当前位置:首页>文档>人教版新高考数学二轮复习习题训练--专题突破练9 三角恒等变换与解三角形(word版含解析)_02高考数学_新高考复习资料_2022年新高考资料

人教版新高考数学二轮复习习题训练--专题突破练9 三角恒等变换与解三角形(word版含解析)_02高考数学_新高考复习资料_2022年新高考资料

  • 2026-04-14 23:16:32 2026-04-14 23:16:32

文档预览

人教版新高考数学二轮复习习题训练--专题突破练9 三角恒等变换与解三角形(word版含解析)_02高考数学_新高考复习资料_2022年新高考资料
人教版新高考数学二轮复习习题训练--专题突破练9 三角恒等变换与解三角形(word版含解析)_02高考数学_新高考复习资料_2022年新高考资料
人教版新高考数学二轮复习习题训练--专题突破练9 三角恒等变换与解三角形(word版含解析)_02高考数学_新高考复习资料_2022年新高考资料
人教版新高考数学二轮复习习题训练--专题突破练9 三角恒等变换与解三角形(word版含解析)_02高考数学_新高考复习资料_2022年新高考资料
人教版新高考数学二轮复习习题训练--专题突破练9 三角恒等变换与解三角形(word版含解析)_02高考数学_新高考复习资料_2022年新高考资料
人教版新高考数学二轮复习习题训练--专题突破练9 三角恒等变换与解三角形(word版含解析)_02高考数学_新高考复习资料_2022年新高考资料
人教版新高考数学二轮复习习题训练--专题突破练9 三角恒等变换与解三角形(word版含解析)_02高考数学_新高考复习资料_2022年新高考资料
人教版新高考数学二轮复习习题训练--专题突破练9 三角恒等变换与解三角形(word版含解析)_02高考数学_新高考复习资料_2022年新高考资料
人教版新高考数学二轮复习习题训练--专题突破练9 三角恒等变换与解三角形(word版含解析)_02高考数学_新高考复习资料_2022年新高考资料
人教版新高考数学二轮复习习题训练--专题突破练9 三角恒等变换与解三角形(word版含解析)_02高考数学_新高考复习资料_2022年新高考资料
人教版新高考数学二轮复习习题训练--专题突破练9 三角恒等变换与解三角形(word版含解析)_02高考数学_新高考复习资料_2022年新高考资料

文档信息

文档格式
docx
文档大小
0.086 MB
文档页数
7 页
上传时间
2026-04-14 23:16:32

文档内容

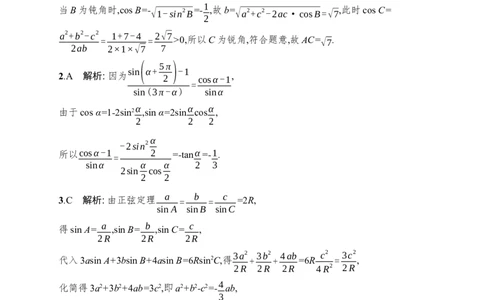
专题突破练 9 三角恒等变换与解三角形 一、单项选择题 √3 √3 1.(2021·深圳高级中学月考)在钝角△ABC中,AB=2,sin B= ,且△ABC的面积是 ,则AC=( ) 2 2 A.√3 B.2 C.√7 D.√3或√7 ( 5π) α 1 sin α+ -1 2.(2021·辽宁大连二模)若tan = ,则 2 =( ) 2 3 sin(3π-α) 1 1 A.- B.-3 C. D.3 3 3 3.(2021·山东日照期中)已知△ABC的三内角A,B,C所对的边分别为a,b,c,其中R为△ABC外接圆的 半径.若3asin A+3bsin B+4asin B=6Rsin2C,则sin Asin B-cos Acos B=( ) 3 2 2 3 A. B. C.- D.- 4 3 3 4 4.(2021·海南二模)古希腊数学家毕达哥拉斯通过研究正五边形和正十边形的作图,发现了黄金分割率, 1-sin18° 黄金分割率的值也可以用2sin 18°表示.若实数n满足4sin218°+n2=4,则 =( ) 8n2sin218° 1 1 √5 √3 A. B. C. D. 4 2 4 2 5.(2021·山东菏泽期末)明朝早期,郑和将中国古代天体测量方面所取得的成就创造性应用于航海,形 成了一套自成体系且行之有效的先进航海技术——“过洋牵星术”.简单地说,就是通过观测不同季 节、时辰的日月星辰在天空运行的位置和测量星辰在海面以上的高度来判断方位,其采用的主要工 具为牵星板,由12块正方形木板组成,最小的一块边长约为2厘米(称一指).观测时,将木板立起,一手 拿着木板,手臂垂直,眼睛到木板的距离大约为72厘米,使牵星板与海平面垂直,让板的下边缘与海平 面重合,上边缘对着所观测的星辰,与其相切,依高低不同替换、调整木板,木板上边缘与被观测星辰 重合时所用的是几指板,观测的星辰离海平面的高度就是几指,然后就可以推算出船在海中的地理纬 度.如图所示,若在一次观测中,所用的牵星板为九指板,则sin 2α=( ) 12 √17 8 8 A. B. C. D. 35 17 17 15 3 1 6.(2021·河北邯郸期末)已知cos α+sin 2β= ,sin α+sin βcos β= ,则cos(α+2β)=( ) 2 3 4 5 5 5 A. B. C. D.- 9 9 36 187. (2021·湖南长沙模拟)小李在某大学测绘专业学习,节日回家,来到一个池塘边(如图阴影部分),为了 测量该池塘两侧C,D两点间的距离,除了观测点C,D外,他又选了两个观测点P,P,且PP=a,已经测 1 2 1 2 得∠PPD=α,∠PPD=β,由于条件不足,需要再观测新的角,则利用已知观测数据和下面三组新观测 1 2 2 1 的角的其中一组,就可以求出C,D间距离的是( ) ①∠DPC和∠DCP ;②∠PPC和∠PCP ;③∠PDC和∠DCP . 1 1 1 2 1 2 1 1 A.①② B.①③ C.②③ D.①②③ 8. (2021·吉林月考)如图,正三角形ABC的边长为4,D,E,F分别在边AB,BC和CA上(异于端点),且D为 AB的中点.若∠EDF=120°,则四边形CFDE的面积为( ) 5√3 A.2√3 B. 2 C.3√3 D.无法确定 二、多项选择题 A+B 9.(2021·山东师大附中期末)若△ABC的内角A,B,C所对的边分别为a,b,c,且满足b-2a+4asin2 2 =0,则下列结论正确的是( ) A.角C一定为锐角 B.a2+2b2-c2=0 √3 C.3tan A+tan C=0 D.tan B的最小值为 3 三、填空题 π sinB 10.(2021·北京延庆模拟)已知△ABC的面积为2 ,AB=2,B= ,则 = . √3 3 sinC π 11.(2021·山西运城模拟)已知tan θ,tan -θ 是方程x2+ax-3=0的两个根,则a= . 4 12.(2021·广东揭阳一模)已知△ABC的内角A,B,C所对的边分别为a,b,c,且满足a=2,a2=2b2+c2,则 △ABC的面积的最大值为 . 13.(2021·山东潍坊一模)某市为表彰在脱贫攻坚工作中做出突出贡献的先进单位,制作了一批奖杯,奖杯 的剖面图形如图所示,其中扇形OAB的半径为10,∠PBA=∠QAB=60°,AQ=QP=PB,工艺制造厂发现, 若按此方案设计,当OP最长时,该奖杯比较美观,此时∠AOB= .专题突破练 9 三角恒等变换与解:三角形 1.C 解析: 设内角A,B,C所对的边分别为a,b,c. √3 1 √3 依题意,三角形ABC是钝角三角形,c=2,sin B= ,S = acsin B= ,解得a=1,a0,所以C为锐角,符合题意,故AC= √7 . 2ab 2×1×√7 7 ( 5π) sin α+ -1 2.A 解析: 因为 , 2 cosα-1 = sin(3π-α) sinα α α α 由于cos α=1-2sin2 ,sin α=2sin cos , 2 2 2 α -2sin2 所以cosα-1 2 =-tanα=-1. = sinα α α 2 3 2sin cos 2 2 a b c 3.C 解析: 由正弦定理 = = =2R, sin A sinB sinC a b c 得sin A= ,sin B= ,sin C= , 2R 2R 2R 3a2 3b2 4ab c2 3c2 代入3asin A+3bsin B+4asin B=6Rsin2C,得 + + =6R = , 2R 2R 2R 4R2 2R 4 化简得3a2+3b2+4ab=3c2,即a2+b2-c2=- ab, 3 4 所以cos C= a2+b2-c2 - 3 ab =-2. = 3 2ab 2ab 2 故sin Asin B-cos Acos B=-cos(A+B)=cos C=- . 34.A 解析: 1-sin18° 1-sin18° 1-sin18° 1-sin18° 1-sin18° 1-sin18° 1 = = = = = = 8n2sin218° 8sin218°(4-4sin218°) 8sin218°×4cos218° 8sin236° 1-cos72° 4(1-cos72°) 4 8× 2 5.C 解析: 由题图,知角α所对直角边长为18厘米,相邻直角边长为72厘米,则斜边长为 18√17厘米. 1 4 于是sin α= ,cos α= , √17 √17 1 4 8 ∴sin 2α=2sin αcos α=2× × = . √17 √17 17 3 1 6.C 解析: 由cos α+sin2β= 知2cos α-cos 2β=2①,因为sin α+sin βcos β= ,所以2sin 2 3 2 4 5 α+sin 2β= ②,将①②两个等式平方相加得4+1-4cos(2β+α)=4+ ,解得cos(α+2β)= . 3 9 36 7.D 解析: 根据题意, P P D的三个角和三条边均可以求出,①中, 1 2 CD DP DP sin∠DP C = 1 △ ,故CD= 1 1 ,故①可以求出CD;③与①条件等价. sin∠DP C sin∠DCP sin∠DCP 1 1 1 P P P C asin∠P P C ②中,在△P P C中, 1 2 = 1 ,故P C= 1 2 ,在△P CD中,利用 1 2 1 1 sin∠P CP sin∠P P C sin∠P CP 1 2 1 2 1 2 余弦定理求解CD即可. 8.C 解析: 设∠BDE=θ(0<θ<60°),在△BDE中,由正弦定理得DE= BDsin60° = √3 ,则S BDE = 1 DE·DBsin θ= √3sinθ . sin(120°-θ) sin(60°+θ) 2 sin(60°+θ) △ ADsin60° √3 在△ADF中,∠FDA=60°-θ,由正弦定理得DF= = , sin(60°+θ) sin(60°+θ) 1 √3sin(60°-θ) S = DF·ADsin(60°-θ)= , ADF 2 sin(60°+θ) △ (√3 1 ) √3 cosθ+ sinθ 所以S +S = √3sinθ √3sin(60°-θ) 2 2 , BDE ADF + = =√3 sin(60°+θ) sin(60°+θ) √3 1 △ △ cosθ+ sinθ 2 2 所以四边形CFDE的面积为S -(S +S )=4√3−√3=3√3. ABC ADF BDE 9.BC 解析: ∵b-2a+4asin2 A+△B =0,∴ △ b-2a △ +4asin2(π - C) =0,∴b-2a+4acos2 C 2 2 2 2 1+cosC =0,∴b-2a+4a· =0, 2 ∴b+2acos C=0,∴cos C<0,∴角C一定为钝角,A错误;a2+b2-c2 b+2acos C=0 b+2a· =0 a2+2b2-c2=0,B正确; 2ab b+2acos C=0 ⇒ sin B+2sin Acos C= ⇒ 0 3sin Acos C+cos Asin C=0 3tan A+tan C=0,C正确; tan A+tanC -2tan A 2 √3 tan B=-tan(A+ ⇒ C)= = ⇒ = ≤⇒ ,经检验“=”取得 tan AtanC-1 -3tan2A-1 1 3 3tan A+ tan A 到,D错误,综上选BC. 1 1 10. 解析: 设内角A,B,C所对的边分别为a,b,c,则AB=2=c,S = acsin B= ×a×2× √3 ABC 2 2 △ √3 =2 ,解得a=4, √3 2 1 ∴b2=a2+c2-2accos B=16+4-2×4×2× =12, 2 sinB b 2√3 ∴b=2 √3 ,∴ = = =√3. sinC c 2 11.-4 解析: 因为tan θ,tan (π -θ )是方程x2+ax-3=0的两个根,所以tan θ+tan (π -θ ) =- 4 4 (π ) tanθ+tan -θ a,tan θtan(π -θ )=-3,Δ=a2-4×(-3)≥0,所以tan π =tan [ θ+ (π -θ )] = 4 =- a 4 4 4 (π ) 4 1-tanθtan -θ 4 =1,故a=-4. 2 b 12. 解析: 由余弦定理及题意可得a2=b2+c2-2bccos A=2b2+c2=4,所以cos A=- ,则sin 3 2c √4c2-b2 1 b√4c2-b2 3b√4c2-b2 9b2+4c2-b2 2 A= ,则△ABC的面积S= bcsin A= = ≤ = . 2c 2 4 12 24 3 π 13. 2 解析: 由题意可知,四边形ABPQ为等腰梯形.如图,连接OP,过点O作OM⊥QP垂足为点 M,交AB于点C,则OC⊥AB,OM平分∠AOB,M为线段PQ的中点.设∠AOC=θ, 则AB=20sin θ,OC=10cos θ, 设AQ=QP=BP=x,过点Q作QE⊥AB垂足为点E,过点P作PF⊥AB垂足为点F,因为 1 √3 ∠PBA=∠QAB=60°,所以AE=BF= x,CM=PF= x,EF=QP=x,所以AB=2x,所以 2 2√3 AB=20sin θ=2x,即x=10sin θ,所以OM=OC+CM=10cos θ+ x=10cos θ+5 sin θ,所以 √3 2 OP2=OM2+MP2=(10cos θ+5√3sin θ)2+(5sin θ)2=100cos2θ+75sin2θ+100√3sin θcos θ+25sin2θ=100+50√3sin 2θ, π π 因为sin 2θ∈[-1,1],所以当sin 2θ=1即θ= 时,OP2最大,也就是OP最长,此时∠AOB= . 4 2