函数 的最小值 为( ) A. B. C. D.0 【答案】A 【分析】利用三角函数恒等变换的应用可求函数解析式为 ,由 ,根据正弦函数的性质 即可求解最小值. 【详解】解: , 因为 ,所以 ,则函数 的最小值为 . 故选:A. 21.(2021秋·北京昌平·高三昌平一中校考期中)已知函数 . (1)求 的值; (2)求函数的 最小值及相应的 值; (3)若 ,求函数 的增区间(直接写出结论). 【答案】(1) (2)当 , 时,函数 取得最小值为 (3)【分析】(1)利用二倍角公式,两角和的正弦公式化简函数解析式可得 ,再求值即可. (2)令 , ,即可得解. (3)利用正弦函数的单调性即可求解. 【详解】(1) , , , ; (2)令 , , 解得 , , 即 , 时,函数 取得最小值为 . (3)令 , , 解得 , , 又 , 函数 的增区间为 . 题型八:三角恒等变换与平面向量结合问题 22.(2022秋·广东·高三校联考阶段练习)已知向量 ,若 ,则 ( ) A. B. C. D.【答案】D 【分析】根据向量垂直得出 ,根据 ,以及正弦、余弦倍角公式即可求解. 【详解】因为 , 所以 , 所以 , 结合 , 得 , , , 又 , 所以 , 所以原式 . 故选:D. 23.(2022春·上海金山·高一上海市金山中学校考期末)已知向量 . (1)若 ,求 ; (2)若 ,求函数 的单调增区间. 【答案】(1) ;(2) . 【分析】(1)由 列方程化简可求得结果; (2)由向量的数量积运算结合三角函数恒等变换公式可得 ,由 可求出 函数的增区间. 【详解】(1)因为 ,且 , 所以 , 由上式可知 ,所以 ; (2) , 令 ,得 , 所以函数 的单调增区间为 . 24.(2020秋·吉林·高三校考期中)已知向量 且 (1)用 表示 及 . (2)求函数 的最小值及 的值. 【答案】(1) , (2)最小值为-1,此时 【分析】(1)利用向量数量积运算公式及三角恒等变换得到 ,再由向量线性运算法则及 模长公式求出 ; (2)在第一问的基础上,化简得到 ,结合 ,求出 的最小值,及此时 的值. 【详解】(1) , , 故, 因为 ,所以 , 所以 ; (2) , 因为 , ,且 单调递减, 故当 , 时, 取得最小值,且最小值为 . 【高考必刷】 一、单选题 1.(2023·全国·高三专题练习)已知 ,则 的终边在( ) A.第一象限 B.第二象限 C.三象限 D.第四象限 【答案】D 【分析】两边平方得 ,进而得 或 , ,,再分 为偶 数和 为奇数两种情况讨论求解即可. 【详解】解:由 ,平方得: ,则 ,即 , 则 或 , ,即有 或 , , 当 为偶数时, 位于第二象限, , , ,不成立, 当 为奇数时, 位于第四象限, , ,成立. ∴角 的终边在第四象限. 故选:D. 【点睛】本题考查正弦的二倍角公式,根据三角函数的符号求角的范围,考查运算求解能力,分类讨论思想,是中档题.本题解题的关键在于根据题意得 ,进而根据函数符号得 的范围,再分类讨论求解. 2.(2023·全国·高三专题练习)已知点 在第一象限,则在 内的 的取值范围是( ) A. B. C. D. 【答案】B 【解析】由第一象限点的坐标的符号列出三角函数的不等式,根据三角函数的性质求解,结合 ,求出角 的取值范围. 【详解】由已知点 在第一象限得: , ,即 , , 当 ,可得 , . 当 ,可得 或 , . 或 , . 当 时, 或 . , 或 . 故选:B. 【点睛】本题的考点是利用三角函数性质求三角函数的不等式,需要根据题意列出三角函数的不等式,再由三角 函数的性质求出解集,结合已知的范围再求出交集,属于中档题. 3.(广东省河源市2022-2023学年高三上学期期末数学试题)已知角 的顶点为坐标原点,始边与 轴的非负半 轴重合,终边过点 ,则 ( ) A. B. C. D. 【答案】D 【分析】利用三角函数定义和诱导公式六得出点 与角 的关系,再利用诱导公式一即可计算出结果.【详解】因为 ,得到点 在第四象限,即 为第四象限角, 由三角函数定义得 , 所以 , 所以 . 故选:D. 4.(2022秋·四川内江·高三威远中学校校考阶段练习)若 ,则 ( ) A. B. C. D. 【答案】A 【分析】由二倍角公式可得 ,再结合已知可求得 ,利用同角三角函数的基本 关系即可求解. 【详解】 , , , ,解得 , , . 故选:A. 【点睛】关键点睛:本题考查三角函数的化简问题,解题的关键是利用二倍角公式化简求出 . 5.(2021秋·广东梅州·高三梅州市梅江区梅州中学校考阶段练习)已知 ,则 . A. B. C. D. 【答案】A【详解】 . 所以选A. 【点睛】本题考查了二倍角及同角正余弦的差与积的关系,属于基础题. 6.(2022·全国·高三专题练习)若 ,则 ( ) A. B. C. D.3 【答案】A 【分析】先根据诱导公式化简得 ,再结合半角公式整理得 . 【详解】由诱导公式化简整理得: , 由于 , 所以 故选:A 【点睛】本题考查诱导公式化简,半角公式,同角三角函数关系,考查运算求解能力,本题解题的关键在于寻找 与 之间的关系,从半角公式入手化简整理.考生需要对恒等变换的相关公式熟记. 7.(2021·全国·高三专题练习)已知 ,则 ( )A. B. C. D. 【答案】C 【解析】由所给等式利用同角三角函数的关系可求得 ,再利用降幂公式及二倍角公式将 整理为 ,代入相应值即可得解. 【详解】由 可得 所以 ,即 ,即 故选:C 【点睛】关键点睛:本题考查同角三角函数的关系、降幂公式、二倍角公式,解答本题的关键是由条件有 ,从而可得 ,由 可解,属 于中档题. 8.(2020秋·江苏苏州·高三校联考阶段练习)已知向量 ,且 ,则 的 值为( ) A.1 B.2 C. D.3 【答案】A 【分析】由 ,转化为 ,结合数量积的坐标运算得出 ,然后将所求代数式化为 ,并在分子分母上同时除以 ,利用弦化切的思想求 解. 【详解】由题意可得 ,即 . ∴ , 故选A.【点睛】本题考查垂直向量的坐标表示以及同角三角函数的基本关系,考查弦化切思想的应用,一般而言,弦化 切思想应用于以下两方面: (1)弦的分式齐次式:当分式是关于角 弦的 次分式齐次式,分子分母同时除以 ,可以将分式由弦化为 切; (2)弦的二次整式或二倍角的一次整式:先化为角 的二次整式,然后除以 化为弦的二次分式齐次 式,并在分子分母中同时除以 可以实现弦化切. 9.(2023秋·江西·高三校联考阶段练习)若 是第二象限角,且 ,则 ( ) A. B. C. D. , 【答案】D 【分析】由已知和 求出 ,再代入两角和的正切展开式可得答案. 【详解】 是第二象限角,所以 , , 由 , 得 , , 所以 ,则 . 故选:D. 10.(2022·陕西西安·西安市第三十八中学校考一模)若 ,则 ( ) A.3 B. C.2 D.4 【答案】A 【分析】根据正切两角差公式,凑角得 的值,再将所求式子利用平方公式和正弦二倍角公式化成齐次式,再 利用商数关系,化成含 的式子,代入求值即可. 【详解】解:因为 ,所以 . 故选:A. 11.(2022秋·重庆南岸·高三重庆市第十一中学校校考阶段练习)曲线 在 处的切线的倾斜角为 , 则 ( ) A. B. C. D.2 【答案】B 【分析】由导数的几何意义求出曲线 在 处的切线的斜率,由此可得 ,再结合二倍角公式和同角 关系求 . 【详解】因为 在 处的切线的倾斜角为 , 所以 ,又 , 所以 , 所以 , 所以 , 故选:B. 12.(2022秋·河南郑州·高三温县第一高级中学校联考阶段练习)已知 , ,则 ( ) A. B. C. D. 【答案】A 【分析】先求出 ,再分析得到 ,即得解. 【详解】解: ,所以 ∵ , , ∴ . ∴ . 故选:A. 13.(2022秋·山东·高三校联考阶段练习)设 ,则 ( ). A. B. C. D. 【答案】C 【分析】根据切化弦公式及逆用二倍角公式求解即可. 【详解】解: , 故选:C. 14.(2018·高三课时练习)已知在 ABC中,cos =- ,那么sin +cosA=( ) △ A. B.- C. D. 【答案】B 【详解】因为cos =- ,即cos =- ,所以sin =- ,则sin +cosA=sinAcos + cosAsin +cosA= sin =- .故选B. 15.(2022秋·江苏南通·高三江苏省如东高级中学校考阶段练习)已知 ,则( ) A. B. C. D. 【答案】D 【分析】对 进行通分化简,再左右两边同时平方且 求出 ,进而得到答案 【详解】 , , , , , . , , , , 故选:D. 16.(2022秋·广西钦州·高三校考阶段练习)已知 ,且 ,则 ( ) A. B. C. D. 【答案】D【分析】设 ,化简得到 , ,代入计算得到答案. 【详解】设 , ,则 , , 即 , , , 故 , . 故选:D 17.(2023秋·河南·高三安阳一中校联考阶段练习)若 , 是第二象限的角,则 ( ) A. B. C.2 D.-5 【答案】D 【分析】先通过三角恒等变换构造齐次式求出 ,再估算 的范围,进而求得结论. 【详解】解: , 整理得 , 解得 或 , ∵ 是第二象限的角, , , , , ∴ 原式 .故选:D. 18.(2023·湖南湘潭·统考二模)已知 ,则( ) A. B. C. D. 【答案】D 【分析】直接利用三角函数恒等变换进行凑角化简,再根据 , 的范围即可求出结果. 【详解】由已知可将 , , 则 , , ,即 或 . 又 ,所以 , 所以 ,所以选项A,B错误, 即 ,则 ,所以 .则C错,D对, 故选:D 19.(2022·全国·高三专题练习)已知 、 都是锐角,且 , ,那么 、 之间的关系是( ) A. B. C. D. 【答案】D 【分析】推导出 ,可得出 ,求出 的取值范围,即可得解.【详解】因为 ,则 , 所以, , 因为 、 都是锐角,由题意可得 , 所以, , 所以, , 因为 、 都是锐角,则 且 ,则 , 所以, ,因此, . 故选:D. 20.(2023·全国·高三专题练习)已知函数 ,若函数 在 上单调 递减,则 不能取( ) A. B. C. D. 【答案】A 【分析】化简 ,得 ,求出函数 的单调递减区间为 ,再根 据 ,得 , ,再分别令 , , , 求 出整数 ,由此可得答案. 【详解】因为 , 由 , , 得 , ,所以函数 的单调递减区间为 . 又函数 在 上单调递减,所以 , 所以 , ,因为 ,所以 , , 当 时,得 ,得 ,不成立;所以 不可取; 当 时,得 ,得 ,因为 ,所以 时, 可取到; 当 时,得 ,得 ,因为 ,所以 时, 可取到; 当 时,得 ,得 ,因为 ,所以 时, 可取到. 综上所述: 不能取 . 故选:A 21.(2023秋·广西河池·高三统考期末)已知函数 ,则下列说法正确的是 ( ) A. 的一条对称轴为 B. 的一个对称中心为 C. 在 上的值域为 D. 的图象可由 的图象向右平移 个单位得到 【答案】C 【分析】化简可得 ,利用代入检验法可判断AB的正误,利用正弦函数的性质可判断C的正误, 求出平移后的解析式可判断D的正误. 【详解】 ,因为 ,故 不是对称轴,故A错误. , 不是 的一个对称中心, 故B错误. 当 时, ,故 , 所以 ,即 在 上的值域为 , 故C正确. 的图象向右平移 后对应的解析式为 , 当 时,此时函数对应的函数值为 ,而 , 故 与 不是同一函数,故D错误. 故选:C. 22.(2022秋·河南·高三校联考阶段练习)已知函数 在 内有且仅有1个 零点,则 的取值范围是( ) A. B. C. D. 【答案】D 【分析】利用三角恒等变换化简 ,再根据余弦函数的图像和性质求解即可. 【详解】由题意得 当 时, ,因为 在 内有且仅有1个零点, 所以 ,解得 , 故选:D 23.(2022秋·甘肃兰州·高三兰州一中校考阶段练习)已知:函数 ,则下列说法错 误的是( ) A.将 的图像向右平移 个单位长度得 的图像 B. 在 上的值域为 C.若 ,则 , D. 的图像关于点 对称 【答案】C 【分析】对函数化简变形得 ,再利用正弦函数的图像与性质依次判断选项即可. 【详解】化简 对于A,将 的图像向右平移 个单位长度得 ,故A正确; 对于B, , , ,故B正确; 对于C, 的最小正周期为 ,故 ,则 , ,故C错误; 对于D, ,故 的图像关于点 对称,故D正确; 故选:C二、多选题 24.(2022秋·福建·高三统考阶段练习)已知 为锐角,且 ,则( ) A. B. C.若 ,则 D.若 ,则 【答案】BC 【分析】利用两角和差正弦公式化简已知等式可求得 ,知A错误;由 的范围可求得 ,结合 的范围可知B正确;由已知等式可求得 ,利用同角三角函数平方关 系可构造方程求得 的值,知C正确;利用二倍角正切公式化简 可求得 ,进而知D错误. 【详解】由 得: , ; 对于A,由 得: ,A错误; 对于B, , , , , 则 ,解得: , 又 , ,B正确; 对于C, , , , , , ; ,又 , ,, , ,C正确; 对于D, , , , , ,解得: , ,则 , ,D错误. 故选:BC. 25.(2023秋·吉林长春·高三长春市第二中学校考期末)已知 , ,若 与 共 线,则下列说法错误的是( ) A.将 的图象向左平移 个单位得到函数 的图象 B.函数 的最小正周期为 C.直线 是 的一条对称轴 D.点 是 的一个对称中心 【答案】BCD 【分析】由已知可得 .根据平移变换得出解析式,即可判断A项;根据周期公式求出函数 的最小正周期,即可判断B项;整理代入即可判断C、D项. 【详解】因为 与 共线,所以 , 所以 . 对于A项,将 的图象向左平移 个单位得到函数 ,故A项说法正 确;对于B项,因为 ,所以 ,故B项说法错误; 对于C项,因为 ,所以直线 不是 的对称轴,故C项说法错误; 对于D项,因为 ,所以点 不是 的对称中心,故D项说法错误. 因本题选择的是说法错误的,所以应当选择BCD. 故选:BCD. 26.(2022·浙江·模拟预测)已知向量 , , ,函数 的最小 正周期是 ,则( ) A. B. 在 上单调递减 C. 的图象向左移 个单位,图像关于 轴对称 D. 取最大值时,x的取值集合为 【答案】BD 【分析】化简 ,根据最小正周期是 可得 ,从而得到 ,再根据正弦型函数的单 调性、图像平移与对称性,结合对称轴方程逐个判断即可. 【详解】因为 , ,则 , 由 ,可得 ,则 选项A: .判断错误; 选项B:由 ,可得 , 由 ,得 在 上单调递减.判断正确;选项C: 的图象向左移 个单位,可得 ,图像不关于 轴对称.判断错误 选项D:由 ,可得 则 取最大值时,x的取值集合为 .判断正确. 故选:BD 27.(2022秋·福建宁德·高三校考期末)已知 ,则下列结论正确的是( ) A. B. C. D. 【答案】ACD 【分析】根据二倍角公式,诱导公式,同角三角函数关系依次讨论各选项即可得答案. 【详解】解:对于A选项, ,故A正确; 对于B选项,由 得 , 为第二或第四象限角, 所以 ,解得 ( 为第四象限角)或 ( 为第二象限角),故 B错误; 对于C选项,由于 ,整理得 ,解得 ,故C正确; 对于D选项, ,故D正确; 故选:ACD 28.(2023·全国·高三专题练习)已知 , ,则( ) A. B. C. D. 【答案】BD 【分析】根据商的关系化简条件可求 ,利用平方关系求 ,再由商的关系求 ,再利用 ,结合二倍角公式及同角三角函数关系求 , . 【详解】因为 , 所以 ,又 , 所以 , ,故A错误,B正确. , 所以 , , 故C错误,D正确. 故选:BD. 三、填空题 29.(2022·高一课时练习)已知 , 是方程 的两根,则 _________. 【答案】 【分析】利用一元二次方程的根与系数的关系得 , ,再运用余弦、正弦和和差公 式,以及同角三角函数间的关系,代入可得答案. 【详解】解:由已知得 , , .故答案为: . 30.(2018·高三课时练习)若 ,则 的值等于________. 【答案】 ##-0.5 【分析】由已知条件求出 的值,即可求解 【详解】因为 , 所以 , 又 , 所以 , 解得 , 所以 , 故答案为: 31.(2022秋·广东深圳·高三深圳中学校考阶段练习)已知 , 为锐角,且 , ,则 ___________. 【答案】 ## 【分析】计算 ,根据 , 解得答案. 【详解】 为锐角, ,则 ,,且 , ,解得 故答案为: 32.(2022秋·天津和平·高三耀华中学校考阶段练习)已知 ,则 ___________. 【答案】 【分析】对条件和结论分别作恒等变换,再运用二倍角公式即可求解. 【详解】由条件: 得: , 即 , ; ; 故答案为: . 33.(2022秋·江西·高三校联考阶段练习)已知 , ,且 , ,则 的值是___________. 【答案】 【分析】由平方关系求得 , ,再求出 即可得解. 【详解】解:因为 , ,且 , , 所以 , ,且 ,则 , 所以 . 故答案为: . 34.(2022·全国·高三专题练习)已知 , , , ,则 ________. 【答案】 【分析】利用同角三角函数的基本关系结合两角差的余弦公式可求得 的值,求出 的取值范围,即 可得解. 【详解】因为 , ,则 , , , 所以, , , 所以, , 因此, . 故答案为: . 35.(2022秋·宁夏银川·高三校考阶段练习)已知角 , ,则 ______. 【答案】【分析】化简 ,即可得到 ,再根据 的范围,即可求出结果. 【详解】 , , , , , , , ,则 . 故答案为: . 四、解答题 36.(2022春·海南省直辖县级单位·高一海南二中校考期中)已知 , 是第三象限角, ,求 (1) ; (2) . 【答案】(1) ;(2) 【分析】(1)利用同角三角函数的平方关系及两角差的余弦公式即可求解; (2)根据(1)的结论及同角三角函数的商数关系及两角和的正切公式即可求解. 【详解】(1) , ,, 是第三象限角, , , . (2)由(1)知 , , , , , , . 37.(2020秋·上海宝山·高三上海市行知中学校考期中)设 , . (1)当 时,求x的值. (2)若 ,求 的最大值与最小值,并求出相应 的取值. 【答案】(1) ; (2)当 时,函数 取最小值 ;当 时,函数 取最大值 . 【分析】(1)根据向量垂直的坐标表示列方程,结合正切函数性质解方程可得; (2)根据数量积的坐标运算公式和三角恒等变换公式化简 ,再由正弦函数性质求其最值及相应的 的取值. 【详解】(1)由 得 ,又 , 所以 ,所以 ,即 , 由于 ,所以 ,即: . (2)因为 , , 所以 所以 , 因为 ,所以 当 时,即 时,函数 取最小值 ; 当 时,即 时,函数 取最大值 . 38.(2021秋·安徽滁州·高三校考阶段练习)已知平面向量 , 定义函数 . (1)求函数 的值域; (2)若函数 图像上的两点 的横坐标分别为和 , 为坐标原点,求 的面积. 【答案】(1) ;(2) 【分析】(1)利用向量点乘的坐标公式,辅助角公式将 进行化简后求值域即可; (2)求出 坐标,利用两点间的距离公式得到 的长度,判断出 为直角三角形,从而易 得其 的面积. 【详解】(1) ,由 ,故函数 的值域为 . (2) ,依题意, ,故 , , ,于是 ,由勾股定理,,于是 的面积为: . 39.(2021秋·陕西榆林·高二陕西省神木中学校考阶段练习)已知向量 , ,其中 . (1)若 ,求 的值; (2)记 ,若函数 在 上单调递增,求 的取值范围. 【答案】(1) ;(2) 【分析】(1)根据向量垂直的坐标表示结合三角恒等变换、诱导公式求解; (2)利用三角函数的性质求解. 【详解】(1)∵ , , , ∴ . ∴ ,即 . ∴ . (2)由(1)知 . 当 时, . ∵函数 在 上单调递增, 又∵ 的单调递增区间为 , , ∴ , .∴ , . ∴ , ,解得 ,又 , ∴当 时, . 40.(2022秋·江西九江·高三校联考阶段练习)已知向量 , , . (1)求 的最小正周期; (2)当 时,求 的最大值与最小值. 【答案】(1) ;(2) 【分析】(1)由三角恒等变换得 ,从而求得最小正周期; (2)先求得 ,再求 在 的最大值与最小值. 【详解】(1)所以 的最小正周期 (2)∵ , ∴当 时, 取得最小值 . 当 时, 取得最大值 . ∴ 在 上的值域是 . 所以