当前位置:首页>文档>(教案)元素周期律_化学课件_高中化学第一册_第四章物质结构元素周期律

(教案)元素周期律_化学课件_高中化学第一册_第四章物质结构元素周期律

  • 2026-04-03 16:10:50 2026-03-30 11:00:34

文档预览

(教案)元素周期律_化学课件_高中化学第一册_第四章物质结构元素周期律
(教案)元素周期律_化学课件_高中化学第一册_第四章物质结构元素周期律
(教案)元素周期律_化学课件_高中化学第一册_第四章物质结构元素周期律
(教案)元素周期律_化学课件_高中化学第一册_第四章物质结构元素周期律
(教案)元素周期律_化学课件_高中化学第一册_第四章物质结构元素周期律
(教案)元素周期律_化学课件_高中化学第一册_第四章物质结构元素周期律
(教案)元素周期律_化学课件_高中化学第一册_第四章物质结构元素周期律
(教案)元素周期律_化学课件_高中化学第一册_第四章物质结构元素周期律
(教案)元素周期律_化学课件_高中化学第一册_第四章物质结构元素周期律
(教案)元素周期律_化学课件_高中化学第一册_第四章物质结构元素周期律
(教案)元素周期律_化学课件_高中化学第一册_第四章物质结构元素周期律
(教案)元素周期律_化学课件_高中化学第一册_第四章物质结构元素周期律
(教案)元素周期律_化学课件_高中化学第一册_第四章物质结构元素周期律
(教案)元素周期律_化学课件_高中化学第一册_第四章物质结构元素周期律
(教案)元素周期律_化学课件_高中化学第一册_第四章物质结构元素周期律
(教案)元素周期律_化学课件_高中化学第一册_第四章物质结构元素周期律
(教案)元素周期律_化学课件_高中化学第一册_第四章物质结构元素周期律
(教案)元素周期律_化学课件_高中化学第一册_第四章物质结构元素周期律
(教案)元素周期律_化学课件_高中化学第一册_第四章物质结构元素周期律
(教案)元素周期律_化学课件_高中化学第一册_第四章物质结构元素周期律
(教案)元素周期律_化学课件_高中化学第一册_第四章物质结构元素周期律
(教案)元素周期律_化学课件_高中化学第一册_第四章物质结构元素周期律
(教案)元素周期律_化学课件_高中化学第一册_第四章物质结构元素周期律
(教案)元素周期律_化学课件_高中化学第一册_第四章物质结构元素周期律
(教案)元素周期律_化学课件_高中化学第一册_第四章物质结构元素周期律
(教案)元素周期律_化学课件_高中化学第一册_第四章物质结构元素周期律

文档信息

文档格式
docx
文档大小
1.373 MB
文档页数
22 页
上传时间
2026-03-30 11:00:34

文档内容

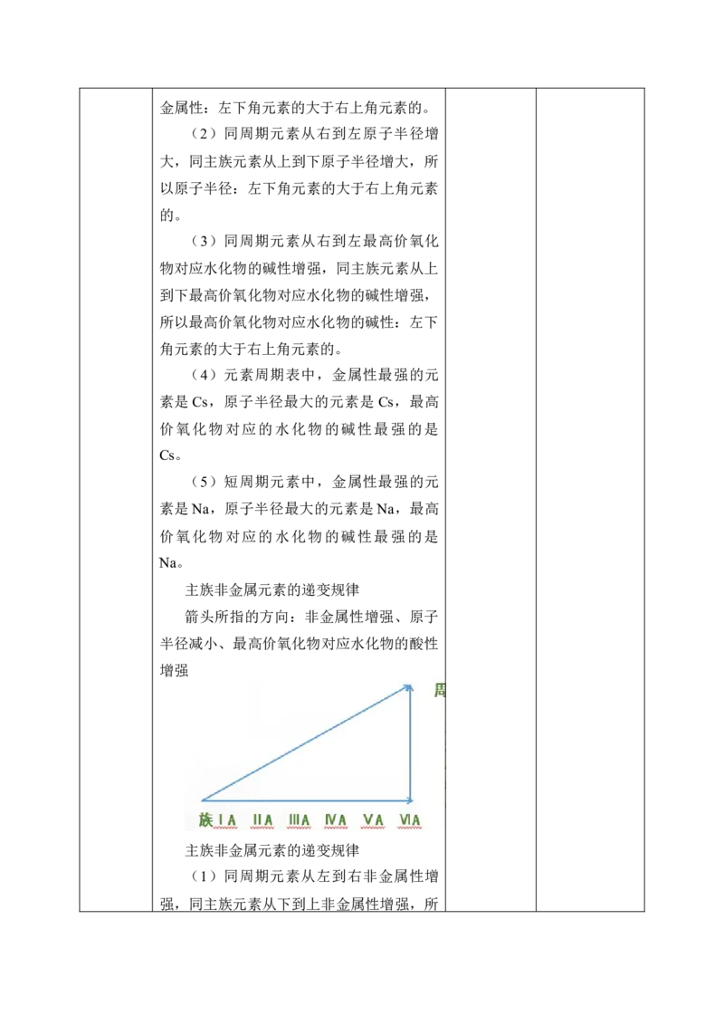
元素周期律 课题 《元素周期 单元 4 学科 化学 年级 高一 律》 宏观辨识与微观探析:从宏观上探究第三周期元素性质的递变规 律,从微观上辨析不同周期元素的性质递变规律,体会微观粒子的变 化对宏观物质的性质的影响。 证据推理与模型认知:通过物质分类的基本模型,理解同周期元素 【教学目标 的相似点,通过结合理论与实际感知化学学习的魅力,为后续的化学 与 核 心 素 知识的学习奠定坚实的方法基础。 养】 科学探究与创新意识:熟悉原子同周期元素伴随原子序数变化产生 的性质的递变规律,熟练掌握通过原子结构分析元素性质的能力,体 会化学研究过程中的科学方法。 科学精神与社会责任:通过对元素原子结构的学习和理解,掌握更 高效的学习方法,建立高效学习的科学精神。 【教学重难 探索第三周期元素性质的递变规律;归纳并掌握同周期元素性质的 点】 递变规律;学习和了解元素周期律的概念。 熟悉并掌握元素周期表中元素的分布;熟悉并掌握元素周期表中元 素的递变规律;熟悉元素周期律的应用及案例。 【教学过程】 【第一课时】 教学环节 教师活动 学生活动 设计意图 导入新课 通过对碱金属、卤素的原子结构和性质 复 习 旧 的研究,我们已经知道元素周期表中同主族 知 , 引 入 新 元素的性质有着相似性和递变性。那么,周 知。 期表中同周期元素的性质有什么变化规律 呢? 讲授新课 一、1~18号元素的特点 观 察 表 了 解 同 周 1~18号元素的特点 格,思考问 期元素的原子 注:稀有气体元素的原子半径测定与相 题。 半径大小及化 邻非金属元素的测定依据不同,数据不具有 总 结 规 合价,探索出 可比性,故不列出。 律 规律。1~18号元素的特点 1~18号元素的特点 设疑:观察下表,思考:随着原子序数 递增,元素原子的核外电子排布、原子半径 和化学价各呈现什么规律性变化? 设疑:观察下表,思考:随着原子序数 递增,元素原子的核外电子排布、原子半径和化学价各呈现什么规律性变化? 随着原子序数的递增,元素原子的核外 电子排布、原子半径和化合价都呈现周期性 变化。核外电子层数相同,原子半径逐渐变 小,化合价逐渐升高。当K层为最外层时, 最多能容纳2个电子数除了K层,其他各层 为最外层时,多能容纳8个电子数。 设疑:元素的金属性和非金属性是否也 随着原子序数的递增而呈现周期性变化? 第三周期元素性质的递变 取一小段镁条,用砂纸除去表面的氧化 膜,放到试管中。向试管中加入 2mL 水, 并滴入2滴酚酞溶液,观察现象。 无明显现象。因为镁和冷水不反应。 过一会儿,加热试管至液体沸腾,观察 现象。与钠和水的反应相比,镁和水的反应 难易程度如何?生成了什么物质?有气体产生,溶液变成红色 反应式:Mg + 2H O —— Mg(OH) + 2 2 H ↑ 2 钠的金属性要比镁大得多,所以与水反 应钠比镁要剧烈得多。所谓金属性就元素的 原子失去电子的能力。元素的金属性越强, 越容易失电子被氧化。 第三周期元素性质的递变 向试管中加入 2mL 1mol/L AlCl 溶液, 3 然后滴加氨水,直到不再产生白色絮状 Al (OH) 沉淀为止。将沉淀分装在两只试管 3 中,向一支试管中滴加2mol盐酸,向另一 只试管中滴加2mol/LNaOH溶液。边滴加边 振荡,观察现象。 Al(OH) 在酸或强碱溶液中都能溶 3 解,表明它既能与酸发生反应,又能与强碱 溶液发生反应。反应的离子方程式分别如 下: Al(OH) + 3H+ —— Al3+ + 3H O 3 2 Al(OH) + OH- —— AlO- + 2H O 3 2 2 金属元素的氢氧化物 钠、镁、铝是金属元素,都能形成氢氧 化物。NaOH 是强碱;Mg(OH) 是中强 2 碱;Al(OH) 是两性氧化物。 3Al(OH) 是两性氧化物,这说明铝虽 3 然是金属,但是已经表现出一定的非金属 性。 非金属元素的水化物 硅、磷、硫、氯是非金属元素,其最高 价氧化物对应的水化物(含氧酸)的酸性强 弱如下: 第三周期元素的递变规律 在第三周期的主族元素中,随着核电荷 数依次增多,金属性逐渐降低,非金属性逐 渐增强。 其他周期元素的递变规律 其他周期的主族元素也是这样。 在同一周期中,各元素的原子核外电子 层数虽然相同,但从左到右,核电荷数依次 增多,原子半径逐渐减小,失电子能力逐渐 减弱,得电子能力逐渐增强。因此,金属性 逐渐减弱,非金属性逐渐增强。元素的金属 性和非金属性随着原子序数的递增而呈周期 性变化。 元素周期律通过大量事实和分析,人们归纳出一条 规律:元素的性质随着原子序数的递增而呈 周期性变化。这一规律叫做元素周期律。 元素性质的周期性变化是元素原子的核 外电子排布周期性变化的必然结果。 练习:元素周期表中,第一周期包含元 素 ___________ ; 第 二 周 期 包 含 元 素 ______________________________;第三周 期包含元素_________________________。 前 三 周 期 中 的 金 属 元 素 有 ___________。 元素周期表中前三周期所含的元素分别 是:第一周期为氢和氦;第二周期为锂、 铍、硼、碳、氮、氧、氟、氖;第三周期为 钠、镁、铝、硅、磷、硫、氯、氩。前三周 期中包含的金属元素有锂、铍、钠、镁、 铝。 练习:2.下列元素的原子半径最大的 是( ) A.Na B.Al C.S D.Cl 选 项 A 中 , 钠 的 原 子 半 径 为 : 0.186nm;选项 B 中,铝的原子半径为 0.163nm;选项 C 中,硫的原子半径为: 0.102nm;选项 D 中,氯的原子半径为 0.099nm。 0.186nm>0.163nm>0.102nm>0.099nm 。 另外,同周期元素,随着原子序数增大,原 子半径逐渐变小,因此可以直接选择A。练习:3.第ⅠA族元素具有相似的化 学性质,其原因是它们的原子具有相同的( ) A.原子半径 B.电子层数 C.核外电子数 D.最外层电子数 元素的化学性质取决于该元素原子的最 外层电子数,同主族元素具有相似的化学性 质。元素的化学性质取决于该元素原子的最 外层电子数,第ⅠA族元素具有相似的化学 性质,是由于它们的原子的最外层电子数都 是1,都容易失去1个电子。因此选D。 练习:4.下列各组性质比较正确的是 ( ) A.酸性: H PO >H SO >HClO 3 4 2 4 4 B.碱性:Al(OH) >Mg(OH) > 3 2 NaOH>KOH C.原子半径:S>P>Si D.热稳定性:HF>HCl>HBr>HI 选项A中,同周期元素的非金属元素从 右到左,最高价氧化物对应水化物的酸性逐 渐减弱 ,所以酸 性: H PO <H SO < 3 4 2 4 HClO ,故A错误; 4 选项 B 中,同周期元素的原子从左到 右,最高价氧化物对应水化物的碱性逐渐减 弱,所以碱性:Al(OH) <Mg(OH) < 3 2 NaOH<KOH,故B错误; 选项 C 中,同周期元素的原子从左到 右,原子半径逐渐减小,原子半径:S<P< Si,故C错误;选项 D 中,同主族元素的原子从上到 下,氢化物的稳定性逐渐减弱,所以热稳定 性:HF>HCl>HBr>HI,故D正确,因此 选D。 课堂小结 板书 1.第三周期元素性质的递变 在第三周期的主族元素中,随着核电荷 数依次增多,金属性逐渐降低,非金属性逐 渐增强。 2.其他周期元素的递变规律 在同一周期中,各元素的原子核外电子 层数虽然相同,但从左到右,核电荷数依次 增多,原子半径逐渐减小,失电子能力逐渐 减弱,得电子能力逐渐增强。因此,金属性 逐渐减弱,非金属性逐渐增强。元素的金属 性和非金属性随着原子序数的递增而呈周期 性变化。 3.元素周期律 通过大量事实和分析,人们归纳出一条 规律:元素的性质随着原子序数的递增而呈 周期性变化。这一规律叫做元素周期律。 【第二课时】 导入新课 元素周期律的发现,对化学的发展有很 大的影响。 作为元素周期律表现形式的元素周期 表,反映了元素之间的内在联系,是学习、 研究和应用化学的一种重要工具。我们可以为元素周期表中的相似元素进 行分区,以此更好的分析和观察不同元素之 间的联系和区别。 讲授新课 第二节 元素周期律 一、元素周期表 元素周期表 虚线左下方是金属元素,虚线右上方是 非金属元素,最右一个纵列是稀有气体元 素。 由于元素的金属性与非金属性之间没有 严格的界限,位于分界线附近的元素既能表 现出一定的金属性,又能表现出一定的非金 属性。 主族元素从上到下,从左到右,元素的 金属性和非金属性存在着一定的递变规律。 一般情况下,元素的化合价和元素在周 期表中的位置有一定的关系。 1.主族元素的最高正化合价等于它所 处的族序数,因为族序数与最外层电子数相 同。 例如:C的最高正化合价是+4,与它所 处的族序数是4相等。 2.非金属元素的最高正化合价,等于原子所能失去或偏移的最外层电子数;而它 的负化合价,则等于使原子达到 8电子稳定 结构所需得到的电子数。所以,非金属元素 的最高正化合价和它的负化合价的绝对值之 和等于8。 例如:C的最高正化合价是+4,负化合 价为-4,两者的绝对值之和为8。 设疑:元素在周期表中的位置对我们认 识新元素有什么帮助吗? 元素在元素周期表中的位置,反映了元 素的原子结构和性质。可以根据元素在周期 表中的位置推测其原子结构和性质,并研究 元素性质的变化规律。 可以根据元素的原子结构推测其在周期 表中的位置和性质。 元素周期律的应用 元素在周期表中的位置,反映了元素的 原子结构以及性质。 ①根据元素在周期表中的位置推测其原 子结构和性质,并研究元素性质的变化规 律; ②根据元素的原子结构可以推测其在周 期表中的位置和性质。 ③科学家依据元素周期律和周期表,对 元素性质进行系统研究,可以为新元素的发 现,以及预测它们的原子结构和性质提供线 索。 周期表中位置靠近的元素性质相近,在 一定区域内寻找元素、发现物质的新用途被 视为一种有效方法。 元素周期律的应用案例案例一:在周期表中,金属与非金属的 分界处可以找到半导体材料,如硅、锗、镓 等。半导体器件的研制正是开始于锗,后来 发展到研制与它同族的硅 元素周期律的应用案例 案例二:通常农药所含有的氟、氯、 硫、磷、砷等元素在周期表中位置靠近,对 这个区域内的元素进行研究,有助于制造出 新品种的农药。 元素周期律的应用案例 案例三:人们还在过渡元素中寻找制造 催化剂和耐高温、耐腐蚀合金的元素。 门捷列夫的预言 门捷列夫在研究元素周期表时,科学地 预言了11种当时尚未发现的元素,为它们 在周期表中留下空位。例如,他认为在铝的 下方有一个与铝类似的元素“类铝”,并预 测了它的性质。1875 年,法国化学家发现 了这种元素,将它命名为镓。 门捷列夫的预言 门捷列夫还预言了锗的存在和性质,多 年后也得到了证实。练习:1.填空 虚线左下方是______元素,虚线右上方 是_______元素,最右一个纵列是_________ 元素。 虚线左下方是金属元素,虚线右上方是 非金属元素,最右一个纵列是稀有气体元 素。 练习:2.下列各组元素中,按最高正 价递增顺序排列的是( ) A.C、N、O B.Li、Na、K C.Cl、Br、I D.Na、Mg、Al 在主族元素中,元素的最高正化合价与 其族序数相等(O、F元素除外),同一周 期元素,元素最高正化合价随着原子序数的 增大而增大(O、F元素除外),同一主族元素,其最高正化合价相等(O、F元素除 外),A.C、N 的最高正化合价分别为 +4、+5,但 O 元素的最高正化合价与其族 序数不等,不符合题意,故 A 错误;B. Li、Na、K元素属于同一主族元素,其最高 正化合价都是+1 价,不符合题意,故 B 错 误;C.Cl、Br、I属于同一主族元素,其最 高正化合价都是+7 价,不符合题意,故 C 错误;D.Na、Mg、Al 最高正价分别为 +1、+2、+3,所以符合题意,故 D正确。 因此选D。 练习:3.元素周期表中某区域的一些 元素多用于制造半导体材料,它们是 ( ) A.左下方区域的金属元素 B.右上方区域的非金属元素 C.金属元素和非金属元素分界线附近 的元素 D.稀有气体元素 选项A中,元素周期表中有金属元素和 非金属元素,其中金属元素位于元素周期表 的左边,可以用来做导体材料,A项错误; 选项B中,非金属元素一般位于元素周期表 的右边,氢元素除外,非金属元素一般不导 电,是绝缘体材料,B项错误;选项C中, 在金属与非金属元素交界处的元素大多数可 用于制作半导体材料,C 项正确;选项 D 中,稀有气体元素属于非金属元素,它们的 性质更稳定,一般不用来做半导体材料,D 项错误。因此选C。 练习:4.下列说法错误的是( )A.门捷列夫认为在铝的下方有一个与 铝类似的元素“类铝”,并预测了它的性质 B.主族元素的最高正化合价等于它所 处的族序数,因为族序数与最外层电子数相 同 C.非金属元素的最高正化合价和它的 负化合价的绝对值之和等于7 D.可以根据元素的原子结构推测其在 周期表中的位置和性质 选项A中,门捷列夫认为在铝的下方有 一个与铝类似的元素“类铝”,并预测了它 的性质,故 A 错误;选项 B 中,主族元素 的最高正化合价等于它所处的族序数,因为 族序数与最外层电子数相同,故 B错误;选 项C中,非金属元素的最高正化合价和它的 负化合价的绝对值之和等于 8,故C正确; 选项D中,可以根据元素的原子结构推测其 在周期表中的位置和性质,故D错误。因此 选C。 课堂小结 板书 板书:1.元素周期表中的元素分布 虚线左下方是金属元素,虚线右上方是 非金属元素,最右一个纵列是稀有气体元 素。 2.元素周期律的应用 ①根据元素在周期表中的位置推测其原 子结构和性质,并研究元素性质的变化规 律;②根据元素的原子结构可以推测其在周 期表中的位置和性质。 ③科学家依据元素周期律和周期表,对 元素性质进行系统研究,可以为新元素的发 现,以及预测它们的原子结构和性质提供线 索。 3.元素周期律的应用案例 ①在周期表中,金属与非金属的分界处 可以找到半导体材料 ②有助于制造出新品种的农药 ③在过渡元素中寻找制造催化剂和耐高 温、耐腐蚀合金的元素 【第三课时】 导入新课 通过对元素周期律的学习,我们发现了 许多规律。那么今天,我们将对这些规律进 行一个系统的归纳和整理。 讲授新课 第二节 元素周期律 一、前20号元素原子结构示意图的4种 基本模型 前20号元素原子结构示意图的4种基本 模型 第一种(Z=1~2): 第二种(3~10): 第三种(11~18):第四种(19~20): 同周期主族元素性质的递变规律 (1)核外电子排布:随着核电荷数增 大,内层电子数不变,最外层电子数逐渐增 多(除第一周期外,每一周期主族元素的最 外层电子数都是从1个增加到7个) 同周期主族元素性质的递变规律 (2)原子半径:随着核电荷数的增 大,原子半径逐渐减小。 同周期主族元素性质的递变规律 (3)最高正化合价:随着核电荷数增 大,最高正化合价从+1 到+7(氧、氟例 外)同周期主族元素性质的递变规律 (4)非金属元素的最低负价:随着核 电荷数的增大,从第四主族到第七主族,化 合价升高(从-4到-1) 同周期主族元素性质的递变规律 (5)金属性、非金属性:随着核电荷 数增大,金属性越来越弱,非金属性越来越 强 在第三周期的主族元素中,随着核电荷 数依次增多,金属性逐渐降低,非金属性逐 渐增强。 同周期主族元素性质的递变规律 (6)元素最高价氧化物对应的水化物 的酸碱性:随着核电荷数增大,元素最高价 氧化物对应的水化物,碱性越来越弱,酸性 越来越强有关元素周期表的认识 (1)元素周期表有多少横行就有多少 周期,但不是有多少列就有多少族 (2)周期是电子层数相同的元素集 合,族是性质相似的元素集合 (3)族是性质相似的元素集合,所以 氦元素排在了0族,而不是ⅡA (4)元素种类最多的族是ⅢB,其次是 Ⅷ族。 (5)元素种类最少的周期是第一周 期,元素种类最多的周期是第六周期 (6)如果原子序数为 x 的元素是的 A 元素,则原子序数为(x+1)的元素可能是 ⅢA元素或ⅢB元素 主族金属元素的递变规律 箭头所指的方向:金属性增强、原子半 径增大、最高价氧化物对应水化物的碱性增 强 主族金属元素的递变规律 (1)同周期元素从右到左金属性增 强,同主族元素从上到下金属性增强,所以金属性:左下角元素的大于右上角元素的。 (2)同周期元素从右到左原子半径增 大,同主族元素从上到下原子半径增大,所 以原子半径:左下角元素的大于右上角元素 的。 (3)同周期元素从右到左最高价氧化 物对应水化物的碱性增强,同主族元素从上 到下最高价氧化物对应水化物的碱性增强, 所以最高价氧化物对应水化物的碱性:左下 角元素的大于右上角元素的。 (4)元素周期表中,金属性最强的元 素是Cs,原子半径最大的元素是 Cs,最高 价氧化物对应的水化物的碱性最强的是 Cs。 (5)短周期元素中,金属性最强的元 素是Na,原子半径最大的元素是 Na,最高 价氧化物对应的水化物的碱性最强的是 Na。 主族非金属元素的递变规律 箭头所指的方向:非金属性增强、原子 半径减小、最高价氧化物对应水化物的酸性 增强 主族非金属元素的递变规律 (1)同周期元素从左到右非金属性增 强,同主族元素从下到上非金属性增强,所以非金属性:右上角元素的大于左下角元素 的。 (2)同周期元素从左到右原子半径减 小,同主族元素从下到上原子半径减小,所 以原子半径:右上角元素的小于左下角元素 的。 (3)同周期元素从左到右最高价氧化 物对应水化物的酸性增强,同主族元素从下 到上最高价氧化物对应水化物的酸性增强, 所以最高价氧化物对应水化物的酸性:右上 角元素的大于左下角元素的。 (4)元素周期表中,非金属性最强的 元素是F,原子半径最小的元素是 H,最高 价氧化物对应的水化物的酸性最强的是Cl。 (5)短周期元素中,非金属性最强的 元素是F,原子半径最小的元素是 H,最高 价氧化物对应的水化物的酸性最强的是Cl。 练习:1.填空 元素周期表的第三周期元素,从左到 右,原子半径逐渐_________;元素的金属 性 逐 渐 _________ , 非 金 属 性 逐 渐 _________。该周期元素中,最高价氧化物 对应的水化物碱性最强的是_________(填 元素符号,下同);最高价氧化物对应的水 化物呈两性的是_________;最高价氧化物 对应的水化物酸性最强的是_________。 元素周期表的第三周期元素,从左到 右,原子半径逐渐减小;元素的金属性逐渐 减弱,非金属性逐渐增强。该周期元素中, 最高价氧化物对应的水化物碱性最强的是 Na(NaOH>Mg(OH) >Al(OH) );最 2 3高价氧化物对应的水化物呈两性的是 Al (Al(OH) );最高价氧化物对应的水化 3 物酸性最强的是Cl(HClO >H SO >H PO ) 4 2 4 3 4 练习:2.比较下列各组元素中金属性 或非金属性的强弱 (1)Na、K;(2)B、Al;(3)P、 Cl;(4)S、Cl;(5)O、S. (1)Na、K处于同主族,同主族自上 而下金属性增强,则金属性:Na<K,故答 案为:金属性 Na<K;(2)B、Al处于同 主族,同主族自上而下金属性增强,则金属 性:B<Al,故答案为:金属性 B<Al; (3)P、Cl 处于同周期,同周期自左而右 非金属性增强,则非金属性:P<Cl,故答 案为:非金属性P<Cl;(4)S、Cl处于同 周期,同周期自左而右非金属性增强,则非 金属性:S<Cl,故答案为:非金属性 S< Cl;(5)O、S处于同一主族,同主族元素 的非金属性逐渐减弱,则非金属性:O> S,故答案为:非金属性O>S。 练习:3.根据元素在周期表中的位 置,判断下列各组化合物的水溶液的酸、碱 性的强弱. (1)H PO 和HNO 酸性___________ 3 4 3 (2)KOH和Mg(OH) 碱性_______ 2 (3)Al(OH) 和 Ca(OH) 碱性 3 2 ________ (1)N和P在同一主族,P在N元素的 下一周期,同一主族元素从上到下元素的非 金属性逐渐减弱,则非金属性 N>P,非金 属性越强,则对应的最高价氧化物的水合物的酸性越强,所以:酸性 H PO <HNO , 3 4 3 故答案为:H PO <HNO ; 3 4 3 (2)K位于第四周期第ⅠA族,Mg位 于第三周期第ⅡA族,同一主族元素从上到 下元素的金属性逐渐增强,同一周期元素从 左到右元素的金属性逐渐减弱,金属性越 弱,则对应的最高价氧化物的水合物的碱性 越弱,则金属性 K>Mg,所以碱性KOH> Mg(OH) ,故答案为:KOH>Mg(OH) 2 ; 2 (3)Ca位于第四周期第IIA族,Al位 于第三周期IIIA族,同一主族元素从上到下 元素的金属性逐渐增强,同一周期元素从左 到右元素的金属性逐渐减弱,金属性越弱, 则对应的最高价氧化物的水合物的碱性越 弱,则金属性Ca>Al,所以碱性Al(OH )3 <Ca(OH) ,故答案为:Al(OH) <Ca 2 3 (OH) 。 2 课堂小结 板书 1.有关元素周期表的认识 2.主族金属元素的递变规律 3.主族非金属元素的递变规律