文档
办公文件
生活文档
学习资料
当前位置:
首页
>
文档
>2022年数学三真题答案解析_数学三真题+解析[87-25]_数学三解析
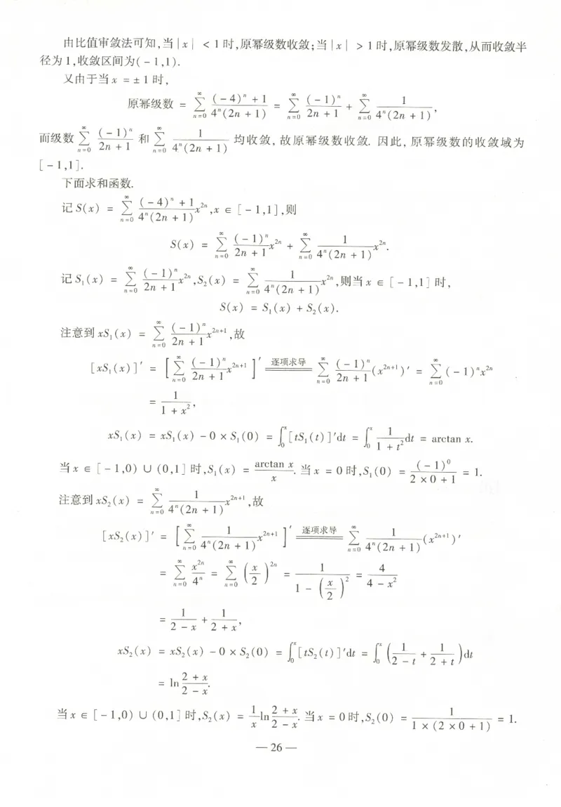
2022年数学三真题答案解析_数学三真题+解析[87-25]_数学三解析
2026-02-18 23:23:38
2026-02-04 18:14:43
文档预览
文档信息
文档格式
pdf
文档大小
29.570 MB
文档页数
26 页
上传时间
2026-02-04 18:14:43
下载文档
本文档来自网络内容,如有侵犯您的权益请联系我们删除,联系邮箱:wyl860211@qq.com。
上一篇
新法PPT_2026考公资料_超格合集_公考-理论班2026超格行测申论(六合一)理论实战班_政治理论&常识理论实战班璐璐&超哥_常识判断_课件
下一篇
2022考研数一真题答案_数学一真题+解析[87-25]_数学一解析
最新文档
题型04图表分析(原卷版)_02中考总复习(2026版更新中)_08-生物-中考总复习_2024年中考复习资料_专项复习_备战2024年中考生物真题题源解密
题型04化学计算题(解析版)_02中考总复习(2026版更新中)_05-化学-中考总复习_2025年中考复习资料_备战2025年中考化学真题题源解密
大2轮专题复习讲义目录_9.2025地理总复习_2023年新高考复习资料_二轮复习_2023年高考地理二轮复习讲义+课件(新高考版)_2023年高考地理二轮复习讲义(新高考版)_学生版
复习讲义答案精析_9.2025地理总复习_2025年新高考资料_一轮复习_2025高考大一轮复习讲义+练习(完结)_2025高考大一轮复习地理(湘教版)_答案精析
题型04化学计算题(原卷版)_02中考总复习(2026版更新中)_05-化学-中考总复习_2025年中考复习资料_备战2025年中考化学真题题源解密
题型04 项目式探究2025年中考生物学专题复习(含答案)_02中考总复习(2026版更新中)_08-生物-中考总复习_2025中考复习资料_2025年中考生物学题型+专项专题复习(含答案)
题型03资料分析题解题技巧(解析版)_02中考总复习(2026版更新中)_08-生物-中考总复习_2025中考复习资料_2025年中考生物答题方法模板
题型03资料分析题解题技巧(原卷版)_02中考总复习(2026版更新中)_08-生物-中考总复习_2025中考复习资料_2025年中考生物答题方法模板
题型03工艺流程题(解析版)_02中考总复习(2026版更新中)_05-化学-中考总复习_2025年中考复习资料_备战2025年中考化学真题题源解密
堰塞湖-2023年高三地理二轮小专题练习(新课标)(解析版)_9.2025地理总复习_2023年新高考复习资料_二轮复习_寒假小练2023年高三地理二轮小专题练习(新课标)291470456
热门文档
题型03工艺流程题(解析版)_02中考总复习(2026版更新中)_05-化学-中考总复习_2024年中考复习资料_三轮复习_查漏补缺2024年中考化学复习冲刺过关(全国通用)_查补能力•提升练
堰塞湖-2023年高三地理二轮小专题练习(新课标)(原卷版)_9.2025地理总复习_2023年新高考复习资料_二轮复习_寒假小练2023年高三地理二轮小专题练习(新课标)291470456
培优冲刺专练04考前押题专练(解析版)_9.2025地理总复习_2024年新高考资料_5.2024三轮冲刺_查漏补缺2024年高考地理复习冲刺过关(新高考通用)
培优冲刺专练04考前押题专练(原卷版)_9.2025地理总复习_2024年新高考资料_5.2024三轮冲刺_查漏补缺2024年高考地理复习冲刺过关(新高考通用)
题型03工艺流程题(原卷版)_02中考总复习(2026版更新中)_05-化学-中考总复习_2025年中考复习资料_备战2025年中考化学真题题源解密
培优冲刺专练03核心素养专练(解析版)_9.2025地理总复习_2024年新高考资料_5.2024三轮冲刺_查漏补缺2024年高考地理复习冲刺过关(新高考通用)
培优冲刺专练02高考热点专练(解析版)_9.2025地理总复习_2024年新高考资料_5.2024三轮冲刺_查漏补缺2024年高考地理复习冲刺过关(新高考通用)
题型03工艺流程题(原卷版)_02中考总复习(2026版更新中)_05-化学-中考总复习_2024年中考复习资料_三轮复习_查漏补缺2024年中考化学复习冲刺过关(全国通用)_查补能力•提升练
培优冲刺专练01新高考新情境专练(解析版)_9.2025地理总复习_2024年新高考资料_5.2024三轮冲刺_查漏补缺2024年高考地理复习冲刺过关(新高考通用)
题型03实验探究(讲练)(解析版)_02中考总复习(2026版更新中)_08-生物-中考总复习_2025中考复习资料_2025中考二轮课件ppt+讲义+练习生物_讲义+练习
随机文档
培优冲刺专练01新高考新情境专练(原卷版)_9.2025地理总复习_2024年新高考资料_5.2024三轮冲刺_查漏补缺2024年高考地理复习冲刺过关(新高考通用)
城市群-2023年高三地理二轮小专题练习(新课标)(解析版)_9.2025地理总复习_2023年新高考复习资料_二轮复习_寒假小练2023年高三地理二轮小专题练习(新课标)291470456
题型03实验探究(讲练)(原卷版)_02中考总复习(2026版更新中)_08-生物-中考总复习_2025中考复习资料_2025中考二轮课件ppt+讲义+练习生物_讲义+练习
城市群-2023年高三地理二轮小专题练习(新课标)(原卷版)_9.2025地理总复习_2023年新高考复习资料_二轮复习_寒假小练2023年高三地理二轮小专题练习(新课标)291470456
垂直带谱-2023年高三地理二轮小专题练习(新课标)(解析版))_9.2025地理总复习_2023年新高考复习资料_二轮复习_寒假小练2023年高三地理二轮小专题练习(新课标)291470456
题型03实验探究(解析版)_02中考总复习(2026版更新中)_08-生物-中考总复习_2024年中考复习资料_专项复习_备战2024年中考生物真题题源解密
垂直带谱-2023年高三地理二轮小专题练习(新课标)(原卷版)_9.2025地理总复习_2023年新高考复习资料_二轮复习_寒假小练2023年高三地理二轮小专题练习(新课标)291470456
地表形态的塑造专题测试卷-2023年高考地理二轮复习讲练测(解析版)_9.2025地理总复习_2023年新高考复习资料_二轮复习_寒假小练2023年高三地理二轮小专题练习(新课标)291470456
地表形态的塑造专题测试卷-2023年高考地理二轮复习讲练测(原卷版)_9.2025地理总复习_2023年新高考复习资料_二轮复习_寒假小练2023年高三地理二轮小专题练习(新课标)291470456
题型03实验探究(测试)(解析版)_02中考总复习(2026版更新中)_08-生物-中考总复习_2025中考复习资料_2025中考二轮课件ppt+讲义+练习生物_测试