当前位置:首页>文档>专题18有机合成与推断(教师版含解析)2021年高考化学真题和模拟题分类汇编_05高考化学_新高考复习资料_2023年新高考资料_一轮复习_2023年新高考大一轮复习讲义

专题18有机合成与推断(教师版含解析)2021年高考化学真题和模拟题分类汇编_05高考化学_新高考复习资料_2023年新高考资料_一轮复习_2023年新高考大一轮复习讲义

  • 2026-04-02 12:53:12 2026-03-27 16:57:33

文档预览

专题18有机合成与推断(教师版含解析)2021年高考化学真题和模拟题分类汇编_05高考化学_新高考复习资料_2023年新高考资料_一轮复习_2023年新高考大一轮复习讲义
专题18有机合成与推断(教师版含解析)2021年高考化学真题和模拟题分类汇编_05高考化学_新高考复习资料_2023年新高考资料_一轮复习_2023年新高考大一轮复习讲义
专题18有机合成与推断(教师版含解析)2021年高考化学真题和模拟题分类汇编_05高考化学_新高考复习资料_2023年新高考资料_一轮复习_2023年新高考大一轮复习讲义
专题18有机合成与推断(教师版含解析)2021年高考化学真题和模拟题分类汇编_05高考化学_新高考复习资料_2023年新高考资料_一轮复习_2023年新高考大一轮复习讲义
专题18有机合成与推断(教师版含解析)2021年高考化学真题和模拟题分类汇编_05高考化学_新高考复习资料_2023年新高考资料_一轮复习_2023年新高考大一轮复习讲义
专题18有机合成与推断(教师版含解析)2021年高考化学真题和模拟题分类汇编_05高考化学_新高考复习资料_2023年新高考资料_一轮复习_2023年新高考大一轮复习讲义
专题18有机合成与推断(教师版含解析)2021年高考化学真题和模拟题分类汇编_05高考化学_新高考复习资料_2023年新高考资料_一轮复习_2023年新高考大一轮复习讲义
专题18有机合成与推断(教师版含解析)2021年高考化学真题和模拟题分类汇编_05高考化学_新高考复习资料_2023年新高考资料_一轮复习_2023年新高考大一轮复习讲义
专题18有机合成与推断(教师版含解析)2021年高考化学真题和模拟题分类汇编_05高考化学_新高考复习资料_2023年新高考资料_一轮复习_2023年新高考大一轮复习讲义
专题18有机合成与推断(教师版含解析)2021年高考化学真题和模拟题分类汇编_05高考化学_新高考复习资料_2023年新高考资料_一轮复习_2023年新高考大一轮复习讲义
专题18有机合成与推断(教师版含解析)2021年高考化学真题和模拟题分类汇编_05高考化学_新高考复习资料_2023年新高考资料_一轮复习_2023年新高考大一轮复习讲义
专题18有机合成与推断(教师版含解析)2021年高考化学真题和模拟题分类汇编_05高考化学_新高考复习资料_2023年新高考资料_一轮复习_2023年新高考大一轮复习讲义
专题18有机合成与推断(教师版含解析)2021年高考化学真题和模拟题分类汇编_05高考化学_新高考复习资料_2023年新高考资料_一轮复习_2023年新高考大一轮复习讲义
专题18有机合成与推断(教师版含解析)2021年高考化学真题和模拟题分类汇编_05高考化学_新高考复习资料_2023年新高考资料_一轮复习_2023年新高考大一轮复习讲义
专题18有机合成与推断(教师版含解析)2021年高考化学真题和模拟题分类汇编_05高考化学_新高考复习资料_2023年新高考资料_一轮复习_2023年新高考大一轮复习讲义
专题18有机合成与推断(教师版含解析)2021年高考化学真题和模拟题分类汇编_05高考化学_新高考复习资料_2023年新高考资料_一轮复习_2023年新高考大一轮复习讲义
专题18有机合成与推断(教师版含解析)2021年高考化学真题和模拟题分类汇编_05高考化学_新高考复习资料_2023年新高考资料_一轮复习_2023年新高考大一轮复习讲义
专题18有机合成与推断(教师版含解析)2021年高考化学真题和模拟题分类汇编_05高考化学_新高考复习资料_2023年新高考资料_一轮复习_2023年新高考大一轮复习讲义
专题18有机合成与推断(教师版含解析)2021年高考化学真题和模拟题分类汇编_05高考化学_新高考复习资料_2023年新高考资料_一轮复习_2023年新高考大一轮复习讲义
专题18有机合成与推断(教师版含解析)2021年高考化学真题和模拟题分类汇编_05高考化学_新高考复习资料_2023年新高考资料_一轮复习_2023年新高考大一轮复习讲义
专题18有机合成与推断(教师版含解析)2021年高考化学真题和模拟题分类汇编_05高考化学_新高考复习资料_2023年新高考资料_一轮复习_2023年新高考大一轮复习讲义
专题18有机合成与推断(教师版含解析)2021年高考化学真题和模拟题分类汇编_05高考化学_新高考复习资料_2023年新高考资料_一轮复习_2023年新高考大一轮复习讲义
专题18有机合成与推断(教师版含解析)2021年高考化学真题和模拟题分类汇编_05高考化学_新高考复习资料_2023年新高考资料_一轮复习_2023年新高考大一轮复习讲义
专题18有机合成与推断(教师版含解析)2021年高考化学真题和模拟题分类汇编_05高考化学_新高考复习资料_2023年新高考资料_一轮复习_2023年新高考大一轮复习讲义
专题18有机合成与推断(教师版含解析)2021年高考化学真题和模拟题分类汇编_05高考化学_新高考复习资料_2023年新高考资料_一轮复习_2023年新高考大一轮复习讲义
专题18有机合成与推断(教师版含解析)2021年高考化学真题和模拟题分类汇编_05高考化学_新高考复习资料_2023年新高考资料_一轮复习_2023年新高考大一轮复习讲义
专题18有机合成与推断(教师版含解析)2021年高考化学真题和模拟题分类汇编_05高考化学_新高考复习资料_2023年新高考资料_一轮复习_2023年新高考大一轮复习讲义
专题18有机合成与推断(教师版含解析)2021年高考化学真题和模拟题分类汇编_05高考化学_新高考复习资料_2023年新高考资料_一轮复习_2023年新高考大一轮复习讲义
专题18有机合成与推断(教师版含解析)2021年高考化学真题和模拟题分类汇编_05高考化学_新高考复习资料_2023年新高考资料_一轮复习_2023年新高考大一轮复习讲义
专题18有机合成与推断(教师版含解析)2021年高考化学真题和模拟题分类汇编_05高考化学_新高考复习资料_2023年新高考资料_一轮复习_2023年新高考大一轮复习讲义
专题18有机合成与推断(教师版含解析)2021年高考化学真题和模拟题分类汇编_05高考化学_新高考复习资料_2023年新高考资料_一轮复习_2023年新高考大一轮复习讲义
专题18有机合成与推断(教师版含解析)2021年高考化学真题和模拟题分类汇编_05高考化学_新高考复习资料_2023年新高考资料_一轮复习_2023年新高考大一轮复习讲义
专题18有机合成与推断(教师版含解析)2021年高考化学真题和模拟题分类汇编_05高考化学_新高考复习资料_2023年新高考资料_一轮复习_2023年新高考大一轮复习讲义
专题18有机合成与推断(教师版含解析)2021年高考化学真题和模拟题分类汇编_05高考化学_新高考复习资料_2023年新高考资料_一轮复习_2023年新高考大一轮复习讲义
专题18有机合成与推断(教师版含解析)2021年高考化学真题和模拟题分类汇编_05高考化学_新高考复习资料_2023年新高考资料_一轮复习_2023年新高考大一轮复习讲义
专题18有机合成与推断(教师版含解析)2021年高考化学真题和模拟题分类汇编_05高考化学_新高考复习资料_2023年新高考资料_一轮复习_2023年新高考大一轮复习讲义
专题18有机合成与推断(教师版含解析)2021年高考化学真题和模拟题分类汇编_05高考化学_新高考复习资料_2023年新高考资料_一轮复习_2023年新高考大一轮复习讲义
专题18有机合成与推断(教师版含解析)2021年高考化学真题和模拟题分类汇编_05高考化学_新高考复习资料_2023年新高考资料_一轮复习_2023年新高考大一轮复习讲义
专题18有机合成与推断(教师版含解析)2021年高考化学真题和模拟题分类汇编_05高考化学_新高考复习资料_2023年新高考资料_一轮复习_2023年新高考大一轮复习讲义
专题18有机合成与推断(教师版含解析)2021年高考化学真题和模拟题分类汇编_05高考化学_新高考复习资料_2023年新高考资料_一轮复习_2023年新高考大一轮复习讲义
专题18有机合成与推断(教师版含解析)2021年高考化学真题和模拟题分类汇编_05高考化学_新高考复习资料_2023年新高考资料_一轮复习_2023年新高考大一轮复习讲义
专题18有机合成与推断(教师版含解析)2021年高考化学真题和模拟题分类汇编_05高考化学_新高考复习资料_2023年新高考资料_一轮复习_2023年新高考大一轮复习讲义
专题18有机合成与推断(教师版含解析)2021年高考化学真题和模拟题分类汇编_05高考化学_新高考复习资料_2023年新高考资料_一轮复习_2023年新高考大一轮复习讲义
专题18有机合成与推断(教师版含解析)2021年高考化学真题和模拟题分类汇编_05高考化学_新高考复习资料_2023年新高考资料_一轮复习_2023年新高考大一轮复习讲义
专题18有机合成与推断(教师版含解析)2021年高考化学真题和模拟题分类汇编_05高考化学_新高考复习资料_2023年新高考资料_一轮复习_2023年新高考大一轮复习讲义
专题18有机合成与推断(教师版含解析)2021年高考化学真题和模拟题分类汇编_05高考化学_新高考复习资料_2023年新高考资料_一轮复习_2023年新高考大一轮复习讲义
专题18有机合成与推断(教师版含解析)2021年高考化学真题和模拟题分类汇编_05高考化学_新高考复习资料_2023年新高考资料_一轮复习_2023年新高考大一轮复习讲义
专题18有机合成与推断(教师版含解析)2021年高考化学真题和模拟题分类汇编_05高考化学_新高考复习资料_2023年新高考资料_一轮复习_2023年新高考大一轮复习讲义
专题18有机合成与推断(教师版含解析)2021年高考化学真题和模拟题分类汇编_05高考化学_新高考复习资料_2023年新高考资料_一轮复习_2023年新高考大一轮复习讲义
专题18有机合成与推断(教师版含解析)2021年高考化学真题和模拟题分类汇编_05高考化学_新高考复习资料_2023年新高考资料_一轮复习_2023年新高考大一轮复习讲义
专题18有机合成与推断(教师版含解析)2021年高考化学真题和模拟题分类汇编_05高考化学_新高考复习资料_2023年新高考资料_一轮复习_2023年新高考大一轮复习讲义
专题18有机合成与推断(教师版含解析)2021年高考化学真题和模拟题分类汇编_05高考化学_新高考复习资料_2023年新高考资料_一轮复习_2023年新高考大一轮复习讲义
专题18有机合成与推断(教师版含解析)2021年高考化学真题和模拟题分类汇编_05高考化学_新高考复习资料_2023年新高考资料_一轮复习_2023年新高考大一轮复习讲义
专题18有机合成与推断(教师版含解析)2021年高考化学真题和模拟题分类汇编_05高考化学_新高考复习资料_2023年新高考资料_一轮复习_2023年新高考大一轮复习讲义
专题18有机合成与推断(教师版含解析)2021年高考化学真题和模拟题分类汇编_05高考化学_新高考复习资料_2023年新高考资料_一轮复习_2023年新高考大一轮复习讲义
专题18有机合成与推断(教师版含解析)2021年高考化学真题和模拟题分类汇编_05高考化学_新高考复习资料_2023年新高考资料_一轮复习_2023年新高考大一轮复习讲义
专题18有机合成与推断(教师版含解析)2021年高考化学真题和模拟题分类汇编_05高考化学_新高考复习资料_2023年新高考资料_一轮复习_2023年新高考大一轮复习讲义
专题18有机合成与推断(教师版含解析)2021年高考化学真题和模拟题分类汇编_05高考化学_新高考复习资料_2023年新高考资料_一轮复习_2023年新高考大一轮复习讲义
专题18有机合成与推断(教师版含解析)2021年高考化学真题和模拟题分类汇编_05高考化学_新高考复习资料_2023年新高考资料_一轮复习_2023年新高考大一轮复习讲义
专题18有机合成与推断(教师版含解析)2021年高考化学真题和模拟题分类汇编_05高考化学_新高考复习资料_2023年新高考资料_一轮复习_2023年新高考大一轮复习讲义
专题18有机合成与推断(教师版含解析)2021年高考化学真题和模拟题分类汇编_05高考化学_新高考复习资料_2023年新高考资料_一轮复习_2023年新高考大一轮复习讲义
专题18有机合成与推断(教师版含解析)2021年高考化学真题和模拟题分类汇编_05高考化学_新高考复习资料_2023年新高考资料_一轮复习_2023年新高考大一轮复习讲义
专题18有机合成与推断(教师版含解析)2021年高考化学真题和模拟题分类汇编_05高考化学_新高考复习资料_2023年新高考资料_一轮复习_2023年新高考大一轮复习讲义
专题18有机合成与推断(教师版含解析)2021年高考化学真题和模拟题分类汇编_05高考化学_新高考复习资料_2023年新高考资料_一轮复习_2023年新高考大一轮复习讲义
专题18有机合成与推断(教师版含解析)2021年高考化学真题和模拟题分类汇编_05高考化学_新高考复习资料_2023年新高考资料_一轮复习_2023年新高考大一轮复习讲义
专题18有机合成与推断(教师版含解析)2021年高考化学真题和模拟题分类汇编_05高考化学_新高考复习资料_2023年新高考资料_一轮复习_2023年新高考大一轮复习讲义
专题18有机合成与推断(教师版含解析)2021年高考化学真题和模拟题分类汇编_05高考化学_新高考复习资料_2023年新高考资料_一轮复习_2023年新高考大一轮复习讲义
专题18有机合成与推断(教师版含解析)2021年高考化学真题和模拟题分类汇编_05高考化学_新高考复习资料_2023年新高考资料_一轮复习_2023年新高考大一轮复习讲义
专题18有机合成与推断(教师版含解析)2021年高考化学真题和模拟题分类汇编_05高考化学_新高考复习资料_2023年新高考资料_一轮复习_2023年新高考大一轮复习讲义
专题18有机合成与推断(教师版含解析)2021年高考化学真题和模拟题分类汇编_05高考化学_新高考复习资料_2023年新高考资料_一轮复习_2023年新高考大一轮复习讲义
专题18有机合成与推断(教师版含解析)2021年高考化学真题和模拟题分类汇编_05高考化学_新高考复习资料_2023年新高考资料_一轮复习_2023年新高考大一轮复习讲义
专题18有机合成与推断(教师版含解析)2021年高考化学真题和模拟题分类汇编_05高考化学_新高考复习资料_2023年新高考资料_一轮复习_2023年新高考大一轮复习讲义
专题18有机合成与推断(教师版含解析)2021年高考化学真题和模拟题分类汇编_05高考化学_新高考复习资料_2023年新高考资料_一轮复习_2023年新高考大一轮复习讲义
专题18有机合成与推断(教师版含解析)2021年高考化学真题和模拟题分类汇编_05高考化学_新高考复习资料_2023年新高考资料_一轮复习_2023年新高考大一轮复习讲义
专题18有机合成与推断(教师版含解析)2021年高考化学真题和模拟题分类汇编_05高考化学_新高考复习资料_2023年新高考资料_一轮复习_2023年新高考大一轮复习讲义
专题18有机合成与推断(教师版含解析)2021年高考化学真题和模拟题分类汇编_05高考化学_新高考复习资料_2023年新高考资料_一轮复习_2023年新高考大一轮复习讲义
专题18有机合成与推断(教师版含解析)2021年高考化学真题和模拟题分类汇编_05高考化学_新高考复习资料_2023年新高考资料_一轮复习_2023年新高考大一轮复习讲义
专题18有机合成与推断(教师版含解析)2021年高考化学真题和模拟题分类汇编_05高考化学_新高考复习资料_2023年新高考资料_一轮复习_2023年新高考大一轮复习讲义
专题18有机合成与推断(教师版含解析)2021年高考化学真题和模拟题分类汇编_05高考化学_新高考复习资料_2023年新高考资料_一轮复习_2023年新高考大一轮复习讲义
专题18有机合成与推断(教师版含解析)2021年高考化学真题和模拟题分类汇编_05高考化学_新高考复习资料_2023年新高考资料_一轮复习_2023年新高考大一轮复习讲义
专题18有机合成与推断(教师版含解析)2021年高考化学真题和模拟题分类汇编_05高考化学_新高考复习资料_2023年新高考资料_一轮复习_2023年新高考大一轮复习讲义
专题18有机合成与推断(教师版含解析)2021年高考化学真题和模拟题分类汇编_05高考化学_新高考复习资料_2023年新高考资料_一轮复习_2023年新高考大一轮复习讲义
专题18有机合成与推断(教师版含解析)2021年高考化学真题和模拟题分类汇编_05高考化学_新高考复习资料_2023年新高考资料_一轮复习_2023年新高考大一轮复习讲义
专题18有机合成与推断(教师版含解析)2021年高考化学真题和模拟题分类汇编_05高考化学_新高考复习资料_2023年新高考资料_一轮复习_2023年新高考大一轮复习讲义
专题18有机合成与推断(教师版含解析)2021年高考化学真题和模拟题分类汇编_05高考化学_新高考复习资料_2023年新高考资料_一轮复习_2023年新高考大一轮复习讲义
专题18有机合成与推断(教师版含解析)2021年高考化学真题和模拟题分类汇编_05高考化学_新高考复习资料_2023年新高考资料_一轮复习_2023年新高考大一轮复习讲义
专题18有机合成与推断(教师版含解析)2021年高考化学真题和模拟题分类汇编_05高考化学_新高考复习资料_2023年新高考资料_一轮复习_2023年新高考大一轮复习讲义
专题18有机合成与推断(教师版含解析)2021年高考化学真题和模拟题分类汇编_05高考化学_新高考复习资料_2023年新高考资料_一轮复习_2023年新高考大一轮复习讲义
专题18有机合成与推断(教师版含解析)2021年高考化学真题和模拟题分类汇编_05高考化学_新高考复习资料_2023年新高考资料_一轮复习_2023年新高考大一轮复习讲义
专题18有机合成与推断(教师版含解析)2021年高考化学真题和模拟题分类汇编_05高考化学_新高考复习资料_2023年新高考资料_一轮复习_2023年新高考大一轮复习讲义
专题18有机合成与推断(教师版含解析)2021年高考化学真题和模拟题分类汇编_05高考化学_新高考复习资料_2023年新高考资料_一轮复习_2023年新高考大一轮复习讲义
专题18有机合成与推断(教师版含解析)2021年高考化学真题和模拟题分类汇编_05高考化学_新高考复习资料_2023年新高考资料_一轮复习_2023年新高考大一轮复习讲义
专题18有机合成与推断(教师版含解析)2021年高考化学真题和模拟题分类汇编_05高考化学_新高考复习资料_2023年新高考资料_一轮复习_2023年新高考大一轮复习讲义
专题18有机合成与推断(教师版含解析)2021年高考化学真题和模拟题分类汇编_05高考化学_新高考复习资料_2023年新高考资料_一轮复习_2023年新高考大一轮复习讲义
专题18有机合成与推断(教师版含解析)2021年高考化学真题和模拟题分类汇编_05高考化学_新高考复习资料_2023年新高考资料_一轮复习_2023年新高考大一轮复习讲义
专题18有机合成与推断(教师版含解析)2021年高考化学真题和模拟题分类汇编_05高考化学_新高考复习资料_2023年新高考资料_一轮复习_2023年新高考大一轮复习讲义
专题18有机合成与推断(教师版含解析)2021年高考化学真题和模拟题分类汇编_05高考化学_新高考复习资料_2023年新高考资料_一轮复习_2023年新高考大一轮复习讲义
专题18有机合成与推断(教师版含解析)2021年高考化学真题和模拟题分类汇编_05高考化学_新高考复习资料_2023年新高考资料_一轮复习_2023年新高考大一轮复习讲义
专题18有机合成与推断(教师版含解析)2021年高考化学真题和模拟题分类汇编_05高考化学_新高考复习资料_2023年新高考资料_一轮复习_2023年新高考大一轮复习讲义
专题18有机合成与推断(教师版含解析)2021年高考化学真题和模拟题分类汇编_05高考化学_新高考复习资料_2023年新高考资料_一轮复习_2023年新高考大一轮复习讲义
专题18有机合成与推断(教师版含解析)2021年高考化学真题和模拟题分类汇编_05高考化学_新高考复习资料_2023年新高考资料_一轮复习_2023年新高考大一轮复习讲义
专题18有机合成与推断(教师版含解析)2021年高考化学真题和模拟题分类汇编_05高考化学_新高考复习资料_2023年新高考资料_一轮复习_2023年新高考大一轮复习讲义
专题18有机合成与推断(教师版含解析)2021年高考化学真题和模拟题分类汇编_05高考化学_新高考复习资料_2023年新高考资料_一轮复习_2023年新高考大一轮复习讲义
专题18有机合成与推断(教师版含解析)2021年高考化学真题和模拟题分类汇编_05高考化学_新高考复习资料_2023年新高考资料_一轮复习_2023年新高考大一轮复习讲义
专题18有机合成与推断(教师版含解析)2021年高考化学真题和模拟题分类汇编_05高考化学_新高考复习资料_2023年新高考资料_一轮复习_2023年新高考大一轮复习讲义
专题18有机合成与推断(教师版含解析)2021年高考化学真题和模拟题分类汇编_05高考化学_新高考复习资料_2023年新高考资料_一轮复习_2023年新高考大一轮复习讲义
专题18有机合成与推断(教师版含解析)2021年高考化学真题和模拟题分类汇编_05高考化学_新高考复习资料_2023年新高考资料_一轮复习_2023年新高考大一轮复习讲义
专题18有机合成与推断(教师版含解析)2021年高考化学真题和模拟题分类汇编_05高考化学_新高考复习资料_2023年新高考资料_一轮复习_2023年新高考大一轮复习讲义
专题18有机合成与推断(教师版含解析)2021年高考化学真题和模拟题分类汇编_05高考化学_新高考复习资料_2023年新高考资料_一轮复习_2023年新高考大一轮复习讲义
专题18有机合成与推断(教师版含解析)2021年高考化学真题和模拟题分类汇编_05高考化学_新高考复习资料_2023年新高考资料_一轮复习_2023年新高考大一轮复习讲义
专题18有机合成与推断(教师版含解析)2021年高考化学真题和模拟题分类汇编_05高考化学_新高考复习资料_2023年新高考资料_一轮复习_2023年新高考大一轮复习讲义
专题18有机合成与推断(教师版含解析)2021年高考化学真题和模拟题分类汇编_05高考化学_新高考复习资料_2023年新高考资料_一轮复习_2023年新高考大一轮复习讲义
专题18有机合成与推断(教师版含解析)2021年高考化学真题和模拟题分类汇编_05高考化学_新高考复习资料_2023年新高考资料_一轮复习_2023年新高考大一轮复习讲义
专题18有机合成与推断(教师版含解析)2021年高考化学真题和模拟题分类汇编_05高考化学_新高考复习资料_2023年新高考资料_一轮复习_2023年新高考大一轮复习讲义
专题18有机合成与推断(教师版含解析)2021年高考化学真题和模拟题分类汇编_05高考化学_新高考复习资料_2023年新高考资料_一轮复习_2023年新高考大一轮复习讲义
专题18有机合成与推断(教师版含解析)2021年高考化学真题和模拟题分类汇编_05高考化学_新高考复习资料_2023年新高考资料_一轮复习_2023年新高考大一轮复习讲义
专题18有机合成与推断(教师版含解析)2021年高考化学真题和模拟题分类汇编_05高考化学_新高考复习资料_2023年新高考资料_一轮复习_2023年新高考大一轮复习讲义
专题18有机合成与推断(教师版含解析)2021年高考化学真题和模拟题分类汇编_05高考化学_新高考复习资料_2023年新高考资料_一轮复习_2023年新高考大一轮复习讲义
专题18有机合成与推断(教师版含解析)2021年高考化学真题和模拟题分类汇编_05高考化学_新高考复习资料_2023年新高考资料_一轮复习_2023年新高考大一轮复习讲义
专题18有机合成与推断(教师版含解析)2021年高考化学真题和模拟题分类汇编_05高考化学_新高考复习资料_2023年新高考资料_一轮复习_2023年新高考大一轮复习讲义
专题18有机合成与推断(教师版含解析)2021年高考化学真题和模拟题分类汇编_05高考化学_新高考复习资料_2023年新高考资料_一轮复习_2023年新高考大一轮复习讲义
专题18有机合成与推断(教师版含解析)2021年高考化学真题和模拟题分类汇编_05高考化学_新高考复习资料_2023年新高考资料_一轮复习_2023年新高考大一轮复习讲义
专题18有机合成与推断(教师版含解析)2021年高考化学真题和模拟题分类汇编_05高考化学_新高考复习资料_2023年新高考资料_一轮复习_2023年新高考大一轮复习讲义
专题18有机合成与推断(教师版含解析)2021年高考化学真题和模拟题分类汇编_05高考化学_新高考复习资料_2023年新高考资料_一轮复习_2023年新高考大一轮复习讲义
专题18有机合成与推断(教师版含解析)2021年高考化学真题和模拟题分类汇编_05高考化学_新高考复习资料_2023年新高考资料_一轮复习_2023年新高考大一轮复习讲义
专题18有机合成与推断(教师版含解析)2021年高考化学真题和模拟题分类汇编_05高考化学_新高考复习资料_2023年新高考资料_一轮复习_2023年新高考大一轮复习讲义
专题18有机合成与推断(教师版含解析)2021年高考化学真题和模拟题分类汇编_05高考化学_新高考复习资料_2023年新高考资料_一轮复习_2023年新高考大一轮复习讲义
专题18有机合成与推断(教师版含解析)2021年高考化学真题和模拟题分类汇编_05高考化学_新高考复习资料_2023年新高考资料_一轮复习_2023年新高考大一轮复习讲义
专题18有机合成与推断(教师版含解析)2021年高考化学真题和模拟题分类汇编_05高考化学_新高考复习资料_2023年新高考资料_一轮复习_2023年新高考大一轮复习讲义
专题18有机合成与推断(教师版含解析)2021年高考化学真题和模拟题分类汇编_05高考化学_新高考复习资料_2023年新高考资料_一轮复习_2023年新高考大一轮复习讲义
专题18有机合成与推断(教师版含解析)2021年高考化学真题和模拟题分类汇编_05高考化学_新高考复习资料_2023年新高考资料_一轮复习_2023年新高考大一轮复习讲义
专题18有机合成与推断(教师版含解析)2021年高考化学真题和模拟题分类汇编_05高考化学_新高考复习资料_2023年新高考资料_一轮复习_2023年新高考大一轮复习讲义
专题18有机合成与推断(教师版含解析)2021年高考化学真题和模拟题分类汇编_05高考化学_新高考复习资料_2023年新高考资料_一轮复习_2023年新高考大一轮复习讲义
专题18有机合成与推断(教师版含解析)2021年高考化学真题和模拟题分类汇编_05高考化学_新高考复习资料_2023年新高考资料_一轮复习_2023年新高考大一轮复习讲义
专题18有机合成与推断(教师版含解析)2021年高考化学真题和模拟题分类汇编_05高考化学_新高考复习资料_2023年新高考资料_一轮复习_2023年新高考大一轮复习讲义
专题18有机合成与推断(教师版含解析)2021年高考化学真题和模拟题分类汇编_05高考化学_新高考复习资料_2023年新高考资料_一轮复习_2023年新高考大一轮复习讲义
专题18有机合成与推断(教师版含解析)2021年高考化学真题和模拟题分类汇编_05高考化学_新高考复习资料_2023年新高考资料_一轮复习_2023年新高考大一轮复习讲义

文档信息

文档格式
docx
文档大小
5.287 MB
文档页数
133 页
上传时间
2026-03-27 16:57:33

文档内容

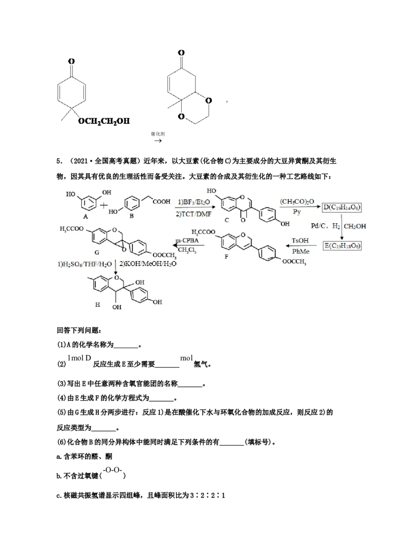
专题18有机合成与推断 2021年化学高考题 1.(2021·山东高考真题)一种利胆药物F的合成路线如图: 已知:Ⅰ. + Δ Δ Ⅱ.  R-NH 2 回答下列问题: (1)A的结构简式为___;符合下列条件的A的同分异构体有___种。 ①含有酚羟基 ②不能发生银镜反应 ③含有四种化学环境的氢 (2)检验B中是否含有A的试剂为___;B→C的反应类型为___。 (3)C→D的化学方程式为__;E中含氧官能团共___种。 (4)已知: ,综合上述信息,写出由 和制备 的合成路线___。 【KS5U答案】 4 FeCl 溶液 氧化反应 3 +CHOH +HO 3 3 2     浓H 2S  O4 Δ 【分析】 由信息反应II以及F的结构简式和E的分子式可知E的结构简式为 ,D发生信息反应I得到E,则D的结构简式为,C与CHOH发生反应生成D,C相较于D少1个碳原子,说明C→D 3 是酯化反应,因此C的结构简式为 ,B→C碳链不变,而A→B碳链 增长,且增长的碳原子数等于 中碳原子数,同时B→C的反应条件为NaClO、 2 H+,NaClO 具有氧化性,因此B→C为氧化反应,A→B为取代反应,CHO 的不饱和度为5,说 2 8 8 3 明苯环上的取代基中含有不饱和键,因此A的结构简式为 ,B的结构简式为 。 【KS5U解析】(1)由上述分析可知,A的结构简式为 ;A的同分异构体中满足:①含有酚 羟基;②不能发生银镜反应,说明结构中不含醛基;③含有四种化学环境的氢,说明具有对 称结构,则满足条件的结构有: 、 、 、 , 共有4种,故答案为: ;4。 (2)A中含有酚羟基,B中不含酚羟基,可利用FeCl 溶液检验B中是否含有A,若含有A,则 3 加入FeCl 溶液后溶液呈紫色;由上述分析可知,B→C的反应类型为氧化反应,故答案为: 3 FeCl 溶液;氧化反应。 3 (3)C→D为 与CHOH在浓硫酸作催化剂并加热条件下发生酯化反应生 3成 ,反应化学方程式为 +CHOH 3     浓H 2S  O4 Δ +HO;E的结构简式为 ,其中的 2 含氧官能团为醚键、酚羟基、酯基,共3种,故答案为: +CHOH 3 +HO;3。 2     浓H 2S  O4 Δ(4)由 和 制备 过程需要增长碳链, 可利用题干中A→B的反应实现,然后利用信息反应I得到目标产物,目标产物中碳碳双键位 于端基碳原子上,因此需要 与HBr在40℃下发生加成反应生成 , 和 反应生成 ,根据信息Ⅰ. + 得到 Δ 反应生成 ,因此合成路线为 ; 故答案为: 。2.(2021·浙江)某课题组研制了一种具有较高玻璃化转变温度的聚合物P,合成路线如下: 已知: 请回答: (1)化合物A的结构简式是_______;化合物E的结构简式是_______。 (2)下列说法不正确的是_______。 A.化合物B分子中所有的碳原子共平面 C H N O B.化合物D的分子式为 12 12 6 4 C.化合物D和F发生缩聚反应生成P D.聚合物P属于聚酯类物质 NaOH (3)化合物C与过量 溶液反应的化学方程式是_______。 C H N O (4)在制备聚合物P的过程中还生成了一种分子式为 20 18 6 8的环状化合物。用键线式表 示其结构_______。 (5)写出3种同时满足下列条件的化合物F的同分异构体的结构简式(不考虑立体异构体): _______。 HNMR ① 谱显示只有2种不同化学环境的氢原子 ②只含有六元环③含有 结构片段,不含 键 CC (6)以乙烯和丙炔酸为原料,设计如下化合物的合成路线(用流程图表示,无机试剂、有机溶 剂任选)_______。 【KS5U答案】 HOCHCHBr C +4NaOH 2 2  Δ +2 +2NaBr 、 、 、 (任写3种) 【分析】 A的分子式为CH ,其不饱和度为4,结合D的结构简式可知A中存在苯环,因此A中取代基 8 10不存在不饱和键,D中苯环上取代基位于对位,因此A的结构简式为 , 被酸性高锰酸钾氧化为 ,D中含有酯基,结 合已知信息反应可知C的结构简式为 ,B与E在酸性条件下反应生成 ,该反应为酯化反应,因此E的结构简式为HOCHCHBr,D和F发生已 2 2 知反应得到化合物P中的五元环,则化合物F中应含有碳碳三键,而化合物P是聚合结构, 其中的基本单元来自化合物D和化合物F,所以化合物F应为 。 【KS5U解析】 (1)由上述分析可知,A的结构简式为 ;化合物E的结构简式为 HOCHCHBr,故答案为: ;HOCHCHBr。 2 2 2 2 (2)A.化合物B的结构简式为 ,化合物B中苯环的6个碳原子共平 面,而苯环只含有两个对位上的羧基,两个羧基的碳原子直接与苯环相连,所以这2个碳原 子也应与苯环共平面,化合物B分子中所有碳原子共平面,故A正确; B.D的结构简式为 ,由此可知化合物D的分子式为 C H N O 12 12 6 4C H N O 12 12 6 4,故B正确; C.缩聚反应除形成缩聚物外,还有水、醇、氨或氯化氢等低分子副产物产生,化合物D和化 合物F的聚合反应不涉及低分子副产物的产生,不属于缩聚反应,故C错误; D.聚合物P中含有4n个酯基官能团,所以聚合物P属于聚酯类物质,故D正确; 综上所述,说法不正确的是C项,故答案为C。 (3) 中酯基能与NaOH溶液发生水解反应、溴原子能与NaOH溶液在加热 条件下能发生取代反应,因此反应方程式为 +4NaOH +2  Δ +2NaBr。 (4)化合物D和化合物F之间发生反应,可以是n个D分子和n个F分子之间聚合形成化合物 P,同时也可能发生1个D分子和1个F分子之间的加成反应,对于后者情况,化合物D中的 2个-N 官能团与化合物F中的2个碳碳三建分别反应,可以形成环状结构,用键线式表示为 3 ,该环状化合物的化学式为 ,符合题意,故答案 C H N O 20 18 6 8为: 。 O (5)化合物F的分子式为CHO,不饱和度为6,其同分异构体中含有 || | | 结构片 8 6 4 COCC 段,不含CC键,且只有2种不同化学环境的氢原子,说明结构高度对称,推测其含有 2个相同结构片段,不饱和度为4,余2个不饱和度,推测含有两个六元环,由此得出符合题 意的同分异构体如下: 、 、 、 。 (6)由逆向合成法可知,丙炔酸应与 通过酯化反应得到目标化合物,而 中的羟基又能通过 水解得到,乙烯与Br 加成可得 ,故 2 目标化合物的合成路线为 。 Alimta(M) 3.(2021·湖南高考真题)叶酸拮抗剂 是一种多靶向性抗癌药物。以苯和丁二酸酐为原料合成该化合物的路线如下: 回答下列问题: 已知:① ② (1)A的结构简式为_______; AB DE (2) , 的反应类型分别是_______,_______; (3)M中虚线框内官能团的名称为a_______,b_______; (4)B有多种同分异构体,同时满足下列条件的同分异构体有_______种(不考虑立体异构) FeCl ①苯环上有2个取代基②能够发生银镜反应③与 3溶液发生显色发应 其中核磁共振氢谱有五组峰,且峰面积之比为6:2:2:1:1的结构简式为_______; (5)结合上述信息,写出丁二酸酐和乙二醇合成聚丁二酸乙二醇酯的反应方程式_______; (6)参照上述合成路线,以乙烯和 为原料,设计合成 的路线_______(其他试剂任选)。 【KS5U答案】 还原反应 取代反应 酰胺基 羧基 15 【KS5U解析】 1)由已知信息①可知, 与 反应时断键与成键位置为 , 由此可知A的结构简式为 ,故答案为: 。 (2)A→B的反应过程中失去O原子,加入H原子,属于还原反应;D→E的反应过程中与醛基 相连的碳原子上的H原子被溴原子取代,属于取代反应,故答案为:还原反应;取代反应。(3)由图可知,M中虚线框内官能团的名称为a:酰胺基;b:羧基。 (4) 的同分异构体满足:①能发生银镜反应,说明结构中存在醛基, ②与FeCl 溶液发生显色发应,说明含有酚羟基,同时满足苯环上有2个取代基,酚羟基需 3 占据苯环上的1个取代位置,支链上苯环连接方式(红色点标记): 、 共五种,因此一共有5×3=15种结构;其中核磁共振氢谱有五组峰,因酚羟基 和醛基均无对称结构,因此峰面积之比为6:2:2:1:1的结构简式一定具有对称性(否则苯 环上的氢原子不等效),即苯环上取代基位于对位,核磁共振氢谱中峰面积比为6的氢原子位 于与同一碳原子相连的两个甲基上,因此该同分异构的结构简式为 , 故答案为:15; 。 (5)丁二酸酐( )和乙二醇(HOCHCHOH)合成聚丁二酸乙二醇酯( 2 2 )的过程中,需先将 转化为丁二酸,可利用 已知信息②实现,然后利用B→C的反应类型合成聚丁二酸乙二醇酯,因此反应方程式为,故 答案为: 。 (6)以乙烯和 为原料合成 的路线设计过程中,可利用 E→F的反应类型实现,因此需先利用乙烯合成 , 中醛基可通过羟 基催化氧化而得, 中溴原子可利用D→E的反应类型实现,因此合成路线为 , 故答案为:。 【点睛】 有机合成推断解题过程中对信息反应的分析主要是理解成键与断键的位置关系,同时注意是 否有小分子物质生成。按照要求书写同分异构体时,需根据题干所给要求得出结构中官能团 种类及数目,然后分析该结构是否具有对称性,当核磁共振氢谱中出现比例为6的结构中, 一般存在同一个碳原子上连接两个甲基或者甲基具有对称性的情况,当核磁共振氢谱出现比 例为9的结构中,一般存在三个甲基连接在同一个碳原子上。 4.(2021·广东高考真题)天然产物Ⅴ具有抗疟活性,某研究小组以化合物Ⅰ为原料合成 Ⅴ及其衍生物Ⅵ的路线如下(部分反应条件省略,Ph表示-CH): 6 5 已知: (1)化合物Ⅰ中含氧官能团有_______(写名称)。 (2)反应①的方程式可表示为:I+II=III+Z,化合物Z的分子式为_______。 (3)化合物IV能发生银镜反应,其结构简式为_______。 (4)反应②③④中属于还原反应的有_______,属于加成反应的有_______。(5)化合物Ⅵ的芳香族同分异构体中,同时满足如下条件的有_______种,写出其中任意一种 的结构简式:_______。 条件:a.能与NaHCO 反应;b. 最多能与2倍物质的量的NaOH反应;c. 能与3倍物质的量的 3 Na发生放出H 的反应;d.核磁共振氢谱确定分子中有6个化学环境相同的氢原子;e.不含手 2 性碳原子(手性碳原子是指连有4个不同的原子或原子团的饱和碳原子)。 (6)根据上述信息,写出以苯酚的一种同系物及HOCHCHCl为原料合成 的路线 2 2 _______(不需注明反应条件)。 【KS5U答案】(酚)羟基、醛基 C H OP ② ②④ 10 18 15 一定条件  HOCH CH Cl 2 2加热  催化剂  NaOH溶液 【KS5U解析】 (1)根据有机物Ⅰ的结构,有机物Ⅰ为对醛基苯酚,其含氧官能团为(酚)羟基、醛基; (2)反应①的方程式可表示为:Ⅰ+Ⅱ=Ⅲ+Z,根据反应中Ⅰ、Ⅱ、Ⅲ的分子式和质量守恒定 律可知,反应前与反应后的原子个数相同,则反应后Z的分子式为C H OP; 18 15 (3)已知有机物Ⅳ可以发生银镜反应,说明有机物Ⅳ中含有醛基,又已知有机物Ⅳ可以发生 反应生成 ,则有机物Ⅳ一定含有酚羟基,根据有机物Ⅳ的分子式和 可以得出,有机物Ⅳ的结构简式为 ; (4)还原反应时物质中元素的化合价降低,在有机反应中一般表现为加氢或者去氧,所以反 应②为还原反应,其中反应②④为加成反应;(5)化合物Ⅳ的分子式为C H O,能与NaHCO 反应说明含有羧基,能与NaOH反应说明含有酚 10 12 4 3 羟基或羧基或酯基,最多能与2倍物质的量的NaOH反应,说明除一个羧基外还可能含有酚羟 基、羧基、酯基其中的一个,能与Na反应的挂能能团为醇羟基、酚羟基、羧基,能与3倍物 质的量的发生放出的反应,说明一定含有醇羟基,综上该分子一定含有羧基和醇羟基,由于 该分子共有4个碳氧原子,不可能再含有羧基和酯基,则还应含有酚羟基,核磁共振氢谱确 定分子中有6个化学环境相同的氢原子,说明含有两个甲基取代基,并且高度对称,据此可 知共有三个取代基,分别是-OH、-COOH和 ,当-OH与-COOH处于对位 时, 有两种不同的取代位置,即 和 ;当-OH与 处于对位时,-COOH有两种不同的取代位置,即 和 ;当-COOH与 处于对位时,-OH有两 种不同的取代位置,即 和 ;当三个取代基处于三个连续碳时,共有三种情况,即 、 和 ;当三个取代基处 于间位时,共有一种情况,即 ,综上分析该有机物的同 分异构体共有十种。(6)根据题给已知条件对甲苯酚与HOCHCHCl反应能得到 ,之后 2 2 水解反应得到 ,观察题中反应可知得到目标产物需要利用反应 ④,所以合成的路线为 一定条件 加热   HOCH 2 CH 2 Cl NaOH溶液。 催化剂  5.(2021·全国高考真题)近年来,以大豆素(化合物C)为主要成分的大豆异黄酮及其衍生 物,因其具有优良的生理活性而备受关注。大豆素的合成及其衍生化的一种工艺路线如下: 回答下列问题: (1)A的化学名称为_______。 1mol D mol (2) 反应生成E至少需要_______ 氢气。 (3)写出E中任意两种含氧官能团的名称_______。 (4)由E生成F的化学方程式为_______。 (5)由G生成H分两步进行:反应1)是在酸催化下水与环氧化合物的加成反应,则反应2)的 反应类型为_______。 (6)化合物B的同分异构体中能同时满足下列条件的有_______(填标号)。 a.含苯环的醛、酮 -O-O- b.不含过氧键( ) c.核磁共振氢谱显示四组峰,且峰面积比为3∶2∶2∶1A.2个 B.3个 C.4个 D.5个 (7)根据上述路线中的相关知识,以丙烯为主要原料用不超过三步的反应设计合成下图有机 物,写出合成路线_______。 【KS5U答案】间苯二酚(或1,3-苯二酚) 2 酯基,醚键,羟基(任写两种) TsOH PhMe +HO 取代反应 C 2 m-CPBA  浓H H 2 S O O 4  揪 (C揪H 3 CO) 2 O井 2【分析】 由合成路线图,可知,A(间苯二酚)和B( )反应生成C( ), 与碳酸二甲酯发生酯化反应,生成 ,与氢气发生加成反应生成 , 发生消去反应,生成F,F先 氧化成环氧化合物G,G在酸催化下水与环氧化合物的加成反应,然后发生酯的水解生成H, 据此分析解答。 【KS5U解析】 (1)A为 ,化学名称为间苯二酚(或1,3-苯二酚),故答案为:间苯二 酚(或1,3-苯二酚);(2)D为 ,与氢气发生加成反应 生成 ,碳碳双键及酮基都发生 1mol D mol 了加成反应,所以 反应生成E至少需要2 氢气,故答案为:2; (3)E为 ,含有的含氧官能团的 名称为酯基,醚键,羟基(任写两种),故答案为:酯基,醚键,羟基(任写两种); (4)E为 ,发生消去反应,生成,化学方程式为 TsOH PhMe +HO,故答案为: 2 TsOH PhMe+HO; 2 (5)由G生成H分两步进行:反应1)是在酸催化下水与环氧化合物的加成反应,则反应2)是 将酯基水解生成羟基,反应类型为取代反应,故答案为:取代反应; (6)化合物B为 ,同分异构体中能同时满足下列条 -O-O- 件:.含苯环的醛、酮;b.不含过氧键( );c.核磁共振氢谱显示四组峰,且峰面积比 为3∶2∶2∶1,说明为醛或酮,而且含有甲基,根据要求可以写出: , ,, ,故 有4种,答案为:C; (7)以丙烯为主要原料用不超过三步的反应设计合成下图有机物,可以将丙烯在m-CPBA的作 用下生成环氧化合物,环氧化合物在酸催化下水发生加成反应,然后再与碳酸二甲酯发生酯 化反应即可,故合成路线为: m-CPBA  浓H H 2 S O O 4  2 。 揪 (C揪H 3 CO) 2 O井 6.(2021·河北高考真题)丁苯酞(NBP)是我国拥有完全自主知识产权的化学药物,临床上 用于治疗缺血性脑卒中等疾病。ZJM—289是一种NBP开环体(HPBA)衍生物,在体内外可经酶 促或化学转变成NBP和其它活性成分,其合成路线如图:CHCOONa 已知信息: +R2CHCOOH 3 (R1=芳基) 2 Δ  (CHCO)O 3 2 回答下列问题: (1)A的化学名称为___。 (2)D有多种同分异构体,其中能同时满足下列条件的芳香族化合物的结构简式为___、___。 ①可发生银镜反应,也能与FeCl 溶液发生显色反应; 3 ②核磁共振氢谱有四组峰,峰面积比为1∶2∶2∶3。 (3)E→F中(步骤1)的化学方程式为__。 (4)G→H的反应类型为___。若以NaNO 代替AgNO,则该反应难以进行,AgNO 对该反应的促 3 3 3 进作用主要是因为__。 (5)HPBA的结构简式为__。通常酯化反应需在酸催化、加热条件下进行,对比HPBA和NBP的 结构,说明常温下HPBA不稳定、易转化为NBP的主要原因___。 (6)W是合成某种抗疟疾药物的中间体类似物。设计由2,4—二氯甲苯( )和 对三氟甲基苯乙酸( )制备W的合成路线__。(无机试剂和四个 碳以下的有机试剂任选)。 【KS5U答案】邻二甲苯取代反应 AgNO 反应生成的AgBr难溶于水,使平衡正向移动促进反应进行 3 HPBA中烃基的空间位阻较大,使得羟基较为活泼,常温下不稳定、 易转化为NBP 【KS5U解析】 (1)A的分子式为CH ,不饱和度为4,说明取代基上不含不饱和键,A与O 在VO 作催化剂 8 10 2 2 5 并加热条件下生成 ,由此可知A的结构简式为 ,其名称为邻二甲 苯,故答案为:邻二甲苯。 (2) 的同分异构体满足:①可发生银镜反应,也能与FeCl 溶液发生显色反应, 3 说明结构中含有醛基和酚羟基,根据不饱和度可知该结构中除醛基外不含其它不饱和键,② 核磁共振氢谱有四组峰,峰面积比为1:2:2:3,说明该结构具有对称性,根据该结构中氧 原子数可知该结构中含有1个醛基、2个酚羟基、1个甲基,满足该条件的同分异构体结构简式为 和 ,故答案为: ; 。 (3)E→F中步骤1)为 与NaOH的水溶液反应, 中酯基、羧基能与NaOH反应,反应方程式为 故答案为:(4)观察流程可知,G→H的反应为 中Br原子被AgNO 中-O- 3 NO 取代生成 和AgBr,反应类型为取代反应;若以 2 NaNO 代替AgNO,则该反应难以进行,其原因是NaNO 反应生成的NaNO 易溶于水,而AgNO 3 3 3 3 3 反应生成的AgBr难溶于水,使平衡正向移动促进反应进行,故答案为:取代反应;AgNO 反 3 应生成的AgBr难溶于水,使平衡正向移动促进反应进行。 (5)NBP( )中酯基在碱性条件下发生水解反应生成 , 经过酸化后生成HPBA( ); 中 烃基体积较大,对羟基的空间位阻较大使得羟基较为活泼,容易与羧基发生酯化反应生成,故答案为: ;HPBA中烃基的空间位阻较大,使得羟 基较为活泼,常温下不稳定、易转化为NBP。 (6)由 和 制备 可通过题干已知信息而得,因此需要先合成 , 可通过 氯代后水解再催 化氧化而得,因此合成路线为 , 故答案为: 。 7.(2021·浙江高考真题)某课题组合成了一种非天然氨基酸X,合成路线如下(Ph—表示苯基): 已知:R—CH=CH—R 1 2 CHBr 3 NaOH RBr RMgBr 3 3 Mg (CH)O 2 52 请回答: (1)下列说法正确的是______。 A.化合物B的分子结构中含有亚甲基和次甲基 B.1H-NMR谱显示化合物F中有2种不同化学环境的氢原子 C.G→H的反应类型是取代反应 D.化合物X的分子式是C H NO 13 15 2 (2)化合物A的结构简式是______ ;化合物E的结构简式是______。 (3)C→D的化学方程式是______ 。 (4)写出3种同时符合下列条件的化合物H的同分异构体的结构简式(不包括立体异构 体)______。 ①包含 ;②包含 (双键两端的C不再连接H)片段; ③除②中片段外只含有1个-CH- 2 (5)以化合物F、溴苯和甲醛为原料,设计下图所示化合物的合成路线(用流程图表示,无机 试剂、有机溶剂任选)______。 (也可表示为 ) 【KS5U答案】CD +NaOH +NaCl+HO 2 CH 3 CH 2 OH Δ 、 、 Mg (CH)O 2 52 HCHOH +/H2 O HBr Δ【分析】 A发生取代反应生成B,B发生氧化反应并脱去CO 后生成C,C发生消去反应生成D,D发生 2 第一个已知信息的反应生成E,E再转化为F,F发生取代反应生成G,G发生取代反应生成 H,H经过一系列转化最终生成X。据此解答。 【KS5U解析】 (1)A.化合物B的结构简式为 ,因此分子结构中含有亚甲基-CH 2 -,不含次甲基 ,A错误; B.化合物F的结构简式为 ,分子结构对称,1H-NMR谱显示化合物F中有1种 不同化学环境的氢原子,B错误; C.G→H是G中的-MgBr被-COOCH 取代,反应类型是取代反应,C正确; 3 D.化合物X的结构简式为 ,分子式是C H NO,D正确; 13 15 2 答案选CD; (2)A生成B是A中的羟基被氯原子取代,根据B的结构简式可知化合物A的结构简式是 ;C发生消去反应生成D,则D的结构简式为 。D发生已知信息中的第一个反应生成E,所以化合物E的结构简式是 ; (3)C发生消去反应生成D,则C→D的化学方程式是 +NaOH +NaCl+HO; 2 CH 3 CH 2 OH Δ (4)化合物H的结构简式为 ,分子式为C H O,符合条件的同分异构 13 14 2 体①含有苯基 ,属于芳香族化合物;②含有 ,且双键两 端的C不再连接H;③分子中除②中片段外中含有1个-CH-,因此符合条件的同分异构体 2 为 、 、 ; (5)根据已知第二个信息以及F转化为G反应结合逆推法可知以化合物 、溴苯和甲醛为原料制备 的合成路线为 Mg (CH)O 2 52 HCHOH +/H2 O HBr Δ 。 2021年化学高考模拟题 1.(2021·九龙坡区·重庆市育才中学高三三模)药物他莫昔芬(Tamoxifen)的一种合成路 线如下图所示: 已知: +HBr +RBr①R'MgBr ②HO/H+ 2 回答下列问题: (1)A+B→C的反应类型为___________;C中官能团的名称为___________。 (2)CHCHI的名称为___________。 3 2 (3)反应D→E的化学方程式为___________。 (4)Tamoxifen的结构简式为___________。 (5)X是C的同分异构体。X在酸性条件下水解,生成2种核磁共振氢谱都显示4组峰的芳香 族化合物,其中一种遇FeCl 溶液显紫色,符合条件的X有___________种。 3 (6)参照以上合成路线,设计用 和CHI为原料制备 的合成路 3 线(无机试剂任选,限四步): ___________。 【KS5U答案】取代反应 醚键、羰基 碘乙烷 +HBr CHBr+ 3  5种 ①NaH ②CHI 3 催化剂 加热H 2 浓硫酸 Ni/Δ 加热 催化剂 加热 【分析】 根据信息可知A和B发生取代反应生成C,C发生取代反应生成D,D和HBr发生取代反应生 成 ,E发生取代反应生成F,根据信息F先生成 ,再发生消去反应得到 。 【KS5U解析】 (1)根据结构简式得到A+B→C的反应类型为取代反应;C中官能团的名称为醚键、羰基;故答案为:取代反应;醚键、羰基。 (2)CHCHI的名称为碘乙烷;故答案为:碘乙烷。 3 2 (3)反应D→E的化学方程式为 +HBr CHBr+ 3  ;故答案为: +HBr  CHBr+ 。 3 (4)根据信息 ,F先发生反应再消去反应得到 ①R'MgBr ②HO/H+ 2 Tamoxifen,则Tamoxifen的结构简式为 ;故答案为: 。 (5)X是C( )的同分异构体。X在酸性条件下水解,生成2种核磁 共振氢谱都显示4组峰的芳香族化合物,其中一种遇FeCl 溶液显紫色符合条件的X有 3 、 、 、 、 ,共5种;故答案为:5。 (6)根据信息 和CHI发生取代反应生成 , 和氢气发生 3加成反应生成 , 和浓硫酸发生消去反应生成 , 发生加聚反应生成最终产物,其合成路线为 ①NaH ②CHI 3 H 2 浓硫酸 Ni/Δ 加热 ;故答案为: 催化剂 ①NaH 加热 ②CHI 3 H 2 浓硫酸 催化剂 Ni/Δ 加热 加热2.(2021·南岸区·重庆第二外国语学校高三三模)化合物M是制备一种抗菌药的中间体, 实验室以芳香化合物A为原料制备M的一种合成路线如下: 已知:R 1 CH 2 Br  一 R 定 2 C 条 HO 件  R 1 CH=CHR 2 R 一 3 C 定 OO 条 H/ 件 I2  回答下列问题: (1)B的化学名称为_______;E中官能团的名称为_______。 (2)写出D与氢氧化钠水溶液共热的化学方程式_______。 (3)由F生成M所需的试剂和条件为_______。 (4)X是D的同分异构体,同时符合下列条件的X可能的结构有_______种(不含立体异构)。 ①苯环上有两个取代基,含两个官能团;②能发生银镜反应。 其中核磁共振氢谱显示4组峰的结构简式是_______(任写一种)。 (5)碳原子上连有4个不同的原子或原子团时,该碳称为手性碳。写出F的结构简式并用星号 (*)标出F中的手性碳:_______。 (6)参照上述合成路线和信息,以乙烯和乙醛为原料(无机试剂任选),设计制备 的合成路线_______。 【KS5U答案】邻甲基苯甲醛或2-甲基苯甲醛 碳碳双键、羧基 +2NaOH NaOH/水 ΔNaOH/水 +NaBr+HO NaOH的乙醇溶液、加热 6 2 Δ 、 CH=CH 2 2 HBr  催化剂/Δ CHCHBr CHCH=CHCH 3 2 3 3 CH 3 CHO 催化剂 一定条件 【分析】 A分子式是CH,则A是甲苯,结构简式是 ,A与CO在AlCl/HCl存在条件下发 7 8 3 生反应生成B,B分子式是CHO,B与O 反应生成的C是 ,C分子式是CHO,两 8 8 2 8 8 2 种物质分子式相差一个O原子,可逆推B是 ,C发生甲基上的取代反应生成的D 为 ,根据已知 ,D与HCHO在一定条件下发生反应生成的E为: ,E与I 在一定条件下发生信息中第二步反应生成的F为 ,F与 2 NaOH的乙醇溶液共热,发生消去反应产生的M为 ,据此分析解题。【KS5U解析】 (1)B结构简式是 ,名称为邻甲基苯甲醛或2-甲基苯甲醛;E是 , 含有的官能团的名称为碳碳双键、羧基; (2) D是 ,D与氢氧化钠水溶液共热,Br原子被-OH取代,-COOH与NaOH发生中 和反应产生-COONa,故反应的化学方程式为: +2NaOH +NaBr+HO; 2 (3) F是 ,分子中含有I原子,由于I原子连接的C原子的邻位C原子上含有H原 子,所以F可以与NaOH的乙醇溶液在加热条件下发生消去反应形成不饱和的碳碳双键,得到 物质M: ,故由F生成M所需的试剂和条件为NaOH的乙醇溶液、加热; (4)D是 ,X是D的同分异构体,同时符合下列条件:①苯环上有两个取代基,含 两个官能团; ②能发生银镜反应,说明含有醛基-CHO或甲酸形成的酯基HCOO-,由于X中含 有2个O原子,可确定X可能含有两个取代基分别是HCOO-、-CHBr或HCOOCH-、-Br,两个 2 2 官能团在苯环上的位置有邻位、间位、对位三种不同的位置,因此D的同分异构体X可能的 种类数目为2×3=6种;其中核磁共振氢谱显示4组峰的结构简式是 或 ; (5)碳原子上连有4个不同的原子或原子团时,该碳称为手性碳;F的结构简式是 ,其中含有的手性碳原子用星号(*)标出为: ; (6)CH=CH 与HBr在催化剂存在条件下发生加成反应产生CHCHBr,根据题给已知,CHCHBr 2 2 3 2 3 2 与CHCHO反应产生CHCH=CHCH,CHCH=CHCH 在催化剂存在条件下加热,发生加聚反应产生 3 3 3 3 3 ,故以乙烯和乙醛为原料制备 的合成路线为: 。 3.(2021·重庆市第十一中学校高三二模)以烯烃A、D为原料合成某药物中间体K,其流 程如下: 已知: RX i)酸化RCH 2 COOH(R表示烃基,X表示卤 乙醇钠 ii)Δ,-CO 2 素原子) 回答下列问题: (1)A的化学名称是________;B所含官能团名称________。 (2)H→I所需试剂a为________。C+I→J的反应类型是________。 (3)E、F与新制氢氧化铜悬浊液共热都产生砖红色沉淀。E的结构简式为________,F与新制 Cu(OH) 悬浊液发生反应的化学方程式为________。 2 (4)K的结构简式________。 (5)C的同分异构体有________种,其中核磁共振氢谱有2组峰的结构简式为________。(6)以丙二酸(HOOCCHCOOH)、乙烯为原料合成2—乙基丁酸( ),设计合成 2 路线________(其他试剂任选)。 【KS5U答案】1,3-丁二烯 碳碳双键、溴原子(碳溴键) 乙醇(CHCHOH) 取代反应 3 2 Δ CH=CHCHO HOCHCHCHO + 2Cu(OH) +NaOH HOCHCHCOONa + CuO↓+3HO 2 2 2 2 2 2 2 2 8 【分析】 由A的分子式以及A与溴单质反应生成B,则A→B发生1、4加成,则A为1,3-丁二烯;由B C H 与氢气发生加成反应生成C,则C为 ;由D的分子式 3 6以及与氧气发生 氧化反应生成E可知D为 ,E为 ;结合F的相对分子质量可知F为 HOH CCH CHO 2 2 ;F与氧气在Cu作催化剂下发生催化氧化生成G,结合G的分子式可知G OHCCH CHO C H O 的结构简式为 2 ;G与银氨溶液反应在酸化得到分子式为 3 4 4的H,则H的HOOCCH COOH 结构简式为 2 ;H与试剂a在浓硫酸的作用下发生酯化反应生成分子式为 C H O 7 12 4的I,则试剂a为乙醇(CHCHOH),I的结构简式为 3 2 CH CH OOCCH COOCH CH 3 2 2 2 3;I与C反应生成J;J再酸化、加热、脱去二氧化碳的到 K。据此分析可得: 【KS5U解析】 (1)由A的分子式以及A与溴单质反应生成B,则A→B发生1、4加成,则A为1,3-丁二烯; B( )中所含官能团有碳碳双键以及溴原子;故答案为:1,3-丁二烯;碳碳双 键、溴原子(碳溴键); C H O HOOCCH COOH (2)H的分子式 3 4 4、结构简式 2 以及I的分子式和反应条件可知试剂a 为乙醇(CHCHOH);由已知: 可知,C+I→J的反应类型为 3 2 RX 乙醇钠 取代反应,故答案为:乙醇(CHCHOH);取代反应; 3 2 C H O (3)E、F与新制氢氧化铜悬浊液共热都产生砖红色沉淀,以及根据E的分子式 3 4 可知E HOH CCH CHO 的结构简式为 ;根据F的相对分子质量可知F的结构简式为 2 2 , Δ 则其与新制Cu(OH) 悬浊液发生反应的化学方程式为HOCHCHCHO + 2Cu(OH) +NaOH 2 2 2 2 HOCHCHCOONa + CuO↓+3HO,故答案为: ;HOCHCHCHO + 2Cu(OH) +NaOH 2 2 2 2 2 2 2 Δ HOCHCHCOONa + CuO↓+3HO; 2 2 2 2 (4)J 经酸化水解、加热脱二氧化碳,生成K,则K的结构简式 ,故答案为: ; (5)丁烷有正丁烷异、丁烷两种同分异构体,其中一溴代物有 共4种,a、b、c、d分子中的1个氢原 子被溴原子取代得二溴代物依次由4种、2种、3种、1种,则C的同分异构体共8种;其中 核磁共振氢谱有2组峰,故答案为:8; ; (6)在浓硫酸作用下丙二酸(HOOCCHCOOH)与乙醇加热发生反应生成 ; 2 CH CH Br CH CH Br 乙烯与HBr在一定条件下发生加成反应生成 3 2 ; 3 2 与 在 作用下反应生成 ;然后再 CH CH ONa 3 2 酸化、加热脱二氧化碳得到目标产物。则其合成路线如下:,故答案为: 。 4.(2021·青海西宁市·高三二模)ATRP技术与点击化学相结合制备H(环状-PMMA)的合成 路线如下:已知:I.E在酸性或碱性条件下均能发生水解; II. (R 为取代基, 1 R、R、Z、Z 为取代基或H); 2 3 1 2 III.RBr RN (R,R′为烃基) NaN 3 3  C R uB - r C ,  D C M H F  回答下列问题: (1)A中含有的官能团名称是_______。 (2)②的反应类型是_______。 (3)反应③的化学方程式为_______。 (4)C的结构简式为_______。 (5)上述合成路线中,原子利用率达到100%的反应有_______(填标号)。 (6)写出具有五元环结构、能发生水解反应的C的同分异构体的结构简式:_______(只写一 种)。 (7)设计以苯和苯乙炔为原料制备 的合成路线:_______。(其他试剂任选)【KS5U答案】碳碳双键 氧化反应 + → +HBr HCCCH OH 2 ①④⑥ 、 、 (任写一种) 【分析】 A为丙烯,在催化剂作用下与CO、甲醇反应生成B,结合已知C的分子式可知,C比B少2个 H,B发生去氢的氧化反应形成碳碳双键生成C,则C为 ,D与 发 HCCCH OH 2 生反应生成E,根据E的分子式中只含有一个溴原子,且E在酸性或碱性条件下均能发生水 解,则E为 ,E与C发生类似已知II的反应,生成F,F发生类似已知III的 反应生成G, 以此解答。 【KS5U解析】 (1)A为丙烯,含有的官能团名称是碳碳双键,故答案为:碳碳双键。 (2)②发生去氢的氧化反应形成碳碳双键生成 ,所以反应类型为氧化反应,故答案 为:氧化反应。(3) 反应③是D与 发生反应生成 ,其化学方程式为 HCCCH OH 2 + → +HBr,故答案为: + → HCCCH OH HCCCH OH 2 2 +HBr。 (4)由分析可知,C的结构简式为 ,故答案为: 。 (5) 上述合成路线中,①为丙烯与CO、甲醇发生加成反应生成B,④为C和E发生加聚反应 生成F,⑥为G发生加成反应生成H,原子利用率均达到100%,故答案为:①④⑥。 (6)C为 ,C的同分异构体具有五元环结构、能发生水解反应的结构简式有: 、 、 (任写一种),故答案为: 、 、 (任写一种)。 (7) 苯在铁的催化下与液溴发生取代反应生成溴苯,溴苯与NaN 反应生成 , 3与苯乙炔在溴化亚铜、DMF作用下反应生成 ,合成路线为: ,故答案为: 。 5.(2021·青海高三三模)琥珀酸去甲文拉法辛可用于重性抑郁症患者的治疗,其合成路 线流程图如下: 已知:①Me为代表甲基(-CH); 3 ② +R-OH +HCl OH-  (1)A中的官能团名称为___________(写两种);A→B反应的方程式为___________。 (2)C→D的反应类型为___________;D→E的反应类型为___________。 (3)X的分子式为CH O,写出X的结构简式:___________;X中含有官能团名称为 6 10 ___________。 (4)B的一种同分异构体同时满足下列条件,写出该同分异构体的结构简式:___________。①分子中含有苯环,为苯环的二取代物,能和FeCl 溶液发生显色反应,不能发生银镜反应; 3 ②能发生水解反应,分子中只有5种不同化学环境的氢。 (5)写出以 和CH=CH 为原料制备 的合成路线流程图(无机试剂任 2 2 用,合成路线流程图示例见本题题干) ______。 【KS5U答案】羧基、(酚)羟基 取代反应 加成反应 羰基 【分析】 与 发生取代反应生成 ,B与SOCl 发生取代反 2 应生成 ,C与MeNH-HCl发生取代反应生成D ,X为 2,D与X发生加成反应生成E,E为 ,E在1)BH-THF,2)H,Pd/ 3 2 C,THF条件下生成 。 【KS5U解析】 (1)A 中的官能团名称为羧基、(酚)羟基(写两种); 与 发生取代反应生成 ,A→B反应的方程式为 。故答案为:羧基、(酚) 羟基; ; (2)C 与MeNH-HCl发生取代反应生成D ,C→D的反应类 2型为取代反应;D为 ,X为 ,D与X发生加成反应生成E,E为 ,D→E的反应类型为加成反应。故答案为:取代反应;加成反应; (3)X的分子式为CH O,X的结构简式: ;X中含有官能团名称为羰基。故答案为: 6 10 ;羰基; (4)B的一种同分异构体同时满足下列条件,①分子中含有苯环,为苯环的二取代物,能和 FeCl 溶液发生显色反应,不能发生银镜反应,含有酚羟基,不含醛基;②能发生水解反应, 3 含有酯基,分子中只有5种不同化学环境的氢,分子有对称轴,满足条件的同分异构体为 或 。故答案为: 或 ; (5)以 和CH=CH 为原料制备 ,先用甲苯氧化得到苯甲酸,再与 2 2 SOCl 发生取代反应生成 ,再用乙烯与溴发生加成反应制取1,2-二溴乙烷,碱性条 2件下水解得到乙二醇,乙二醇与 发生取代反应得到产物。合成路线流程图如下: 。故答案为: 。 6.(2021·全国高三零模)酯类物质Ⅰ是一种光刻胶,是微电子技术中微细图形加工的关 键材料之一,还可以应用于印刷工业。近年来大规模和超大规模集成电路的发展,更是大大 促进了光刻胶的研究开发和应用。其合成路线设计如下:(部分试剂和产物略去) 已知: 请回答下列问题: A C (1) 为芳香族化合物,其结构简式为______, 中含有官能团的名称为______。 EF GH B (2) 、 的反应类型分别为:______、______。用“*”标出 中手性碳原子的 位置______。DHI (3) 的化学方程式为______。 (4)满足下列条件的B的同分异构体有______种(不考虑立体异构)。 ①与碳酸氢钠溶液反应②含有苯环③含有2个甲基 (5)根据已有知识并结合相关信息,写出以2-丙醇和乙醛为原料,制备 的合成路 线流程图(无机试剂任选)______。 【KS5U答案】 碳碳双键、醛基 加成反应 取代反应(或水解反应) 6 n + 一定条件 +nHO 2 Cu/O 2 CH 3 CHO Δ 一定条件 H+ ①新制Cu(OH)2 / Δ ②H+ 催化剂 Δ 【分析】 A与乙醛发生已知信息的反应生成B,根据B的分子式可知A为 ,B的结构式为: ,C为 ,C与新制氢氧化铜悬浊液反应醛基被氧化为羧基,D为: ,H为聚乙烯醇,则G为聚氯乙烯, F为氯乙烯,E为乙炔,据此分析解题。 【KS5U解析】 (1)据分析可知A为芳香族化合物,其结构简式为 ,C的结构简式为: , 中含有官能团的名称为碳碳双键、醛基。 C EF GH (2) 乙炔的加成、 为卤代烃的水解,反应类型分别为:加成、取代(水解)。B 的结构简式为: , 中手性碳原子的位置: 。 B (3)DHI的化学方程式为n + 一定条件 +nHO。 2 (4) ①与碳酸氢钠溶液反应说明含有羧基,②含有苯环,③含有2个甲基的同分异构体为:、 、 、 、 、 ,共六种。 (5)以2-丙醇和乙醛为原料,制备 的合成路线: Cu/O 2 Δ CH 3 CHO H+ 一定条件 Δ 。 ①新制Cu(OH)2 / 催化剂 ②H+ Δ 7.(【一飞冲天】新华中学高三模拟化学.)某种缓释长效高分子药物的合成路线如图所示:已知:RCOOH SOCl 2 (1) E的化学名称为___________ ,A → B的反应类型为___________。 (2)有机物C中含有6个碳原子,是其同系物中相对分子质量最小的一种,其质谱图如下: 则C的结构简式为___________,可以用来检验C的一个取代反应的化学方程式为 ___________。 (3)写出F→H的化学方程式:___________。 (4) 是扑热息痛的结构简式,其同分异构体有多种, 同时满足下列条件的同分异构体有___________种(不考虑立体异构);其中核磁共振氢谱有4 组峰,且峰面积之比为2: 2: 2: 3的所有结构简式为___________。 ①含有苯环且苯环上有两个取代基,其中一个是-NH 2。 ②能发生水解反应。 (5)已知: CH 3 COCl  。结合上述流程和所学知识,设计以苯乙醛( AlCl 3)为原料(其他无机试剂任选),制备 的合成路线: ___________。 【KS5U答案】2-甲基丙烯酸(或异丁烯酸、甲基丙烯酸) 加成反应 +3Br ↓+3HBr 2 9 、 【分析】 A属于烯烃,则A结构简式为CH=CHCH,A与苯在AlCl 催化作用下反应生成B,根据B结构 2 3 3 简式及丙烯和苯知,该反应为加成反应;C由碳、氢、氧三种元素组成,根据质谱图所示, 从图中可知其相对分子质量是94,含有6 个碳原子,是其同系物中相对分子质量最小的一种知,C为苯酚,结构简式为 ,根据题给信息及结构简式知,D结构简式为CHCOCH, 3 3 它与HCN加成后在酸性条件下水解生成 ,再根据题给流程信息知, 发生消去反应生成E ,E和SOCl 发生反应生成F 2 。 【KS5U解析】 (1) E为 ,化学名称为2-甲基丙烯酸(或异丁烯酸、甲基丙烯酸),A结构简 式为CH=CHCH,A与苯在AlCl 催化作用下反应生成B,根据B结构简式及丙烯和苯知,A → 2 3 3 B的反应类型为加成反应。故答案为:2-甲基丙烯酸(或异丁烯酸、甲基丙烯酸);加成反应; (2)质谱图中质荷比的最大值即为该有机物的相对分子质量,则其相对分子质量是94,再根 据题给信息可知,则C的结构简式为 ,苯酚易与溴水发生反应,生成三溴苯酚和溴化 氢,可以用来检验C的一个取代反应的化学方程式为 +3Br 2↓+3HBr。故答案为: ; +3Br ↓+3HBr; 2 (3)F的结构简式为 ,结合反应过程中基团的变化,可知F与 发生了取代反应生成H和HCl,H的结构简式 ,F→H的化学方程式: 。故答案为: ; (4) 是扑热息痛的结构简式,其同分异构体有多种,同时满足 ①含有苯环且苯环上有两个取代基,其中一个是-NH,②能发生水解反应,说明含有酯基, 2 符合的同分异构体有: (邻间对三种) (邻间对三种) (邻间 对三种),共9种,其中核磁共振氢谱有4组峰,且峰面积之比为2: 2: 2: 3的所有结构简式为 、 ;故答案为:9; 、 ; (5)以苯乙醛( )为原料(其他无机试剂任选),制备 的合成路线: 先用苯乙醛在 条件下发生流程D的反应,产物 在浓 硫酸作用下发生消去反应生成 苯丙烯酸, 与和SOCl 发生反应生成酰氯,最后在在AlCl 催化作用下生成 2 3 目标产物 , 。故答案为: 。8.(2021·浙江高三其他模拟)纽甜(NTM)结构简式为: 它是目前唯一人工合成安全代糖甜味剂,甜度大约是蔗糖的8000倍。下面是纽甜的一种合成 路线: 已知:①同一个碳原子上连接2个—OH的结构不稳定,脱水形成 ② +NH—→ 2 ③ + 弱碱 请回答: (1)化合物的结构简式:C___,E___。 (2)F→G的化学方程式是___。 (3)下列说法正确的是___。 A.化合物A能发生银镜反应 B.纽甜的分子式是C H ON 20 28 5 2 C.HNCHCOOH与CHCOCl反应是为了保护氨基不与苯甲醛反应 2 2 3 D.该工艺同时会生成一种NTM的同分异构体 (4)写出符合下列条件的G的所有同分异构体结构简式___。 ①红外光谱显示分子中含有—NO 2 ②氢核磁共振谱显示含有苯环,且苯环上有三种化学环境不同的氢原子 ③能被酸性高锰酸钾氧化成苯甲酸 (5)利用学过的知识,结合题给信息,设计富马酸制备天冬氨酸的合成路线___(用流程图表示,无机试剂任选)。 【KS5U答案】 H+ +HO CHCOOH+ ACD 2  3 、 、 、  催 H 化 2 O 剂  O C 2 u /Δ NH 3  P H d/ 2 C  【分析】 发生碱性水解得到A ,富马酸与氨气发生加成反应得到 天冬氨酸,A与天冬氨酸发生已知②中的反应得到B ,B与氢气加成得到C ,甘氨酸与乙酰氯发生取代 反应得到 , 与苯甲醛发生已知③反应得到D,D发生消去反应得到E ,E与氢 气发生加成反应得到F ,F酸性条件下发生水解反应得到G ,G与乙醇发生酯化反应得到H ,H与C发生取 代反应生成NTM ,据此分析解答。 【KS5U解析】 (1)由以上分析可知C为 ,E为 ,故 答案为: ; ; H+ (2) F→G发生的是酰胺键的水解反应,反应方程式为: +HO 2  H+ CHCOOH+ ,故答案为: +HO CHCOOH+ 3 2  3 ;(3) A.化合物A为 ,含有醛基能发生银镜反应,故A正确; B.由纽甜的结构简式可知其分子式是C H ON,故B错误; 20 30 5 2 C.HNCHCOOH中的氨基能与醛基发生已知②中反应,先与CHCOCl反应将氨基转化成酰胺键可 2 2 3 以保护氨基不与苯甲醛反应,故C正确; D.C和H发生的反应为羧基和氨基的取代反应,C中有两个不对称羧基均可发生反应,因此除 了生成产物NTM外,还会得到其同分异构体,故D正确; 故答案为:ACD; (4) G的同分异构体①红外光谱显示分子中含有—NO,除硝基外还有三个碳原子连在苯环上; 2 ②氢核磁共振谱显示含有苯环,且苯环上有三种化学环境不同的氢原子,说明苯环上只有一 个取代基,可能是正丙基或异丙基; ③能被酸性高锰酸钾氧化成苯甲酸,说明苯环所连的碳原子上有H; 若为正丙基则符合的结构有: 、 、 ;若为异丙基符合的结构有: ; 故答案为: 、 、 、 ; (5) 可由 与氢气发生加成反应得到, 可由 与氨气发生已知②中反应得到, 可由 经过催化氧化反应生成, 可由 与水发生加成反应得到,故答案为:  催 H 化 2 O 剂  O C 2 u /Δ N  H 3  P H d/ 2 C  ; 9.(2021·河南新乡市·新乡县一中高三其他模拟)甲氰菊酯是用量少、无残毒、无公害 的除虫药,改进的工艺合成路线如下: 已知:(1) 与Zn反应生成ClCH=C=O (2) +ClCH=C=O→ 回答一下问题: (1)A物质核磁共振氢谱有三组峰,峰面积之比为6:1:1,写出A的化学名称___________。 (2)由A生成B的反应类型为___________。 (3)写出反应④的化学方程式___________。 (4)F的结构简式为___________。 (5)甲氰菊酯分子中的含氧官能团名称为___________。(6)M与 互为同分异构体,满足下列条件的M有___________种。 ①含两个苯环 ②能发生银镜反应 ③能与FeCl 发生显色反应 3 (7)写出由乙醇制备 的合成路线___________。(无机试剂任选) 【KS5U答案】2-丙醇 取代反应 浓硫酸 Δ (CH)C=C(CH)+HO 酯基、醚键 19 3 2 3 2 2 【分析】 根据A的分子式可知A中碳原子饱和,所以为醇或醚,核磁共振氢谱有三组峰,峰面积之比 为6:1:1,则A为CHCH(OH)CH;根据反应条件可知A中羟基被Cl原子取代得到B,则B为 3 3 ;根据反应条件以可知D中羟基发生消去反应生成E,则E为(CH)C=C(CH);根据 3 2 3 2 题目所给信息以及F 的分子式可知,反应⑤中 先与Zn反应生成ClCH=C=O,然后再发生类似信息②的反应得到F,所以F为 。 【KS5U解析】 (1)根据分析可知A为CHCH(OH)CH,名称为2-丙醇; 3 3 (2)A生成B为A中羟基被氯原子代替的过程,属于取代反应; (3)反应④为D中羟基的消去反应,化学方程式为 浓硫酸 Δ (CH)C=C(CH)+HO; 3 2 3 2 2 (4)根据分析可知F的结构简式为 ; (5)甲氰菊酯中的含氧官能团为圈出部分土 名称为酯基、醚键; (6)根据题中条件,M的结构中含有两个苯环、一个醛基,一个酚羟基,如果醛基和苯环处于 邻位,根据结构对称关系,虚线为对称轴,羟基位置可为 所标7种,如果是 间位 羟基位置也是7种,当是对位时 为5种, 共7+7+5=19种; (7)根据题中信息氯代烃和羰基可以发生类似反应③的反应,延长碳链,同时引人羟基,所 以可将乙醇转化成氯代烃和醛,再反应得到目标产物,合成路线为。 10.(2021·江西抚州市·临川一中)经研究表明,阿比朵尔对禽流感病毒及新冠肺炎病毒 均有有效拟制作用,但水溶性较差,盐酸阿比朵尔(可看作为阿比朵尔的盐酸盐)也是广谱抗 病毒药物,以下为盐酸阿比朵尔的合成路线: 回答下列问题: (1)B中含氧官能团的名称为_______。 (2)反应A→B的目的是_______,B→C的反应类型为_______。 (3) 中的官能团为巯基,可以确认巯基的方法有_______(填标号)。 A.核磁共振氢谱 B.质谱 C.红外光谱 D.原子光谱 (4)E的结构简式为_____。 (5)由阿比朵尔(E)制成盐酸阿比朵尔(F)的目的是_____。 (6)利用相关知识和上述流程中的原理,某实验小组设计出了以为主要原料,合成扑炎痛( )的路线如下: ①反应1的化学方程式为____(反应物按物质的量之比1:1反应,且有一种生成物为一常见 的酸性氧化物) ② 的所有同分异构体中,除苯环外不含其它环、结构中不含过氧键(即-O-O-)的同 分异构体有____种。 ③X的结构简式为____。 【KS5U答案】酯基 保护酚羟基 取代反应 C 增强药物的水溶性 +SOCl→ 2 +SO+HCl 12 2【分析】 C的分子式为C H ONBr,对比B、C的分子式可知B与Br 发生的是取代反应,再结合A的结 15 15 4 2 2 构简式可知B的结构简式为 ;结合D和F的结构以及E的分子式, 可知E为 ,可以理解为D中苯环先与HCHO发生加成反应引 入-CHOH,然后羟基被-N(CH) 取代生成E。 2 3 2 【KS5U解析】 (1)B为 ,其含氧官能团为酯基; (2)A生成B的过程中酚羟基与(CHCO)O发生酯化反应生成B,根据后续产物可知,C到D的 3 2 过程又重新生成了酚羟基,所以反应A→B的目的是保护酚羟基;对比B和C的结构简式可知 该反应为取代反应; (3)核磁共振氢谱确定不同化学环境的氢原子种类,质谱可以确定相对分子质量等,红外光 谱可以确定原子团、官能团等,可以确定巯基的方法红外光谱,故选C; (4)根据分析可知E的结构简式为 ; (5)根据流程可知E和HCl反应形成带有结晶水的盐,可以增强药物水溶性,提高药效;(6)①反应1中羧基中氢原子被氯原子取代,且二者1:1反应,有一种生成物为一常见的酸 性氧化物,根据元素守恒可知该物质应为SO,则化学方程式为 +SOCl→ 2 2 +SO+HCl; 2 ②其同分异构体可以有一个取代基为:-OCOOH,共1种;两个取代基:-OH和-COOH、-OH和- OOCH,每一组都有邻间对3种,但其中一种为 ,所以共5种;还可以是三个取代 基:-CHO、-OH和-OH,有6种,共有1+5+6=12种同分异构体; ③对比X前后的物质可知, 中酚羟基中转化为-ONa,氨基转化为酰胺基, 为了避免酚羟基被酯化,所以反应2应是 与Na的反应,则X为 。 11.(2021·四川树德中学高三其他模拟)2020年美国宣布批准Koseluge上市,给神性纤 维瘤病儿童患者带来福音,下图是合成Koseluge的重要中间体的合成路线。回答下列问题: (1)B的结构简式为:___________; 系统命名法命名为___________。 (2)D的分子式为___________。 (3)由D生成E的化学方程式为___________。 (4)由E生成F和F生成G的反应类型分别为___________、___________。 (5)芳香化合物H是B的同分异构体,可以发生银镜反应,不与氯化铁发生显色反应,共有 ___________种,其中核磁共振氢谱为两组峰的结构简式为___________; (不考虑 O-F直接 相连情况) (6)请仿照以上路线,无机试剂任选,设计由 合成 的路线___________。 【KS5U答案】 2,3,4-三氯苯甲酸 CHONF +CHOH 7 4 4 2 2 3 浓硫酸+HO 取代反应 还原反应 6 2 浓硫酸 、 【分析】 A到C需经两步反应,氨基反应为羧基,苯环上引入硝基,结合B的分子式,可知B为 ,结合D的结构和F的结构可知,转化需两步,一步为羧基酯化,一步为碳氮链形 成,则E为 ; 【KS5U解析】 (1)结合A和C的结构简式可知,A到C需经两步反应,氨基反应为羧基,苯环上引入硝基,结合B的分子式,可知B为 ,根据系统命名法,选择苯甲酸做母体,命名为 2,3,4-三氯苯甲酸; (2) D的分子式为CHONF; 7 4 4 2 2 (3)结合D的结构和F的结构可知,转化需两步,一步为羧基酯化,一步为碳氮链形成,则E 为 ,化学方程式为: +CHOH 3 浓硫酸 +HO; 2 (4)结合E的结构和F的结构,该转化是E中断C-F, 断N-H,形成C-N键,另一生 成物为HF,反应类型是取代反应,根据F的结构和G的结构可知,该步为硝基还原为氨基, 去氧或加氢为还原反应; (5)B为 ,H能发生银镜反应,则H有2种情况:一是苯环上连接甲酸酯基,三个F 原子,即1HCOO-,3F;二是苯环上连接醛基,羟基,三个F原子,可与氯化铁发生显色反应, 不满足,则只有第一种情况符合题意;根据‘定一移二’,可在苯环上定好3个F的位置, 再定HCOO-的位置,同分异构体有: 、 、共6种;氢原子只有2种的结构为对称性高的结构,为 、 ; (6) 和 合成目标产物,仿照D到E实现C-N链形成,由 合成 ,即引入羧基,流程中,B到C实现引硝基,D到E实现硝基变氨基,利用A到B 氨基变羧基,合成路线为: 。12.(2021·广西南宁市·南宁三中高三三模)化合物G是一种正在研究的可能具有良好的 抑菌、抗病毒等活性的先导化合物,其合成路线设计如下: 回答下列问题: (1) A的化学名称为___________。 (2)B的分子式为___________,E的核磁共振氢谱有___________个吸收峰。 (3) D生成E的化学方程式为___________;反应类型为___________。 (4) E的芳香族同分异构体中,符合下列条件的一种结构简式为___________。 ①能与氯化铁溶液发生显色反应 ②苯环上的一氯代物只有1种 (5)为提高药物的生物活性,可引入 该五元环中的氧原子可与生物体大分子结合, 增加了对生物体的亲和力,推测其最可能的结合方式是___________(填标号)。 a.离子键 b.共价键 c.分子间氢键 d.范德华力 (6)化合物H( )对小麦幼苗的生长有明显的 促进作用。设计以 和 为原料制备H 的合成路线___________ (其它试剂任选)。【KS5U答案】3氟苯甲酸(或间氟苯甲酸) CHOFC1 4 +CHOH 7 4 3  +HCl 取代反应 C 【分析】 A中羧基与SOCl 发生取代反应生成B,B中酰氯键上氯原子被取代生成C,D中酰氯键与 2 CHOH发生取代反应生成E,E中酯基与NH∙HO发生肼解生成F,C和F发生加成反应生成G; 3 2 4 2 【KS5U解析】 (1) A的化学名称为3氟苯甲酸(或间氟苯甲酸); (2)B的分子式为CHOFC1;E有4种H,核磁共振氢谱有4个吸收峰; 7 4 (3) D生成E为取代反应,化学方程式为: +CHOH 3  +HCl,反应类型是取代反应; (4)①能与氯化铁溶液发生显色反应说明含有酚羟基,②苯环上的一氯代物只有1种,即苯环上有1种H,符合条件的是: ; (5)该五元环中的氧原子可与生物大分子中羟基或氨基等基团之间可形成分子间氢键,从而 增强了对生物体的亲和力,故选:C; (6)要合成目标有机物中-NH-CS-NH-结构需用C与F反应生成G的信息,要利用此步信息,需 合成类似C中结构-CO-N=C=S结构,要合成此结构,可利用A→B→C信息,具体合成路线: 。 13.(2021·北京高三其他模拟)心得隆(Q)可用于防治血栓,其一种合成路线如图所示。 已知:ⅰ. + +HO 碱 2 ⅱ. (互变异构) 噲垐 �� (1)芳香烃A的名称为___。 (2)试剂a是___,C中所含的官能团为___。(3)D的结构简式为___。 (4)E→F的化学方程式是___。 (5)M的结构简式为___。 (6)苯丙醛( )可用于配制香精。以物质A和乙醇以及必要的无机试剂 为原料合成苯丙醛,写出合成路线(用结构简式表示有机物,用箭头表示转化关系,箭头上 注明试剂和反应条件)___。 【KS5U答案】甲苯 浓硫酸、浓硝酸 醛基、硝基 +CH 3 OH       浓  硫  酸    +H 2 O Δ 或 【分析】E和甲醇发生酯化反应生成F,F与乙酸酐反应生成 ,逆推可知F是 、E是 ; 在一定条件下反应生成M和甲醇,则M是 ,结合信息ⅱ,可知N是 ; 和D生成心得隆,根据D的分 子式,逆推D是 ,根据信息ⅰ,逆推可知C是 ,B是 ;A分子 式是CH,A是 。 7 8 【KS5U解析】 (1)芳香烃A是 ,名称为甲苯。 (2) 和试剂a发生硝化反应生成 ,试剂a是浓硫酸、浓硝酸;C是 ,所 含的官能团为硝基、醛基; (3) 和D生成心得隆,根据D法分子式,逆推D是 ; (4)E是 和甲醇发生酯化反应生成 ,反应的化学方程式是       浓  硫  酸    Δ+CH 3 OH       浓  硫  酸    +H 2 O; Δ (5) 在一定条件下反应生成M和甲醇,则M是 ; (6)甲苯用二氧化锰氧化为苯甲醛,乙醇催化氧化为乙醛,苯甲醛和乙醛在碱存在的条件下 生成 , 与氢气发生加成反应生成 ,合成路线为 。 【点睛】 本题考查有机推断和有机合成,明确各步骤中物质结构的变化是解题关键,注意常见官能团 的结构和性质,学会利用“逆推法”进行有机推断,培养学生利用题目信息的能力。 14.(2021·云南省云天化中学高三期末)烃A是基本有机化工原料,其分子式为CH,由A 3 6 制备聚合物C和 合成路线如图所示(部分条件略去)已知: ,R-C≡Ni.NaOH RCOOH ii.HCl (1)B中含氧官能团名称为_______。 (2)C的结构简式为_______。 (3)A→D的反应类型为_______。 (4)用星号(*)标出该化合物 中所含的手性碳原子_______,下列物质不能与 发生反应的是_______(填序号)。 a.NaOH溶液 b.溴水 c.FeCl 溶液 d.金属Na 3 (5)写出E→F的化学方程式为_______。 (6)满足以下条件,化合物B的同分异构体有_______种, ①与B具有相同官能团 ②能发生银镜反应: 写出其中核磁共振氢谱有3组峰,且峰面积之比为6:1:1的结构简式_______。 (7)根据题中信息,写出以甲苯和乙醇为有机原料制备苯乙酸乙酯的合成路线(无机试剂任 选)__。 【KS5U答案】酯基 取代反应 C +HOCH- CH= CH 8 HCOOCH= C(CH) 2 2 3 2 Δ 【分析】 B发生加聚反应生成聚丁烯酸甲酯,则B的结构简式为CHCH=CHCOOCH,A为CH,A发生加 3 3 3 6 成反应生成B,则A的结构简式为CH=CHCH,聚丁烯酸甲酯发生水解反应然后酸化得到聚合 2 3 物C,C的结构简式为 ;A发生反应生成D,D发生水解反应生成E,E能发生 题给信息的加成反应,结合E分子式可知,E的结构简式为CH=CHCHOH、D的结构简式为 2 2 CH=CHCHCl,E和2-氯-1,3-丁二烯发生加成反应生成F,F的结构简式为 ,F发生 2 2 取代反应生成G,G发生信息中反应得到 ,则G的结构简式为 ; 【KS5U解析】 (1)B为CHCH=CHCOOCH,其中含有的含氧官能团为酯基; 3 3 (2)根据分析可知,C的结构简式为 ; (3)A为CH,D为CH=CHCHCl,故A生成D发生了取代反应; 3 6 2 2(4) 中所含的手性碳原子为 ;该化合物中含有羧基、羟基以及双键,故 可以与氢氧化钠溶液、金属钠和溴水发生反应,但是不能与氯化铁溶液发生反应,答案选 C; (5) E→F的化学方程式为 + HOCH- CH= CH ; 2 2 Δ (6)B的结构简式为CHCH=CHCOOCH,B的同分异构体中,与B具有相同的官能团且能发生银 3 3 镜反应,说明含有碳碳双键、HCOO-,符合条件的有 , , , , , , , ,共8种,其中核磁共振氢谱有3组峰, 且峰面积之比为6:1:1的结构简式HCOOCH= C(CH); 3 2 (7) 由 与乙醇发生酯化反应脱水生成; 可以由 与氢氧化钠和盐酸反应生成; 可以由 与NaCN反应生成;可以由甲苯与氯气发生取代反应生成,故以甲苯和乙醇为有机原料制备苯乙酸乙酯 的合成路线为 。 15.(2021·广东汕头市·金山中学高三三模)扁桃酸衍生物是重要的医药中间体,以A和 B为原料合成扁桃酸衍生物F路线如下: (1)A与B的反应为加成反应,且A的分子式为CHO,可发生银镜反应,且具有酸性,则B的 2 2 3 结构简式是____。 (2)试写出C与NaOH反应的化学方程式:___。 (3)E是由2分子C生成的含有3个六元环的化合物,E的分子中不同化学环境的氢原子有___ 种。 (4)下列说法正确的是___ A.F常温下易溶于水 B.1molF在一定条件下与足量NaOH溶液反应,最多消耗NaOH的物质的量为3mol。 C.D→F的反应类型是取代反应 D.一定条件下C可以发生缩聚反应 (5)符合下列条件的F的同分异构体(不考虑立体异构)有___种。其中氢原子个数比为 1:1:2:2:3的结构简式为____ ①属于一元酸类化合物;②苯环上只有2个取代基且处于对位;③遇氯化铁溶液发生显色反 应。(6)已知: +CH≡CH ,请设计合成路线以B和 催化剂Δ  CH 为原料合成 (无机试剂任选)_____。 2 2 【KS5U答案】 +2NaOH→ +2HO 4 2 BCD 4 催化剂  O2 /Cu H 2 Δ 催化剂,Δ  HCCH 【分析】 A与B的反应为加成反应,且A的分子式为CHO,可发生银镜反应,且具有酸性,则A为 2 2 3 OHCCOOH,B为 ;C与甲醇发生酯化反应得到D,D和HBr发生取代反应得到 F;由于C中既含醇羟基,也含羧基,因此会得到副产物如两个C分子生成的环酯等。 【KS5U解析】(1)由分析可知B为 ; (2)C为 ,羧基、酚羟基均能与NaOH按1:1反应,则C与NaOH反应的化学方 程式为 +2NaOH→ +2HO; 2 (3)E是由2分子C生成的含有3个六元环的化合物,则E为2分子C生成的环酯,E为 ,则E分子中不同化学环境的氢原子有4种; (4)A.F含酯基和-Br、酚羟基,常温下不易溶于水,A错误; B.1molF含1mol酚羟基、1mol酯基、1mol溴原子,则在一定条件下1molF与足量NaOH溶液 反应,最多消耗NaOH的物质的量为3mol,B正确; C.对比D和F的结构可知D→F的反应类型是取代反应(H被Br取代),C正确; D.C含一个羧基和一个醇羟基,一定条件下C可以发生缩聚反应生成聚酯类物质;C含酚羟 基,且酚羟基邻位有H,一定条件下可发生酚醛缩聚,D正确; 选BCD; (5)F为 ,F的同分异构体(不考虑立体异构): ①属于一元酸类化合物,则含1个-COOH; ②苯环上只有2个取代基且处于对位; ③遇氯化铁溶液发生显色反应,则含酚羟基;符合条件的有 、 、 、 ,共4种;其中氢原子个数比为 1:1:2:2:3的结构简式为 ; (6)以B( )和CH 为原料合成 ,进行逆合成分析: 2 2 可由 和HC≡CH合成, 可由 催化氧化得到, 由 与氢气加成得到,因此合成路线为 催化剂  H 2。 催化剂,Δ O2 /Cu  Δ HCCH 16.(2021·安徽高三其他模拟)化合物H是用于治疗慢性阻塞性肺病奥达特罗的合成中间 体,其合成路线如图: 已知:I.BnBr代表 II. 回答下列问题: (1)A的名称为_______;B中官能团的名称为_______。 (2)D→E的反应类型为_______,反应⑤条件中KCO 的作用是_______。 2 3 (3)有机物G、M的分子式分别为C H ONBr、C H ONBr,则M→H的反应方程式为_______。 17 14 4 17 16 4 (4)有机物N是反应②过程中的副产物,其分子式为C H O,则N的结构简式为_______。 22 20 3 (5)B的同分异构体中,既能水解,又能使FeCl 溶液显紫色的有_______种。 3 (6)参照上述合成路线和信息,请写出以苯酚和光气(COCl)为原料合成 的路线。 2 ____ 【KS5U答案】对苯二酚(或1,4-苯二酚) 羟基(酚羟基)、羰基(酮基) 还原反应与生成的HCl反应,促进平衡正向移动,提高原料利用率 +NaOH +NaBr+HO (或写成: 2 H2 O ) 19 【分析】 根据A生成B的反应条件可知该反应与信息Ⅱ类似,根据B的结构简式可知A应为 ; 有机物M的分子式为C H ONBr,而G的分子式为C H ONBr,可知G生成M的过程中发生了 17 16 4 17 14 4 酮羰基与氢气的加成,所以M为 。 【KS5U解析】(1)A的结构简式为 ,有两个处于对位的酚羟基,所以名称为对苯二酚(或1,4-苯二 酚);根据B的结构简式可知其官能团为酚羟基、羰基; (2)对比D和E的结构简式可知D中硝基变为氨基,应为还原反应;根据E和F的结构简式可 知E生成F的过程为取代反应,反应过程中会有HCl生成,碳酸钾可以与生成的HCl反应, 促进平衡正向移动,提高原料利用率; (3)M的结构简式为 ,该反应的化学方程式为 +NaOH +NaBr+HO; 2 H2 O (4)根据B、C的结构简式可知该过程中B中的一个酚羟基上的氢原子被取代,根据反应机理 和副产物的分子式可知,副产物应是两个酚羟基上的氢原子都被取代,所以N为 (或写成: ); (5)B中含有8个碳原子、3个氧原子,不饱和度为5,其同分异构体满足:既能水解,又能 使FeCl 溶液显紫色,则含有酚羟基、酯基,则苯环上至少有两个取代基,两个取代基可以 3是:-OH、-COOCH 或-OH、-OOCCH 或-OH、-CHOOCH,每一组均有邻间对三种情况,共9种; 3 3 2 也可以是三个取代基:-OH、-CH、-OOCH,此时有10种,所以同分异构体共有19种; 3 3 (6)苯酚为 ,类比C生成F的过程可知由苯酚和光气(COCl)为原料合成 2 的路线为 。 17.(2021·陕西宝鸡市·高三其他模拟)氟他胺G是一种可用于治疗肿瘤的药物。实验室 由芳香烃A制备G的合成路线如图所示: 请回答下列问题: (1)A的结构简式为_______ (2)请写出下列反应的化学方程式及反应类型: 反应③:_______;反应类型为_______。反应④:_______。 (3)已知吡啶是一种有机碱,在反应⑤中的作用是_______。 (4)G的相对分子质量为_______。 (5)E中含有的官能团的名称是_______。已知T(CHNO)是E在碱性条件下的水解产物,符合 7 7 2 下列条件的T的同分异构体有_______种,其中核磁共振氢谱上有4组峰,且峰面积比为1: 2:2:2的物质的结构简式为_______。 ①—NH 直接连在苯环上; 2 ②能与新制氢氧化铜悬浊液共热产生红色固体。 (6)参照上述合成路线,以CHCHCOCl和 为原料,经三步合成某化工产. 3 2品 的路线为(其他无机试剂任选)。_______。 【KS5U答案】 +HNO 3 (浓) 浓硫酸 +H 2 O 硝化反应 Δ (或取代反应) +3Fe+6HCl→ +3FeCl+2HO 吸收反应生成的氯化氢, 2 2 提高反应物的转化率 276 氟原子、氨基 13 浓硝酸 Fe  CH 3 CH 2 COCl 浓硫酸/Δ 20%的盐酸 吡啶 【分析】 由有机物的转化关系可知, 在光照条件下与氯气发生取代反应生成 ,故A为 、B为 ;在DMSO作用下, 与SbF 发生取代反应生成 ,在浓硫酸 3作用下, 与浓硝酸共热发生硝化反应生成 , 与铁和20%的盐酸发生还 原反应生成 ,在吡啶作用下, 与 发生取代反应生成 , 则F为 ;在浓硫酸作用下, 与浓硝酸共热发生硝化反应生成 。 【KS5U解析】 (1)由分析可知,A的结构简式为 ,故答案为: ; (2) 反应③为在浓硫酸作用下, 与浓硝酸共热发生硝化反应生成 和水,反应 的化学方程式为 +HNO 3 (浓) 浓硫酸 +H 2 O;反应④为 与铁和 Δ 20%的盐酸发生还原反应生成 、氯化亚铁和水,反应的化学方程式为+3Fe+6HCl→ +3FeCl+2HO,故答案为: +HNO(浓) 2 2 3 浓硫酸 Δ +HO;硝化反应(或硝化反应); +3Fe+6HCl→ +3FeCl+2HO; 2 2 2 (3) 反应⑤为在吡啶作用下, 与 发生取代反应生成 和氯化氢, 有机碱吡啶与反应生成的氯化氢反应,氯化氢的浓度减小,平衡向正反应方向移动,有利于 提高反应物的转化率,故答案为:吸收反应生成的氯化氢,提高反应物的转化率; (4)G的结构简式为 ,分子式为C H ONF,相对分子质量为276,故答案为: 11 11 3 2 3 276; (5)E的结构简式为 ,官能团为氟原子、氨基; 在碱性条件下水解生 成 ,则T的结构简式为 ,由T的同分异构体中—NH 直接连在苯环上,能 2 与新制氢氧化铜悬浊液共热产生红色固体可知,同分异构体中的取代基可能为HCOO—和— NH,或为—OH、—CHO和—NH,若取代基为HCOO—和—NH,取代基在苯环上有邻、间、对 2 2 2 共3种结构;若取代基为—OH、—CHO和—NH,—OH、—CHO在苯环上有邻、间、对共3种结 2 构,—NH 取代邻位结构的苯环上氢原子有4种结构、取代间位结构的苯环上氢原子有4种结 2 构、取代对位结构的苯环上氢原子有2种结构,共10种,则T的同分异构体共有13种;其 中核磁共振氢谱上有4组峰,且峰面积比为1:2:2:2的物质的结构简式为,故答案为:氟原子、氨基;13; ; (6)由题给合成路线可知,以CHCHCOCl和 为原料合成 3 2 的合成步骤为在浓硫酸作用下, 与浓硝酸共热发生硝化 反应生成 , 与铁和20%的盐酸发生还原反应生成 ,在吡啶 作用下, 与CHCHCOCl发生取代反应生成 ,合成路线为 3 2 ,故 浓硝酸 Fe  CH 3 CH 2 COCl 浓硫酸/Δ 20%的盐酸 吡啶 答案为: 浓硝酸 Fe  浓硫酸/Δ 20%的盐酸 。 CH 3 CH 2 COCl 吡啶 18.(2021·阜新市第二高级中学高三其他模拟)丹参素是一种具有抗菌消炎及增强机体免 疫作用的药物。该药物的一种合成路线如下:已知:Bn-代表苄基( )。 (1)丹参素的分子式为___________,C中官能团名称为___________。 (2)写出由A生成B的化学方程式___________,反应类型为___________ sp3 (3)E中采用 杂化的碳原子数目___________。 (4)N是C的同系物,相对分子质量比C大14,且其核磁共振氢谱有4组峰,峰的面面积比为 1:2:2:3。请写出同时符合下列条件的N的一种同分异构体的结构简式___________。 ①能发生银镜反应; ②苯环上只有2个取代基; ③1molN消耗2molNaOH。 (5)设计以苯酚与A为原料制备抗细菌有机物 的合成路线流程图(无机试 剂和有机溶剂任用,合成路线流程图示例见本题题干)。___________ 【KS5U答案】CH O 醛基、酚羟基 加成反应 + 9 10 5 4 ,或者 ,或者【分析】    由框图可知:A B发生加成反应,B C发生消去反应,C D发生取代反应。 【KS5U解析】 (1)由丹参素的结构简式: 可知,其分子式为CH O;由C的结构简 9 10 5 式: 可知,C中官能团名称为醛基、酚羟基,故答案:CH O;醛基、酚 9 10 5 羟基。 (2)由框图 可知,A B发生  加成反应,其反应的化学方程式为: + 。故答案:加成反应;: + 。(3)由框图可知:E的结构简式 ,分子中有4个C形成4个σ键,所 以为sp3,故答案:4。 (4) C的结构简式 ,N是C的同系物,相对分子质量比C大14,且其核 磁共振氢谱有4组峰,峰的面面积比为 ,则N的结构简式为 。符合① 1:2:2:3 能发生银镜反应说明含有醛基;③1molN消耗2molNaOH,②苯环上只有2个取代基,则N的 结构为 ,或者 ,或者 ;故答案: ,或者。 ,或者 。 (5) 苯酚与A发生流程图中的类似反应可得到 ,所以合成路线为: , 故答案:。19.(2021·黑龙江哈尔滨市·哈尔滨三中高三其他模拟)化合物I是合成抗心律失常药普 罗帕酮的前驱体,其合成路线如下: 一定条件 已知:CHCOCH+CHCHO CHCOCH=CHCH+HO 3 3 3 3 3 2 回答下列问题: (1)B的名称_______;I的分子式为_______。 (2)F生成G的反应类型是_______;化合物F中含有的官能团名称是_______。 (3)H的结构简式是_______。 (4)D生成E的化学方程式是_______。 (5)化合物E有多种同种异构体,其中满足条件①能发生银镜反应②能发生水解反应的属于芳 香化合物的同种异构体共有____种,其中核磁共振氢谱上显示4组峰且峰面积比为3:2: 2:1的物质的结构简式为____。 (6)参照上述合成路线,以2-丙醇和苯甲醛为原料(无机试剂任选),设计制备 的合成路线:____ (补出前面两步)。 【KS5U答案】乙醛 C H O 加成反应 碳碳双键、羰基、羟基 18 18 34 【分析】 A分子式是CHO,在铜作催化剂的条件下A能发生氧化反应生成B,则A是CHCHOH、B是 2 6 3 2 CHCHO,CHCHO能被新制氢氧化铜氧化为CHCOOH,C是CHCOOH;根据CHCOCH+CHCHO 3 3 3 3 3 3 3 CHCOCH=CHCH+HO,可知 和 反应生成 3 3 2 一定条件 ,F是 ;F和氢气发生加成反应生成 , 和H(CHClO)反应生成 ,逆推可知H的结构简式是 3 5 。 【KS5U解析】(1)B是CHCHO,名称为乙醛;I是 ,分子式为C H O; 3 18 18 3 (2) 和氢气发生加成反应生成 ,反应类型是加成反应; 化合物 中含有的官能团名称是碳碳双键、羰基、羟基; (3)H的结构简式是 。 (4)CHCOCl和苯酚发生取代反应生成 和氯化氢,反应的化学方程式是 3 。 (5)能发生银镜反应,能发生水解反应,说明含有HCOO-, 符合条件属于芳香化 合物的同种异构体共有 、 、 、 ,共4种,其中核磁共振氢谱上显示4组峰且峰面积比为3:2:2:1的物质的结构简式为 。 (6) 2-丙醇氧化为丙酮,丙酮和苯甲醛反应生成 , 和 氢气发生加成反应生成 ,合成路线为 。 【点睛】 本题考查有机推断、有机合成,明确各步骤有机物结构简式的变化特点是解题关键,掌握常 见官能团的结构和特点以及反应条件,熟悉简单同分异构体的书写。 20.(2021·长沙市明德中学高三三模)G(异戊酸薄荷醇酯)是一种治疗心脏病的药物,可 由A(分子式为CHO,能与FeCl 溶液发生显色反应)和烯烃D(分子式CH)等为原料制取,合 7 8 3 4 8 成路线如下:PdCl2 已知:①RCH=CH+CO+H RCHCHCHO 2 2 2 2 ② +CH 2 =CH 2AlCl 3 (1)A的名称为_______,A→B的化学类型为_______。 (2)F中官能团名称_______。 (3)D的结构简式为_______。 (4)B→C的化学方程式为_______。 (5)化合物H是B的同分异构体,满足苯环上只有1个取代基且不能与金属Na反应产生H,H 2 共有_______种(不考虑立体异构),其中核磁共振氢谱有4组峰且峰面积之比为9∶2∶2∶1 的结构简式为_______。 稀NaOH溶液 (6)已知:R 1 CHO+R 2 CH 2 CHO Δ +H 2 O。正戊醛可用作香料、橡胶促进剂 等,写出以乙醇为原料制备CH(CH)CHO的合成路线流程图(无机试剂任用)_______。 3 2 3 【KS5U答案】3-甲基苯酚(或间甲基苯酚) 加成反应 羟基、酯基 (CH)C=CH 3 2 2 +3H 2Ni  12 高温、高压【分析】 由G的结构可知,C、E发生酯化反应生成G , C、E分别为 、( CH) CHCHCOOH 3 2 2 2 种的一种, A分子式为CHO,能与氯化铁溶液发生显色反应,则说明A中含有酚羟基和甲基, 7 8 根据G的结构简式可看出A为 ,A与丙烯发生加成反应生成B为 , B与氢气发生加成反应生成C,为 ,则E为( CH) CHCHCOOH,D为( CH) 3 2 2 2 3 CH=CH,结合有机物的结构的性质以及题目要求解答该题。 2 2 【KS5U解析】 (1)A的结构简式为 ,名称为3-甲基苯酚(或间甲基苯酚),结合信息②分析A→B的 反应类型为加成反应; (2)F的结构简式为 ,官能团为羟基和酯基; (3)D的结构简式为( CH) CH=CH; 3 2 2(4) B与氢气发生加成反应生成C,为 ,B→C的化学方程式为 +3H 2Ni  ; 高温、高压 (5)B为 ,化合物H是B的同分异构体,满足苯环上只有1个取代基且不能与 金属Na反应产生H,则该结构中不含有羟基,取代基为-OCHCHCHCH,-OCH(CH)CHCH,- 2 2 2 2 3 3 2 3 OCHCH(CH)CH,-OC(CH),-CH-O-CHCHCH,-CH-O-CH(CH),-CH-CH-O- CHCH,- 2 3 3 3 3 2 2 2 3 2 3 2 2 2 2 3 CH(CH) -O- CHCH,-CHCHCHOCH,-CH CH(CH) OCH,- CH(CH)CH OCH,-C(CH) 3 2 3 2 2 2 3 2 3 3 3 2 3 3 2 OCH,H共有12种(不考虑立体异构),其中核磁共振氢谱有4组峰且峰面积之比为 3 9∶2∶2∶1的结构简式为 ; 稀NaOH溶液 (6)已知:R 1 CHO+R 2 CH 2 CHO Δ +H 2 O。正戊醛可用作香料、橡胶以乙醇 为原料制备CH(CH)CHO,首先将乙醇氧化成乙醛,利用已知信息的反应生成CHCH=CHCHO, 3 2 3 3 再将其还原为醇,再变烯烃,和一氧化碳和氢气加 长碳链即可,合成路线为: 。21.(2021·天津高三三模)化合物M 是一种药物中间体,其中一 种合成路线如图所示: 已知: Ⅰ. + 对甲基苯磺酸 AlI3  CHCN 3 Ⅱ. ①R 3 MgBr ②H+ 回答下列问题: (1)A的结构简式为___;试剂X的化学名称为___。 (2)C中官能团的名称为___;由D生成E的反应类型为___。 (3)由E生成F的第①步反应的化学方程式为___。 (4)设计由A转化为B和由F转化为M两步的目的为___。 (5)写出同时满足下列条件的结构的M的所有同分异构体___(不含立体异构) ①只含两种官能团,能发生显色反应,且苯环上连有两个取代基 ②1mol该物质最多能与2molNaHCO 反应 3 ③核磁共振氢谱有6组吸收峰 (6)参照上述合成路线和信息,设计以丙酮和CHMgBr为原料(其他试剂任选),制备聚2—甲 3 基丙烯的合成路线___。【KS5U答案】 环己酮 醚键 羟基 取代反应 保护酚羟基 、 、 【分析】 ,由信息Ⅰ逆推,可知A是 、X是 ;结合信息Ⅱ可知,C是 ; 水解为F,F是 。 【KS5U解析】 (1) 由信息Ⅰ逆推,可知A是 ;试剂X是 ,化学名称为环己酮; (2)C是 ,官能团的名称为醚键、羟基; 是 上的1个H原子(红圈标出)被-CHCOOCHCH 代替的产物,反应类型为取代反应; 2 2 3 (3) 在碱性条件下水解,生成 和乙醇,反应 方程式是 ; (4)设计由A转化为B和由F转化为M两步的目的为保护酚羟基; (5)①只含两种官能团,能发生显色反应,说明有酚羟基,苯环上连有两个取代基;②1mol 该物质最多能与2molNaHCO 反应,说明1个分子中含有2个羧基;③核磁共振氢谱有6组吸 3收峰,说明结构对称,符合条件的 的同分异构体有 、 、 ; (6)丙酮和CHMgBr反应,酸化后生成2-甲基-2-丙醇,2-甲基-2-丙醇发生消去反应生成2- 3 甲基丙烯,2-甲基丙烯发生加聚反应生成聚2—甲基丙烯,合成路线为 。 22.(2021·天津高三一模)新型冠状病毒肺炎药物阿比多尔的中间体I的合成路线如图: (1)反应①②③中属于取代反应的是___。 (2)C中官能团名称是___。 (3)D的结构简式为___。 (4)F的分子式是___,1mol该物质能与___molNaOH充分反应。 (5)⑦的化学方程式为___。(6)满足下列条件的D的同分异构体有___种。 a.含苯环结构 b.含—NO 2 其中核磁共振氢谱有3组峰,峰面积比为6:2:1的结构简式为___。 (7)已知:①当苯环有RCOO—、烃基时,新导入的基团进入原有基团的邻位或对位:原有基 团为—COOH时,新导入的基团进入原有基团的间位。②苯酚、苯胺( )易氧化。 设计以 为原料制备 的合成路线(无机试剂任 用)___。 【KS5U答案】①② 酯基、硝基 C H NO 3 14 15 4 +2Br→ +2HBr 14 、 2【分析】 苯酚与硝酸反应生成对硝基苯酚,对硝基苯酚与CHCOCl发生取代反应,结合E的结构可知, 3 应为取代反应,C为 ,C在Fe氯化铵条件下发生还原反应生成 D,D为 ,D与 反应生成E,E在碳酸钾、醋酸钯 条件下得到F,F发生取代反应的G,G与液溴发生取代反应得到H,H为 , H与 发生取代反应反应得到I,据此分析解答。 【KS5U解析】 (1)由上述分析可知①为苯酚的硝化反应属于取代反应,②为对硝基苯酚的取代反应,③为 硝基还原成氨基的反应,故答案为:①②; (2)C为 ,所含官能团为硝基,酯基,故答案为:硝基、酯基; (3)由上述分析可知D为 ,故答案为:; (4)由F的结构简式可知其分子式为:C H NO,其结构中含有2个酯基能与氢氧化钠发生水 14 15 4 解反应,其中苯环直接相连的酯基为酚类酯结构1mol该结构能消耗2mol氢氧化钠,因此 1molF能消耗3molNaOH,故答案为:C H NO;3; 14 15 4 (5)⑦为 与液溴发生的取代反应,得到 ,反应方程式 为: +2Br→ +2HBr,故答案为: 2 +2Br→ +2HBr; 2 (6)D为 ,满足含苯环结构、含—NO 的同分异构体除硝基外, 2 含有两个碳原子,先以乙基形式连接在苯环上,则乙苯中有5中氢,可被硝基取代,若以两 个甲基形式连接在苯环上,分别由邻二甲苯、间二甲苯、对二甲苯三种结构,三者所含氢的 种类分别为3、4、2,被硝基取代即得到D的相应同分异构体,共计14种,其中核磁共振氢谱有3组峰,峰面积比为6:2:1的为 、 ,故答 案为:14; 、 ; (7) 可由 水解后酸化得到, 可由 发生还原反应得到, 可由 经高锰酸钾氧化得到, 可由 经浓硝酸取代反应得到,合成路线为: , 故答案为: 。 23.(【一飞冲天】5.杨村一中二模)由A(芳香烃)与E为原料制备J和高聚物G的一种合成 路线如图: 已知:①酯能被LiAIH 还原为醇 4② H2 O 2 回答下列问题: (1)A的化学名称是__,J的分子式为__,H的官能团名称为__。 (2)B生成C的反应条件为____,D生成H的反应类型为___反应。 (3)写出F+D→G的化学方程式:___。 (4)芳香化合物M是A的同分异构体,M结构有___种(不包括A);若M的核磁共振氢谱具有两 组峰,则其结构简式为:___。 (5)参照上述合成路线及条件,写出用CHBrCHBr为原料,制备高聚物 2 2 的合成路线(无机试剂任选)___。 【KS5U答案】邻二甲苯 C H O 醛基 浓硫酸,加热 氧化反应 n 10 12 4 +n +(2n-1)HO 3 2 催化剂  【分析】A是芳香烃,通过A的分子式和A→B的反应条件和B的结构简式,可知A是邻二甲笨,通过 B→C的反应物,可知B→C反应是酯化反应,C是一种酯,通过C→D的反应条件结合已知条 件①,可知D是一种醇 ,通过E→F,可知卤代烃增长碳链和引进羧基的方法, G是高聚物,则F+D→G的反应是脱水缩聚反应,据此分析解答。 【KS5U解析】 (1)A(芳香烃)被KMnO 氧化为邻苯二甲酸,可知A为邻二甲苯,由J的结构简式可知其不饱和 4 度为5,所以J的分子式为C H O,由H的结构简式可知,其含有的官能团是醛基; 10 12 4 (2) B结构中含有羧基,且和CHOH生成C,所以B生成C的反应为酯化反应,酯化反应的条 3 件是浓硫酸,加热。通过已知条件①,可知D是一种醇,H是邻苯二甲醛,结合反应条件, 可知D生成H的反应类型为醇的脱氢氧化反应; (3)经分析D为 ,F是 ,而G是高聚物,则F+D→G的反应是脱水 缩聚反应,其化学方程式为n +n 催化剂  +(2n-1)HO; 2 (4)芳香化合物M是A的同分异构体,A是邻二甲苯,既然M是芳香化合物,其结构中一定含 有苯环,则M结构不包括A的同分异构体有间二甲苯、对二甲苯,和乙苯3中,其中核磁共 振氢谱具有两组峰的是对二甲苯,则其结构简式为: ; (5)要制备 ,就要制备HOOC-CH-CH-COOH和 2 2 HOCHCHOH,制备HOCHCHOH只需要CHBrCHBr水解即可,通过E→F反应,可知要制备 2 2 2 2 2 2HOOC-CH-CH-COOH只需让CHBrCHBr和KCN反应再水解即可得到HOOC-CH-CH-COOH,故合成 2 2 2 2 2 2 路线为: 24.(2021·天津南开区·南开中学高三三模)化合物N是一种具有玫瑰香味的香料,可用 作化妆品和食品的添加剂。实验室制备N的两种合成路线如下: 已知:i. (1)R 3MgBr (R 1 、R 3 为烃基,R 2 为H或烃基) (2)HO+ 3 ii.RCOOR +ROH(R、R、R 为烃基) 1 2 2 1 2 3 (1)R 3MgBr (2)HO+ 3 回答下列问题: (1)A→B所需的试剂是_______,H的化学名称是_______。 (2)G的结构简式为_______,J→K的反应类型为_______。 (3)I与新制Ca(OH) 悬浊液发生反应的方程式为_______。 2 (4)K有多种同分异构体,写出两种满足下列条件的同分异构体的结构简式_______。 ①属于芳香族化合物②能发生银镜反应③核磁共振氢谱有4组峰,峰面积比为1:1:2:6 【KS5U答案】铁粉和液溴 或溴化铁和液溴 苯甲醛 加成反应或者还原反应 +NaOH+2Cu(OH) 2加热 Cu 2 O↓+3H 2 O+ 、 、 (任 意写两种) 【分析】 根据A的分了式,C的结构简式可知A为 ,A与溴发生取代反应生成B,故B为 ,对比D、F的结构,结合B→C的转化,可知D中羟基被溴原子取代生成E,故E 为 ,对比F、 N的结构,结合已知i可知G为 ,苯甲醛与乙醛在 碱性条件下共热先发生加成、后发生消去生成 , 被氢氧化 铜氧化后、酸化生成J,故J为 ,K写甲醇发生酯化反应生成L, L与 CHMgBr发生已知ii中反应生成N,由K的分子式、N的结构可知,J中碳碳双键与氢气发生 3 加成反应生成K,故K为 ,则L ,据此解答。 【KS5U解析】 (1) A→B是苯转化为 ,反应需要的试剂是铁粉和液溴或溴化铁和液溴,H为,其化学名称为苯甲醛,故答案为:铁粉和液溴或溴化铁和液溴、苯甲醛。 (2)根据分析可知,G的结构简式为 ,由分析可知J中碳碳双键与氢气发生加成反 应生成K,则J→K的反应类型为加成反应或者还原反应,故答案为: 、加成反应 或者还原反应。 (3)I为 ,故I与与新制Ca(OH) 悬浊液发生反应的方程式为: 2 +NaOH+2Cu(OH) 加热CuO↓+3HO+ 。 2 2 2 (4)K分子式为CH O,满足条件的同分异构体(①属于芳香族化合物,说明含有苯环,②能 9 10 2 发生银镜反应,说明有醛基,③核磁共振氢谱有4组峰,峰面积比为1:1:2:6,说明含有 4种环境的氢原子)有: 、 、 、 (任意写两 种)。 25.(2021·天津高三三模)合成药物盐酸普罗帕酮的中间体E和双酚A型聚碳酸酯H的路 线:已知:i.RCOOR'+R"OH      催  化  剂    RCOOR"+R'OH(R、R'、R"代表烃基) Δ ii.RCHO+R'CH 2 CHONaOH +H 2 O(R、R'代表氢原子或烃基) Δ (1)A的结构简式是___,试剂a是___。 (2)C只含有一种官能团,反应②的化学方程式是___。 (3)反应⑤的反应类型是___,E中官能团名称是___。 (4)M和J是同系物,且M的相对分子质量比J大14,满足下列条件M的同分异构体共有___ 种。 ①苯环之外无其它环状结构,苯环上三个取代基②苯环上有两种氢③与FeCl(aq)显色,且 3 1molM最多能和2molNaOH反应 写出其中任意一种核磁共振氢谱峰面积比为1:2:2:2:3同分异构体的结构简式___。 (5)下列说法正确的是:___(填字母序号)。 a.反应③中C发生氧化反应 b.可用FeCl 溶液检验反应⑤中A是否反应完全 3 c.反应⑥的反应物与生成物互为同分异构体 d.反应⑩中试剂b的结构简式是 e.反应④是缩合聚合反应,生成了聚酯(6)参照以上合成路线和信息,写出以乙醇为原料合成2—丁烯酸(CHCH=CHCOOH)的合成路线 3 (无机试剂任选)___。 () ()   (新制的氢氧化铜浊夜)   C 2 H 5 OH () ( ) () CH 3 CH=CHCHO (Δ) CH 3 CH=CHCOONa) () ( ) 【KS5U答案】 H 取代 2 反应 羟基、羰基 6 abcd CHOH CHCHO 2 5 3 O2 Cu CH 3 CHO (新制的氢氧化铜浊夜)  H+   CH 3 CH=CHCHO (Δ) CH 3 CH=CHCOONa CH 3 CH=CHCOOH 【分析】 根据⑤产物结构简式及A分子式知,A为 ,⑤为取代反应;①为加成反应,a为 H,B为 ,②为催化氧化生成C为 ,D应为 ,由题给信息结合I的结 2 构简式可知E为 ,含有羟基、羰基,G的分子式为CHO,只含一种官能团,且 3 6 3 核磁共振氢谱只有一种化学环境的氢,应为 ,由题给信息可知F为,以此解答该题。 【KS5U解析】 (1)由以上分析可知A为 ,A与H 发生加成反应生成B,试剂a是H; 2 2 (2)C只含有一种官能团,为环己醇,反应②的化学方程式是 , (3)反应⑤的反应类型是取代反应;由题给信息结合I的结构简式可知E含有羟基、羰基; (4)由三个条件可知,有: 、 、 、 、 、 共6 种,氢谱峰面积比即氢种类和个数为1:2:2:2:3,结构简式为: ; (5)a.C与过氧化物反应生成七元环酯,③中C发生氧化反应,故a正确; b.A是 ,遇FeCl 溶液呈紫色,而J不反应,可用FeCl 溶液检验反应⑤中A是否 3 3 反应完全,故b正确;c.E为 ,则反应⑥的反应物与生成物互为同分异构体,故c正确; d.对比F的结构简式可知反应⑩中试剂b的结构简式可为 , 故d正确; e.反应④生成了聚酯但没有小分子生成,不属于缩合聚合反应,故e错误; 故答案为:abcd; (6)CHCHOH和O 在Cu做催化剂氧化成CHCHO,由信息ii可知CHCHO和CHCHO在NaOH加热 3 2 2 3 3 3 下生成CHCH=CHCHO,在新制氢氧化铜悬浊液作用下氧化成CHCH=CHCOONa,经H+酸化得到 3 3 O2 CH 3 CHO CHCH=CHCOOH,合成路线为:CHOH Cu CHCHO  CHCH=CHCHO 3 2 5 3 3 (新制的氢氧化铜浊夜)  H+  (Δ) CH 3 CH=CHCOONa CH 3 CH=CHCOOH。