下午群里面同学问了下面的问题, 说ly给的构造微分方程的方法很不容易想到. 其实我们只要积累一个基本模型, 那么选一种你喜欢的方法记忆就可以了.
题目
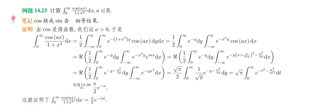
计算
回忆

当然, 上面积分也是留数定理经典积分, 构造微分方程也是方法之一, 读者可自行查阅学习背诵.
证明
由例题可得
于是
我们为你大学生数学竞赛进决赛,考研数学上岸兜底!
我们不仅教你数学技术, 更教你数学经验, 数学素养, 数学规范, 考研应试和复试面试经验等 十年培养上千名学员考研上岸, 数百名大学生数学竞赛国一. 诞生二十多位考研竞赛老师. 以0基础出发, 全面系统讲解所有考研竞赛应试技术和方法. 带你从本科一年级学到研究生结束的数学课程. 答疑范围覆盖整个本科数学, 对高中生也是最佳课程.
如遇风险管控,可以下载cctalk的app支付.


夜雨聆风