当前位置:首页>文档>精品解析:2023年黑龙江省牡丹江市中考数学真题(原卷版)_new_北师大初中数学_9下-北师大版初中数学_05习题试卷_6中考真题_2023各地中考真题

精品解析:2023年黑龙江省牡丹江市中考数学真题(原卷版)_new_北师大初中数学_9下-北师大版初中数学_05习题试卷_6中考真题_2023各地中考真题

  • 2026-04-15 07:18:58 2026-04-15 07:09:56

文档预览

精品解析:2023年黑龙江省牡丹江市中考数学真题(原卷版)_new_北师大初中数学_9下-北师大版初中数学_05习题试卷_6中考真题_2023各地中考真题
精品解析:2023年黑龙江省牡丹江市中考数学真题(原卷版)_new_北师大初中数学_9下-北师大版初中数学_05习题试卷_6中考真题_2023各地中考真题
精品解析:2023年黑龙江省牡丹江市中考数学真题(原卷版)_new_北师大初中数学_9下-北师大版初中数学_05习题试卷_6中考真题_2023各地中考真题
精品解析:2023年黑龙江省牡丹江市中考数学真题(原卷版)_new_北师大初中数学_9下-北师大版初中数学_05习题试卷_6中考真题_2023各地中考真题
精品解析:2023年黑龙江省牡丹江市中考数学真题(原卷版)_new_北师大初中数学_9下-北师大版初中数学_05习题试卷_6中考真题_2023各地中考真题
精品解析:2023年黑龙江省牡丹江市中考数学真题(原卷版)_new_北师大初中数学_9下-北师大版初中数学_05习题试卷_6中考真题_2023各地中考真题
精品解析:2023年黑龙江省牡丹江市中考数学真题(原卷版)_new_北师大初中数学_9下-北师大版初中数学_05习题试卷_6中考真题_2023各地中考真题
精品解析:2023年黑龙江省牡丹江市中考数学真题(原卷版)_new_北师大初中数学_9下-北师大版初中数学_05习题试卷_6中考真题_2023各地中考真题
精品解析:2023年黑龙江省牡丹江市中考数学真题(原卷版)_new_北师大初中数学_9下-北师大版初中数学_05习题试卷_6中考真题_2023各地中考真题
精品解析:2023年黑龙江省牡丹江市中考数学真题(原卷版)_new_北师大初中数学_9下-北师大版初中数学_05习题试卷_6中考真题_2023各地中考真题
精品解析:2023年黑龙江省牡丹江市中考数学真题(原卷版)_new_北师大初中数学_9下-北师大版初中数学_05习题试卷_6中考真题_2023各地中考真题
精品解析:2023年黑龙江省牡丹江市中考数学真题(原卷版)_new_北师大初中数学_9下-北师大版初中数学_05习题试卷_6中考真题_2023各地中考真题

文档信息

文档格式
docx
文档大小
0.653 MB
文档页数
8 页
上传时间
2026-04-15 07:09:56

文档内容

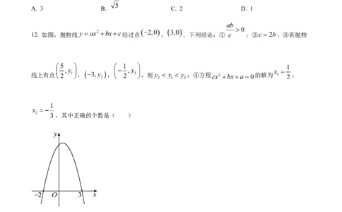
2023 年牡丹江市初中毕业学业考试数学试卷 考生注意: 1.考试时间120分钟; 2.全卷共三道大题,总分120分; 3.所有试题请在答题卡上作答,在试卷上答题无效. 一、单项选择题(本题12个小题,每小题3分,共36分) 1. 下列图形中,既是中心对称图形,又是轴对称图形的是( ) A. B. C. D. 2. 函数 中,自变量x的取值范围是( ) A. B. C. D. 3. 下列计算正确的是( ) A. B. C. D. 4. 如图,A,B,C为 上的三个点, ,若 ,则 的度数是( ) A. B. C. D. 5. 一组数据1,x,5,7有唯一众数,且中位数是6,则平均数是( ) A. 6 B. 5 C. 4 D. 3 6. 由若干个完全相同的小正方体搭成的几何体的主视图和左视图如图所示,则搭成该几何体所用的小正方 体的个数最多是( )A. 6 B. 7 C. 8 D. 9 7. 观察下面两行数: 取每行数的第7个数,计算这两个数的和是( ) A. 92 B. 87 C. 83 D. 78 8. 如图,正方形 的顶点A,B在y轴上,反比例函数 的图象经过点C和 的中点E,若 ,则k的值是( ) . A 3 B. 4 C. 5 D. 6 9. 若分式方程 的解为负数,则a的取值范围是( ) A. 且 B. 且 C. 且 D. 且 10. 用一个圆心角为 ,半径为8的扇形作一个圆锥的侧面,则这个圆锥的底面直径是( ) A. 6 B. 5 C. 4 D. 3 11. 在以“矩形的折叠”为主题的数学活动课上,某位同学进行了如下操作: 第一步:将矩形纸片的一端,利用图①的方法折出一个正方形 ,然后把纸片展平;第二步:将图①中的矩形纸片折叠,使点C恰好落在点F处,得到折痕 ,如图②. 根据以上 的操作,若 , ,则线段 的长是( ) A. 3 B. C. 2 D. 1 12. 如图,抛物线 经过点 , .下列结论:① ;② ;③若抛物 线上有点 , , ,则 ;④方程 的解为 , ,其中正确的个数是( ) A. 4 B. 3 C. 2 D. 1 二、填空题(本题8个小题,每小题3分,共24分) 13. 目前,中国国家版本馆中央总馆入藏版本量共 余册.数据 用科学记数法表示为 ________. 14. 如图, , 与 交于点O,请添加一个条件________,使 .(只填一种情况即可) 15. 如图,将 的 按下面的方式放置在一把刻度尺上:顶点O与尺下沿的端点重合, 与尺下 沿重合, 与尺上沿的交点B在尺上的读数恰为 ,若按相同的方式将 的 放置在该刻 度尺上,则 与尺上沿的交点C在尺上的读数为________ . 16. 甲,乙两名同学玩“石头、剪子、布”的游戏,随机出手一次,甲获胜的概率是________. 17. 张师傅去年开了一家超市,今年2月份开始盈利,3月份盈利5000元,5月份盈利达到7200元,从3 月到5月,每月盈利的平均增长率都相同,则每月盈利的平均增长率是________. 18. 将抛物线 向下平移1个单位长度,再向右平移________个单位长度后,得到的新抛物线经 过原点. 19. 如图,在平面直角坐标系中,菱形 的顶点A,B在x轴上, , , , 将菱形 绕点A旋转 后,得到菱形 ,则点 的坐标是________. 20. 如图,在正方形 中,E在边 上, 交对角线 于点F, 于M, 的平分线所在直线分别交 , 于点N,P,连接 .下列结论:① ;② ;③ ;④若 , ,则 ,其中正确的是________. 三、解答题(共60分) 21. 先化简,再求值: ,其中 . 22. 如图,抛物线 与x轴交于点 , ,与y轴交于点C. (1)求抛物线对应的函数解析式,并直接写出顶点P的坐标; (2)求 的面积. 注:抛物线 的对称轴是直线 ,顶点坐标是 . 23. 在 中, , , ,D为 的中点,以 为直角边作含 角的 , ,且点E与点A在 的同侧,请用尺规或三角板作出符合条件的图形,并直 接写出线段 的长. 24. 第二十二届中国绿色食品博览会上,我省采用多种形式,全方位展示“寒地黑土”“绿色有机”金字招牌,大力推介以下绿色优质农产品: .“龙江奶”; .“龙江肉”; .“龙江米”; .“龙江 杂粮”; .“龙江菜”; .“龙江山珍”等,为了更好地了解某社区对以上六类绿色优质农产品的关 注程度,某校学生对社区居民进行了抽样调查(每位居民只选最关注的一项),根据调查统计结果,绘制 了如图所示的不完整统计图.请根据两幅统计图中的信息,解答下列问题: (1)本次参与调查的居民有多少人? 的 (2)补全条形统计图,在扇形统计图中 类 百分比是______; (3)如果该社区有 人,估计关注“龙江杂粮”的居民有多少人? 25. 在一条高速公路上依次有A,B,C三地,甲车从A地出发匀速驶向C地,到达C地休息 后调头 (调头时间忽略不计)按原路原速驶向B地,甲车从A地出发 后,乙车从C地出发匀速驶向A地,两 车同时到达目的地.两车距A地路程 与甲车行驶时间 之间的函数关系如图所示.请结合图象信息, 解答下列问题: (1)甲车行驶的速度是_____ ,乙车行驶的速度是_____ . (2)求图中线段 所表示的y与x之间的函数解析式,并直接写出自变量x的取值范围; (3)乙车出发多少小时,两车距各自出发地路程的差是 ?请直接写出答案.26. 中, ,垂足为E,连接 ,将 绕点E逆时针旋转 ,得到 ,连接 . (1)当点E在线段 上, 时,如图①,求证: ; (2)当点E在线段 延长线上, 时,如图②:当点E在线段 延长线上, 时,如图③,请猜想并直接写出线段AE,EC,BF的数量关系; 的 (3)在(1)、(2) 条件下,若 , ,则 _______. 27. 某商场欲购进A和B两种家电,已知B种家电的进价比A种家电的进价每件多100元,经计算,用1 万元购进A种家电的件数与用1.2万元购进B种家电的件数相同.请解答下列问题: (1)这两种家电每件的进价分别是多少元? (2)若该商场欲购进两种家电共100件,总金额不超过53500元,且A种家电不超过67件,则该商场有 哪几种购买方案? (3)在(2)的条件下,若A和B两种家电的售价分别是每件600元和750元,该商场从这100件中拿出 两种家电共10件奖励优秀员工,其余家电全部售出后仍获利5050元,请直接写出这10件家电中B种家电 的件数. 28. 如图,在平面直角坐标系中, 的顶点B,C在x轴上,D在y轴上, , 的长是方程 的两个根( ).请解答下列问题:(1)求点B的坐标; (2)若 ,直线 分别交x轴、y轴、 于点E,F,M,且M是 的中点,直 线 交 延长线于点N,求 的值; 的 (3)在(2) 条件下,点P在y轴上,在直线EF上是否存在点Q,使 是腰长为5的等腰三角形? 若存在,请直接写出等腰三角形的个数和其中两个点Q的坐标;若不存在,请说明理由.