当前位置:首页>文档>7实验二 探究弹力和弹簧伸长的关系 随堂检测巩固落实_04高考物理_新高考复习资料_2022年新高考复习资料_高考物理2022年一轮复习各版本_第二章 相互作用_454

7实验二 探究弹力和弹簧伸长的关系 随堂检测巩固落实_04高考物理_新高考复习资料_2022年新高考复习资料_高考物理2022年一轮复习各版本_第二章 相互作用_454

  • 2026-04-18 04:09:10 2026-04-18 04:09:10

文档预览

7实验二 探究弹力和弹簧伸长的关系 随堂检测巩固落实_04高考物理_新高考复习资料_2022年新高考复习资料_高考物理2022年一轮复习各版本_第二章 相互作用_454
7实验二 探究弹力和弹簧伸长的关系 随堂检测巩固落实_04高考物理_新高考复习资料_2022年新高考复习资料_高考物理2022年一轮复习各版本_第二章 相互作用_454
7实验二 探究弹力和弹簧伸长的关系 随堂检测巩固落实_04高考物理_新高考复习资料_2022年新高考复习资料_高考物理2022年一轮复习各版本_第二章 相互作用_454
7实验二 探究弹力和弹簧伸长的关系 随堂检测巩固落实_04高考物理_新高考复习资料_2022年新高考复习资料_高考物理2022年一轮复习各版本_第二章 相互作用_454
7实验二 探究弹力和弹簧伸长的关系 随堂检测巩固落实_04高考物理_新高考复习资料_2022年新高考复习资料_高考物理2022年一轮复习各版本_第二章 相互作用_454
7实验二 探究弹力和弹簧伸长的关系 随堂检测巩固落实_04高考物理_新高考复习资料_2022年新高考复习资料_高考物理2022年一轮复习各版本_第二章 相互作用_454

文档信息

文档格式
doc
文档大小
0.266 MB
文档页数
3 页
上传时间
2026-04-18 04:09:10

文档内容

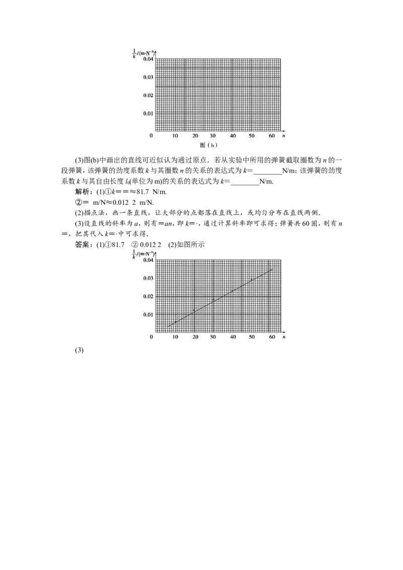
1.(2019·深圳高三模拟)某同学利用如图甲装置做“探究弹簧弹力大小与其长度的关 系”的实验. (1)在安装刻度尺时,必须使刻度尺保持________状态. (2)他通过实验得到如图乙所示的弹力大小F与弹簧长度x的关系图象.由此图象可得 该弹簧的原长x=________cm,劲度系数k=________N/m. 0 (3)他又利用本实验原理把该弹簧做成一把弹簧测力计,当弹簧测力计上的示数如图丙 所示时,该弹簧的长度x=________cm. 解析:(2)x 为乙图中F=0时的x值,即x=4 cm. 0 0 k== N/m=50 N/m. (3)测力计示数F=3.0 N,由乙图知弹簧长度x=10 cm. 答案:(1)竖直 (2)4 50 (3)10 2.为了探究弹簧弹力F和弹簧伸长量x的关系,李强同学选了甲、乙两根规格不同的弹 簧进行测试,根据测得的数据绘出如图所示的图象. (1)从图象上看,该同学没能完全按实验要求做,使图象上端成为曲线,图象上端成为曲 线是因为______________________________. (2)这两根弹簧的劲度系数分别为:甲弹簧为______ N/m,乙弹簧为________ N/m.若要 制作一个精确度相对较高的弹簧测力计,应选弹簧________(选填“甲”或“乙”). 解析:(1)在弹性限度范围内弹簧的弹力与形变量成正比,超过弹簧的弹性限度范围,则 此规律不成立,所以所给的图象上端成为曲线,是因为形变量超过弹簧的弹性限度. (2)甲、乙两根弹簧的劲度系数分别为: k == N/m≈66.7 N/m 甲 k == N/m=200 N/m 乙 要制作一个精确程度较高的弹簧测力计,应选用一定的外力作用时形变量大的弹簧,故 选甲弹簧. 答案:(1)形变量超过弹簧的弹性限度 (2)66.7 200 甲 3.(2019·上饶高三模拟)在探究弹力和弹簧伸长的关系时,某同学先按图(a)对弹簧甲进 行探究,然后把弹簧甲和弹簧乙并联起来按图(b)进行探究.在弹性限度内,将质量为m=50 g的钩码逐个挂在弹簧下端,分别测得图(a)、图(b)中弹簧的长度L、L 如表所示. 1 2钩码个数 1 2 3 4 L/cm 30.00 31.04 32.02 33.02 1 L/cm 29.33 29.65 29.97 30.30 2 已知重力加速度g=10 m/s2,计算弹簧甲的劲度系数k=________N/m,由表中数据 ________(填“能”或“不能”)计算出弹簧乙的劲度系数. 解析:分析图(a)中,钩码数量和弹簧伸长量的关系为每增加一个钩码,弹簧长度伸长约1 cm,所以弹簧劲度系数k====50 N/m.分析图(b)中可得,每增加一个钩码,弹簧伸长约 1 0.32 cm,即k×0.003 2+k×0.003 2=mg,根据弹簧甲的劲度系数可以求出弹簧乙的劲度 1 2 系数. 答案:50 能 4.某实验小组探究弹簧的劲度系数k与其长度(圈数)的关系.实验装置如图(a)所示:一 均匀长弹簧竖直悬挂,7个指针P、P、P、P、P、P、P 分别固定在弹簧上距悬点0、10、20、 0 1 2 3 4 5 6 30、40、50、60圈处;通过旁边竖直放置的刻度尺,可以读出指针的位置,P 指向0刻度.设弹 0 簧下端未挂重物时,各指针的位置记为x;挂有质量为0.100 kg的砝码时,各指针的位置记 0 为x.测量结果及部分计算结果如下表所示(n为弹簧的圈数,取重力加速度为9.80 m/s2).已知 实验所用弹簧总圈数为60,整个弹簧的自由长度为11.88 cm. P P P P P P 1 2 3 4 5 6 x(cm) 2.04 4.06 6.06 8.05 10.03 12.01 0 x(cm) 2.64 5.26 7.81 10.30 12.93 15.41 n 10 20 30 40 50 60 k(N/m) 163 ① 56.0 43.6 33.8 28.8 (m/N) 0.006 1 ② 0.017 9 0.022 9 0.029 6 0.034 7 (1)将表中数据补充完整:①________,②________. (2)以n为横坐标,为纵坐标,在图(b)给出的坐标纸上画出-n图象.(3)图(b)中画出的直线可近似认为通过原点.若从实验中所用的弹簧截取圈数为n的一 段弹簧,该弹簧的劲度系数k与其圈数n的关系的表达式为k=________N/m;该弹簧的劲度 系数k与其自由长度l(单位为m)的关系的表达式为k=________N/m. 0 解析:(1)①k==≈81.7 N/m. ②= m/N≈0.012 2 m/N. (2)描点法,画一条直线,让大部分的点都落在直线上,或均匀分布在直线两侧. (3)设直线的斜率为a,则有=an,即k=·,通过计算斜率即可求得;弹簧共60圈,则有n =,把其代入k=·中可求得. 答案:(1)①81.7 ②0.012 2 (2)如图所示 (3)