当前位置:首页>文档>专题16化学实验设计与探究(教师版含解析)2021年高考化学真题和模拟题分类汇编_05高考化学_新高考复习资料_2023年新高考资料_一轮复习_2023年新高考大一轮复习讲义

专题16化学实验设计与探究(教师版含解析)2021年高考化学真题和模拟题分类汇编_05高考化学_新高考复习资料_2023年新高考资料_一轮复习_2023年新高考大一轮复习讲义

  • 2026-03-31 19:58:16 2026-03-27 15:24:16

文档预览

专题16化学实验设计与探究(教师版含解析)2021年高考化学真题和模拟题分类汇编_05高考化学_新高考复习资料_2023年新高考资料_一轮复习_2023年新高考大一轮复习讲义
专题16化学实验设计与探究(教师版含解析)2021年高考化学真题和模拟题分类汇编_05高考化学_新高考复习资料_2023年新高考资料_一轮复习_2023年新高考大一轮复习讲义
专题16化学实验设计与探究(教师版含解析)2021年高考化学真题和模拟题分类汇编_05高考化学_新高考复习资料_2023年新高考资料_一轮复习_2023年新高考大一轮复习讲义
专题16化学实验设计与探究(教师版含解析)2021年高考化学真题和模拟题分类汇编_05高考化学_新高考复习资料_2023年新高考资料_一轮复习_2023年新高考大一轮复习讲义
专题16化学实验设计与探究(教师版含解析)2021年高考化学真题和模拟题分类汇编_05高考化学_新高考复习资料_2023年新高考资料_一轮复习_2023年新高考大一轮复习讲义
专题16化学实验设计与探究(教师版含解析)2021年高考化学真题和模拟题分类汇编_05高考化学_新高考复习资料_2023年新高考资料_一轮复习_2023年新高考大一轮复习讲义
专题16化学实验设计与探究(教师版含解析)2021年高考化学真题和模拟题分类汇编_05高考化学_新高考复习资料_2023年新高考资料_一轮复习_2023年新高考大一轮复习讲义
专题16化学实验设计与探究(教师版含解析)2021年高考化学真题和模拟题分类汇编_05高考化学_新高考复习资料_2023年新高考资料_一轮复习_2023年新高考大一轮复习讲义
专题16化学实验设计与探究(教师版含解析)2021年高考化学真题和模拟题分类汇编_05高考化学_新高考复习资料_2023年新高考资料_一轮复习_2023年新高考大一轮复习讲义
专题16化学实验设计与探究(教师版含解析)2021年高考化学真题和模拟题分类汇编_05高考化学_新高考复习资料_2023年新高考资料_一轮复习_2023年新高考大一轮复习讲义
专题16化学实验设计与探究(教师版含解析)2021年高考化学真题和模拟题分类汇编_05高考化学_新高考复习资料_2023年新高考资料_一轮复习_2023年新高考大一轮复习讲义
专题16化学实验设计与探究(教师版含解析)2021年高考化学真题和模拟题分类汇编_05高考化学_新高考复习资料_2023年新高考资料_一轮复习_2023年新高考大一轮复习讲义
专题16化学实验设计与探究(教师版含解析)2021年高考化学真题和模拟题分类汇编_05高考化学_新高考复习资料_2023年新高考资料_一轮复习_2023年新高考大一轮复习讲义
专题16化学实验设计与探究(教师版含解析)2021年高考化学真题和模拟题分类汇编_05高考化学_新高考复习资料_2023年新高考资料_一轮复习_2023年新高考大一轮复习讲义
专题16化学实验设计与探究(教师版含解析)2021年高考化学真题和模拟题分类汇编_05高考化学_新高考复习资料_2023年新高考资料_一轮复习_2023年新高考大一轮复习讲义
专题16化学实验设计与探究(教师版含解析)2021年高考化学真题和模拟题分类汇编_05高考化学_新高考复习资料_2023年新高考资料_一轮复习_2023年新高考大一轮复习讲义
专题16化学实验设计与探究(教师版含解析)2021年高考化学真题和模拟题分类汇编_05高考化学_新高考复习资料_2023年新高考资料_一轮复习_2023年新高考大一轮复习讲义
专题16化学实验设计与探究(教师版含解析)2021年高考化学真题和模拟题分类汇编_05高考化学_新高考复习资料_2023年新高考资料_一轮复习_2023年新高考大一轮复习讲义
专题16化学实验设计与探究(教师版含解析)2021年高考化学真题和模拟题分类汇编_05高考化学_新高考复习资料_2023年新高考资料_一轮复习_2023年新高考大一轮复习讲义
专题16化学实验设计与探究(教师版含解析)2021年高考化学真题和模拟题分类汇编_05高考化学_新高考复习资料_2023年新高考资料_一轮复习_2023年新高考大一轮复习讲义
专题16化学实验设计与探究(教师版含解析)2021年高考化学真题和模拟题分类汇编_05高考化学_新高考复习资料_2023年新高考资料_一轮复习_2023年新高考大一轮复习讲义
专题16化学实验设计与探究(教师版含解析)2021年高考化学真题和模拟题分类汇编_05高考化学_新高考复习资料_2023年新高考资料_一轮复习_2023年新高考大一轮复习讲义
专题16化学实验设计与探究(教师版含解析)2021年高考化学真题和模拟题分类汇编_05高考化学_新高考复习资料_2023年新高考资料_一轮复习_2023年新高考大一轮复习讲义
专题16化学实验设计与探究(教师版含解析)2021年高考化学真题和模拟题分类汇编_05高考化学_新高考复习资料_2023年新高考资料_一轮复习_2023年新高考大一轮复习讲义
专题16化学实验设计与探究(教师版含解析)2021年高考化学真题和模拟题分类汇编_05高考化学_新高考复习资料_2023年新高考资料_一轮复习_2023年新高考大一轮复习讲义
专题16化学实验设计与探究(教师版含解析)2021年高考化学真题和模拟题分类汇编_05高考化学_新高考复习资料_2023年新高考资料_一轮复习_2023年新高考大一轮复习讲义
专题16化学实验设计与探究(教师版含解析)2021年高考化学真题和模拟题分类汇编_05高考化学_新高考复习资料_2023年新高考资料_一轮复习_2023年新高考大一轮复习讲义
专题16化学实验设计与探究(教师版含解析)2021年高考化学真题和模拟题分类汇编_05高考化学_新高考复习资料_2023年新高考资料_一轮复习_2023年新高考大一轮复习讲义
专题16化学实验设计与探究(教师版含解析)2021年高考化学真题和模拟题分类汇编_05高考化学_新高考复习资料_2023年新高考资料_一轮复习_2023年新高考大一轮复习讲义
专题16化学实验设计与探究(教师版含解析)2021年高考化学真题和模拟题分类汇编_05高考化学_新高考复习资料_2023年新高考资料_一轮复习_2023年新高考大一轮复习讲义
专题16化学实验设计与探究(教师版含解析)2021年高考化学真题和模拟题分类汇编_05高考化学_新高考复习资料_2023年新高考资料_一轮复习_2023年新高考大一轮复习讲义
专题16化学实验设计与探究(教师版含解析)2021年高考化学真题和模拟题分类汇编_05高考化学_新高考复习资料_2023年新高考资料_一轮复习_2023年新高考大一轮复习讲义
专题16化学实验设计与探究(教师版含解析)2021年高考化学真题和模拟题分类汇编_05高考化学_新高考复习资料_2023年新高考资料_一轮复习_2023年新高考大一轮复习讲义
专题16化学实验设计与探究(教师版含解析)2021年高考化学真题和模拟题分类汇编_05高考化学_新高考复习资料_2023年新高考资料_一轮复习_2023年新高考大一轮复习讲义
专题16化学实验设计与探究(教师版含解析)2021年高考化学真题和模拟题分类汇编_05高考化学_新高考复习资料_2023年新高考资料_一轮复习_2023年新高考大一轮复习讲义
专题16化学实验设计与探究(教师版含解析)2021年高考化学真题和模拟题分类汇编_05高考化学_新高考复习资料_2023年新高考资料_一轮复习_2023年新高考大一轮复习讲义
专题16化学实验设计与探究(教师版含解析)2021年高考化学真题和模拟题分类汇编_05高考化学_新高考复习资料_2023年新高考资料_一轮复习_2023年新高考大一轮复习讲义
专题16化学实验设计与探究(教师版含解析)2021年高考化学真题和模拟题分类汇编_05高考化学_新高考复习资料_2023年新高考资料_一轮复习_2023年新高考大一轮复习讲义
专题16化学实验设计与探究(教师版含解析)2021年高考化学真题和模拟题分类汇编_05高考化学_新高考复习资料_2023年新高考资料_一轮复习_2023年新高考大一轮复习讲义
专题16化学实验设计与探究(教师版含解析)2021年高考化学真题和模拟题分类汇编_05高考化学_新高考复习资料_2023年新高考资料_一轮复习_2023年新高考大一轮复习讲义
专题16化学实验设计与探究(教师版含解析)2021年高考化学真题和模拟题分类汇编_05高考化学_新高考复习资料_2023年新高考资料_一轮复习_2023年新高考大一轮复习讲义
专题16化学实验设计与探究(教师版含解析)2021年高考化学真题和模拟题分类汇编_05高考化学_新高考复习资料_2023年新高考资料_一轮复习_2023年新高考大一轮复习讲义
专题16化学实验设计与探究(教师版含解析)2021年高考化学真题和模拟题分类汇编_05高考化学_新高考复习资料_2023年新高考资料_一轮复习_2023年新高考大一轮复习讲义
专题16化学实验设计与探究(教师版含解析)2021年高考化学真题和模拟题分类汇编_05高考化学_新高考复习资料_2023年新高考资料_一轮复习_2023年新高考大一轮复习讲义
专题16化学实验设计与探究(教师版含解析)2021年高考化学真题和模拟题分类汇编_05高考化学_新高考复习资料_2023年新高考资料_一轮复习_2023年新高考大一轮复习讲义
专题16化学实验设计与探究(教师版含解析)2021年高考化学真题和模拟题分类汇编_05高考化学_新高考复习资料_2023年新高考资料_一轮复习_2023年新高考大一轮复习讲义
专题16化学实验设计与探究(教师版含解析)2021年高考化学真题和模拟题分类汇编_05高考化学_新高考复习资料_2023年新高考资料_一轮复习_2023年新高考大一轮复习讲义
专题16化学实验设计与探究(教师版含解析)2021年高考化学真题和模拟题分类汇编_05高考化学_新高考复习资料_2023年新高考资料_一轮复习_2023年新高考大一轮复习讲义
专题16化学实验设计与探究(教师版含解析)2021年高考化学真题和模拟题分类汇编_05高考化学_新高考复习资料_2023年新高考资料_一轮复习_2023年新高考大一轮复习讲义
专题16化学实验设计与探究(教师版含解析)2021年高考化学真题和模拟题分类汇编_05高考化学_新高考复习资料_2023年新高考资料_一轮复习_2023年新高考大一轮复习讲义
专题16化学实验设计与探究(教师版含解析)2021年高考化学真题和模拟题分类汇编_05高考化学_新高考复习资料_2023年新高考资料_一轮复习_2023年新高考大一轮复习讲义
专题16化学实验设计与探究(教师版含解析)2021年高考化学真题和模拟题分类汇编_05高考化学_新高考复习资料_2023年新高考资料_一轮复习_2023年新高考大一轮复习讲义
专题16化学实验设计与探究(教师版含解析)2021年高考化学真题和模拟题分类汇编_05高考化学_新高考复习资料_2023年新高考资料_一轮复习_2023年新高考大一轮复习讲义
专题16化学实验设计与探究(教师版含解析)2021年高考化学真题和模拟题分类汇编_05高考化学_新高考复习资料_2023年新高考资料_一轮复习_2023年新高考大一轮复习讲义
专题16化学实验设计与探究(教师版含解析)2021年高考化学真题和模拟题分类汇编_05高考化学_新高考复习资料_2023年新高考资料_一轮复习_2023年新高考大一轮复习讲义
专题16化学实验设计与探究(教师版含解析)2021年高考化学真题和模拟题分类汇编_05高考化学_新高考复习资料_2023年新高考资料_一轮复习_2023年新高考大一轮复习讲义
专题16化学实验设计与探究(教师版含解析)2021年高考化学真题和模拟题分类汇编_05高考化学_新高考复习资料_2023年新高考资料_一轮复习_2023年新高考大一轮复习讲义
专题16化学实验设计与探究(教师版含解析)2021年高考化学真题和模拟题分类汇编_05高考化学_新高考复习资料_2023年新高考资料_一轮复习_2023年新高考大一轮复习讲义
专题16化学实验设计与探究(教师版含解析)2021年高考化学真题和模拟题分类汇编_05高考化学_新高考复习资料_2023年新高考资料_一轮复习_2023年新高考大一轮复习讲义
专题16化学实验设计与探究(教师版含解析)2021年高考化学真题和模拟题分类汇编_05高考化学_新高考复习资料_2023年新高考资料_一轮复习_2023年新高考大一轮复习讲义
专题16化学实验设计与探究(教师版含解析)2021年高考化学真题和模拟题分类汇编_05高考化学_新高考复习资料_2023年新高考资料_一轮复习_2023年新高考大一轮复习讲义
专题16化学实验设计与探究(教师版含解析)2021年高考化学真题和模拟题分类汇编_05高考化学_新高考复习资料_2023年新高考资料_一轮复习_2023年新高考大一轮复习讲义
专题16化学实验设计与探究(教师版含解析)2021年高考化学真题和模拟题分类汇编_05高考化学_新高考复习资料_2023年新高考资料_一轮复习_2023年新高考大一轮复习讲义
专题16化学实验设计与探究(教师版含解析)2021年高考化学真题和模拟题分类汇编_05高考化学_新高考复习资料_2023年新高考资料_一轮复习_2023年新高考大一轮复习讲义
专题16化学实验设计与探究(教师版含解析)2021年高考化学真题和模拟题分类汇编_05高考化学_新高考复习资料_2023年新高考资料_一轮复习_2023年新高考大一轮复习讲义
专题16化学实验设计与探究(教师版含解析)2021年高考化学真题和模拟题分类汇编_05高考化学_新高考复习资料_2023年新高考资料_一轮复习_2023年新高考大一轮复习讲义
专题16化学实验设计与探究(教师版含解析)2021年高考化学真题和模拟题分类汇编_05高考化学_新高考复习资料_2023年新高考资料_一轮复习_2023年新高考大一轮复习讲义
专题16化学实验设计与探究(教师版含解析)2021年高考化学真题和模拟题分类汇编_05高考化学_新高考复习资料_2023年新高考资料_一轮复习_2023年新高考大一轮复习讲义
专题16化学实验设计与探究(教师版含解析)2021年高考化学真题和模拟题分类汇编_05高考化学_新高考复习资料_2023年新高考资料_一轮复习_2023年新高考大一轮复习讲义
专题16化学实验设计与探究(教师版含解析)2021年高考化学真题和模拟题分类汇编_05高考化学_新高考复习资料_2023年新高考资料_一轮复习_2023年新高考大一轮复习讲义
专题16化学实验设计与探究(教师版含解析)2021年高考化学真题和模拟题分类汇编_05高考化学_新高考复习资料_2023年新高考资料_一轮复习_2023年新高考大一轮复习讲义
专题16化学实验设计与探究(教师版含解析)2021年高考化学真题和模拟题分类汇编_05高考化学_新高考复习资料_2023年新高考资料_一轮复习_2023年新高考大一轮复习讲义
专题16化学实验设计与探究(教师版含解析)2021年高考化学真题和模拟题分类汇编_05高考化学_新高考复习资料_2023年新高考资料_一轮复习_2023年新高考大一轮复习讲义
专题16化学实验设计与探究(教师版含解析)2021年高考化学真题和模拟题分类汇编_05高考化学_新高考复习资料_2023年新高考资料_一轮复习_2023年新高考大一轮复习讲义
专题16化学实验设计与探究(教师版含解析)2021年高考化学真题和模拟题分类汇编_05高考化学_新高考复习资料_2023年新高考资料_一轮复习_2023年新高考大一轮复习讲义
专题16化学实验设计与探究(教师版含解析)2021年高考化学真题和模拟题分类汇编_05高考化学_新高考复习资料_2023年新高考资料_一轮复习_2023年新高考大一轮复习讲义
专题16化学实验设计与探究(教师版含解析)2021年高考化学真题和模拟题分类汇编_05高考化学_新高考复习资料_2023年新高考资料_一轮复习_2023年新高考大一轮复习讲义
专题16化学实验设计与探究(教师版含解析)2021年高考化学真题和模拟题分类汇编_05高考化学_新高考复习资料_2023年新高考资料_一轮复习_2023年新高考大一轮复习讲义
专题16化学实验设计与探究(教师版含解析)2021年高考化学真题和模拟题分类汇编_05高考化学_新高考复习资料_2023年新高考资料_一轮复习_2023年新高考大一轮复习讲义

文档信息

文档格式
docx
文档大小
3.117 MB
文档页数
75 页
上传时间
2026-03-27 15:24:16

文档内容

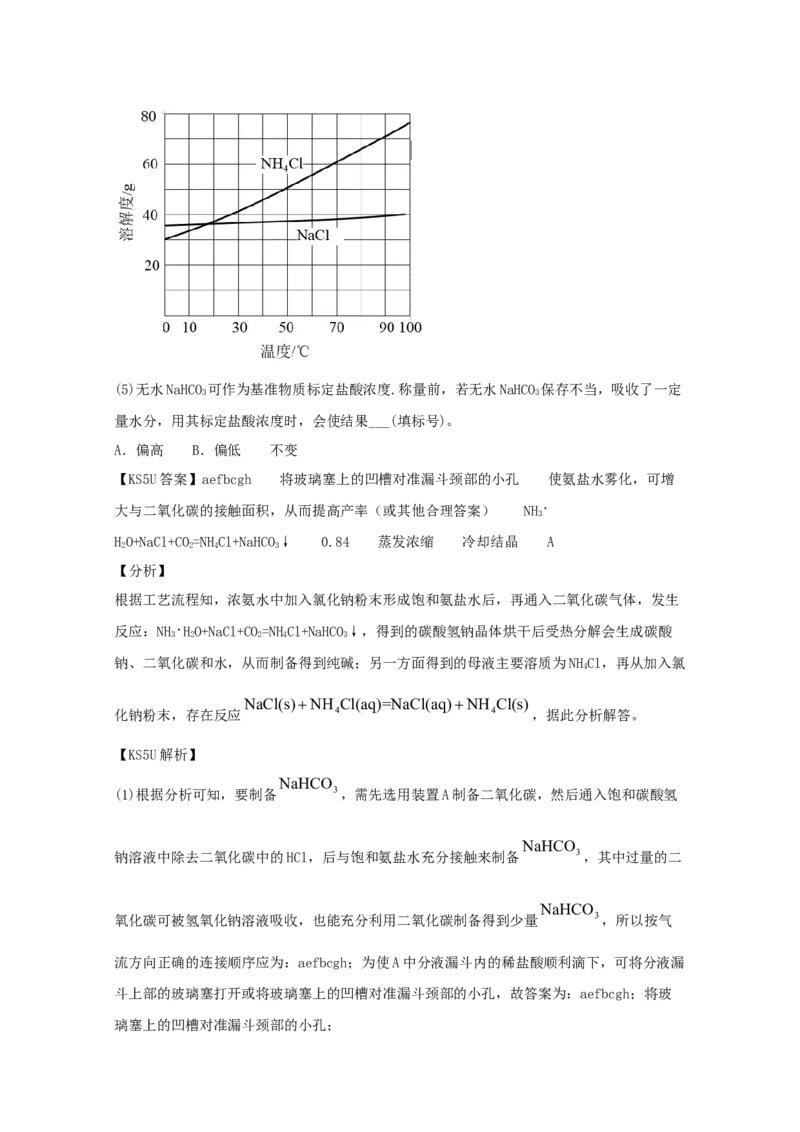
专题16化学实验设计与探究 2021年化学高考题 1.(2021·全国高考真题)氧化石墨烯具有稳定的网状结构,在能源、材料等领域有着重 要的应用前景,通过氧化剥离石墨制备氧化石墨烯的一种方法如下(装置如图所示): H SO NaNO Ⅰ.将浓 2 4、 3、石墨粉末在c中混合,置于冰水浴中,剧烈搅拌下,分批缓慢加 KMnO 入 4粉末,塞好瓶口。 Ⅱ.转至油浴中,35℃搅拌1小时,缓慢滴加一定量的蒸馏水。升温至98℃并保持1小时。 H O Ⅲ.转移至大烧杯中,静置冷却至室温。加入大量蒸馏水,而后滴加 2 2至悬浊液由紫色变 为土黄色。 Ⅳ.离心分离,稀盐酸洗涤沉淀。 Ⅴ.蒸馏水洗涤沉淀。 Ⅵ.冷冻干燥,得到土黄色的氧化石墨烯。 回答下列问题: (1)装置图中,仪器a、c的名称分别是_______、_______,仪器b的进水口是_______(填字 母)。 KMnO (2)步骤Ⅰ中,需分批缓慢加入 4粉末并使用冰水浴,原因是_______。 (3)步骤Ⅱ中的加热方式采用油浴,不使用热水浴,原因是_______。 H O (4)步骤Ⅲ中, 2 2的作用是_______(以离子方程式表示)。SO2 (5)步骤Ⅳ中,洗涤是否完成,可通过检测洗出液中是否存在 4 来判断。检测的方法是 _______。 pH Cl (6)步骤Ⅴ可用 试纸检测来判断 是否洗净,其理由是_______。 【KS5U答案】滴液漏斗 三颈烧瓶 d 反应放热,防止反应过快 反应温度接近 2MnO 5H O 6H 2Mn2 8H O5O  水的沸点,油浴更易控温 4 2 2 2 2 取少 BaCl H+ Cl- 量洗出液,滴加 2,没有白色沉淀生成 与 电离平衡,洗出液接近中性时,可 Cl- 认为 洗净 【KS5U解析】 (1)由图中仪器构造可知,a的仪器名称为滴液漏斗,c的仪器名称为三颈烧瓶;仪器b为球 形冷凝管,起冷凝回流作用,为了是冷凝效果更好,冷却水要从d口进,e口出,故答案为: 分液漏斗;三颈烧瓶;d; (2)反应为放热反应,为控制反应速率,避免反应过于剧烈,需分批缓慢加入KMnO 粉末并使 4 用冰水浴,故答案为:反应放热,防止反应过快; (3)油浴和水浴相比,由于油的比热容较水小,油浴控制温度更加灵敏和精确,该实验反应 温度接近水的沸点,故不采用热水浴,而采用油浴,故答案为:反应温度接近水的沸点,油 浴更易控温; (4)由滴加HO 后发生的现象可知,加入的目的是除去过量的KMnO,则反应的离子方程式为: 2 2 4 O O 2Mn 4+5HO+6H+=2Mn2++5O↑+8HO,故答案为:2Mn 4+5HO+6H+=2Mn2++5O↑+8HO ; 2 2 2 2 2 2 2 2 O2 (5)该实验中为判断洗涤是否完成,可通过检测洗出液中是否存在S 4 来判断,检测方法是: 取最后一次洗涤液,滴加BaCl 溶液,若没有沉淀说明洗涤完成,故答案为:取少量洗出液, 2 滴加BaCl,没有白色沉淀生成; 2 H+ Cl- (6)步骤IV用稀盐酸洗涤沉淀,步骤V洗涤过量的盐酸, 与 电离平衡,洗出液接近中 Cl- H+ Cl- Cl- 性时,可认为 洗净,故答案为: 与 电离平衡,洗出液接近中性时,可认为 洗净。 2.(2021·山东高考真题)六氯化钨(WCl)可用作有机合成催化剂,熔点为283℃,沸点为 6 340℃,易溶于CS,极易水解。实验室中,先将三氧化钨(WO)还原为金属钨(W)再制备 2 3 WCl,装置如图所示(夹持装置略)。回答下列问题: 6 (1)检查装置气密性并加入WO。先通N,其目的是___;一段时间后,加热管式炉,改通H, 3 2 2 对B处逸出的H 进行后续处理。仪器A的名称为___,证明WO 已被完全还原的现象是___。 2 3 (2)WO 完全还原后,进行的操作为:①冷却,停止通H;②以干燥的接收装置替换E;③在B 3 2 处加装盛有碱石灰的干燥管;④……;⑤加热,通Cl;⑥……。碱石灰的作用是___;操作 2 ④是___,目的是___。 (3)利用碘量法测定WCl 产品纯度,实验如下: 6 ①称量:将足量CS(易挥发)加入干燥的称量瓶中,盖紧称重为mg;开盖并计时1分钟,盖 2 1 紧称重为mg;再开盖加入待测样品并计时1分钟,盖紧称重为mg,则样品质量为___g(不考 2 3 虑空气中水蒸气的干扰)。  2 ②滴定:先将WCl 转化为可溶的NaWO,通过IO3 离子交换柱发生反应:WO4 6 2 4   +Ba(IO)=BaWO+2IO3 ;交换结束后,向所得含IO3 的溶液中加入适量酸化的KI溶液,发生 3 2 4  2 反应:IO3 +5I-+6H+=3I+3HO;反应完全后,用NaSO 标准溶液滴定,发生反应:I+2SO3 2 2 2 2 3 2 22 =2I-+SO6 。滴定达终点时消耗cmol•L-1的NaSO 溶液VmL,则样品中WCl(摩尔质量为 4 2 2 3 6 Mg•mol-1)的质量分数为___。称量时,若加入待测样品后,开盖时间超过1分钟,则滴定时消 耗NaSO 溶液的体积将___(填“偏大”“偏小”或“不变”),样品中WCl 质量分数的测定 2 2 3 6 值将___(填“偏大”“偏小”或“不变”)。 【KS5U答案】排除装置中的空气 直形冷凝管 淡黄色固体变为银白色 吸收多余氯 气,防止污染空气;防止空气中的水蒸气进入E 再次通入N 排除装置中的H 2 2 cVM ( m+m- 2m) 120m m 2m % 不变 偏大 3 1 2 3 1 2 【分析】 (1) 将WO 在加热条件下用H 还原为W,为防止空气干扰,还原WO 之前要除去装置中的空气; 3 2 3 (2) 由信息可知WCl 极易水解,W与Cl 反应制取WCl 时,要在B处加装盛有碱石灰的干燥管, 6 2 6 防止空气中的水蒸气进入E中; (3)利用碘量法测定WCl 产品纯度,称量时加入足量的CS 用于溶解样品,盖紧称重为mg, 6 2 1 由于CS 易挥发,开盖时要挥发出来,称量的质量要减少,开盖并计时1分钟,盖紧称重 2 mg,则挥发出的CS 的质量为(m- m)g,再开盖加入待测样品并计时1分钟,又挥发出(m- 2 2 1 2 1 m)g的CS,盖紧称重为mg,则样品质量为:mg+2(m- m)g-mg=( m+m- 2m)g;滴定时, 2 2 3 3 1 2 1 3 1 2 2  2 利用关系式:WO4 ~2IO3 ~6I~12 SO3 计算样品中含WCl 的质量,进而计算样品中WCl 的质 2 2 6 6 量分数;根据测定原理分析是否存在误差及误差是偏大还是偏小。 【KS5U解析】 (1)用H 还原WO 制备W,装置中不能有空气,所以先通N,其目的是排除装置中的空气;由 2 3 2 仪器构造可知仪器A的名称为直形冷凝管;WO 为淡黄色固体,被还原后生成W为银白色,所 3 以能证明WO 已被完全还原的现象是淡黄色固体变为银白色,故答案为:淡黄色固体变为银 3 白色; (2) 由信息可知WCl 极易水解,W与Cl 反应制取WCl 时,要在B处加装盛有碱石灰的干燥管, 6 2 6 防止空气中的水蒸气进入E中,所以碱石灰的作用其一是吸收多余氯气,防止污染空气;其 二是防止空气中的水蒸气进入E;在操作⑤加热,通Cl 之前,装置中有多余的H,需要除去, 2 2 所以操作④是再次通入N,目的是排除装置中的H,故答案为:吸收多余氯气,防止污染空 2 2 气;防止空气中的水蒸气进入E;再次通入N;排除装置中的H; 2 2(3) ①根据分析,称量时加入足量的CS,盖紧称重为mg,由于CS 易挥发,开盖时要挥发 2 1 2 出来,称量的质量要减少,开盖并计时1分钟,盖紧称重mg,则挥发出的CS 的质量为(m- 2 2 1 m)g,再开盖加入待测样品并计时1分钟,又挥发出(m- m)g的CS,盖紧称重为mg,则样 2 1 2 2 3 品质量为:mg+2(m- m)g-mg=( m+m- 2m)g,故答案为:( m+m- 2m); 3 1 2 1 3 1 2 3 1 2 1 2  2 2 2 ②滴定时,根据关系式:WO ~2IO ~6I~12 SO ,样品中n(WCl)=n(WO )=12n(SO )= 4 3 2 2 3 6 4 2 3 1 1 cVM 12cV10-3mol,m(WCl)= 12 cV10-3molMg/mol=12000g,则样品中WCl 的质量分数为: 6 6 cVM g cVM 12000  100%= %;根据测定原理,称量时,若加入待测样品 (m m 2m )g 120m m 2m  3 1 2 3 1 2 后,开盖时间超过1分钟,挥发的CS 的质量增大,m 偏小,但WCl 的质量不变,则滴定时 2 3 6 消耗NaSO 溶液的体积将不变,样品中WCl 质量分数的测定值将偏大,故答案为: 2 2 3 6 cVM 120m m 2m %;不变;偏大。 3 1 2 3.(2021·广东高考真题)含氯物质在生产生活中有重要作用。1774年,舍勒在研究软锰 MnO 矿(主要成分是 2)的过程中,将它与浓盐酸混合加热,产生了一种黄绿色气体。1810年, 戴维确认这是一种新元素组成的单质,并命名为chlorine(中文命名“氯气”)。 Cl (1)实验室沿用舍勒的方法制取 2的化学方程式为_______。 Cl Cl (2)实验室制取干燥 2时,净化与收集 2所需装置的接口连接顺序为_______。(3)某氯水久置后不能使品红溶液褪色,可推测氯水中_______已分解。检验此久置氯水中 Cl 存在的操作及现象是_______。 (4)某合作学习小组进行以下实验探究。 AgCl ①实验任务。通过测定溶液电导率,探究温度对 溶解度的影响。 ②查阅资料。电导率是表征电解质溶液导电能力的物理量。温度一定时,强电解质稀溶液的 电导率随溶液中离子浓度的增大而增大;离子浓度一定时,稀溶液电导率随温度的升高而增 K AgCl=1.81010 大。25℃时, sp 。 ③提出猜想。 AgCl 猜想a:较高温度的 饱和溶液的电导率较大。 AgCl s45℃>s35℃>s25℃ 猜想b: 在水中的溶解度 。 AgCl ④设计实验、验证猜想。取试样Ⅰ、Ⅱ、Ⅲ(不同温度下配制的 饱和溶液),在设定的 测试温度下,进行表中实验1~3,记录数据。 实验序号 试样 测试温 电导率/ μS/cm 度/℃ Ⅰ:25℃的AgCl饱和溶 1 25 A 1 液 Ⅱ:35℃的AgCl饱和溶 2 35 A 2 液 Ⅲ:45℃的AgCl饱和溶 3 45 A 3 液 c  Cl- = AgCl ⑤数据分析、交流讨论。25℃的 饱和溶液中, _______mol/L。 A A A a 实验结果为 3 2 1。小组同学认为,此结果可以证明③中的猜想 成立,但不足以证 明猜想b成立。结合②中信息,猜想b不足以成立的理由有_______。 ⑥优化实验。小组同学为进一步验证猜想b,在实验1~3的基础上完善方案,进行实验4和 5。请在答题卡上完成表中内容。实验序号 试样 测试温度/℃ 电导率/ μS/cm 4 Ⅰ _______ B 1 ______ 5 _______ B _ 2 ⑦实验总结。根据实验1~5的结果,并结合②中信息,小组同学认为猜想b也成立。猜想b 成立的判断依据是_______。   【KS5U答案】MnO+4HCl(浓) MnCl+Cl↑+2HO c-d-b-a-e HClO 向溶液中加入过 2 2 2 2 O2 O 量稀硝酸,防止溶液中含有C 3 、HC 3 等,再加入少量AgNO 溶液,若有白色沉淀生成, 3 则证明原溶液中含有Cl- 1.3410-5 测试温度不同,根据电导率结果无法判断不同温 度下饱和溶液的溶解度 45℃ II 45℃ A>B>B 3 2 1 【KS5U解析】   (1)实验室通常采用浓盐酸和MnO 制取 ,化学方程式为:MnO+4HCl(浓) 2 2 Cl 2   MnCl+Cl↑+2HO,故答案为:MnO+4HCl(浓) MnCl+Cl↑+2HO; 2 2 2 2 2 2 2 (2)根据化学方程式可知,制取的氯气中混有氯化氢、水蒸气,氯气有毒,必须进行尾气处 理,因此使用饱和食盐水吸收氯化氢气体,浓硫酸除去水蒸气,最后用NaOH溶液吸收尾气, 因此接口连接顺序为c-d-b-a-e,故答案为:c-d-b-a-e; Cl (3)久置后不能使品红溶液褪色,说明HClO已分解;检验 的方法为向溶液中加入过量稀 O2 O 硝酸,防止溶液中含有C 3 、HC 3 等,再加入少量AgNO 溶液,若有白色沉淀生成,则证 3 O2 明原溶液中含有Cl-,故答案为:HClO;向溶液中加入过量稀硝酸,防止溶液中含有C 3 、O HC 3 等,再加入少量AgNO 溶液,若有白色沉淀生成,则证明原溶液中含有Cl-; 3 K AgCl=c(Ag)c(Cl) AgCl (4)⑤25℃时, sp ,根据沉淀溶解平衡可知,饱和的 溶液 中c(Ag)=c(Cl),所以有 c  Cl- = K sp AgCl = 1.81010 =1.3410-5mol/L; 实验1~3中,不同的饱和溶液浓度不同且测试温度不同,根据资料显示离子浓度一定时,稀 溶液电导率随温度的升高而增大,所以根据实验1~3无法判断温度较高的饱和溶液离子浓度 大,进而不能得出溶解度关系,故答案为:1.3410-5;测试温度不同,根据电导率结果无法 判断不同温度下饱和溶液的溶解度; ⑥如果要判断AgCl在水中的溶解度随温度的变化情况,可以设计不相同温度下的饱和溶液在 相同温度下测试,如果温度较高下的饱和溶液电导率比温度较低的饱和溶液电导率高,则可 以得出温度升高饱和溶液中离子浓度高。所以可以设计试样Ⅰ在45℃下测试与实验3比较; 设计试样II在45℃下测试与实验3比较。故答案为:45℃;II;45℃; ⑦猜想b成立的判断依据是A>B>B,故答案为:A>B>B。 3 2 1 3 2 1 4.(2021·河北高考真题)化工专家侯德榜发明的侯氏制碱法为我国纯碱工业和国民经济 发展做出了重要贡献,某化学兴趣小组在实验室中模拟并改进侯氏制碱法制备NaHCO,进一 3 步处理得到产品NaCO 和NHCl,实验流程如图: 2 3 4 回答下列问题: (1)从A~E中选择合适的仪器制备NaHCO,正确的连接顺序是___(按气流方向,用小写字母 3 表示)。为使A中分液漏斗内的稀盐酸顺利滴下,可将分液漏斗上部的玻璃塞打开或___。A. B. C. D. E. (2)B中使用雾化装置的优点是__。 (3)生成NaHCO 的总反应的化学方程式为___。 3 (4)反应完成后,将B中U形管内的混合物处理得到固体NaHCO 和滤液: 3 ①对固体NaHCO 充分加热,产生的气体先通过足量浓硫酸,再通过足量NaO,NaO 增重 3 2 2 2 2 0.14g,则固体NaHCO 的质量为___g。 3 ②向滤液中加入NaCl粉末,存在NaCl(s)+NHCl(aq)→NaCl(aq)+NHCl(s)过程。为使NHCl 4 4 4 沉淀充分析出并分离,根据NaCl和NHCl溶解度曲线,需采用的操作为___、___、洗涤、干 4 燥。(5)无水NaHCO 可作为基准物质标定盐酸浓度.称量前,若无水NaHCO 保存不当,吸收了一定 3 3 量水分,用其标定盐酸浓度时,会使结果___(填标号)。 A.偏高 B.偏低 不变 【KS5U答案】aefbcgh 将玻璃塞上的凹槽对准漏斗颈部的小孔 使氨盐水雾化,可增 大与二氧化碳的接触面积,从而提高产率(或其他合理答案) NH  3 HO+NaCl+CO=NHCl+NaHCO↓ 0.84 蒸发浓缩 冷却结晶 A 2 2 4 3 【分析】 根据工艺流程知,浓氨水中加入氯化钠粉末形成饱和氨盐水后,再通入二氧化碳气体,发生 反应:NH HO+NaCl+CO=NHCl+NaHCO↓,得到的碳酸氢钠晶体烘干后受热分解会生成碳酸 3 2 2 4 3 钠、二氧化碳和水,从而制备得到纯碱;另一方面得到的母液主要溶质为NHCl,再从加入氯 4 NaCl(s)NH Cl(aq)=NaCl(aq)NH Cl(s) 化钠粉末,存在反应 4 4 ,据此分析解答。 【KS5U解析】 NaHCO (1)根据分析可知,要制备 3,需先选用装置A制备二氧化碳,然后通入饱和碳酸氢 NaHCO 钠溶液中除去二氧化碳中的HCl,后与饱和氨盐水充分接触来制备 3,其中过量的二 NaHCO 氧化碳可被氢氧化钠溶液吸收,也能充分利用二氧化碳制备得到少量 3,所以按气 流方向正确的连接顺序应为:aefbcgh;为使A中分液漏斗内的稀盐酸顺利滴下,可将分液漏 斗上部的玻璃塞打开或将玻璃塞上的凹槽对准漏斗颈部的小孔,故答案为:aefbcgh;将玻 璃塞上的凹槽对准漏斗颈部的小孔;(2)B中使用雾化装置使氨盐水雾化,可增大与二氧化碳的接触面积,从而提高产率; NaHCO  (3)根据上述分析可知,生成 3的总反应的化学方程式为NH 3 HO+NaCl+CO=NHCl+NaHCO↓; 2 2 4 3 NaHCO (4)①对固体 3充分加热,产生二氧化碳和水蒸气,反应的化学方程式为:  2NaHCO Na CO +CO H O 3 2 3 2 2 将气体先通过足量浓硫酸,吸收水蒸气,再通过足量 Na O Na O 2 2, 2 2与二氧化碳反应生成碳酸钠和氧气,化学方程式为: 2Na O +2CO =2Na CO +O 0.14g 2 2 2 2 3 2,根据方程式可知,根据差量法可知,当增重 (2CO 44 0.14g 的质量)时,消耗的二氧化碳的质量为 28=0.22g,其物质的量为 22g 0.005mol 44g/mol ,根据关系式2NaHCO CO 可知,消耗的NaHCO 的物质的量 3 2 3 NaHCO 为2  0.005mol=0.01mol,所以固体 3的质量为0.01mol  84g/mol=0.84g; ②根据溶解度虽温度的变化曲线可以看出,氯化铵的溶解度随着温度的升高而不断增大,而 NH Cl 氯化钠的溶解度随着温度的升高变化并不明显,所以要想使 4 沉淀充分析出并分离, 需采用蒸发浓缩、冷却结晶、洗涤、干燥的方法,故答案为:蒸发浓缩、冷却结晶; NaHCO (5)称量前,若无水 3保存不当,吸收了一定量水分,标准液被稀释,浓度减小,所 c(标)V(标) 以用其标定盐酸浓度时,消耗的碳酸氢钠的体积V(标)会增大,根据c(测)= c(测) 可 知,最终会使c(测)偏高,A项符合题意,故答案为:A。2021年化学高考模拟题 一、单选题 1.(2021·安徽高三一模)科学实验中,要尽可能避免干扰因素对实验的影响。下列分析 错误的 A.用甲操作检验K+,应透过蓝色钴玻璃观察火焰颜色,来排除Na+干扰 B.用乙装置制备氢氧化亚铁,胶头滴管插到覆盖一层苯的液面以下,以防止空气干扰 C.用丙装置制备并检验乙烯,氢氧化钠溶液用来排除CO 对乙烯检验的干扰 2 D.丁装置中,读出H 的体积时,待装置冷却至室温,将漏斗缓缓下移至两端的液面处于相 2 平,是为了防止温度和压强对气体体积的影响 【KS5U答案】C 【KS5U解析】 A.用焰色试验检验钾离子时,观测钾元素的焰色时要透过蓝色钴玻璃片,滤去钠元素的黄 光的干扰,来排除钠离子的干扰,故A正确; B.氢氧化亚铁易被空气中的氧气氧化,制备氢氧化亚铁时,长胶头滴管插到覆盖一层苯的 液面以下,以防止空气干扰,故B正确; C.用乙醇与浓硫酸共热制备乙烯时,乙醇具有挥发性,浓硫酸具有脱水性和强氧化性,会 发生副反应,使得乙烯气体中混有乙醇、二氧化硫、二氧化碳等杂质,其中乙烯和乙醇、二 氧化硫都能与酸性高锰酸钾溶液反应,使酸性高锰酸钾溶液褪色,则检验乙烯时,应将混合 气体通过盛有氢氧化钠溶液的洗气瓶吸收乙醇、二氧化硫、二氧化碳等,用来排除乙醇、二 氧化硫对乙烯检验的干扰,故C错误; D.测定气体体积时必须测定实验时的室温和压强,则读出氢气的体积时,应待装置冷却至 室温,将漏斗缓缓下移至两端的液面处于相平测定氢气体积,防止温度和压强对氢气体积的 影响,故D正确; 故选C。二、实验题 2.(2021·福建省南安第一中学高三二模)过氧化钙可以用于改善地表水质,处理含重金 属粒子废水和治理赤潮,也可用于应急供氧等。实验室模仿工业上生产过氧化钙的主要流程 如下: 已知:①沉淀时需控制温度为0℃左右; ②CaO·8HO呈白色,微溶于水,加热至350℃左右开始分解放出氧气。 2 2 (1)实验装置如下: ①沉淀步骤需控制温度为0℃左右,控温直接有效的方法是_______。 ②仪器m的名称是_______;装置连接顺序为_______(填序号)。 ③沉淀生成的反应方程式为_______。 (2)乙醇洗涤的目的是_______。 (3)请设计实验定性检验产品为CaO(简单地描述实验步骤和现象)_______。 2 (4)产品纯度测定实验步骤如下: 第一步:准确称取ag产品于烧杯中,加入适量的盐酸使其完全溶解; 第二步:向上述溶液中加入稍过量的(NH)CO,沉淀完全,过滤并洗涤沉淀; 4 2 2 4 第三步:将洗涤好的沉淀用稍过量的稀硫酸溶解,溶解液和洗涤液全部转移至锥形瓶中; 第四步:向锥形瓶中滴入几滴MnSO 溶液,然后逐滴滴入浓度为cmol·L-1的KMnO 溶液至终 4 4 点,消耗KMnO 溶液VmL。 4 ①滴定前,滴入MnSO 溶液的目的是_______。 4 ②产品的纯度为_______(用字母表示)。 ③若第三步用稀盐酸溶解,所测纯度_______(填“偏低”“不变”或“偏高”)【KS5U答案】冰水浴 恒压漏斗 fab(ba)cde CaCl+HO+2NH+8HO=CaO·8HO↓+2NHCl 去除结晶表面的水分 取适量的产品于试管 2 2 2 3 2 2 2 4 中,加热,将带火星的木条靠近试管口,若复燃则说明产品为CaO 起催化作用,加快反 2 18cV % 应速率 偏高 a 【分析】 由题给流程可知,氯化钙固体溶于水得到氯化钙溶液,向溶液中加入30%过氧化氢溶液和氨 水,氯化钙溶液与过氧化氢溶液和氨水反应生成八水过氧化钙沉淀,沉淀经水洗、乙醇洗后, 烘烤得到无水过氧化钙。 【KS5U解析】 (1)①氨水和过氧化氢溶液受热易分解,则实验时,应采用冰水浴控制反应温度为0 ℃左右, 防止氨水和过氧化氢溶液分解,导致产率降低,故答案为:冰水浴; ②由实验装置图可知,仪器m为恒压滴液漏斗,便于浓氯化钙溶液顺利流下;第四个装置为 浓氨水与氧化钙反应制备氨气,由于氨气极易溶于水,为防止实验时产生倒吸,应在第四个 装置后连接第一个装置,该装置为空载仪器,起安全瓶、防倒吸的作用,第二个装置为制备 八水过氧化钙的装置,第三个装置为氨气的吸收装置,导致的漏斗起防倒吸的作用,则装置 的连接顺序为fab(ba)cde,故答案为:fab(ba)cde; ③沉淀生成的反应为浓氯化钙溶液与过氧化氢溶液和氨气反应生成八水过氧化钙沉淀和氯化 铵,反应的化学方程式为CaCl+HO+2NH+8HO=CaO·8HO↓+2NHCl,故答案为: 2 2 2 3 2 2 2 4 CaCl+HO+2NH+8HO=CaO·8HO↓+2NHCl; 2 2 2 3 2 2 2 4 (2)由信息可知,CaO·8HO微溶于水,水洗后,晶体表面残存水,用乙醇洗涤可除去晶体表 2 2 面的水,使晶体迅速变干,故答案为:去除结晶表面的水分; (3) 由信息可知,CaO·8HO加热至350℃左右开始分解放出氧气可知,检验产品为CaO 的 2 2 2 操作为取适量的产品于试管中,加热,将带火星的木条靠近试管口,若复燃则说明产品为 CaO,故答案为:取适量的产品于试管中,加热,将带火星的木条靠近试管口,若复燃则说 2 明产品为CaO; 2 (4)①酸性条件下,草酸溶液与高锰酸钾溶液发生氧化还原反应时, MnSO 能起催化剂的作 4 用,使反应速率加快,故答案为:起催化作用,加快反应速率; ②由题意可得如下关系式:5CaO—5HCO~2 KMnO,由反应消耗VmLcmol·L-1KMnO 溶液可得 2 2 2 4 4 45 cmol/L  10-3VL   72g/mol 2 18cV 18cV 产品的纯度为 ×100%= %,故答案为: %; ag a a ③若第三步用稀盐酸溶解,酸性条件下,氯离子也能与高锰酸钾溶液反应,会导致消耗高锰 酸钾溶液的体积偏大,使所测产品的纯度偏高,故答案为:偏高。 3.(2021·南岸区·重庆第二外国语学校高三三模)铋酸钠(NaBiO)是分析化学中的重要试 3 剂,在水中缓慢分解,遇沸水或酸则迅速分解。某兴趣小组设计实验制取铋酸钠并探究其应 用。回答下列问题: Ⅰ.制取铋酸钠。制取装置如图(加热和夹持仪器已略去),部分物质性质如下: 物质 NaBiO Bi(OH) 3 3 性质 不溶于冷水;浅黄色 难溶于水;白色 (1)C中盛放Bi(OH) 与NaOH的混合物,与Cl 反应生成NaBiO,反应的化学方程式为: 3 2 3 _______,B装置的作用是_______。 (2)当观察到_______(填现象)时,可以初步判断C中反应已经完成。 (3)拆除装置前必须先除去残留的Cl,以免污染空气。除去烧瓶A中残留Cl 的操作是:关闭 2 2 _______;打开_______。 (4)反应结束后,为从装置C中获得尽可能多的产品,需要的操作有_______、过滤、_______。 Ⅱ.铋酸钠的应用——检验Mn2+ (5)往待检液中加入铋酸钠晶体,加硫酸酸化,生成Bi3+,且溶液变为紫红色,证明待检液中 存在Mn2+。产生紫红色现象的离子方程式为_______。 Ⅲ.产品纯度的测定 (6)取上述NaBiO 产品ag,加入足量稀硫酸和MnSO 稀溶液使其完全反应,再用bmol·L−1的 3 4   HCO 标准溶液滴定生成的MnO4(已知:HCO+MnO4—CO+Mn2++HO,未配平),当溶液紫红色 2 2 4 2 2 4 2 2 恰好褪去时,消耗cmL标准溶液。该产品的纯度为_______(用含a、b、c的代数式表示)。【KS5U答案】Bi(OH)+3NaOH+Cl=NaBiO+2NaCl+3HO 除去HCl C中的白色固体消失 3 2 3 2 (或黄色不再加深;C中上方充满黄绿色气体等) K、K (K 可不填) K 在冰水中冷 1 3 1 2  却结晶 洗涤、干燥 5NaBiO+2Mn2++14H+=5Bi3++2MnO4+5Na++7HO 280bc×10-3/a或 3 2 28bc/a % 或 0.28bc/a×100% 【分析】 用浓盐酸和二氧化锰反应制备氯气,其中混合有挥发出的氯化氢气体,要用饱和食盐水进行 除杂,然后利用氯气的强氧化性,在碱性环境下将Bi(OH) 氧化为NaBiO;利用锰离子的还 3 3 原性将NaBiO 还原,锰离子氧化为高锰酸根离子,检验NaBiO 的氧化性;实验结束后,产物 3 3 有毒性,故打开三颈烧瓶的氢氧化钠溶液,吸收剩余的氯气;NaBiO 纯度的检测利用NaBiO 3 3 和锰离子反应生成高锰酸根,高锰酸根再与草酸反应来测定,根据氧化还原反应反应进行计 算。据此分析解题。 【KS5U解析】 (1)C中盛放Bi(OH) 与NaOH的混合物,与Cl 反应生成NaBiO,根据氧化还原反应原理, 3 2 3 Bi(OH)+3NaOH+Cl=NaBiO+2NaCl+3HO 。浓盐酸具有挥发性,B装置的作用是除去HCl。 3 2 3 2 (2)C中反应已经完成,则白色的Bi(OH) 全部变成了黄色的NaBiO,白色固体消失。 3 3 (3)从图上装置看,关闭K、K,打开K 可使氢氧化钠流下与剩余的氯气反应。 1 3 2 (4)反应结束后,为从装置C中获得尽可能多的产品,由题意可知,NaBiO 不溶于冷水,接下 3 来的操作尽可能在冷水环境下进行,需要的操作可在冰水中冷却结晶、过滤、洗涤、干燥。 (5)往待检液中加入铋酸钠晶体,加硫酸酸化,生成Bi3+,且溶液变为紫红色,证明待检液中 存在Mn2+,说明铋酸钠将锰离子氧化为高锰酸根离子,因为属于酸性环境,所以铋酸钠被还 原为Bi3+,根据氧化还原反应原理可知,产生紫红色现象的离子方程式为: 5NaBiO+2Mn2+ 3  +14H+=5Bi3++2MnO4+5Na++7HO。 2 (6)根据得失电子守恒可知,草酸和高锰酸根离子的反应比例 HCO~MnO-=5:2,又因为 2 2 4 4  m =0.28bc 5NaBiO 3 +2Mn2++14H+=5Bi3++2MnO4+5Na++7H 2 O,即:NaBiO 3 :H 2 C 2 O 4 =1:1, (NaBiO 3 理论) 0.28bcg 0.28bc 280bc×10-3 28bc ×100%= ×100% ×100%或 % ,纯度为= ag a ,或 a a 。4.(2021·青海西宁市·高三二模)无水三氯化铁常用于净水剂、印染的媒染剂,印刷制 版时的腐蚀剂,在化学工业中还可制造其他铁盐,及处理肥皂提取粗甘油等。它具有易水解、 易升华的性质。铁粉与氯气反应制备无水FeCl 的实验装置如图所示: 3 回答下列问题: (1)装置A的作用是_______,通入氯气后,装置A中观察到有酸雾产生,原因是_______。 (2)装置C中PO 的作用是_______,请写出装置D中发生反应的化学方程式:_______。 2 5 (3)在E、G处收集产物是利用了FeCl_______的性质;实验过程中若F处出现堵塞,则在B 3 处可观察到的现象是_______。 (4)装置H的作用是_______;装置I中发生反应的离子方程式是_______。 (5)某同学用11.2g干燥铁粉制得无水FeCl 样品29.9g,该次实验的产率是_______。 3 (6)实验室中还常用SOCl 与FeCl·6HO晶体共热制备无水FeCl,其化学反应方程式为 2 3 2 3 _______。 【KS5U答案】干燥Cl 潮湿的氯气通过浓硫酸时,水与浓硫酸相遇放出大量的热使三氧 2 化硫逸出,三氧化硫遇到瓶内空气中的水蒸气形成酸雾 除去酸雾 Δ 2Fe+3Cl 2FeCl 2 3 易升华 B处有气泡产生 防止装置I中水蒸气进入装置G中 使氯化铁发生水解 Cl+2OH-=Cl-+ClO-+HO 92% 2 2 Δ FeCl 6H O+6SOCl FeCl +12HCl+6SO 3 2 2 3 2 【分析】 该实验的目的是制备FeCl;由于FeCl 易水解,故要先将潮湿Cl 通过装置A,以获得干燥的 3 3 2 Cl,其中潮湿的氯气通过浓硫酸时,水与浓硫酸相遇放出大量的热使三氧化硫逸出,三氧化 2 硫遇到瓶内空气中的水蒸气形成酸雾,故需要装置C来除去酸雾;装置D为Fe和Cl 反应生 2 成FeCl 的装置;装置E、G为FeCl 的收集装置;装置B、I为Cl 的吸收装置;由于FeCl 易 3 3 2 3 升华,在E、G中可得到固体FeCl,则有部分FeCl 固体会在F中积累,可能会引起堵塞,这 3 3时Cl 会进入到B中被吸收以防止污染环境;为防止装置I中的水蒸气进入G中,需装置H来 2 吸收装置I中的水蒸气,以防止G中FeCl 水解。 3 【KS5U解析】 (1)装置A的作用是干燥Cl,以获得干燥的Cl;通入Cl 后,装置A中观察到有酸雾产生, 2 2 2 其原因是潮湿的氯气通过浓硫酸时,水与浓硫酸相遇放出大量的热使三氧化硫逸出,三氧化 硫遇到瓶内空气中的水蒸气形成酸雾; (2)装置C中PO 的作用是除去酸雾;D中Fe和干燥的Cl 发生反应,化学方程式为 2 5 2 Δ 2Fe+3Cl 2FeCl 2 3; (3)在E、G处收集产物是利用了FeCl 易升华的性质;若F处出现堵塞,在B处可观察到有气 3 泡产生; (4)FeCl 易潮解,装置H可以防止装置I中水蒸气进入装置G中使氯化铁发生水解;装置I 3 用来吸收Cl,相应的离子方程式为Cl+2OH-=Cl-+ClO-+HO; 2 2 2 m(Fe) 11.2g (5)n(Fe)=M(Fe)=56g/mol=0.2mol,则理论上,反应产生0.2mol FeCl,即32.5g,则该 3 29.9g 100% 次实验的产率为32.5g =92%; Δ FeCl 6H O+6SOCl FeCl +12HCl+6SO (6)该反应的化学方程式为 3 2 2 3 2。 5.(2021·青海高三三模)亚氯酸钠(NaClO)是一种高效漂白剂,其有效氯含量相当于漂白 2 粉的7倍。可用ClO 与过氧化氢为原料制取亚氯酸钠,相关实验装置如图所示。请回答: 2 已知:①2NaClO+HO+HSO=2ClO↑+O↑+NaSO+2HO; 3 2 2 2 4 2 2 2 4 2 ②2ClO+2NaOH=NaClO+NaClO+HO; 2 2 3 2 ③已知NaClO 饱和溶液在温度低于38℃时析出NaClO·3HO晶体,高于38℃时析出NaClO 2 2 2 2 晶体,高于60℃时NaClO 分解成NaClO 和NaCl。 2 3 (1)仪器B的作用是___________。 (2)写出装置C中制备NaClO 固体的化学方程式:___________。冰水浴冷却的目的是 2 ___________(写两种)。 (3)在装置A中发生反应生成NaClO,反应过程中放出大量的热。 2 ①研究表明,实验时装置C中HO 与NaOH的物料比需要控制在0.8左右,原因可能是 2 2 ___________。 ②在吸收液中HO 和NaOH的物料比、浓度和体积不变的条件下,控制反应在0~3℃进行,实 2 2 验中可采取的措施是___________。 (4)尾气吸收时,一般用___________溶液吸收过量的ClO 2。 (5)为了测定NaClO 粗品的纯度,取上述粗产品a g溶于水配成1 L溶液,取出10 mL溶液于 2 锥形瓶中,再加入足量酸化的KI溶液,充分反应后(NaClO 被还原为Cl-,杂质不参加反应), 2 加入2~3滴淀粉溶液,用0.20 mol·L-1 NaSO 标准液滴定,达到滴定终点时用去标准液V 2 2 3 mL,试计算NaClO 粗品的纯度___________(提示:2NaSO+I=NaSO+2NaI) 2 2 2 3 2 2 4 6 (6)下列关于该实验及样品组成分析的说法,正确的是___________(填字母)。 A.装置C中制得的NaClO 固体中可用略低于38℃的热水洗涤2~3遍 2 B.装置C中制得的NaClO 固体后的操作包括过滤、洗涤和干燥 2 C.如果撤去装置C中的冰水浴,可能导致产品中混有的杂质是NaClO 和NaCl 3 D.装置A中空气流速过快或过慢,均会增大NaClO 的产率 2 【KS5U答案】防止倒吸 2ClO+HO+2NaOH=2ClO+O↑+2HO 减少HO 的分解、提高 2 2 2 2 2 2 2 2 ClO 的溶解度 HO 受热易分解,配料时应略过量;同时防止ClO 与NaOH反应生成杂质 2 2 2 2 0.4525V 使用冰水浴,且缓慢通入ClO NaOH a BC 2 【分析】 按图组装好仪器后,检查装置的气密性;装置A中发生2NaClO+HO+HSO=2ClO↑+O↑ 3 2 2 2 4 2 2 +NaSO+2HO;装置B的作用是防止倒吸;装置C中冰水浴冷却的主要目的降低反应速率, 2 4 2 减少HO 的分解减少ClO 的分解;装置C中加入NaOH溶液的目的除了作反应物外,还因为 2 2 2NaClO 遇酸放出ClO,需用NaOH溶液吸收ClO;空气流速过慢时,ClO 不能及时被移走,浓 2 2 2 2 度过高导致分解爆炸,空气流速过快时,ClO 不能被充分吸收,NaClO 的产率下降。根据关 2 2 2 系式NaClO~2I~4SO3 计算产品的纯度。 2 2 2 【KS5U解析】 (1)仪器B的作用是防止倒吸。故答案为:防止倒吸; (2)装置C中制备NaClO 固体的化学方程式:2ClO+HO+2NaOH=2ClO+O↑+2HO。冰水浴冷却 2 2 2 2 2 2 2 的目的是减少HO 的分解、提高ClO 的溶解度 (写两种)。故答案为: 2 2 2 2ClO+HO+2NaOH=2ClO+O↑+2HO;减少HO 的分解、提高ClO 的溶解度; 2 2 2 2 2 2 2 2 2 (3)①实验时装置C中HO 与NaOH的物料比需要控制在0.8左右,原因可能是HO 受热易分 2 2 2 2 解,配料时应略过量;同时防止ClO 与NaOH反应生成杂质。故答案为:HO 受热易分解,配 2 2 2 料时应略过量;同时防止ClO 与NaOH反应生成杂质; 2 ②在吸收液中HO 和NaOH的物料比、浓度和体积不变的条件下,控制反应在0~3℃进行,实 2 2 验中可采取的措施是使用冰水浴,且缓慢通入ClO。故答案为:使用冰水浴,且缓慢通入 2 ClO; 2 (4)尾气吸收时,根据2ClO+2NaOH=NaClO+NaClO+HO,一般用NaOH溶液吸收过量的 2 2 3 2 ClO 故答案为:NaOH; 2。 (5)NaClO 与足量酸化的KI溶液,反应为:ClO-+4I-+4H+→2HO+2I+Cl-,则:由关系式 2 2 2 2 1 1 2 2 NaClO~2I~4SO ,n(NaClO)=4 n(SO )=4 ×0.2mol/L×10-3VL=5×10-5Vmol,10mL样 2 2 2 3 2 2 3 品中m(NaClO)=5×10-5Vmol×90.5g/mol=4.525×10-3Vg,原样品中NaClO 的质量分数为: 2 2 1000 4.525103Vg 10 0.4525V 0.4525V 100% = ;故答案为: ; ag a a (6)A.NaClO 饱和溶液在温度低于38℃时析出的晶体是NaClO•3HO,高于38℃时析出的晶 2 2 2 体是NaClO,高于60℃时NaClO 分解成NaClO 和NaCl,装置C中制得的NaClO 固体中可用 2 2 3 2 用38℃~60℃的温水洗涤2~3遍,故A错误; B.装置C中制得的NaClO 固体后的操作包括趁热过滤, 用38℃~60℃的温水洗涤,低于 260℃干燥,得到成品,故B正确; C.高于60℃时NaClO 分解成NaClO 和NaCl,如果撤去装置C中的冰水浴,可能导致产品中 2 3 混有的杂质是NaClO 和NaCl,故C正确; 3 D.装置A中空气流速过慢时,ClO 不能及时被移走,浓度过高导致分解爆炸,空气流速过快 2 时,ClO 不能被充分吸收,NaClO 的产率下降,故D错误; 2 2 故答案为:BC。 33℃ 6.(2021·全国高三零模)四氯化锡是无色液体,熔点为 ,沸点为144℃,遇水即发 H SnO 生水解反应生成锡酸( 2 3),并产生有刺激性的气体,可用作媒染剂、催化剂等。与非 极性分子能互溶。某化学实验小组拟制备四氯化锡(如下图所示),并探究其部分水解产物。 请回答下列问题: a (1)甲装置中发生反应的化学方程式为______,仪器 的名称是______。 (2)干燥管中碱石灰的作用是______,如果没有干燥管,三颈烧瓶中可能发生的化学反应方 程式为______。 Cl SnCl (3)实验过程中如果 2的量不足,可能会产生副产物______(填化学式)。实验室配制 4 水溶液的操作方法是______。 (4)探究四氯化锡水解的部分产物。 甲同学取三颈烧瓶中的部分固体于洁净试管中,往试管中加入少量蒸馏水,将试管中产生的 HNO AgNO3 HCl 气体通入 3酸化的 溶液中,生成了白色沉淀。该同学由此判断该气体为 。 乙同学认为该结论不准确,试简述理由______。请设计改进方案______。 2KMnO  16HCl 浓 =2KCl  2MnCl  5Cl  8HO 【KS5U答案】 4 2 2 2 球形冷凝管Cl 吸收尾气 2,以免污染空气,同时防止空气中的水蒸气进入丁装置使四氯化锡水解 SnCl 3H O=H SnO 4HCl SnCl 4H O=SnOH 4HCl SnO 4 2 2 3 (或 4 2 4 ) 2 SnCl SnCl Cl Cl 取适量 4液体溶于浓盐酸,再用蒸馏水稀释 4中会溶解少量 2, 2通入,也 HNO AgNO 能产生白色沉淀 将气体先通入四氯化碳(或苯等)后,再通入 3酸化的 3溶液 中 【分析】 利用高锰酸钾和浓盐酸制备氯气,饱和食盐水将氯气中的氯化氢气体除去,再用浓硫酸将氯 气干燥,氯气和锡粉反应生成四氯化锡,据此分析答题。 【KS5U解析】 (1)甲装置中高锰酸钾和浓盐酸不需加热制备氯气,发生反应的化学方程式为: 2KMnO  16HCl 浓 =2KCl  2MnCl  5Cl  8HO 4 2 2 2 ;根据仪器a的结构特点可知其 2KMnO  16HCl 浓 =2KCl  2MnCl  5Cl  8HO 为球形冷凝管,答案为: 4 2 2 2 ;球形 冷凝管; H SnO (2) 四氯化锡遇水即发生水解反应生成锡酸( 2 3),并产生有刺激性的气体,碱石灰可 Cl 以吸收尾气 2,以免污染空气,同时防止空气中的水蒸气进入丁装置使四氯化锡水解;如 果没有干燥管空气中水蒸气进入后四氯化锡发生水解,化学方程式为: SnCl 3H O=H SnO 4HCl SnCl 4H O=SnOH 4HCl 4 2 2 3 (或 4 2 4 ),答案为:吸收 Cl 尾气 2,以免污染空气,同时防止空气中的水蒸气进入丁装置使四氯化锡水解; SnCl 3H O=H SnO 4HCl SnCl 4H O=SnOH 4HCl 4 2 2 3 (或 4 2 4 );Cl SnO (3)实验过程中如果 2的量不足,金属锡可以和空气中氧气作用,可能会产生副产物 2; SnCl SnCl 因为四氯化锡易水解,所以配置 4水溶液的操作方法是:取适量 4液体溶于浓盐酸, SnO SnCl 再用蒸馏水稀释,答案为: 2;取适量 4液体溶于浓盐酸,再用蒸馏水稀释; SnCl Cl HNO AgNO (4) 4中会溶解少量 2,氯气溶于水之后也会和 3酸化的 3溶液中,生成 了白色沉淀;可以先将气体通入非极性有机溶剂除去氯气,可以排除氯气的干扰,答案为: SnCl Cl Cl 4中会溶解少量 2, 2通入,也能产生白色沉淀;将气体先通入四氯化碳(或苯等) HNO AgNO 后,再通入 3酸化的 3溶液中。 7.(2021·广西南宁市·南宁三中高三三模)高氯酸铵(NHClO)为白色晶体,具有不稳定 4 4 性,在400 ℃时开始分解产生多种气体,常用于生产火箭推进剂。某化学兴趣小组同学利用 下列装置对NHClO 的分解产物进行探究。(假设装置内药品均足量,部分夹持装置已省略。) 4 4 (1)在实验过程中发现C中铜粉由红色变为黑色,说明产物中有___________ (填化学式) 生 成。 (2)实验完毕后,取D中硬质玻璃管中的固体物质于试管中,滴加蒸馏水,产生能使湿润的红 色石蕊试纸变蓝色的气体,产生该气体的化学方程式为___________。 (3)某同学认为产物中还应有HO和Cl 该同学从理论上分析认为有Cl 存在的理由是 2 2. 2 ___________。 (4)为了证明HO和Cl 的存在,选择上述部分装置和下列提供的装置进行实验: 2 2①按气流从左至右,装置的连接顺序为A→___________。 ②实验过程中G中的现象为:___________。 (5)实验结论:NHClO 分解时产生了上述几种物质,则高氯酸铵分解的化学方程式为 4 4 ___________。 (6)在实验过程中仪器E中装有碱石灰的目的是___________;实验结束后,某同学拟通过称 量D中镁粉质量的变化,计算高氯酸铵的分解率,会造成计算结果___________ (“偏大” “偏小”或“无法判断”) 。 【KS5U答案】O MgN+6HO=3Mg(OH)↓+2NH↑ O 和N 都是氧化产物,根据化合价变 2 3 2 2 2 3 2 2 化规律,还应存在还原产物,从而判断出氯元素的价态降低,可能生成Cl (答出要点即可) 2 Δ H G F 溶液呈橙黄色 2NHC1O N↑+2O↑+Cl↑+4HO 吸收空气中的CO 和水蒸气 4 4 2 2 2 2 2 偏大 【KS5U解析】 (1) NHC1O 受热分解产生的气体,经碱石灰干燥后,能使铜粉由红色变为黑色,说明生成了 4 4 CuO 所以分解产物中含有O 故答案为: O , 2, 2; (2)产生的能使湿润的红色石蕊试纸变蓝色的气体为氨气 发生反应为: , MgN+6HO=3Mg(OH)↓+2NH↑,说明D中固体为MgN 据此可判断NHCO 受热分解产物中有N 3 2 2 2 3 3 2 4 1 4 2 生成,故答案为:MgN+6HO=3Mg(OH)↓+2NH↑ 3 2 2 2 3 ; (3)根据分析可知,NHC1O 分解产物中含有O 和N, O 和N 都是氧化产物,根据氧化还原反 4 4 2 2 2 2 应规律,还应存在还原产物,从而判断出氯元素的化合价降低,可能生成氯气,故答案为: O 和N 都是氧化产物,根据氧化还原反应规律,还应存在还原产物,从而判断出氯元素的化 2 2 合价降低 可能生成Cl; , 2 (4)检验水蒸气和氯气,应该先用H中的无水硫酸铜检验水的存在,再用溴化钾检验氯气现象是水溶液变为橙黄色 为了防止多余的氯气污染环境,还需要使用尾气吸收装置,所以按气 ; 流从左至右,装置的连接顺序为A→H→G→F,故答案为: H; G; F: 现象是水溶液变为 橙黄色 (5) NHC1O 分解生成氮气、氧气、氯气和水 结合电子守恒、原子守恒配平可得: 4 4 , 2NHC1O=N↑+4HO+Cl↑+2O↑, 4 4 2 2 2 2 故答案为:2NHC1O=N↑+4HO+Cl↑+2O↑ 4 4 2 2 2 2 (6)在实验过程中仪器E中装有碱石灰的目的是吸收空气中的二氧化碳和水蒸气,实验结束后, 某同学拟通过称量D中镁粉质量的变化,计算高氯酸铵的分解率,镁粉与装置中的氧气、氮 气反应,造成产物质量增大,会造成计算结果偏大,故答案为:吸收空气中的二氧化碳和水 蒸气:偏大。 8.(2021·河南新乡市·新乡县一中高三其他模拟)过氧化钙是一种用途广泛的优良供氧 剂,可用于鱼类养殖、农作物栽培、污水处理等多方面。下图为用储量丰富的大理石(主要 成分CaCO,含有少量的Fe、Al、Mg、Si等杂质)制备CaO 的过程: 3 2 回答下列问题: I.过氧化钙的制取 (1)HO 作为氧化剂的优点是___________。 2 2 (2)由滤液II得到CaO·8HO的化学方程式为___________,此反应过程温度控制在0~8℃ 2 2 为宜的原因是___________。 (3)反应③后实验操作为___________,用冰水洗涤CaO·8HO的方法___________。 2 2 II.过氧化钙含量的测定 称量0.4g样品加入一定量2mol·L-1盐酸配成溶液,滴定时加入1mL0.05mol·L-1MnSO,立即 4 用0.1mol/L酸性KMnO 标准溶液滴定。 4 (4)滴定时用到的仪器有___________(填序号)。(5)滴定终点现象为___________,若消耗20.00mLKMnO,计算样品中CaO 的质量分数 4 2 ___________。 (6)下列操作使测定CaO 的质量分数偏高的是___________。 2 A.滴定管未用KMnO 润洗B.开始时滴定管内有气泡,滴定后消失 4 C.滴定结束读数时,俯视刻度线D.滴定过程中待测液溅出 【KS5U答案】不引入杂质离子,产物无污染 CaCl+HO+2NH·HO+6HO=CaO·8HO↓ 2 2 2 3 2 2 2 2 +2NHCl 温度高HO 和NH·HO都易分解 过滤 向过滤器中加冰水浸没沉淀,静 4 2 2 3 2 置,待水自然留下,重复操作2~3次 ①③ 当滴入最后一滴酸性KMnO 标准溶液时, 4 溶液呈浅红色并且在半分钟内不褪色 90% AB 【分析】 大理石加入盐酸、过氧化氢浸取,碳酸钙转化为Ca2+,Fe、Al、Mg转化为Fe3+、Al3+、Mg2+, 过滤得到的滤渣Ⅰ主要为Si;滤液I加入氨水调节pH,使Fe3+、Al3+、Mg2+转化为沉淀,过滤 所得滤液Ⅱ主要为氯化钙、氯化铵,再加入一水合氨和双氧水,得到CaO·8HO沉淀,煅烧 2 2 得到CaO。 2 【KS5U解析】 (1)HO 做氧化剂还原为水,不引入杂质离子,产物无污染; 2 2 (2)滤液Ⅱ中主要成分为氯化钙、氯化铵,加入一水合氨和双氧水,得到CaO·8HO,所以反 2 2 应方程式为CaCl+HO+2NH·HO+6HO=CaO·8HO↓+2NHCl;为防止HO 和NH·HO受 2 2 2 3 2 2 2 2 4 2 2 3 2 热分解,温度不能太高; (3)反应③后是滤液和沉淀CaO·8HO的分离,操作是过滤;洗涤沉淀的方法为向过滤器中加 2 2 冰水浸没沉淀,等水自然流下,重复操作2到3次; (4)因为用高锰酸钾滴定,有强氧化性所以选择酸式滴定管,滴定过程还要用到锥形瓶,所 以选择①③; (2)滴定终点为将HO 反应完全,多一滴高锰酸钾溶液,即溶液呈微红色并且在半分钟内不褪 2 2 色;根据反应方程式:CaO+2HCl=CaCl+HO 2 2 2 2 2KMnO+5HO+3HSO=KSO+2MnSO+5O↑+8HO 4 2 2 2 4 2 4 4 2 2设参加反应的CaO 为x,则有 2 5CaO ~5H O ~ 2MnO 2 2 2 4 572g 2mol x 0.1molL1×0.02L 0.36g 计算得出x=0.36g,样品取0.4g,则样品中CaO的质量数为: 0.4g ×100%=90%; 5c V 标 标 (3)根据滴定计算关系c = 2V ; 测 测 A.滴定管未用KMnO 润洗,使溶液浓度减小,V 增大,c 偏高,A符合题意; 4 标 测 B.开始时滴定管内有气泡,滴定后消失,读取的V 体积中包含气泡体积,c 偏高,B符合 标 测 题意; C.滴定结束读数时,俯视刻度线,使读数偏大,V 偏小,c 偏低,C不符合题意; 标 测 D.滴定过程中待测液溅出,导致V 偏小,c 偏低,D不符合题意; 标 测 综上所述所以选AB。 9.(2021·天津和平区·耀华中学高三二模)二氧化氯(ClO)是一种高效、广谱的灭菌消毒 2 剂。已知ClO 为橙黄色气体,极易溶于水,在混合气体中浓度过高时易发生爆炸。请回答下 2 列问题: (1)“二氧化氯泡腾片”的有效成分为NaClO、NaHSO、NaHCO,能快速溶于水,生成的ClO 2 4 3 2 溶于水得到ClO 溶液,同时生成另一种气体而放出大量气泡。每生成1molClO 消耗NaClO 的 2 2 2 量为_______mol;产生另一种气体的离子方程式为_______。 (2)在处理废水时,ClO 可与水中的有毒离子(如CN-)反应生成两种无毒气体,反应的离子方 2 程式为_______。 (3)利用NaClO 还原法可制备ClO,实验装置如图 3 2仪器a的名称_______;实验安全至关重要,从安全角度考虑A装置左侧通入氮气的目的是 _______。装置A中生成ClO 的化学方程式为_______。 2 (4)ClO 稳定性较差,需随用随制,产物用水吸收得到ClO 溶液,为测定所得溶液中ClO 的 2 2 2 含量,进行了以下实验: I.准确量取ClO 溶液10.00mL,稀释成100mL试样 2 II.量取VmL试样加入到锥形瓶中,调节试样的pH≤2.0,加入足量的KI晶体,摇匀,在暗 1 处静置30分钟[已知:2ClO+10I-+8H+=5I+2Cl-+4HO] 2 2 2 III.以淀粉溶液作指示剂,用c mol·L-1NaSO 溶液滴定至终点,消耗NaSO 溶液VmL。 2 2 3 2 2 3 2 S O2- S O2- (已知:I+2 2 3 =2I-+ 4 6 ) 2 ①准确量取10.00mLClO 溶液的玻璃仪器是_______。 2 ②上述步骤3中滴定终点的现象是_______。 ③据上述步骤可计算出原ClO 溶液的浓度为_______mol·L-1(用含字母的代数式表示) 2 ④实验中使用的NaSO 标准溶液部分因被氧气氧化而变质,则实验结果_______(填“偏高”、 2 2 3 “偏低”或“无影响”) HCO- 【KS5U答案】1.25 3+H+=HO+CO↑ 2ClO+2CN- =2CO+N+2C1- 分液漏斗 2 2 2 2 2 稀释ClO,防止因ClO 的浓度过高而发生爆炸 2 2 2NaClO+HO+HSO=NaSO+2ClO↑+O↑+2HO 酸式滴定管 滴入最后一滴NaSO 标准 3 2 2 2 4 2 4 2 2 2 2 2 3 2cV 2 溶液时,溶液由蓝色变为无色,且半分钟内不恢复原来的颜色 V 偏高 1 【KS5U解析】(1)根据“二氧化氯泡腾片”的有效成分为NaClO、NaHSO、NaHCO,能快速溶于水,生成的 2 4 3 ClO 溶于水得到ClO 溶液,结合氧化还原反应的规律:化合价有升必有降,故当NaClO 中Cl 2 2 2 的化合价由+3价升高为+4价时,只能是NaClO 中Cl由+3价降低为-1价,NaClO 既作氧化剂, 2 2 又作还原剂,故发生的反应为:5NaClO+4NaHSO=NaCl+4NaSO+4ClO↑+2HO,故每生成1mol 2 4 2 4 2 2 ClO 消耗NaClO 的量为1.25mol;产生另一种气体即NaHCO 与NaHSO 反应产生大量的CO,故 2 2 3 4 2 HCO- 其离子方程式为: 3+H+=HO+CO↑。 2 2 (2)在处理废水时,ClO 可与水中的有毒离子(如CN-)反应生成两种无毒气体,由元素守恒可 2 知两种无毒气体即N 和CO,故该反应的离子方程式为:2ClO+2CN- =2CO+N+2C1-。 2 2 2 2 2 (3)仪器a的名称是分液漏斗;由题干信息可知,ClO 在混合气体中浓度过高时易发生爆炸, 2 实验安全至关重要,从安全角度考虑A装置左侧通入氮气的目的是稀释ClO,防止因浓度过 2 高而发生爆炸,装置A中反应物为NaClO、HO 和HSO,生成了ClO、NaSO 和O 等,故该 3 2 2 2 4 2 2 4 2 反应的化学方程式为2NaClO+HO+HSO=NaSO+2ClO↑+O↑+2HO。 3 2 2 2 4 2 4 2 2 2 S O2- S O2- (4)据上述步骤中的反应:2ClO+10I-+8H+=5I+2Cl-+4HO,I+2 2 3 =2I-+ 4 6 ,可找出关 2 2 2 2 5 1 ClO ~ I ~~5 S O2- 系式: 2 2 2 2 3 ,故有V mL试样中含有的ClO 的物质的量为:n(ClO)=5n( 1 2 2 S O2- 2 3 )=2cV×10-4,故原10mL溶液中含有的ClO 的物质的量为: 2 2 100 mL 0.02cV 2cV 10-4 = 2 mol 2 VmL V ,故原ClO 溶液的浓度为 1 1 2 0.02cV 2 mol V 2cV 1 = 2 molL-1。 0.01 L V 1 ④实验中使用的NaSO 标准溶液部分因被氧气氧化而变质,将使消耗的标准液体积偏大,即 2 2 3 V偏大,故实验结果偏高。 2 10.(2021·天津南开区·南开中学高三三模)甘氨酸亚铁[(HNCHCOO)Fe]可有效改善缺铁 2 2 2性贫血,化学兴趣小组的同学设计了如下两个实验:装置1制备碳酸亚铁晶体;装置2制备 甘氨酸亚铁。已知:柠檬酸易溶于水,具有较强的酸性和还原性。回答下列问题: I.碳酸亚铁晶体(FeCO·nHO)的制备 3 2 (1)实验操作如下:关闭f,打开e,然后关闭活塞a,打开活塞b、c,加入适量稀硫酸反应 一段时间后,关闭活塞b、c,打开活塞a,以上操作的目的为_______并使A产生的硫酸亚铁 压入到B装置中发生反应;实验结束后,若装置B中没有出现碳酸亚铁晶体,可能的原因是 _______。 (2)反应结束后,对装置B中的反应液进行静置、过滤、洗涤、干燥,得到碳酸亚铁晶体。过 滤操作过程中用到的玻璃仪器有烧杯_______;干燥过程中可能有少量碳酸亚铁晶体被氧化 为FeOOH,检验该氧化产物中阳离子所用的化学试剂为_______ II.甘氨酸亚铁[(HNCHCOO)Fe]的制备 2 2 2 实验操作如下:将装置1制取的碳酸亚铁晶体与甘氨酸的水溶液混合加入C中,关闭e,打 开f,然后利用E中盐酸和碳酸钙反应生成的气体排尽装置中的空气,接着滴入柠檬酸溶液 并加热。反应结束后过滤,滤液经蒸发结晶、过滤、洗涤、干燥,得到甘氨酸亚铁。 (3)仪器h的名称为_______;试剂g为_______ (4)为了提高(HNCHCOO)Fe的产率,需要控制C中反应溶液的pH在5.6~6.0之间。若pH过 2 2 2 低,(HNCHCOO)Fe的产率将降低,其原因为_______,滴入柠檬酸溶液的作用除了促进 2 2 2 FeCO 的溶解,调节溶液的pH外,还有_______。 3 (5)(HNCHCOO)Fe中Fe2+含量的测定:使用电子天平准确称取3.440g产品,用蒸馏水配制成 2 2 2 100mL溶液。取出25.00mL溶液于锥形瓶中,向其中加入一定量的稀硫酸酸化,用 0.05000mol·L-1KMnO;标准溶液滴定至终点(已知滴定过程中只有Fe2+被氧化),消耗KMnO 4 4 标准溶液的体积为17.20mL。则产品中Fe2+的质量分数为_______【KS5U答案】排除装置内的空气 装置A中稀硫酸量过多,太早关闭活塞b、c,打开活塞 a,导致A中生成的硫酸亚铁量很少,很多稀硫酸被压入到B中,从而导致实验失败 漏斗、 玻璃棒 KSCN溶液 圆底烧瓶 饱和碳酸氢钠溶液 pH过低,氢离子较大,氢离子 和HNCHCOOH反应,不利于(HNCHCOO)Fe的生成 防止亚铁离子被氧化 28% 2 2 2 2 2 【分析】 稀硫酸和铁反应生成硫酸亚铁和氢气,利用氢气将装置内的空气排除,再利用装置A中压强 不断增大,将硫酸亚铁压入到装置B中从而生成碳酸亚铁;利用盐酸和碳酸钙反应生成氯化 钙、二氧化碳和水,由于盐酸易挥发,因此利用饱和碳酸氢钠溶液除掉挥发出的HCl气体。 【KS5U解析】 (1)亚铁离子易被空气中的氧气氧化,所以需要先利用稀硫酸和铁反应生成氢气,利用氢气 排除装置内的空气,并将A产生的硫酸亚铁压入到B装置中发生反应;装置A中稀硫酸量过 多,太早关闭活塞b、c,打开活塞a,导致A中生成的硫酸亚铁量很少,很多稀硫酸被压入 到B中,稀硫酸和碳酸铵反应,从而导致实验失败; (2)过滤操作过程中用到的玻璃仪器有烧杯、漏斗、玻璃棒;FeOOH中阳离子为Fe3+,一般利 用KSCN溶液进行检验; (3)根据结构特点可知仪器h的名称为圆底烧瓶;试剂g主要是除掉二氧化碳中HCl,因此g 为饱和碳酸氢钠溶液; (4) pH过低,氢离子较大,氢离子和HNCHCOOH反应,不利于(HNCHCOO)Fe的生成,导致 2 2 2 2 2 其产率降低;由于柠檬酸具有还原性,所以还可以防止亚铁离子被氧化; (5)根据电子守恒可知反应过程中存在数量关系n(Fe2+)=5n(KMnO),所以25.00mL样品溶液中 4 100mL n(Fe2+)=5×0.0172L×0.05mol/L=0.0043mol,所以样品中n(Fe2+)=0.0043mol× 25.00mL 0.0172mol56gmol-1 =0.0172mol,所以产品中Fe2+的质量分数为 3.440g ×100% =28%。 11.(2021·安徽高三其他模拟)乙酰水杨酸,俗称阿司匹林( ),是常用的解 热镇痛药。合成原理:查阅资料: 阿司匹林:相对分子质量为180,受热易分解,溶于乙醇、难溶于水; 水杨酸( ):溶于乙醇、微溶于水; 乙酸酐[(CHCO)O]:无色透明液体,遇水形成乙酸。 3 2 实验室合成阿司匹林的步骤如下: 制备过程: ①如图1向三颈烧瓶中加入7 g水杨酸、新蒸出的乙酸酐10 mL,再加10滴浓硫酸反复振荡 后,连接回流装置,搅拌,70℃加热半小时。 ②冷却至室温后,将反应混合液倒入100 mL冷水中,并用冰水浴冷却15 min,用图2装置 抽滤,洗涤得到乙酰水杨酸粗品。 提纯过程: ③将粗产品转至烧瓶中,装好回流装置,向烧瓶内加入100 mL乙酸乙酯和2粒沸石,加热回 流,进行热溶解。然后趁热过滤,冷却至室温,抽滤,洗涤,干燥,得无色晶体状乙酰水杨 酸。 纯度测定: ④取少量产品,加5 mL水充分溶解,滴加3滴1% FeCl 溶液,无明显变化。再准确称取产品 3 0.3900 g,用20.00 mL乙醇溶解,加2滴酚酞,用0.1000 mol/L NaOH溶液滴定至终点,消 耗NaOH溶液21.00 mL。 回答下列问题:(1)步骤①中浓硫酸的作用是_______。 (2)步骤①中加热宜采用_______,冷凝回流过程中外界_______(填化学式)可能进入三颈烧 瓶,导致发生副反应_______(填化学方程式),降低了水杨酸的转化率。 (3)抽滤相对于普通过滤的优点是_______。 (4)步骤③中肯定用不到的装置是_______。(填字母序号) (5)步骤③洗涤中洗涤剂最好选择_______。(填字母序号) A.15%的乙醇溶液 B.NaOH溶液 C.冷水 D.滤液 (6)步骤④中加FeCl 的作用是_______。样品纯度为_______%(精确到小数点后两位)。 3 【KS5U答案】做催化剂 水浴加热 HO +HO=2CHCOOH 抽滤 2 2 3 可以加快过滤速度 B C 证明反应完全 32.31% 【KS5U解析】 (1)步骤①水杨酸和乙酸酐在80-90℃下在浓硫酸中加热反应方程式为: ,浓硫酸的作用是做催化剂; (2) 步骤①反应温度在70℃,低于水的沸点,所以需要水浴加热,温度计测量水浴温度;冷 凝回流过程中外界H2O可能进入三颈烧瓶,导致发生副反应:乙酸酐能溶于水生成醋酸,反 应化学方程式为 +HO=2CHCOOH; 2 3 (3)抽滤相对于普通过滤的优点是:抽滤可以加快过滤速度; (4) 步骤③有加热回流装置C、抽滤装置D、干燥装置A,所以不需要B装置,故选:B; (5)阿司匹林难溶于水易溶于乙醇,应该用水洗涤,NaOH和阿司匹林能反应,滤液中含有杂 质,所以用冷水洗涤,故选:C; (6) 苯酚遇FeCl 溶液变紫色,滴入3滴1% FeCl 溶液,无明显变化,说明反应物水杨酸已 3 3完全反应,即FeCl 的作用是:证明反应完全;产品 含羧基、酯基,消耗NaOH 3 溶液2mol,酯基水解后得到酚羟基,又消耗1mol,则n( )=1/3 n(NaOH)=1/3×0.1000 mol/L×21×10-3L=7×10-4mol,产品乙酰水杨酸的质量为m=nM=7×10- 4mol×180g/mol=0.126g,产率为:0.126g /0.3900 g /×100%=32.31%。 12.(2021·四川树德中学高三其他模拟)最新研究发现新型催化剂M可稳定催化纯甲酸 (HCOOH)脱氢生成H 和CO,且M在室温下即可生效,95°C催化活性达最大值,有水存在的 2 2 情况下催化活性略有降低。实验室利用该方法使纯甲酸分解并收集所得气体的装置如图所示, 请回答下列问题: (1)仪器a的名称是___________,其作用是___________。 (2)实验中为了使催化剂M的活性达到最大值,采用的措施有___________、___________、 ___________。 (3)若要将分解所得的气体中的CO 除去并收集氢气,可调节三通阀的位置将气体导出,并依 2 次通过下列装置:装NaOH溶液的洗气瓶装浓硫酸的洗气瓶→氢气收集装置→装有碱石灰的干 燥管→酒精灯点燃尾气。其中收集氢气应采用的方法是___________,可选择的装置是 ___________(填标号)。(4)实验室可以用碘量法测定工业甲酸的含量(杂质不参与反应),具体操作:称取6.000g工 业甲酸配成250mL溶液,量取25.00mL于锥形瓶中,先加入30mL 0.5000mol/L的次溴酸钠溶 液与甲酸反应生成CO 和NaBr,再用足量KI与过量的次溴酸钠反应生成I 和NaBr,加入几 2 2 滴淀粉溶液后用0.4000mol/L 的NaSO 标准溶液滴定I(2NaSO+I =2NaI+ NaSO),至滴 2 2 3 2 2 2 3 2 2 4 6 定终点时消耗NaSO 溶液12.50mL。 2 2 3 ①由次溴酸钠固体配制0.5000mol/L 的次溴酸钠溶液,需要的仪器有药匙、玻璃棒、 ___________(从下列图中选择,写出名称);次澳酸钠溶液与甲酸反应的离子方程式是 ___________。 ②滴定终点的标志是___________。 ③该工业甲酸中甲酸的质量分数是___________(保留三位有效数字)。 【KS5U答案】球形冷凝管 冷凝回流甲酸,提高原料利用率 95℃水浴加热控制温度 抽真空排除水蒸气干扰 用排硅油的方法收集气体以免引入水蒸气 向下排空气法 C 烧杯、量筒、托盘天平 HCOOH+NaBrO=NaBr+CO↑+HO 最后一滴NaSO 溶液滴入 2 2 2 2 3 后,溶液由蓝色变为无色且30s内不恢复原来的颜色 95.8% 【KS5U解析】 (1)分析图中装置可知一起a为球形冷凝管;其作用为对甲酸进行冷凝并让其流回到反应装置 内,提高原料利用率; (2)题中信息可知:“95℃催化活性达最大值,有水存在的情况下催化活性略有降低”,为 使催化剂M的活性达到最大值,需控制温度和营造无水环境,采用的措施有:95℃水浴加热 控制温度、抽真空排除水蒸气干扰、用排硅油的方法收集气体以免引入水蒸气;(3)收集氢气前对气体进行干燥,收集氢气后,气体通入装有碱石灰的干燥管,也就是收集 氢气前后,氢气都需干燥,所以收集氢气应采用的方法是向下排空气法,可选择的装置是 C; (4)①一般用托盘天平称量,用药匙取用药品,在烧杯中溶解(可用量筒量取水加入烧杯), 并用玻璃棒搅拌,加速溶解,则需要的仪器有:药匙、玻璃棒、烧杯、量筒、托盘天平; 由题给信息可知,次溴酸钠溶液与甲酸反应,生成CO 和NaBr等,则化学方程式为 2 HCOOH+NaBrO=NaBr+CO↑+HO; 2 2 ②滴加NaSO 前,溶液中含有I,呈蓝色,故滴定终点的标志是最后一滴NaSO 溶液滴入后, 2 2 3 2 2 2 3 溶液由蓝色变为无色且30s内不恢复原来的颜色; ③测定过程中发生反应HCOOH+NaBrO=NaBr+CO↑+HO、BrO-+2I-+2H+=Br-+I+HO, 2 2 2 2 I+2NaSO=2NaI+NaSO,可以得到关系式NaBrO(过量)~2 NaSO,由反应顺序可知 2 2 2 3 2 4 6 2 2 3 n(NaSO)=0.4000mol/L×0.01250L=0.005mol,依据关系式NaBrO(过量)为0.0025mol,与 2 2 3 HCOOH反应的NaBrO为0.030L×0.5000mol/L-0.0025mol=0.0125mol,从而得出 n(HCOOH)=0.0125mol,故该工业甲酸中甲酸的质量分数是0.0125mol×46g/mol× 250mL/25mL÷6.000g×100%≈95.8%。 13.(2021·阜新市第二高级中学高三其他模拟)已知2NO+NaO=2NaNO 结合此原理,实验 2 2 2. 室以木炭、浓硝酸和过氧化钠为主要原料制取NaNO 的装置如图所示(部分夹持装置略) 2 回答下列问题: (1)装置A中侧管a的作用是___________;装置A的三颈烧瓶中发生反应的化学方程式为 ___________。 (2)装置B中含氮物质发生反应的离子方程式为___________。若无装置C、D装置E中制取的 NaNO 中可能含有的杂质是___________(填化学式)。 2 (3)装置F的作用是___________;已知新活化的HO 溶液的氧化性强于NaO,可将含氮物质 2 2 2 2 中的N元素氧化到最高价,装置F中发生的化学方程式为___________ 。(4)当装置E中反应转移0.1mole-时,理论上生成NaNO 的质量为___________g。 2 Δ 【KS5U答案】平衡三颈瓶和漏斗内气压,便于液体顺利流下 C+4HNO(浓) 3  CO↑+4NO↑+2HO 3NO+HO=2H++2NO3 +NO NaCO、NaOH 吸收尾气,防止污染空气 2 2 2 2 2 2 3 3HO+2NO=2HO+2HNO 6.9 2 2 2 3 【分析】 Δ 装置A中浓硝酸与木炭发生反应,化学方程式为C+4HNO(浓) CO↑+4NO↑+2HO,将装置A 3 2 2 2 中产生的NO 通入水中,发生反应:3NO+HO=2HNO+NO,所以装置B的作用是将NO 转化为 2 2 2 3 2 NO,B中出来的NO气体中可能会混有CO、水蒸气,装置C中NaOH溶液,除去CO,D中浓硫 2 2 酸进行干燥,E中生成的固体NaNO,F将尾气氧化成硝酸。 2 【KS5U解析】 (1)装置A中侧管a的作用是:平衡三颈瓶和漏斗内气压,便于液体顺利流下;装置A的三颈 Δ 烧瓶中浓硝酸与木炭发生反应生成二氧化氮、二氧化碳和水,化学方程式为C+4HNO(浓) 3 CO↑+4NO↑+2HO。故答案为:平衡三颈瓶和漏斗内气压,便于液体顺利流下;C+4HNO(浓) 2 2 2 3 Δ CO↑+4NO↑+2HO; 2 2 2 (2)装置B中含氮物质为二氧化氮,与水发生反应生成硝酸和一氧化氮,3NO+HO=2HNO+NO, 2 2 3  离子方程式为:3NO+HO=2H++2NO3 +NO。若无装置C、D装置,B中出来的NO气体中可能会混 2 2 有CO、水蒸气,分别与NaO 反应生成NaCO、NaOH,E中制取的NaNO 中可能含有的杂质是 2 2 2 2 3 2  NaCO、NaOH(填化学式)。故答案为:3NO+HO=2H++2NO3 +NO;NaCO、NaOH; 2 3 2 2 2 3 (3)装置F的作用是吸收尾气,防止污染空气;新活化的HO 溶液的氧化性强于NaO,可将 2 2 2 2 含氮物质中的N元素氧化到最高价,生成硝酸根离子,装置F中发生的化学方程式为 3HO+2NO=2HO+2HNO。故答案为:吸收尾气,防止污染空气;3HO+2NO=2HO+2HNO; 2 2 2 3 2 2 2 3(4)由2NO+NaO=2NaNO 每转移1mol电子生成1molNaNO,当装置E中反应转移0.1mole-时, 2 2 2 2 . 理论上生成NaNO 的质量为0.1mol×69g∙mol-1=6.9g。故答案为:6.9。 2 14.(2021·广东佛山市·石门中学高三其他模拟)无水四氯化锡(SnCl)常用作有机合成的 4 氯化催化剂。实验室可用熔融的锡与氯气反应制备SnCl,装置如图所示: 4 已知:①Sn、SnCl、SnCl 有关的物理性质如表: 2 4 物质 熔点/℃ 沸点/℃C 颜色、状态 Sn 232 2260 银白色固体 SnCl 246 623 无色晶体 2 SnCl -30 114 无色液体 4 ②Sn的性质与Fe相似;SnCl 在空气中极易水解生成SnO•xHO;Cl 易溶于SnCl。 4 2 2 2 4 回答下列问题: (1)下列关于实验装置的说法正确的是___。 A.整套实验装置先检漏,再连接,再添加药品,最后检查气密性 B.A中盛放KMnO 晶体的仪器名称为圆底烧瓶 4 C.装置E中上方冷水的作用是冷凝回流SnCl 至收集器中 4 (2)当观察到装置F上方出现___现象时点燃酒精灯,待锡熔化后适当增大氯气流量,继续加 热。此时继续加热的目的是___。 (3)若上述装置中缺少装置C(其它均相同),则D处具支试管中发生的主要副反应的化学方程 式为___。 (4)收集器中收集到的液体略显黄色,原因是___;下列方法中可提纯SnCl 的是___。 4 A.加入NaOH萃取分液 B.加入足量锡再加热蒸馏 C.加入碘化钾冷凝过滤 D.加入饱和食盐水萃取 (5)经测定产品中含有少量的SnCl,可能的原因是___(用化学方程式表示)。 2用碘量法测定最后产品的纯度,发生如下反应:Sn2++I=Sn4++2I-。准确称取一定样品放于锥 2 形瓶中,加入少量浓盐酸溶解,再加水稀释,淀粉溶液作指示剂,用碘标准溶液滴定至终点, 平行滴定三次,记录消耗标准液的平均体积。滴定到达终点的实验现象为___。即使此法滴定 的操作均正确,但测得的SnCl 含量仍高于实际含量,其原因可能是__(用离子方程式表示, 4 并配上必要的文字说明)。 【KS5U答案】C 黄绿色气体时 加快氯气与锡反应;使SiCl 气化,利于从混合物中分 4 离出来 SnCl+(x+2)HO=SnO•xHO+4HCl 有Cl 溶解其中 B Sn+SnCl=2SnCl 或 4 2 2 2 2 4 2 Sn+2HCl=SnCl+H↑ 当最后一滴标准碘溶液滴下时,锥形瓶中的溶液恰好由无色变为蓝 2 2 色,且半分钟内不褪色 酸性环境下溶液中的溶解氧能氧化I-:4I-+O+4H+=2I+2HO,相当 2 2 2 于单位体积的标准碘溶液浓度增大,完全反应Sn2+所需碘溶液的体积偏小,因此SnCl 的含量 2 偏小,SnCl 的含量偏大 4 【分析】 KMnO 和浓盐酸在装置A中反应制取Cl,由于盐酸易挥发,所以制取的Cl 中含有HCl,饱和 4 2 2 食盐水可以降低氯气的溶解,还可洗去氯气中的氯化氢,所以B中盛放的是饱和食盐水,由 于SiCl 在空气中极易水解,为防止其水解,需用浓硫酸干燥Cl,装置C盛放的是浓硫酸, 4 2 装置D中Cl 和锡的反应制备SiCl,装置E中用冷水冷却,使气态的SiCl 冷凝回流收集产物; 2 4 4 装置G的作用是吸收未反应的Cl,防止污染空气,所以G中盛放的是NaOH溶液,因SiCl 极 2 4 易水解,装置F的作用是防止溶液的水蒸气进入收集器中。 【KS5U解析】 (1)整套实验装置先检漏,再检查气密性,然后再连接,添加药品,故A错误;A中盛放 KMnO 晶体的仪器带支管,名称为蒸馏烧瓶,故B错误;根据表格中SnCl 的沸点,装置E中 4 4 上方冷水的作用是冷凝回流SnCl 至收集器中,故C正确。故答案选C。 4 (2)由于Sn与空气中的O 反应,SnCl 在空气中极易水解生成SnO•xHO,所以制备SnCl 之前 2 4 2 2 4 用Cl 排尽装置中的空气,观察到装置F液面上方出现黄绿色气体时,表明装置中气体已排 2 尽,开始点燃D处的酒精灯。待Sn熔化后适当增大Cl 流量,继续加热,可加快Cl 与Sn反 2 2 应的速率,同时使SnCl 气化,利于从混合物中分离出来(根据表中提供的SnCl、SnCl 的熔 4 4 2 沸点分析),在收集器中收集SnCl。故答案为:黄绿色气体时;加快氯气与锡反应;使SiCl 4 4 气化,利于从混合物中分离出来。 (3)装置A制得的Cl 中混有HCl和水蒸气,装置B中饱和食盐水的作用是:除去Cl 中的 2 2 HCl,装置C中浓硫酸的作用是:干燥Cl;若上述装置中缺少装置C,Cl 中混有水蒸气,根 2 2据题给已知②“SnCl 在空气中极易水解生成SnO•xHO”,D处具支试管中发生的主要副反应 4 2 2 为SnCl (x+2)HO=SnO•xHO+4HCl。故答案为:SnCl (x+2)HO=SnO•xHO+4HCl。 4+ 2 2 2 4+ 2 2 2 (4)氯气是黄绿色,收集器中收集到的液体略显黄色,可能是有Cl 溶解其中。A项,NaOH不 2 仅吸收Cl,而且能与SnCl 反应,不能采用,故不选A项;B项,加入足量锡与Cl 反应,再 2 4 2 加热蒸馏,能采用,故选B项;C项,碘化钾与Cl 反应生成KCl和I,产品中混有I,不能 2 2 2 采用,故不选C项;D项,加入饱和食盐水,不能吸收Cl,SnCl 水解成SnO•xHO,不能采 2 4 2 2 用,故不选D项。故答案选B。故答案为:有Cl 溶解其中;B。 2 (5)经测定产品中含有少量的SnCl,可能的原因是Sn+SnCl=2SnCl 或Sn+2HCl=SnCl+H↑。 2 4 2 2 2 准确称取一定样品放于锥形瓶中,加入少量浓盐酸溶解,再加水稀释,淀粉溶液作指示剂, 用碘标准溶液滴定至终点,滴定到达终点的实验现象为当最后一滴标准碘溶液滴下时,锥形 瓶中的溶液恰好由无色变为蓝色,且半分钟内不褪色。酸性环境下溶液中的溶解氧能氧化I —,离子方程式为:4I—+O+4H+=2I+2HO,相当于单位体积的标准碘溶液浓度增大,完全反应 2 2 2 Sn2+所需碘溶液的体积偏小,因此SnCl 的含量偏小,SnCl 的含量偏大。故答案为: 2 4 Sn+SnCl=2SnCl 或Sn+2HCl=SnCl+H↑;当最后一滴标准碘溶液滴下时,锥形瓶中的溶液恰 4 2 2 2 好由无色变为蓝色,且半分钟内不褪色。;酸性环境下溶液中的溶解氧能氧化I-,离子方程 式为4I-+O+4H+=2I+2HO,相当于单位体积的标准碘溶液浓度增大,完全反应Sn2+所需碘溶液 2 2 2 的体积偏小,因此SnCl 的含量偏小,SnCl 的含量偏大。 2 4 15.(2021·天津高三二模)某实验小组用工业上废渣(主要成分CuS和FeO)制取纯铜和绿 2 2 3 矾(FeSO·7HO)产品,设计流程如图1: 4 2 (1)在实验室中,欲用98%的浓硫酸(密度为1.84g·mL-1)配制500mL1.0mol·L-1的硫酸,需要 的仪器除量筒、烧杯、玻璃棒外,还有___。 (2)该小组同学设计如图2装置模拟废渣在过量氧气中焙烧,并验证废渣中含硫元素。①装置A中反应的化学方程式为___;D装置作用___,E装置中的现象是___。 ②该实验有一处明显缺陷,为___。 (3)从图3选择合适的装置,写出步骤⑤中进行的操作顺序___。(填序号) (4)为测定产品中绿矾的纯度,称取30.0g样品溶于水配成250mL溶液,取25.00mL溶液于锥 形瓶中,用0.1000mol·L-1酸性KMnO 溶液进行滴定,反应为: 4 10FeSO+8HSO+2KMnO=2MnSO+5Fe(SO)+KSO+8HO。实验所得数据如表所示: 4 2 4 4 4 2 4 3 2 4 2 滴定次数 1 2 3 4 KMnO 溶液体积/mL 19.10 20.02 19.98 20.00 4 ①第1组实验数据出现异常,造成这种异常的原因可能是___(填代号)。 a.酸式滴定管用蒸馏水洗净后未用标准液润洗 b.配制KMnO 溶液定容时仰视 4 c.滴定终点时俯视读数 d.滴定前尖嘴无气泡,滴定后有气泡 ②滴定终了的标志是___。 ③根据表中数据,计算所得产品中绿矾的纯度为___(保留三位有效数字)。 【KS5U答案】500mL容量瓶、胶头滴管 2NaO+2HO=4NaOH+O↑ 安全瓶 品红溶液 2 2 2 2 红色褪去 无尾气处理装置 cb cd 滴入最后1滴时,溶液变成浅紫色,且半分钟内不变色 92.7% 【分析】 此实验的目的,是模拟工业上用废渣(主要成分CuS和FeO)制取纯铜和绿矾(FeSO·7HO) 2 2 3 4 2 产品,首先将废渣煅烧,此时硫元素转化为SO 气体(a),固体为铜和铁的氧化物,用硫酸溶 2 解后,生成硫酸铜和硫酸铁,加入过量铁粉,Cu2+转化为Cu,Fe3+转化为Fe2+;过滤后,固体 B(Cu、Fe)加入硫酸溶解生成Cu和FeSO;溶液B为FeSO,然后将溶液蒸发浓缩、冷却结晶, 4 4 便可获得绿矾。 【KS5U解析】 (1)配制500mL1.0mol·L-1的硫酸,必须使用500mL容量瓶,另外,定容时,还需使用胶头滴 管。答案为:500mL容量瓶、胶头滴管; (2)①装置A中发生NaO 与水的反应,反应生成NaOH和O,化学方程式为 2 2 2 2NaO+2HO=4NaOH+O↑;D装置中两根导管都短,应为防倒吸装置,所以其作用是安全瓶,E 2 2 2 2 装置为检验二氧化硫的装置,其现象是品红溶液红色褪去。 ②因为SO 是大气污染物,而BaCl 溶液不能吸收SO,所以该实验有一处明显缺陷,为无尾 2 2 2 气处理装置。答案为:2NaO+2HO=4NaOH+O↑;安全瓶;品红溶液红色褪去;无尾气处理装 2 2 2 2 置; (3)步骤⑤为从硫酸亚铁溶液中提取绿矾的操作,应为蒸发浓缩、冷却结晶、过滤、洗涤、 干燥,所以进行的操作顺序为cb。答案为:cb; (4)①与其它组实验结果相比较,第1组实验数据偏低。 a.酸式滴定管用蒸馏水洗净后未用标准液润洗,则所用酸性KMnO 的体积偏大,a不符合题 4 意; b.配制KMnO 溶液定容时仰视,则溶液体积偏大,所配浓度偏低,滴定时所用体积偏大,b 4 不符合题意; c.滴定终点时俯视读数,则读取KMnO 溶液的体积偏低,c符合题意; 4 d.滴定前尖嘴无气泡,滴定后有气泡,则读取KMnO 溶液的体积偏低,d符合题意; 4 故选cd; ②滴定终了时,KMnO 稍过量,溶液变为浅紫色,则标志是滴入最后1滴时,溶液变成浅紫色, 4 且半分钟内不变色。 ③第1次实验数据偏差过大,不能采用,后三次实验结果取平均值,即得所用KMnO 溶液的 4 体积为20.00mL,n(KMnO)=0.1mol/L×0.02L=0.002mol,依据关系式10Fe2+——2KMnO,可 4 40.002mol 10 求出n(Fe2+)= 2 =0.01mol,所得产品中绿矾的纯度为 250mL 0.01mol 278g/mol 25mL 100% ≈92.7%。答案为:cd;滴入最后1滴时,溶液变成 30g 浅紫色,且半分钟内不变色;92.7%。 【点睛】 配制500mL1.0mol/L硫酸溶液时,一定要指明所选择的容量瓶的规格为500mL。 16.(2021·天津高三一模)碘酸钙[Ca(IO)]是广泛使用的既能补钙又能补碘的新型食品 3 2 添加剂,不溶于乙醇,在水中的溶解度随温度降低而减小。实验室制取Ca(IO)]的流程如图 3 2 所示: 已知:碘酸(HIO)是易溶于水的强酸,不溶于有机溶剂。 3 (1)实验流程中“转化”步骤是为了制得碘酸,该过程在如图所示的装置中进行。 ①当观察到三颈瓶中___现象时,停止通入氯气。 ②“转化”时发生反应的离子方程式为___。 (2)“分离”时用到的玻璃仪器有烧杯、___。 (3)采用冰水浴的目的是___。 (4)有关该实验说法正确的是___。A.适当加快搅拌速率可使“转化”时反应更充分 B.“调pH=10”后的溶液中只含有KIO 和KOH 3 C.制得的碘酸钙可选用酒精溶液洗涤  (5)准确称取产品0.2500g,加酸溶解后,再加入足量KI发生反应IO3 +5I-+6H+=3I+3HO,滴 2 2 2 2 入2~3滴___作为指示剂,用0.000mol·L-1NaSO 溶液滴定(I+2SO3 =2I-+SO6 )至终点, 2 2 3 2 2 4 消耗NaSO 溶液30.00mL。达滴定终点时的现象是___,产品中Ca(IO) 的质量分数为___。 2 2 3 3 2 若达到终点后俯视读数,则造成的误差是____。(偏高、偏低或无影响)[已知Ca(IO) 的摩尔 3 2 质量:390g·mol-1]。  【KS5U答案】紫红色接近褪去 I+5Cl+6HO=2IO3 +10Cl-+12H+ 分液漏斗 降低碘酸 2 2 2 钙的溶解度使其析出,便于后续分离 AC 淀粉溶液 滴入最后一滴硫代硫酸钠溶液 后,溶液蓝色刚好褪去30s内不恢复 39.0% 偏低 【分析】 在转化过程中,I 被Cl 氧化为HIO,Cl 自身被还原为HCl,HIO、HCl易溶于水,不溶于有 2 2 3 2 3 机溶剂,经过分液操作可实现HIO、HCl与CCl 的分离,HIO、HCl溶液进入第三步与KOH反 3 4 3 应生成KIO、KCl,加入CaCl 后,经过冰水浴操作析出溶解度较小的Ca(IO)。 3 2 3 2 【KS5U解析】 (1)①随着反应的进行,I 逐渐转化为无色的HIO,当紫红色接近消失时,说明反应基本完 2 3 成,此时可停止通入氯气,故此处填:紫红色接近褪去;②由分析知,I 被Cl 氧化为HIO, 2 2 3  Cl 自身被还原为HCl,初步确定反应为:I+Cl HlO+HCl,根据元素守恒知方程式左边需 2 2 2 3 I +5Cl +6H O=2HIO +10HCl 添加HO,结合得失电子守恒配平得方程式为: 2 2 2 3 ,HIO、HCl 2 3 I +5Cl +6H O=2IO-+10Cl-+12H+ 为强酸,可拆写成离子,改写后对应离子方程式为: 2 2 2 3 ; (2)由分析知,分离时的操作为分液,所需仪器有烧杯、分液漏斗,故此处填分液漏斗; (3)根据流程知,最终目的为获得Ca(IO),且Ca(IO) 的溶解度随温度降低而减小,故采用 3 2 3 2 冰水浴的目的为:降低Ca(IO) 的溶解度,促进其析出,便于后续分离; 3 2 (4)A.搅拌可使反应物充分混合,使反应更充分,A正确;B.由分析知,调pH=10后的溶液 中还含有KCl,B错误;C.由于Ca(IO) 不溶于乙醇,故可选用酒精溶液洗涤Ca(IO) 晶体, 3 2 3 2C正确;故答案选AC; I- IO- (5)由于 与 3反应生成I,故加入淀粉溶液作指示剂,溶液变蓝,随着生成的I 逐渐与 2 2 NaSO 反应,溶液蓝色逐渐消失,故滴定终点现象为∶滴入最后一滴硫代硫酸钠溶液后,溶 2 2 3 IO- 液蓝色刚好褪去30s内不恢复;由题目所给反应得关系式:Ca(IO)~2 3~6I~12NaSO, 3 2 2 2 2 3 n(Na S O ) 0.1000mol/L30.00mL10-3L/mL 2 2 3 = =2.510-4mol 故 12 12 ,则w(Ca(IO 3 ) 2 )= 2.510-4mol390g/mol 100%=39.0% 0.2500g ;俯视读数,测的体积偏小,故最终浓度偏低。 17.(2021·辽宁高三其他模拟)某课外小组利用如图装置(夹持仪器略)探究使用废铁屑制 NH  SO FeSO 6H O 取摩尔盐 4 2 4 4 2 ,已知摩尔盐易溶于水、难溶于酒精。实验操作步 骤如图: 4.2g Fe O ①称取 废铁屑粉末(含少量 2 3),用纸槽加入到仪器X中,塞紧胶塞。打开分液漏斗 K 30mL 3molL1 H SO 旋塞 1,加入 2 4溶液充分反应。 ②轻捏气球底部把还原铁粉慢慢加入到仪器X中,直到有少量固体不溶时停止。 K 3molL1 H SO ③再次打开分液漏斗旋塞 1,逐滴加入 2 4溶液并振荡X至固体完全溶解,继1mL 3molL1 H SO K 续加入 2 4溶液后关闭旋塞 1。 11.80gNH  SO K ④打开分液漏斗旋塞 2加入由 4 2 4配成的饱和溶液,点燃酒精灯加热仪器X 一段时间,当_________停止加热,冷却后有大量晶体出现,把溶液全部倒入抽滤瓶,进行 抽滤、洗涤、干燥,即可得摩尔盐。 回答下列问题: (1)仪器X的名称是_______。 (2)步骤②中发生反应的离子方程式为_______。 (3)气球的作用是_______。 (4)步骤④横线应补充的内容是_______,洗涤摩尔盐的溶剂最好用_______,其目的是 _______。 M=392g/mol 7.840g (5)该小组探究产品中摩尔盐( )的含量,用分析天平称取 的产品溶于水 0.0800mol/L KMnO KMnO 配成溶液,然后用 的酸性 4溶液滴定,最终消耗酸性 4溶液 25.70mL 。 ①滴定终点现象为_______; ②该产品纯度为_______。 【KS5U答案】三颈烧瓶 Fe+2H+=Fe2++H↑,2Fe3++Fe=3Fe2+ 盛放铁粉,同时收集产生 2 的氢气,防止进入空气有安全隐患 溶液表面出现晶膜时 乙醇 洗去晶体表面杂质, KMnO 减少晶体因溶解而损失, 洗去晶体表面的水加速干燥 滴入最后一滴 4溶液后,溶 液由无色变为浅红色,且半分钟内不褪色 51.40% 【分析】 Fe O 2 3 根据题中图示信息可知,将废铁屑粉末(含少量 )置于三颈烧瓶中,加入HSO,发生 2 4 Fe+HSO=FeSO+H↑,FeO+3HSO=Fe(SO)+3HO反应,将其溶解,再加过量的Fe粉,Fe与 2 4 4 2 2 3 2 4 2 4 3 2 过量的HSO 反应,Fe3+被还原为Fe2+,再加入HSO,将过量的Fe粉溶解,继续加入饱和的 2 4 2 4 (NH)SO 溶液,加热一段时间,当溶液表面出现晶膜时停止加热,冷却后有大量晶体出现, 4 2 4 把溶液全部倒入抽滤瓶,进行抽滤、洗涤、干燥,即可得摩尔盐;据此解答。【KS5U解析】 (1)由题中图示装置可知,仪器X的名称是三颈烧瓶;答案为三颈烧瓶。 (2)由上述分析可知,步骤②中发生反应的离子方程式为Fe+2H+=Fe2++H↑,2Fe3++Fe=3Fe2+; 2 答案为Fe+2H+=Fe2++H↑,2Fe3++Fe=3Fe2+。 2 (3)由由题中图示装置可知,气球中盛放了Fe粉,可以收集产生的氢气,可以阻止空气进入 三颈烧瓶中,产生安全隐患;答案为盛放铁粉,同时收集产生的氢气,防止进入空气有安全 隐患。 (4)由题中信息可知,加热三颈烧瓶一段时间,当有晶膜析出时,停止加热;已知摩尔盐易 溶于水、难溶于酒精,故可用乙醇洗涤,且乙醇易挥发,摩尔盐容易晾干;答案为溶液表面 出现晶膜时;乙醇;洗去晶体表面杂质,减少晶体因溶解而损失, 洗去晶体表面的水加速干 燥。 KMnO KMnO (5)①用酸性 4溶液滴定Fe2+,滴定终点现象为滴入最后一滴 4溶液后,溶液由 KMnO 无色变为浅红色,且半分钟内不褪色,即达到滴定终点;答案为滴入最后一滴 4溶液 后,溶液由无色变为浅红色,且半分钟内不褪色。 MnO MnO MnO ②根据 4 +5Fe2++8H+=Mn2++5Fe3++4HO可知,由 4 ~5Fe2+关系可得n( 4 2 )=0.0800mol/L×25.70×10-3L=2.056×10-3mol,则n(Fe2+)=5×2.056×10-3mol=1.028×10- 2mol,由Fe元素守恒,摩尔盐的质量为m[(NH)SO·FeSO·6HO]= 1.028×10- 4 2 4 4 2 4.0298g 2mol×392g/mol=4.0298g,该产品纯度为 7.840g ×100%=51.40%;答案为51.40%。 18.(2021·四川达州市·高三二模)氨基甲酸铵(HNCOONH)是一种重要的化工原料,可用 2 4 作化学肥料、灭火剂、洗涤剂等。某化学兴趣小组用以下装置制取氨基甲酸铵。已知:①制取氨基甲酸铵反应为: 2NH(g)+CO(g) HNCOONH(s) △H<0。 3 2 ⇌ 2 4 ②氨基甲酸铵易分解、易吸水,溶于水后生成碳酸氢铵和一水合氨。 回答下列问题: (1)检查装置1气密性的操作是_______ (2)装置6中的试剂是_______,导管a出口直接与尾气处理装置连接,该尾气处理装置中的 试剂是_______。 (3)装置7中发生反应的化学方程式为_______ (4)三颈烧瓶需用冰水浴冷却,其目的是_______ (5) CCl 液体中产生较多晶体悬浮物时,即停止反应。停止反应的操作是_______,从三颈烧 4 瓶中分离出粗产品的操作是_______ (6)因部分变质而混有碳酸氢铵的氨基甲酸铵样品1.173g,用足量石灰水充分反应后,使碳 元素全部转化为碳酸钙,经过滤、洗涤、干燥后称量,测得质量为1.500g。样品中氨基甲酸 铵的质量分数是_______[Mr(HNCOONH)=78、Mr(NHHCO)=79] 2 4 4 3 【KS5U答案】关闭止水夹,向长颈漏斗中加水至长颈漏斗中液面高于试管中液面,静置一段 Δ 时间,观察液面高度差是否变化 碱石灰 浓硫酸 2NHCl+Ca(OH) 4 2 CaCl+2NH↑+2HO 防止氨基甲酸铵分解;促进生成氨基甲酸铵反应正向移动 关闭止 2 3 2 水夹,熄灭酒精灯 过滤 79.80% 【分析】 根据题中已知原理,制取氨基甲酸铵,需要二氧化碳和氨气,又由于氨基甲酸铵易分解、易 吸水,所以二氧化碳和氨气必须干燥,且在冰水低温环境中反应,根据实验室制取二氧化碳 和制氨气的原理,1中为碳酸钙和盐酸混合制二氧化碳的反应,经过2中浓硫酸干燥二氧化碳,7中为固体加热制氨气的反应(比如氯化铵和氢氧化钙混合加热),6中碱石灰干燥氨气, 干燥的氨气和二氧化碳分别通过5,3的液体石蜡鼓泡瓶,通过气泡硫酸控制反应物的用量, 在4中三颈烧瓶中发生反应制取氨基甲酸铵,尾气为氨气和二氧化碳,其中氨气有毒,在a 处接酸液进行吸收处理,又由于氨基甲酸铵易吸水,要用浓硫酸进行尾气处理。 【KS5U解析】 (1)装置1为带分液漏斗的试管,故检查装置气密性的操作为:关闭止水夹,向长颈漏斗中加 水至长颈漏斗中液面高于试管中液面,静置一段时间,观察液面高度差是否变化 (2)据分析,装置6为氨气的干燥装置,氨气为碱性气体,故6中试剂为:碱石灰;该反应尾 气为氨气和二氧化碳,其中氨气有毒,需要尾气处理,故a处应接的尾气处理装置中应装有 酸液,又由于产物氨基甲酸铵易吸水,故需要用浓硫酸,不能用稀硫酸,故答:浓硫酸; (3)装置7为实验室固体加热制氨气的反应,用氯化铵和熟石灰混合加热制氨气,反应的化学 Δ 方程式为:2NHCl+Ca(OH) CaCl+2NH↑+2HO; 4 2 2 3 2 (4)已知2NH(g)+CO(g) HNCOONH(s) △H<0,反应放热,降低温度可以使平衡正向移动, 3 2 ⇌ 2 4 提高产率,同时,产物氨基甲酸铵易分解,低温下可以防止其分解,故答:防止氨基甲酸铵 分解;促进生成氨基甲酸铵反应正向移动; (5)停止反应需要停止反应物CO 和氨气的生成,故要停止反应需要关闭1处的止水夹,和熄 2 灭7处的酒精灯;得到产物在CCl 中是悬浮晶体,固液分离需要过滤操作; 4 (6)设碳酸氢铵为xmol,氨基甲酸铵为ymol,由样品总质量可得:79g/molxmol+78g/mol 1.5g ymol=1.173g,又因为n(C)=n(CaCO)=100g/mol=0.015mol,由碳原子守恒可得: 3 xmol+ymol=0.015mol,解x=0.003,y=0.012,则m(HNCOONH)=0.012mol78g/mol=0.936g, 2 4 0.936g 100% 则氨基甲酸铵的质量分数=1.173g 79.80% 19.(2021·广西南宁市·高三二模)亚硝酸钠(NaNO)是一种重要化工原料,外观酷似食盐 2 且有咸味,是一种常用的防腐剂,其广泛存在于自然环境中,如蔬菜、肉类、豆类、腌制品 等都可以测出一定量的亚硝酸钠。某化学兴趣小组设计如图所示装置(省略夹持装置)制备NaNO 并探究其性质。 2 已知:①2NO+NaO =2NaNO; 2 2 2  ②NaNO 易被空气氧化,NO能被酸性高锰酸钾溶液氧化为NO3 ; 2 ③HNO 为弱酸,室温下存在反应3HNO=HNO +2NO↑+ HO。 2 2 3 2 回答下列问题: (1)A中盛NaO 的玻璃仪器名称是_______。 2 2 (2)上述实验装置中,依据气流从左至右,装置连接顺序(可重复使用)为_______。 (3)连接仪器并检查气密性,检查气密性的具体操作是_______。 (4)打开活塞K 之前先通入氮气,其理由是_______。 2 (5)实验时观察到C中溶液变为蓝色,其离子方程式为_______。 (6)探究NaNO 性质:实验完毕后,甲同学取少量A中白色粉末(假设为纯净物)溶于水,并滴 2 加几滴稀盐酸,然后加入KI淀粉溶液,溶液变蓝色,甲同学得出结论NaNO 有氧化性,乙同 2 学认为甲同学的结论不严谨,其理由是_______。 (7)家里腌制的咸菜中含有一定量的亚硝酸盐,为测定咸菜中亚硝酸根离子的含量,取1 kg 咸菜榨汁,将榨出的液体收集后,加入提取剂,过滤得到无色滤液,将该滤液稀释至1 L, 取50. 00 mL滤液与过量的稀硫酸和碘化钾溶液的混合液反应,再滴加几滴指示剂,用0. 100 mol·L-1 NaSO 溶液进行滴定,共消耗20. 00 mL。计算该咸菜中亚硝酸根离子的含量 2 2 3 为______mg·kg-1。  已知:①2NO2+4H++2I- =2NO↑ +I +2HO 2 2 ②I+2NaSO=2NaI+NaSO 2 2 2 3 2 4 6 【KS5U答案】硬质玻璃管 E、C、B、A、B、D 关闭K、K,D装置加水液封导气管, 1 2 加热三颈烧瓶,D中有气泡,停止加热,一段时间后,D中导气管有一段水柱,说明气密性良 好 排尽装置中的O,防止生成的NO、NaNO 被O 氧化 3Cu+8H++2NO3 =3Cu2+ 2 2 2 +2NO↑+4HO NaNO 与盐酸反应生成的HNO 易被氧化为HNO,HNO 可将KI氧化产生I,使 2 2 2 3 3 2 淀粉变蓝,所以不严谨(或NaNO 与盐酸反应生成HNO,而在室温下易反应生成HNO,加入KI 2 2 3 淀粉溶液后变蓝色也可能是生成的HNO 氧化了KI,所以不严谨) 1840 3 【分析】 根据题目信息可知,利用E装置产生的NO 气体先通入C装置将NO 转化为NO,然后再将NO 2 2 干燥后通入至A装置与NaO 反应来制取NaNO,为防止过量NO气体污染环境,装置结尾需用 2 2 2 D装置中的高锰酸钾处理NO气体。 【KS5U解析】 (1) 根据装置特点可知A中盛NaO 的玻璃仪器名称是硬质玻璃管,故答案为:硬质玻璃管。 2 2 (2)根据分析可知上述实验装置中,依据气流从左至右,装置连接顺序(可重复使用)为E、 C、B、A、B、D,故答案为:E、C、B、A、B、D。 (3) 连接仪器并检查气密性,检查气密性的具体操作是关闭K、K,D装置加水液封导气管, 1 2 加热三颈烧瓶,D中有气泡,停止加热,一段时间后,D中导气管有一段水柱,说明气密性良 好,故答案为:关闭K、K,D装置加水液封导气管,加热三颈烧瓶,D中有气泡,停止加热, 1 2 一段时间后,D中导气管有一段水柱,说明气密性良好。 (4)NO、NaNO 与氧气发生反应,所以打开活塞K 之前先通入氮气,排尽装置中的O,防止生 2 2 2 成的NO、NaNO 被O 氧化,故答案为:排尽装置中的O,防止生成的NO、NaNO 被O 氧化。 2 2 2 2 2 (5) 实验时观察到C中溶液变为蓝色,是铜与稀硝酸反应生成硝酸铜、一氧化碳、水,其离  子方程式为:3Cu+8H++2NO3 =3Cu2++2NO↑+4HO。 2 (6)由题目信息可知乙同学认为甲同学的结论不严谨,其理由是NaNO 与盐酸反应生成的HNO 2 2 易被氧化为HNO,HNO 可将KI氧化产生I,使淀粉变蓝,所以不严谨(或NaNO 与盐酸反应生 3 3 2 2 成HNO,而在室温下易反应生成HNO,加入KI淀粉溶液后变蓝色也可能是生成的HNO 氧化了 2 3 3 KI,所以不严谨)。  (7)根据反应①2NO2+4H++2I- =2NO↑ +I +2HO和②I+2NaSO=2NaI+NaSO 可知生成碘单 2 2 2 2 2 3 2 4 6 质的物质的量为n(I)=20. 00×10-3L×0. 100 mol·L-1÷2=1×10-3mol,则50. 00 mL滤液 2  中亚硝酸根离子的质量为m(NO2)=1×10-3mol×(2×46)g/mol=9.2×10-2g,1 L滤液中亚硝酸 根离子的质量为m(NO2)=9.2×10-2g×20=1840mg,即该咸菜中亚硝酸根离子的含量为 1840mg÷1kg=1840 mg·kg-1,故答案为:1840。 20.(2021·云南高三三模)氮化锂(LiN)是重要的储氢材料,遇水剧烈反应。某研究小组 3 设计实验制备氮化锂并测定其纯度。 I.制备氮化锂 (1)实验室用NHCl溶液和NaNO 溶液共热制备N,装置A可选择_______ (填标号) 。 4 2 2 (2)仪器D的名称是_______,盛装的药品是_______。 II.测定LiN产品纯度 3 (3)向圆底烧瓶中加水的操作是,_______。(4)氮化锂与水反应的化学方程式为_______, F中液体可以选择_______ (填 “水”“石蜡 油”或“饱和食盐水”)。 (5)反应结束冷却至室温后,读数前应先_______,测得体积为VL(已折合成标准状况)。若杂 质与水反应不产生气体,则LiN的质量分数为_______(只列出含m和V的计算式,不必计算 3 化简)。 【KS5U答案】③ 球形干燥管 碱石灰 先打开分液漏斗上口的活塞和止水夹,再打 开分液漏斗下口的活塞 LiN+3HO=3LiOH+NH↑ 石蜡油 上下移动b管,将a、b两 3 2 3 35V 管液面调至相平 22.4m ×100% 【分析】 装置A制备氮气,装置B净化干燥氮气,装置C制备氮化锂,装置D防止空气中的水蒸气进 入装置C中,据此解答。 【KS5U解析】 (1)实验室用NHCl溶液和NaNO 溶液共热制备N,属于液体和液体混合加热制备气体的装置, 4 2 2 为便于控制液体流量需要用分液漏斗,则装置A可选择③。 (2)根据仪器构造可判断仪器D的名称是球形干燥管,由于氮化锂遇水剧烈反应,需要防止空 气中的水蒸气进入装置C中,则盛装的药品是碱石灰。 (3)由于分液漏斗带有活塞,则根据装置的构造特点可判断向圆底烧瓶中加水的操作是先打 开分液漏斗上口的活塞和止水夹,再打开分液漏斗下口的活塞。 (4)氮化锂与水反应生成氢氧化锂和氨气,反应的化学方程式为LiN+3HO=3LiOH+NH↑,利 3 2 3 用排液法测量氨气的体积,则F中液体不能溶解氨气,由于氨气极易溶于水,所以可以选择 石蜡油。 (5)反应结束冷却至室温后,由于气体的体积受压强影响大,则读数前应先上下移动b管,将 a、b两管液面调至相平,使内外压强相等,测得体积为VL(已折合成标准状况),氨气的物质 V V mol mol 的量是22.4 ,根据方程式可知氮化锂的物质的量是22.4 ,若杂质与水反应不产生V mol35g /mol 22.4 35V 气体,则LiN的质量分数为 ×100%= ×100%。 3 mg 22.4m 21.(2021·北京人大附中)某校化学小组探究酸性KMnO 溶液与HO 溶液反应速率的影响因 4 2 2 素。 (1)邹邹进行了实验I:常温下,向4mL不同浓度的HO 溶液中滴入一滴0.04mL0.05mol/ 2 2 c(H+)=5.0mol/L LKMnO 溶液[ ],记录如下: 4 c(HO)/mol/L 0.0010 0.0015 0.0125 0.0312 0.044 0.0620 2 2 完全褪色时间/s 25 15 12 23 60 370 无色气泡 一样多 ①请写出反应的离子方程式_______。 ②对于c(HO)增大引起的速率异常现象,根据上述实验结果,伟伟排除了一种可能,请用化 2 2 学方程式表示这种可能性_______。 ③为了解释c(HO)增大到一定浓度后速率减小,波波查得了如下资料: 2 2 c(H O )>0.02moL 2H O ⇌ H O 资料显示: 2 2 ,HO 溶液中存在平衡: 2 2 4 4 2 2 c(H O )=0.0312mol/L 请用平衡移动原理解释 2 2 速率忽然减小的原因_______。 (2)龙龙继续进行实验II,并记录如下: 操作 现象 第1-9滴溶液滴下,完全褪色所需时间很长; 实验 第10滴溶液滴下迅速褪色。整个过程中几乎 Ⅱ 无温度变化。 ①对于第10滴溶液与HO 溶液反应速率剧烈变化的原因,飞飞提出如下假设:_______。 2 2 ②杰杰设计实验方案证实了上述假设合理,请补全他的方案:操作:滴下5滴溶液 现象:完全褪色时间为t秒 _______。 (3)综合上述实验,对于酸性KMnO 溶液与HO 溶液反应速率,臧臧进行了总结。下列因素一 4 2 2 定能加快反应速率的是_______。 a.增大KMnO 溶液浓度 b.增大HO 溶液浓度 c.增大HSO 浓度 d.加热适当温度 e.加 4 2 2 2 4 入合适的催化剂 2MnO-+6H++5H O =2Mn2++5O +8H O 2H O =O 2H O 【KS5U答案】 4 2 2 2 2 2 2 2 2 c(H O )=0.0312mol/L 2H O ⇌ H O 2 2 时,HO 溶液中存在平衡: 2 2 4 4,使得c(HO)减小, 2 2 2 2 导致反应速率忽然减小 酸性KMnO 溶液与HO 溶液反应生成的Mn2+可以催化该反应 4 2 2 操作:先滴入9滴0.05 mol/L MnSO 溶液,再滴下5滴溶液 4 现象:完全褪色时间远小于t秒 acde 【KS5U解析】 (1) ①酸性高锰酸钾溶液与过氧化氢发生氧化还原反应生成硫酸钾、硫酸锰、氧气和水,反 2MnO-+6H++5H O =2Mn2++5O +8H O 应的离子方程式为 4 2 2 2 2 ,故答案为: 2MnO-+6H++5H O =2Mn2++5O +8H O 4 2 2 2 2 ; ②由题意可知,向不同浓度的过氧化氢溶液中滴入高锰酸钾溶液不足量,产生的气体一样多 说明过氧化氢浓度增大引起的速率异常现象一定不是过氧化氢分解的缘故,过氧化氢分解生 2H O =O 2H O 2H O =O 2H O 成氧气和水的化学方程式为 2 2 2 2 ,故答案为: 2 2 2 2 ; ③由信息可知,当过氧化氢浓度大于0.02mol/L时,过氧化氢溶液中会存在如下平衡 2H O ⇌ H O 2 2 4 42H O ⇌ H O 2 2 4 4,当过氧化氢浓度为0.0312mol/L时,过氧化氢转化为HO,溶液中过氧化 4 4 c(H O )=0.0312mol/L 氢浓度减小,导致反应速率忽然减小,故答案为: 2 2 时,HO 溶液中 2 2 2H O ⇌ H O 存在平衡: 2 2 4 4,使得c(HO)减小,导致反应速率忽然减小; 2 2 (2)①由整个过程中几乎无温度变化可知,第10滴溶液滴下迅速褪色说明反应速率加快不是 温度变化的原因,应该是酸性高锰酸钾溶液与过氧化氢溶液反应生成的锰离子做了反应的催 化剂,使反应速率加快,故答案为:酸性KMnO 溶液与HO 溶液反应生成的Mn2+可以催化该反 4 2 2 应; ②为了验证酸性酸性高锰酸钾溶液与过氧化氢溶液反应生成的锰离子可以催化该反应,应该 做加入硫酸锰溶液的对比实验,具体操作为先滴入9滴0.05 mol/L MnSO 溶液,再滴下5滴 4 溶液,发现在锰离子做催化剂作用下,反应速率加快,完全褪色时间远小于t秒,故答案为: 操作:先滴入9滴0.05 mol/L MnSO 溶液,再滴下5滴溶液 4 现象:完全褪色时间远小于t秒; (3) a.增大高锰酸钾溶液浓度,反应物浓度增大,单位体积内有效碰撞次数增大,反应速 率加快,故符合题意; b.增大过氧化氢溶液浓度,反应物浓度增大,单位体积内有效碰撞次数增大,反应速率加 快,故符合题意; c.增大硫酸浓度,高锰酸钾和过氧化氢浓度不变,反应速率不变,故不符合题意; d.加热适当温度,反应温度增大,活化分子数增大,有效碰撞次数增大,反应速率加快, 故符合题意; e.加入合适的催化剂,降低反应的活化能,活化分子数增大,有效碰撞次数增大,反应速 率加快,故符合题意; 故答案为:acde。22.(2021·福建省福州第一中学高三其他模拟)某学习小组探究某浓度浓硝酸和稀硝酸与 铁的反应。 实 验 Ⅲ中:连接导线,一段时间后Fe表面产生 Ⅰ中:Fe表面产生大量 Ⅱ中:Fe表面产 现 红棕色气泡,而后停止;随即又产生红棕 无色气泡,液面上方变 生红棕色气泡,过 象 色气泡,而后停止,……如此往复多次。 为红棕色 一会儿停止 Cu表面始终产生红棕色气泡 (1)Ⅰ中液面上方气体由无色变为红棕色的化学方程式为_______。 (2)取少量Ⅰ中溶液,加入_______(填名称),溶液变成红色,说明产生了Fe3+。 (3)Ⅱ中现象说明Fe表面形成致密的氧化层,阻止Fe进一步反应。说明硝酸具有_______性。 (4)Ⅲ中,连接导线后体系形成了原电池。为分析反应过程,在Fe、Cu之间连接电流计,实 验如表。 实验 现象 ⅰ.K闭合时,指针向左偏转(Cu做负极),Fe表面无明显现象 ⅱ.过一会儿指针向右偏,Fe表面产生红棕色气体;后又迅速向左 偏,Fe表面停止产生气泡,……如此往复多次 ⅲ.一段时间后,指针一直处于右端,Fe表面持续产生红棕色气体 ⅳ.Cu表面始终产生红棕色气泡 ①推测现象ⅰ中被还原的是_______。 ②若将该装置Cu电极换成Zn电极,实验过程中是否会出现现象ii_______(填“是”、 “否”) 。 ③现象ⅲ中,Fe一直做负极,难以形成氧化层,可能的原因是_______。 ④用方程式解释现象ⅳ:_______。 【KS5U答案】2NO + O= 2NO 硫氰化钾 强氧化性 铁表面的氧化层 否 反 2 2 应放热,溶液温度升高;随反应进行,硝酸浓度降低 Cu+4HNO (浓) = 3  Cu(NO)+2NO↑+2HO,NO3 +2H++e—= NO↑+HO 3 2 2 2 2 2 【分析】Ⅰ中发生的反应为铁和稀硝酸反应生成硝酸铁、一氧化氮和水;Ⅱ中铁在浓硝酸中发生钝化, 在铁表面形成了致密的氧化层,阻止铁进一步反应;Ⅲ中刚开始时,铜能与浓硝酸反应,铁 在浓硝酸中钝化,则铜做原电池的负极被损耗,铁做正极,铁表面形成氧化物保护膜得电子 被还原,铁表面氧化层逐渐被还原而溶解,使铁与浓浓硝酸接触,金属性比铜强的铁做负极, 铁失去电子被氧化,在表面形成致密的氧化层;待氧化层完全形成后,铁不能与浓硝酸接触, 不能继续失电子,再次做正极,可以如此往复多次。 【KS5U解析】 (1) Ⅰ中发生的反应为铁和稀硝酸反应生成硝酸铁、一氧化氮和水,反应的化学方程式为 Fe+4HNO=Fe(NO)+NO↑+2HO,一氧化氮为无色气体,遇到空气立即与氧气反应转化为红棕 3 3 3 2 色的二氧化氮,则Ⅰ中液面上方气体由无色变为红棕色的反应为一氧化氮与氧气反应生成二 氧化氮,反应的化学方程式为2NO + O= 2NO,故答案为:2NO + O= 2NO; 2 2 2 2 (2)溶液中铁离子与硫氰酸根离子反应生成血红色的硫氰化铁,则取少量Ⅰ中溶液,加入硫 氰化钾溶液,溶液变成红色,说明反应产生了铁离子,故答案为:硫氰化钾; (3)II中现象说明硝酸具有强氧化性,铁在浓硝酸中发生钝化,在铁表面形成了致密的氧化 层,阻止铁进一步反应,故答案.为:强氧化性; (4)①刚开始时,铜能与浓硝酸反应,铁在浓硝酸中钝化,则铜做原电池的负极被损耗,铁 做正极,铁表面形成氧化物保护膜得电子被还原,故答案为:铁表面的氧化层; ②铁做正极时,铁表面氧化层逐渐被还原而溶解,使铁与浓浓硝酸接触,金属性比铜强的铁 做负极,铁失去电子被氧化,在表面形成致密的氧化层;待氧化层完全形成后,铁不能与浓 硝酸接触,不能继续失电子,再次做正极,可以如此往复多次;若将该装置铜电极换成锌电 极,锌的金属性强于铁,一直做原电池的负极,铁电极始终做正极,实验过程中不可能出现 现象ii,故答案为:否; ③硝酸与金属的反应为放热反应,随反应进行,硝酸浓度降低,反应放出的热量使溶液温度 升高,铁表面难以形成氧化层,则铁一直做负极被损耗,故答案为:反应放热,溶液温度升 高;随反应进行,硝酸浓度降低; ④铜在常温下能与浓硝酸反应生成硝酸铜、二氧化氮水,反应的化学方程式为Cu+4HNO (浓) 3 = Cu(NO)+2NO↑+2HO,则电池开始工作时,铜做负极,铁做正极;随着反应的进行,硝酸 3 2 2 2 浓度减小,铁表面不再形成氧化物保护膜,则铁做负极,铜做正极,酸性条件下,硝酸根离  子在正极得到电子发生还原反应生成二氧化氮,电极反应式为NO3 +2H++e—= NO↑+HO,故答 2 2 案为:Cu+4HNO (浓) = Cu(NO)+2NO↑+2HO,NO3 +2H++e—= NO↑+HO。 3 3 2 2 2 2 2 23.(2021·重庆高三三模)实验室制备氧钒(Ⅳ)碱式碳酸铵晶体 {(NH)[(VO)(CO)(OH)]·10HO}的实验步骤如图: 4 5 6 3 4 9 2 Ⅰ.向VO 中加入足量盐酸酸化的NH·2HCl溶液,微沸数分钟。 2 5 2 4 Ⅱ.把制得的VOCl 溶液缓慢加入到足量NHHCO 溶液,有气泡产生并析出紫红色晶体。 2 4 3 Ⅲ.反应结束后抽滤,用饱和NHHCO 溶液洗涤3次,再用无水乙醇洗涤2次,静置一段时间 4 3 后得到产品。请回答下列问题: (1)步骤Ⅰ中生成了一种空气中的主要气体,写出该步骤反应的化学方程式___。 (2)已知VO2+能被O 氧化,步骤Ⅱ可在如图装置中进行(夹持仪器略去),利用A中反应产生的 2 气体将C中空气排净。 ①仪器M的名称是___。 ②装置B的作用是___。 (3)步骤Ⅱ中洗涤操作选择饱和NHHCO 的原因是___,用无水乙醇洗涤的目的是___,检验用 4 3 饱和NHHCO 溶液洗涤沉淀是否干净的操作是___。 4 3 (4)称量mg产品,用KMnO 溶液氧化,再除去多余的KMnO(方法略),最后用cmol/ 4 4  L(NH)Fe(SO) 标准溶液滴定至终点(滴定过程只发生反应VO2+Fe2++2H+=VO2++Fe3++HO),消 4 2 4 2 2 耗标准溶液的体积为VmL,产品中钒的质量分数为____%(用含有m、c、V的式子表示)。 若实验测得钒的质量分数偏大,则可能的原因___。 A.(NH)Fe(SO) 标准溶液被氧化 4 2 4 2 B.滴定终点时仰视读数 C.滴定终点时俯视读数微沸 【KS5U答案】NH·2HCl+2VO+6HCl N↑+4VOCl+6HO 长颈漏斗 除去 2 4 2 5 2 2 2 CO 中的HCl气体 抑制氧钒(Ⅳ)碱式碳酸铵晶体的溶解,减少固体流失 洗去固体表面 2 的水和NHHCO 取最后一次洗涤液于试管中,加入适量硝酸酸化的AgNO 溶液,若不产生 4 3 3 5.1cV 白色沉淀,则证明洗涤干净 m AB 【分析】 实验室以VO 为原料制备氧钒(Ⅳ)碱式碳酸铵晶体,其流程为:VO 与6mol/L的HCl、 2 5 2 5 NH•2HCl反应制取VOCl 溶液,VOCl 溶液再与NHHCO 溶液反应即可制得氧钒(Ⅳ)碱式碳酸 2 4 2 2 4 3 铵晶体; 【KS5U解析】 (1)步骤Ⅰ中生成了一种空气中的主要气体是N,该步骤反应的化学方程式为: 2 NH·2HCl+2VO+6HClN↑+4VOCl+6HO 2 4 2 5 2 2 2 (2)①该仪器是长颈漏斗②A装置用于制备二氧化碳,是用碳酸钙固体和稀盐酸制备,产生 二氧化碳的同时,会产生HCl杂质,对后续实验产生影响,故B的作用是除去二氧化碳中的 HCl杂质; (3)选择饱和碳酸氢钠的原因是抑制氧钒(Ⅳ)碱式碳酸铵晶体的溶解,减少固体流失;用无 水乙醇洗涤是为了洗去固体表面的水和NHHCO,乙醇具有挥发性,能最大程度减少杂质的存 4 3 在;检验第一次沉淀洗涤干净即在检验是否存在Cl-,操作是:取最后一次洗涤液于试管中, 加入适量硝酸酸化的AgNO 溶液,若不产生白色沉淀,则证明洗涤干净; 3 VO++Fe2++2H+=VO2++Fe3++H O n(VO2+)=n(Fe2+)=cV103mol (4)根据反应 2 2 可知, , 5.1cV n(V)=n(VO2+),m(V)=51×cV×10-3,则钒的质量分数为 m %;A.(NH)Fe(SO) 标准溶液 4 2 4 2 被氧化,则还原能力降低,滴定时消耗的标准溶液体积偏大,会使测定结果偏高,A正确; B.滴定终点时仰视读数,则会导致记录的消耗标准液的体积偏高,最后导致测定结果偏高, B正确; C.滴定终点时俯视读数,则会导致记录的消耗标准液的体积偏低,最后导致测定结果偏低,C错误。 故选:AB。 24.(2021·四川师范大学附属中学高三二模)Ⅰ.实验室用浓硫酸与铜的反应制取少量 NaHSO,实验装置如图所示: 3 仪器a的名称是___________,装置乙的作用是___________,下列说法正确的是: ___________(填序号)。 A.KMnO 溶液用于尾气处理 4 B.当把品红溶液滴入到锥形瓶中,若品红不褪色,说明无NaHSO 产生 3 C.当把品红溶液滴入到锥形瓶中,若品红褪色,说明NaOH已完全转化为NaHSO 3 D.若把品红溶液换成酸性高锰酸钾溶液,并滴入到锥形瓶中,不显紫红色,说明NaOH已完 全转化为NaHSO 3 Ⅱ.某同学为探究NaHSO 溶液与Cu2+的反应,查阅资料设计如下实验: 3 已知:①氯化亚铜(CuCl)为白色立方结晶或白色粉末,难溶于水;②CuO浓氨水[Cu(NH)]+(无色溶液) 放 一 置 段 在 时 空 间 气中 [Cu(NH)]2+(深蓝色溶液)。回 2 3 2 3 4 答下列问题: (1)加入NaCl固体后产生的无色气体能使湿润的品红试纸褪色,且加热后能恢复原来的颜色。 工业上将NaS和NaCO 以2:1的物质的量比配成溶液,然后通入该无色气体,NaS、NaCO 2 2 3 2 2 3 完全反应,得到硫代硫酸钠(NaSO)和另一种无色无味的气体,该过程中发生反应的化学方 2 2 3 程式是___________。 (2)该同学对实验中加入NaCl产生无色气体的原因进行分析,提出两种假设: 假设1 Cu2+水解使溶液中c(H+)增大 假设2 Cl—存在时,HSO  将Cu2+还原为Cu+,___________ 3 ①假设1不成立的原因是___________。 ②若假设2合理,请将假设2补充完整:___________,其中生成的白色沉淀是 ___________(填化学式)。 (3)通过分析实验可知,Cl—增强了Cu2+的氧化性。某同学设计原电池实验(如图)证明上述实 验结果,请将实验现象补充完整:___________(写两点即可)。 编 实验1 实验2 号 实 验 现 电流表指针发生微小偏转 电流表指针发生明显偏转,___________ 象 (4)将实验后的溶液静置24小时或加热后,得到红色沉淀,洗涤干燥后利用已知信息设计实 验,证明红色沉淀中含有Cu+:___________。 【KS5U答案】圆底烧瓶 防倒吸 AC 2NaS+NaCO+4SO=3NaSO+CO NaCl固 2 2 3 2 2 2 3 2  2-  体不能促进Cu2+的水解 HSO3 转化成SO4 和H+,溶液中c(H+)增大,H+和HSO3 反应产生 SO CuCl 左侧烧杯中有无色气体产生,右侧烧杯中有白色沉淀产生(溶液蓝色变浅或 2 消失) 取最终得到的固体于试管中,滴加足量浓氨水,沉淀溶解,得到无色溶液,露置在空气中一段时间后溶液变为深蓝色,即可证明红色沉淀中含有Cu+ 【KS5U解析】 Ⅰ.由图可知,仪器a的名称是圆底烧瓶。发生装置产生的二氧化硫与氢氧化钠溶液反应而 被吸收,会导致发生装置里产生负压,因此装置乙的作用是作为安全瓶起到防止倒吸的作用。 A.二氧化硫是污染性气体不能排放到空气中,而高锰酸钾能吸收二氧化硫,故A正确; B.当把品红溶液滴入到锥形瓶中,若品红不褪色,只能说明溶液中不含二氧化硫,并不能 说明溶液中无NaHSO 产生,故B错误; 3 C.当把品红溶液滴入到锥形瓶中,若品红褪色,能够说明溶液中含有二氧化硫,说明二氧 化硫过量,则能够说明NaOH已完全转化为NaHSO,故C正确; 3 D.酸性高锰酸钾溶液,滴入到锥形瓶中,不显紫红色,说明高锰酸钾被还原,但能还原高 锰酸钾的不仅有NaHSO,NaSO 和SO 也可以,因此酸性高锰酸钾溶液滴到锥形瓶中后,溶液 3 2 3 2 不显紫红色,并不能说明NaOH已完全转化为NaHSO,故D错误;故答案:AC。 3 Ⅱ.(1)无色气体能使湿润的品红试纸褪色,且加热后能恢复原来的颜色,可以推测该气体 是SO,NaS和NaCO 以2:1的物质的量比配成溶液,然后通入SO,得到硫代硫酸钠 2 2 2 3 2 (NaSO)和另一种无色无味的气体,根据碳元素守恒,可推测另一种无色气体是CO,则该反 2 2 3 2 应的化学方程式是2NaS+NaCO+4SO=3NaSO+CO; 2 2 3 2 2 2 3 2 (2) ①假设1不成立的原因是蓝色溶液分成两等份,另一份中并没有因含铜离子,而出现气 体,因此和铜离子无关,且加入NaCl固体并不能促进Cu2+的水解;   ②假设2合理,是因为HSO3 将Cu2+还原为Cu,生成白色的氯化亚铜(CuCl)沉淀,HSO3 被 2-  Cu2+氧化成SO4 和H+,溶液中c(H+)增大,H+和HSO3 反应产生SO; 2  2-  (3)左边烧杯中,HSO3 失去电子被氧化成SO4 和H+,H+和HSO3 反应产生SO,故左边烧杯中 2 有无色气体产生,右边烧杯中,因加入氯化钠固体,Cu2+氧化性增强,Cu2+得电子被还原成 Cu+,于是右边烧杯中有白色沉淀产生(溶液蓝色变浅或消失),电流表指针发生明显偏转; (4)通过已知②,将得到的红色固体置于试管中,滴加足量浓氨水,沉淀溶解,得到无色溶 液,露置在空气中一段时间后溶液变为深蓝色,即可证明红色沉淀中含有Cu+。 25.(2021·山东烟台市·高二期末)氧钒(Ⅳ)碱式碳酸铵晶体难溶于水,是制备热敏材料 VO 的原料,其化学式为(NH)[(VO)(CO)(OH)]·10HO。实验室以VOCl 和NHHCO 为原料制 2 4 5 6 3 4 9 2 2 4 3备氧钒( Ⅳ )碱式碳酸铵晶体的装置如图所示。 已知:+4价钒的化合物易被氧化。 回答下列问题: (1)装置D中盛放NHHCO 溶液的仪器名称是___________;上述装置依次连接的合理顺序为 4 3 e→___________( 按气流方向,用小写字母表示)。 (2)实验开始时,先关闭K,打开K,当___________(填实验现象)时,关闭K,打开K,进 2 1 1 2 行实验。 (3)写出装置D中生成氧钒(Ⅳ)碱式碳酸铵晶体的化学方程式___________;实验完毕后,从 装置D中分离产品的操作方法是___________ (填操作名称)。 (4)测定粗产品中钒的含量。实验步骤如下: 称量a g产品于锥形瓶中,用20 mL蒸馏水与30 mL稀硫酸溶解后,加入0.02mol/LKMnO 溶 4 液至稍过量,充分反应后继续滴加1%的NaNO 溶液至稍过量,再用尿素除去过量NaNO,最后 2 2 用c mol/L (NH)Fe( SO) 标准溶液滴定至终点,消耗标准溶液的体积为b mL。(已知: 4 2 4 2 VO+ 2 +Fe2++2H+= VO2++Fe3++HO) 2 ①NaNO 溶液的作用是___________。 2 ②粗产品中钒的质量分数表达式为___________(以VO 计)。 2 ③若(NH)Fe( SO) 标准溶液部分变质,会使测定结果___________ ( 填“偏高"、“偏低” 4 2 4 2 或“无影响")。 【KS5U答案】三颈烧瓶 abfgc B中溶液变浑浊 6VOCl+6HO+17NHHCO=(NH)[(VO)(CO)(OH)]·10HO↓+13CO↑+12 NHCl 过滤 除 2 2 4 3 4 5 6 3 4 9 2 2 483bc103 去过量的KMnO 4 a ×100% 偏高 【分析】 实验室以VOCl 和NHHCO 为原料制备氧钒(Ⅳ)碱式碳酸铵晶体 2 4 3 {(NH)[(VO)(CO)(OH)]•10HO},由于+4价钒的化合物易被氧化,因此装置D反应前需要 4 5 6 3 4 9 2 用C产生的二氧化碳排除装置内的空气,C中产生的二氧化碳中会混入HCl杂质,需要用A装 置中的饱和碳酸氢钠溶液除去HCl,据此分析解答。 【KS5U解析】 (1)装置D中盛放NHHCO 溶液的仪器是三颈烧瓶;由于+4价钒的化合物易被氧化,因此装置 4 3 D反应前需要用C产生的二氧化碳排除装置内的空气,C中产生的二氧化碳中会混入HCl杂质, 需要用A装置中的饱和碳酸氢钠溶液除去HCl,需要防止空气进入装置D,装置应该按照 CADB的顺序连接,上述装置的接口依次连接的合理顺序为e→a→b→f→g→c,故答案为:三 颈烧瓶;abfgc; (2)实验开始时,先关闭K,打开K,当B中溶液变浑浊时,说明装置内的空气已经排尽,关 2 1 闭K,打开K,进行实验,故答案为:B中溶液变浑浊; 1 2 (3)装置D中生成氧钒(Ⅳ)碱式碳酸铵晶体的化学方程式为 6VOCl+6HO+17NHHCO=(NH)[(VO)(CO)(OH)]·10HO↓+13CO↑+12 NHCl;实验完毕后, 2 2 4 3 4 5 6 3 4 9 2 2 4 从装置D中分离出(NH)[(VO)(CO)(OH)]·10HO沉淀的操作方法是过滤,故答案为: 4 5 6 3 4 9 2 6VOCl+6HO+17NHHCO=(NH)[(VO)(CO)(OH)]·10HO↓+13CO↑+12 NHCl;过滤; 2 2 4 3 4 5 6 3 4 9 2 2 4 (4)①KMnO 溶液具有氧化性,其作用是将+4价的V化合物氧化为VO2+,NaNO 具有还原性,所 4 3 以NaNO 溶液的作用是除去过量的KMnO,故答案为:除去过量的KMnO; 2 4 4 ②消耗标准溶液的体积为bmL,根据滴定反应VO++Fe2++2H+═VO2++Fe3++HO可知, 2 2 bc10383 n(VO2+)=n(Fe2+)=bc×10-3mol,所以产品中钒的质量分数(以VO 2 计)为 a ×100%= 83bc103 83bc103 a ×100%,故答案为: a ×100%; ③若(NH)Fe(SO) 标准溶液部分变质,溶液中Fe2+浓度减小,会消耗更多的标准液,导致测 4 2 4 2 定结果偏高,故答案为:偏高。26.(2021·江苏省如皋中学)LiFePO 电极材料是动力型锂离子电池的理想正极材料 4 (1)以LiOH、FeSO、HPO 和葡萄糖为原料,利用如图所示装置(固定装置已略去)制取 4 3 4 LiFePO/C电极的过程如下: 4 步骤1:准确称量18.00 g LiOH、38.00 g FeSO 和75 mL HPO 溶液(含溶质24.50 g)。 4 3 4 步骤2:将LiOH置于三颈烧瓶中,加入煮沸过的蒸馏水,搅拌使其溶解。从分液漏斗中滴加 HPO 溶液,实验过程中不断通入氮气,直至HPO 滴加完毕。 3 4 3 4 步骤3:将FeSO 固体溶于蒸馏水中,迅速倒入三颈烧瓶中,快速搅拌,充分反应后,过滤并 4 洗涤沉淀得LiFePO 固体。 4 步骤4:将LiFePO 与一定量葡萄糖混合,惰性气氛下加热,得到LiFePO/C。 4 4 ①步骤2向三颈烧瓶中通入N 的目的是___________,该步骤中为达到相同目的采取的措施 2 还有___________。 ②步骤3发生反应的化学方程式为___________。 (2)已知:LiCO 微溶于水;LiFePO、FePO 难溶于水和碱,可溶于盐酸生成LiCl、FeCl、 2 3 4 4 2 FeCl 和HPO;pH>3.2时,Fe3+沉淀完全。完善由某废旧电极材料(含铝、炭、LiFePO 和 3 3 4 4 FePO)制取LiCO 的实验方案:边搅拌边向废旧电极材料中加入NaOH溶液至不再产生气泡, 4 2 3 过滤,___________,过滤、洗涤,低温干燥得LiCO 固体。 (实验中须使用的试剂有:双氧 2 3 水、盐酸、NaOH溶液、NaCO 溶液) 2 3 (3)磷精铁渣(FeP)可作为制取LiFePO 的原料。一种测定FeP组成的实验方法如下:准确称 x 4 x 取1.840 g磷精铁渣于烧杯中,加入过量硝酸和硫酸的混合溶液,加热,使磷铁渣充分溶解。 过滤,将滤液配成100 mL溶液A.取20.00 mL溶液A,加入 100 mL 0.06000 mol·L−1 EDTA 标准溶液,加入氨水调节pH约为2,加热使之充分反应。冷却,加入指示剂,用 0.05000 mol·L−1 Bi3+标准溶液滴定过量的EDTA,消耗 Bi3+标准溶液24.00 mL。通过计算确定FeP的 x 化学式(写出计算过程) ____。已知:EDTA与Fe3+和Bi3+反应的化学计量数之比均为1∶1。 【KS5U答案】排除装置中的氧气,防止Fe2+被氧化 加入煮沸过的蒸馏水 LiPO+ 3 4 FeSO=LiFePO+LiSO 向滤渣中边搅拌边加入盐酸,至固体不再减少,过滤;向滤液中 4 4 2 4 加入过量的双氧水,再逐滴加入NaOH溶液至pH大于3.2,过滤;边搅拌边向滤液中滴加NaCO 溶液至产生大量沉淀生成,静置,向上层清液中滴加NaCO 溶液若无沉淀生成 2 3 2 3 Fe P 1.5 【KS5U解析】 (1)①FeSO 易被氧气氧化,步骤2向三颈烧瓶中通入N 的目的是排除装置中的氧气,防止Fe2 4 2 +被氧化,该步骤中为达到相同目的采取的措施还有加入煮沸过的蒸馏水。 ②步骤3中LiPO 与FeSO 发生反应生成LiFePO 和LiSO,化学方程式为LiPO+ 3 4 4 4 2 4 3 4 FeSO=LiFePO+LiSO; 4 4 2 4 (2)向滤渣中边搅拌边加入盐酸,至固体不再减少,过滤除去炭;得到的滤液中含有LiCl、 FeCl、FeCl 和HPO;向滤液中加入过量的双氧水把Fe2+氧化为Fe3+,再逐滴加入NaOH溶液 2 3 3 4 至pH大于3.2,Fe3+完全转化为Fe(OH) 沉淀,过滤除去氢氧化铁;边搅拌边向滤液中滴加 3 NaCO 溶液至产生大量LiCO 沉淀,静置,向上层清液中滴加NaCO 溶液若无LiCO 沉淀生成, 2 3 2 3 2 3 2 3 说明Li+沉淀完全。 (3)n(EDTA)=0.06000mol·L-1×100×10-3L=6.000×10-3 mol; n(Bi3+)=0.05000mol·L-1×24×10-3L=1.200×10-3 mol; 取20.00 mL溶液A中n(Fe3+)=6.000×10-3 mol-1.200×10-3 mol=4.800×10-3 mol; 100 1.840 g磷精铁渣中n(Fe3+) =4.800×10-3 mol× 20 =0.02400 mol; 总 m(Fe)=0.02400mol×56g/mol=1.344 g; m(P)=1.840g-1.344g=0.4960 g; n(P)=0.496g÷31g/mol=0.01600mol; n(Fe3+)∶n(P)=3∶2; 化学式为Fe P。 1.5 27.(2021·四川遂宁市·高三其他模拟)MnSO·HO是一种易溶于水的微红色斜方晶体, 4 2 实验室用SO 还原MnO 制备MnSO。 2 2 4 I.甲同学设计下列装置制备硫酸锰。回答下列有关问题:(1)装置B中试剂为___________,其作用是___________,装置C的作用___________ (2)写出装置D中发生反应的化学方程式:___________ (3)要从D中获得纯净的MnSO·HO,应在观察到___________现象时停止通入SO。 4 2 2 (4)装置D中水浴温度应控制在80℃左右,温度过高时反应速率可能减慢的原因: ___________ (5)向含有1molNaS的溶液中通入足量的SO 最多消耗___________molSO 2 2, 2 II.乙同学认为甲同学的设计过于复杂,设计了仅用如图的装置制备硫酸锰。回答下列有关 问题: (1)简述乙同学装置的优点(至少2点):___________ (2)装置I中烧瓶中放入的药品X不能为铜屑的原因是___________ Δ 【KS5U答案】饱和NaHSO 溶液 吸收HCl 防倒吸或安全瓶 MnO+SO MnSO 3 2 2 4 三颈烧瓶中黑色粉末完全消失 当温度过高时,SO 在水中的溶解度减小,反应速率减慢 2 2.5 操作简单;有多孔球泡,吸收SO 更充分(或氢氧化钠溶液吸收尾气更充分) 铜与 2 浓硫酸反应需要加热 【分析】 I. 浓盐酸和亚硫酸钠反应生成的二氧化硫气体中含有杂质气体氯化氢,B中盛放饱和NaHSO 3 溶液除去二氧化硫中的氯化氢,二氧化硫通入D中与二氧化锰反应生成MnSO,同时用E装置 4吸收尾气。 II. 浓硫酸和亚硫酸钠反应生成的二氧化硫气体不含杂质气体,直接通入到三颈烧瓶中与二 氧化锰反应生成MnSO,同时设计有多孔球泡,吸收SO 更充分。 4 2 【KS5U解析】 I.(1)浓盐酸和亚硫酸钠反应生成的二氧化硫气体中含有杂质氯化氢,B中盛放饱和NaHSO 3 溶液除去二氧化硫中的氯化氢;C的作用是做安全瓶,防止倒吸。 Δ (2)装置D中二氧化硫与二氧化锰反应生成MnSO,反应的化学方程式是MnO+SO MnSO。 4 2 2 4 (3)D中二氧化硫与二氧化锰反应生成MnSO,要获得纯净的MnSO·HO,应该观察到三颈烧瓶 4 4 2 中黑色粉末完全消失时停止通入SO。 2 (4)当温度过高时,SO 在水中的溶解度减小,反应速率减慢,所以装置D中水浴温度应控制 2 在80℃左右。 (5)向含有1molNaS的溶液中通入足量的SO,发生反应5SO + 2 NaS + 2 HO == 3 S↓+ 4 2 2 2 2 2 NaHSO,则最多消耗2.5molSO。 3 2 II.(1)根据图示,乙同学设计的装置:操作简单;有多孔球泡,吸收SO 更充分(或氢氧化 2 钠溶液吸收尾气更充分); (2)装置I中烧瓶中放入的药品X不能为铜屑是因为铜与浓硫酸反应需要加热。 28.(2021·宁夏银川市·银川一中高三三模)肉桂酸乙酯是高级防晒霜中必不可少的成分 之一、由于其分子中存在碳碳双键,稳定性较差。研究肉桂酸乙酯的合成一直是热点,制备 原理如下: +CH 3 CH 2 OH    浓 加 硫  热 酸  +H 2 O 已知:物理常数 密度 溶解度 相对分 熔点 沸点 有机物 性状 g·mL- 子质量 /℃ /℃ 1 水 乙醇 乙醚 肉桂酸 148 白色晶体 135 300 1.25 微溶 溶 溶 肉桂酸乙酯 176 无色油状 12 271.5 1.05 不溶 溶 溶 三元共沸物的组成和沸点物质 水 乙醇 环己烷 共沸物 沸点/℃(101kpa) 100 78.3 80.8 62.6 质量分数/% 4.8 19.7 75.5 _ 上层 0.2 5.2 94.6 分水器内液体组成 _ 下层 10.4 18.4 71.2 实验步骤: ①向圆底烧瓶中加入44.4g肉桂酸、25mL无水乙醇和25mL环己烷,在不断振摇下将3mL浓硫 酸分多次加入其中,加完后充分摇匀并加入几粒沸石; ②按照图示组装好仪器(安装分水器),加热圆底烧瓶,开始回流,分水器中出现上下两层; ③停止加热后,将圆底烧瓶中的物质倒入盛有80mL水的烧杯中,分批加入碳酸钠粉末至溶液 呈弱酸性,直至无二氧化碳逸出; ④用分液漏斗分出有机层,水层用25mL乙醚萃取,然后合并至有机层; ⑤…… ⑥首先低温蒸出乙醚,再改用减压蒸馏水浴加热即可得到产品肉桂酸乙酯的体积为35.2mL。 回答下列问题: (1)已经开始回流,发现盛装硫酸的量筒中残留大量硫酸,后续应该如何操作___________。 (2)实验中加入环己烷的作用是___________。 (3)制备肉桂酸乙酯时,反应结束的判断标准为___________。 (4)步骤⑤所对应的操作为___________;减压蒸馏的原因是___________;减压蒸馏时,选 用的冷凝管为___________填字母)。 A.空气冷凝管 B.球形冷凝管 C.直形冷凝管 D.蛇形冷凝管 (5)已知无水乙醇的密度为0.79g·mL-1,该实验中肉桂酸乙酯的产率为___________。(6)产品纯度的分析,取a g所得样品,用乙醇作溶剂,准确配制成250.00 mL溶液,量取 25.00 mL所配溶液转移至锥形瓶中,加入mg氢氧化钠过量,充分反应后,用浓度为c mol·L-1的盐酸滴定,消耗盐酸的体积为V mL,该样品的纯度为___________(列表达式);滴 定时所选用的指示剂为___________(杂质不参与反应)。 【KS5U答案】停止加热,冷却到室温后加入残留的硫酸,重新加入几粒沸石,再开始加热回 流 在较低的温度下形成三元共沸物,既分离出了水,促使平衡正向移动,又减少了乙醇 的挥发,提高了原料的利用率 分水器下层液面不再升高,说明反应结束 干燥、过滤 肉桂酸乙酯沸点,在有碳碳双键的存在的情况下,高温易发生副反应,采用减压蒸馏可以降 低沸点,在较低的温度下进行蒸馏,减少副反应的发生,提高产率 C 70% m ( cv103)10176 40 酚酞(甲基橙) 100% a 【分析】 肉桂酸和乙醇发生酯化反应生成肉桂酸乙酯,中途加药品要先停止加热,冷却至室温后添加; 加入环己烷后,在较低的温度下形成了水、乙醇和环己烷三元共沸物,既能分离出反应生成 的水,使平衡向正反应方向移动,又能减少乙醇的挥发,有利于反应物充分反应,提高乙醇 的利用率;当分水器下层液面不再升高,说明反应没有水生成,反应已经结束;向有机层加 入无水盐除去有机层中的水分,过滤得到有机层;采用减压蒸馏可以降低肉桂酸乙酯的沸点, 在较低的温度下进行蒸馏,减少副反应的发生,提高肉桂酸乙酯的产率;减压蒸馏时,为增 强冷凝效果,便于肉桂酸乙酯顺利流下,应选用直形冷凝管冷凝;由题给信息可计算样品产 率和纯度;据此解答。 【KS5U解析】 (1) 若实验时,分水器中已经开始回流,发现盛装硫酸的量筒中残留大量硫酸,应立即停止 加热,待圆底烧瓶中溶液冷却到室温后,再加入残留的硫酸,重新加入几粒沸石,然后开始 加热回流,故答案为:停止加热,冷却到室温后加入残留的硫酸,重新加入几粒沸石,再开 始加热回流; (2) 由题给信息可知,实验中加入环己烷后,在较低的温度下形成了水、乙醇和环己烷三元 共沸物,既能分离出反应生成的水,使平衡向正反应方向移动,又能减少乙醇的挥发,有利 于反应物充分反应,提高乙醇的利用率,故答案为:在较低的温度下形成三元共沸物,既分 离出了水,促使平衡正向移动,又减少了乙醇的挥发,提高了原料的利用率;(3) 制备肉桂酸乙酯时,当分水器下层液面不再升高,说明反应没有水生成,反应已经结束, 故答案为:分水器下层液面不再升高,说明反应结束; (4) 步骤⑤所对应的操作为向有机层加入无水盐除去有机层中的水分,过滤得到有机层;由 题给信息可知,肉桂酸乙酯沸点为271.5℃,不易挥发,由结构简式可知,肉桂酸乙酯分子 中含有碳碳双键,若蒸馏时温度过高,易发生副反应,采用减压蒸馏可以降低肉桂酸乙酯的 沸点,在较低的温度下进行蒸馏,减少副反应的发生,提高肉桂酸乙酯的产率;减压蒸馏时, 为增强冷凝效果,便于肉桂酸乙酯顺利流下,应选用直形冷凝管冷凝,故答案为:干燥、过 滤;肉桂酸乙酯沸点271.5℃,在有碳碳双键的存在的情况下,高温易发生副反应,采用减 压蒸馏可以降低沸点,在较低的温度下进行蒸馏,减少副反应的发生,提高产率;C; 44.4g (5)由题意可知,肉桂酸的物质的量为148g/mol=0.3mol,乙醇的物质的量为 25mL0.78g/cm3 46g/mol ≈0.42mol>0.3mol,则乙醇过量;0.3mol肉桂酸理论上制得肉桂酸乙 35.2mL1.05g/cm3 176g/mol 酯的物质的量为0.3mol,实验中肉桂酸乙酯的产率为 ×100%=70%,故 0.3mol 答案为:70%; m cV - (6)由题意可知250.00mL溶液中含有肉桂酸乙酯的物质的量为(40 1000)mol×10,则该样 m cV m cV ( - )mol10176g/mol ( - )1760 40 1000 40 1000 品的纯度为 ×100%= ×100%;由于肉桂 1.05g/cm3amL 1.05a 酸乙酯与氢氧化钠溶液反应生成的肉桂酸钠为强酸弱碱盐,在溶液中水解呈碱性,为保证肉 m cV ( - )1760 桂酸乙酯完全反应,应选用酚酞试液做指示剂,故答案为: 40 1000 ×100%;酚 1.05a酞。 29.(2021·山西阳泉市·高三三模)三氯化铬(CrCl)是常用的媒染剂和催化剂,易潮解, 3 高温 易升华,高温下易被氧气氧化。实验室制取CrCl 的反应为CrO(s)+3CCl(g) 3 2 3 4 2CrCl(s)+3COCl(g),其实验装置如下图所示: 3 2 已知:①COCl(俗称光气)有毒,遇水发生水解:COCl+HO=CO+2HCl; 2 2 2 2 CrO 2- Cr O 2- ②碱性条件下,HO 可将Cr3+氧化为 4 ;酸性条件下,HO 将 2 7 还原为Cr3+。 2 2 2 2 请回答下列问题: (1)A中的试剂为_______;无水CaCl 的作用是_______;反应结束后要继续通入一段时间氮 2 气,主要目的是_______。 (2)装置E用来收集产物。实验过程中若D处出现堵塞,可观察到的现象是_______;可通过 _______(填操作)使实验继续进行。 (3)装置G中发生反应的离子方程式为_______。 (4)测定产品中CrCl 质量分数的实验步骤如下: 3 I.取mgCrCl 产品,在强碱性条件下,加入过量的30%HO 溶液,小火加热使CrCl 完全转化 3 2 2 3 2- CrO 为 4 ,继续加热一段时间; II.冷却后加适量的蒸馏水,再滴入适量的浓硫酸和浓磷酸(加浓磷酸的目的是为了防止指示 CrO 2- Cr O 2- 剂提前变色),使 4 转化为 2 7 ; III.用新配制的cmol·L-1(NH)Fe(SO) 标准溶液滴定至终点,消耗(NH)Fe(SO) 标准溶液 4 2 4 2 4 2 4 2 2- Cr O VmL(已知 2 7 被Fe2+还原为Cr3+)。 ①产品中CrCl 质量分数表达式为_______%。 3 ②下列操作将导致产品中CrCl 质量分数测定值偏低的是_______(填字母标号)。 3A.步骤I中未继续加热一段时间 B.步骤III中所用(NH)Fe(SO) 溶液已变质 4 2 4 2 C.步骤II中未加浓磷酸 D.步骤III中读数时,滴定前俯视,滴定后平视 【KS5U答案】浓HSO 防止G中水蒸气进入E及C装置 将 COCl 排入装置 G 中并被 2 4 2 充分吸收,回收尾气 C装置内压强增大,A中导管内液面上升 对D处稍加热 15.85cV % COCl 4OH CO2 2Cl 2H O 3m AC 2 3 2 【分析】 高温 实验室制取CrCl 的反应为CrO(s)+3CCl(g) 2CrCl(s)+3COCl(g),CrCl 易潮解高温 3 2 3 4 3 2 3 下易被氧气氧化,所以要防止装置内在高温条件下不能存在空气,反应结束后继续通入一段 时间氮气,让CrCl 在氮气氛围中冷却,防止空气进入使CrCl 氧化;A中装浓HSO,干燥N 3 3 2 4 2 并防止空气中水蒸气进入C装置;无水CaCl 防止G中水蒸气进入E及C装置;反应结束后继 2 续通入一段时间氮气,将 COCl 排入装置 G 中并被充分吸收,回收尾气; 2 【KS5U解析】 (1)根据题目信息:CrCl 易潮解高温下易被氧气氧化,所以要防止装置内在高温条件下不能 3 存在空气,反应结束后继续通入一段时间氮气,主要目的是让CrCl 在氮气氛围中冷却,防 3 止空气进入使CrCl 氧化;A中装浓HSO,作用是干燥N 并防止空气中水蒸气进入C装置; 3 2 4 2 无水CaCl 的作用是防止G中水蒸气进入E及C装置;反应结束后继续通入一段时间氮气,主 2 要目的是将 COCl 排入装置 G 中并被充分吸收,回收尾气; 2 (2)若D处出现堵塞,则C装置内压强增大,A中导管内液面上升;D处堵塞是因CrCl 升华后 3 在D处凝聚而产生的,故可对D处稍加热,使实验能继续进行; (3)装置G中可以看做是COCl 先与水反应生成二氧化碳和氯化氢,二氧化碳和氯化氢再与氢 2 COCl 4OH CO2 2Cl 2H O 氧化钠反应,故反应方程式为 2 3 2 ; 2CrCl 2CrO2- CrO2- 6(NH ) Fe(SO ) (4)①测定过程中的物质的量的关系为: 3 4 2 7 4 2 4 2,得失 2 电子守恒,原子守恒,产品中CrCl 的物质的量为: cV10-3mol,产品中的CrCl 的质量 3 6 32 cV10-3mol158.5gmol-1 15.85cV 分数表达式为: 6 100%= %; mg 3m 2- Cr O ②A.步骤Ⅰ未继续加热一段时间,过量的HO 在步骤Ⅱ中会将 2 7 还原为Cr3+,则滴定时 2 2 消耗标准溶液(NH)Fe(SO) 体积减小,测定的CrCl 质量分数偏低,A正确; 4 2 4 2 3 B. 步骤Ⅲ中所(NH)Fe(SO) 已变质,则滴定用标准液体积偏大,测出的CrCl 质量分数偏高, 4 2 4 2 3 B错误; C. 步骤Ⅱ中未加浓磷酸,指示剂会提前变色,读取标准液体积小于实际,测出的CrCl 质量 3 分数偏低,C正确; D.步骤Ⅲ中读数时滴定前俯视(读数偏小),滴定后平视,读取标准液的体积偏大。测出的 CrCl 质量分数偏高,D错误。 3 故选AC。