当前位置:首页>文档>1999年数学三解析_数学三真题+解析[87-25]_数学三解析

1999年数学三解析_数学三真题+解析[87-25]_数学三解析

  • 2026-03-18 03:13:31 2026-02-04 17:49:54

文档预览

1999年数学三解析_数学三真题+解析[87-25]_数学三解析
1999年数学三解析_数学三真题+解析[87-25]_数学三解析
1999年数学三解析_数学三真题+解析[87-25]_数学三解析
1999年数学三解析_数学三真题+解析[87-25]_数学三解析
1999年数学三解析_数学三真题+解析[87-25]_数学三解析
1999年数学三解析_数学三真题+解析[87-25]_数学三解析
1999年数学三解析_数学三真题+解析[87-25]_数学三解析
1999年数学三解析_数学三真题+解析[87-25]_数学三解析
1999年数学三解析_数学三真题+解析[87-25]_数学三解析
1999年数学三解析_数学三真题+解析[87-25]_数学三解析
1999年数学三解析_数学三真题+解析[87-25]_数学三解析
1999年数学三解析_数学三真题+解析[87-25]_数学三解析
1999年数学三解析_数学三真题+解析[87-25]_数学三解析
1999年数学三解析_数学三真题+解析[87-25]_数学三解析
1999年数学三解析_数学三真题+解析[87-25]_数学三解析
1999年数学三解析_数学三真题+解析[87-25]_数学三解析
1999年数学三解析_数学三真题+解析[87-25]_数学三解析
1999年数学三解析_数学三真题+解析[87-25]_数学三解析
1999年数学三解析_数学三真题+解析[87-25]_数学三解析
1999年数学三解析_数学三真题+解析[87-25]_数学三解析
1999年数学三解析_数学三真题+解析[87-25]_数学三解析

文档信息

文档格式
pdf
文档大小
0.368 MB
文档页数
17 页
上传时间
2026-02-04 17:49:54

文档内容

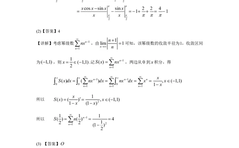
1999 年全国硕士研究生入学统一考试数学三试题解析 一、填空题 4 (1)【答案】 1  sinx xcosxsinx 【详解】由题设可知 f(x)( ) .由分部积分法,得 x x2   xf(x)dx   xdf(x)xf(x)    f(x)dx     2 2 2 2   xcosxsinx sinx 2 2 4   1   1 x  x     2 2 (2)【答案】4  n1 【详解】考虑幂级数nxn1 ,由lim 1可知,该幂级数的收敛半径为1,收敛区间 n n n1 1  为(1,1),则x (1,1).记S(x)nxn1 ,两边从0到x积分,得 2 n1  x S(x)dx  x (  nxn1)dx    x nxn1dx   xn  x ,x(1,1) 0 0 0 1x n1 n1 n1 x 1 所以 S(x)( ) ,x(1,1) 1x (1x)2 1  1 1 所以 S( )n( )n1 4 2 2 1 n1 (1 )2 2 (3) 【答案】O 1 0 1   【详解】A 0 2 0 ,根据矩阵的乘法,以及数与矩阵相乘,矩阵的每一个元素都要     1 0 1 乘以该数,有 1 0 11 0 1 2 0 2 1 0 1        A2  0 2 0 0 2 0  0 4 0 2 0 2 0 2A               1 0 11 0 1 2 0 2 1 0 1 故有 An 2An1  An2(A22A)O 1或由 A2 2A,式子左右两端同右乘An2,得A2An2  2AAn2,即An 2An1, 得 An 2An1 O 或由A2 2A,式子左右两端同右乘A,得A2A A3 (2A)A2A2 2(2A)22A, 式子左右两端再同乘A,得A3A A4  A2(2A) 2A3  222A 23A ,…,依次类推, 得 An1 2n2A,An 2n1A, 所以 An 2An1 2n1A22n2A2n1A2n1AO (4)【答案】 16 【概念和性质】(1) 独立正态随机变量的性质:服从正态分布的独立随机变量的线性组合仍 服从正态分布; (2) 期望的性质:E(aX bY)aEX bEY ,Ecc (其中a,b,c为常数); (3) 方差的性质: D(cX)c2D(X);若X和Y 独立,则D(X Y)DX DY Z u (4) 正态分布标准化:若Z ~ N(u,2),则 ~ N(0,1)  1 n 【详解】由题知:X ,X ,X N(a,0.22),X  X ,且X ,X ,X 相互独立, 1 2 n n n i 1 2 n i1 1 n 故X  X ~ N(,2),其中 EX ,2  DX n n i n n i1 1 n  1 n na 所以  EX  E X   EX  a n n i  n i n i1 i1 1 n  1  n  1 n 0.22n 0.22 2  DX  D X   D X   DX   n n i  n2  i  n2 i n2 n i1 i1 i1 1 n 0.22 X a 所以 X  X ~ N(a, ),标准化得 U  n ~ N(0,1) n n i n 0.2/ n i1   则只需将P X a 0.1 0.95中大括号里的不等式两端同除以标准差,即有: n   X a 0.1    n P n   0.95PU   0.95  0.2/ n 0.2/ n  2  X a   因 U  n ~ N(0,1),查标准正态分布表知 P U 1.96 0.95 0.2/ n 2n 所以 1.96,解得n15.3664. 因n为整数,所以n最小为16. 2 (5)【答案】 EY 0 【概念和性质】(1) E  X Y EX EY ;(2)若X和Y独立,则有EXY EXEY 【详解】由行列式的定义知,行列式是由n2个元素X 的乘积组成的n!项和式,每一项都 ij 是n个元素的乘积X X X ,这n个元素取自行列式中不同行和不同列,在这全部n! 1j 2j nj 1 2 n 项中每项都带有正号或负号. 由于随机变量X  i, j 1,2,,n;n2 独立,所以有 ij E(X X X ) EX EX EX 1j 2j nj 1j 2j nj 1 2 n 1 2 n 所以前面无论取正号或者负号,对和式的期望等于各项期望之和. 即有 EX EX  EX 11 12 1n EX EX  EX EY  21 22 2n    EX EX  EX n1 n2 nn 而X  i, j 1,2,,n;n2 同分布,且EX 2 ij ij EX EX  EX 2 2  2 11 12 1n EX EX  EX 2 2  2 所以 EY  21 22 2n   0(行列式的性质:若行列式两       EX EX  EX 2 2  2 n1 n2 nn 行(列)成比例,则行列式为0). 二、选择题 (1)【答案】(A) 【详解】应用函数定义判定函数的奇偶性、周期性和单调性. x f(x)的原函数F(x)可以表示为F(x)  f(t)dtC,于是 0 F(x)  x f(t)dtC u  t  x f(u)d u C. 0 0 当 f(x)为奇函数时, f(u)f(u),从而有 x x F(x)  f(u)duC   f(t)dtC  F(x) 0 0 即 F(x)为偶函数. 故(A)为正确选项. 3(B)、(C)、(D)可分别举反例如下: 1 f(x) x2是偶函数,但其原函数F(x) x31不是奇函数,可排除(B); 3 1 1 f(x)cos2 x 是周期函数,但其原函数F(x) x sin2x不是周期函数,可排除(C); 2 4 1 f(x) x在区间(,)内是单调增函数,但其原函数F(x) x2在区间(,) 2 内非单调增函数,可排除(D). (2)【答案】(C) 【详解】因为 f(u,v)dudv为一确定的数,不妨设 f(u,v)dudv a,则 f(x,y) xya , D D 1 x2 所以 a   f (x,y)dxdy  (xya)dxdy   dx (xya)dy 0 0 D D 1 x5 1 a   ( ax2)dx  , 0 2 12 3 1 1 解之得a  ,所以 f(x,y) xy ,故应选(C). 8 8 (3)【答案】(B) 【详解】 方法1:可由向量组,,, 线性表示,即存在常数k ,k ,,k 使得 1 2 m 1 2 m k k k  (*) 1 1 2 2 m m 不能由,,, 线性表出,从而知k 0(若k 0,则kkk  , 1 2 m1 m m 1 1 2 2 m1 m1 这和不能由,,, 线性表出矛盾.) 1 2 m1 (*)可变为 k  k k k  , m m 1 1 2 2 m1 m1 上式两端同除k m 1   (k k k  ) m k 1 1 2 2 m1 m1 m  能由(II)线性表示,排除(A)(D). m  不能由,,, 线性表示,若能,即存在常数,,, 使得 m 1 2 m1 1 2 m1 4     , m 1 1 2 2 m1 m1 代入(*)得 k k k (    ) 1 1 2 2 m 1 1 2 2 m1 m1 (k k )(k k ) (k  k ) 1 1 m 1 2 2 m 2 m1 m1 m m1 这和不能由,,, 线性表出矛盾,排除(C).故应选(B). 1 2 m1 方法2:若取 1 0 0 1          0 ,  1 ,  0 , 1 ,则 ,即可由,,线性表出. 1   2   3     1 2 3 1 2 3  0   0   1   1  假设存在常数k ,k ,满足k k 因为r(,) 2r(,,) 3 , 1 2 1 1 2 2 1 2 1 2 即方程组k k 的系数矩阵的秩不等于增广矩阵的秩,故方程组无解,即不 1 1 2 2 存在常数k ,k ,满足k k ,不能由, 线性表出,是满足题设条件的 1 2 1 1 2 2 1 2 一个特例, 此时,不能由(I), 线性表示,若存在常数l ,l ,满足 l l 因为 3 1 2 1 2 3 1 1 2 2 r(,) 2r(,,) 3,即方程组 l l 的系数矩阵的秩不等于增 1 2 1 2 3 3 1 1 2 2 广矩阵的秩,故方程组无解,不存在常数l ,l ,满足 l l ,故 不能由 1 2 3 1 1 2 2 3 (I), 线性表示, 1 2 但因为   ,即可由(II),,线性表示,故应选(B). 3 1 2 3 1 2 (4)【答案】(D) 【详解】 方法1:A相似于B,根据矩阵相似的定义,则存在可逆阵P,使得P1AP B,则 P1(tEA)P P1tEPP1AP tEB 根据矩阵相似的定义,则tE A相似于tEB,应选(D). 方法2:排除法 (A) 不成立. 若E AEB,则A B,而已知只是相似. (B) 不成立. A与B相似,根据矩阵相似的定义,即存在可逆阵,使得P1AP B, 从而有 5EB  EP1AP (把P1AP B代入) P1PP1AP (P1P E )  P1(E)PP1AP  P1(E A)P  P1 E A P (矩阵乘积的行列式等于行列式的乘积)  E A (矩阵逆的行列式等于行列式的逆,故 P1 P 1) 从而,A,B有相同特征多项式,故有相同的特征值. 若 A , 在 P1AP B 的 两 边 同 时 左 乘 P , 右 乘 P1 , 得 PP1APP1 PBP1  A,故 PBP1 A, 在上式两边左乘P1,得 B(P1)(P1), 根据特征值和特征向量的定义,B的属于特征值的特征向量是P1,而A的属于特 征值的特征向量,它们并不相同. 01 (C)不成立. A,B相似时,也可能它们本身都不相似于对角阵. 例如A  , 00 00 01 00101 00 B   ,因存在可逆阵P   ,使得P1AP         , 10  10 0010 10 则根据矩阵相似的定义,知AB,但A,B都不相似于对角阵. 若A能相似于对角阵,即A可相似对角化. 先求特征值,特征多项式为  1 EA  2, 0  令EA 0得A的两个特征值0.若A相似于对角阵,则存在可逆矩阵P,使得 0  P1AP   ,  0 0  0 0 上式两端同时左乘P,右乘P1,得PP1APP1  AP P1    ,与  0 0 0 601 A  矛盾,故A不可相似对角化. 00 若B能相似于对角阵,即B可相似对角化.先求特征值,特征多项式为  0 EB  2, 1  令EB 0得B的两个特征值0. 若B相似于对角阵,则存在可逆矩阵P,使得 0  P1BP   ,  0 0  0 0 上式两端同时左乘P,右乘P1,得PP1BPP1 B P P1    ,与  0 0 0 0 B   矛盾,故B不可相似对角化. 10  (5)【答案】 (A) 【详解】给定X 和X 的概率分布,求X 和X 的联合分布,所给条件为P  X X 0 1, 1 2 1 2 1 2 这就需要从这个条件入手. 由于事件 X X 0 包括事件: 1 2  X 0,X 1  ,  X 0,X 0  ,  X 0,X 1  ,  X 1,X 0  ,  X 1,X 0  1 2 1 2 1 2 1 2 1 2 所以从正面研究其概率是研究不清的,在这种情况下,往往需要通过其对立事件来研究. 根据P  A 1P  A  ,有P  X X 0 1P  X X 0 110 1 2 1 2 所以有 P  X X 0 P  X 1,X 1 P  X 1,X 1  1 2 1 2 1 2  P  X 1,X 1  P  X 1,X 1  0 1 2 1 2 而根据概率的非负性有: P  X 1,X 1 P  X 1,X 1 P  X 1,X 1 P  X 1,X 1 0 1 2 1 2 1 2 1 2 而 P  X  X P  X 1,X 1 P  X  0,X  0 P  X 1,X 1  1 2 1 2 1 2 1 2 0P  X 0,X 0 0 P  X 0,X 0  1 2 1 2 又根据边缘概率的定义: p  P  X  x  P  X  x ,Y  y   p ,i 1,2, i i i j ij j j 7p  P  Y  y   P  X  x ,Y  y   p ,j 1,2, j j i j ij i i ( 通俗点说就是在求关于X 的边缘分布时,就把对应x的所有y都加起来,同理求关于Y 的 边缘分布时,就把对应 y的所有x都加起来 ) 由 P  X 1 P  X 1,X 1 P  X 1,X 0 P  X 1,X 1  1 1 2 1 2 1 2 故 P  X 1,X 0 P  X 1 P  X 1,X 1 P  X 1,X 1  1 2 1 1 2 1 2 1 1  00 4 4 1 同理可得P  X 0,X 1 P  X 0,X 1 P  X 1,X 0 P  X 1,X 0  1 2 1 2 1 2 1 2 4 又 P  X 0 P  X 0,X 1 P  X 0,X 0 P  X 0,X 1  1 1 2 1 2 1 2 1 1 1  P  X  0,X  0   P  X  0,X  0  4 1 2 4 2 1 2 1 而由已知P  X 0  ,所以得P  X 0,X 0 0 故 1 2 1 2 P  X  X P  X 1,X 1 P  X  0,X  0 P  X 1,X 1  1 2 1 2 1 2 1 2 0P  X 0,X 0 0 P  X 0,X 0 0 1 2 1 2 1 1 1 1 三【详解】曲线 y  在曲线上点(a, )处的切线的斜率为y|  |  , xa xa x a 2 x3 2 a3 1 1 由直线的点斜式方程得切线方程 y  (xa), a 2 a3 3 分别令x0,y 0得到与 y轴,x轴的交点分别为R(0, )与Q(3a,0). 于是切线 2 a 与x轴和 y轴围成一个直角三角形,由三角形的面积公式得 1 3 9 S  3a  a . 2 2 a 4 当切点按x轴正项趋于无穷大时,这时,a,所以 lim S  a 当切点按 y轴正项趋于无穷大时,这时,a0,所以 lim S 0 a 四【详解】 8解法1:区域D和D 如图所示,有 ydxdy   ydxdy ydxdy I I 1 1 2 D DD D 1 1 y 0 2 显然 I   ydxdy   dx ydy  4 1 2 0 2 DD 1 在极坐标系下,有 D D 1 D  (r,)|0r 2sin, 2 1 因此 O x  2sin I  ydxdy   d rsinrdr 2 2 0 D 1 8  8   1cos4    sin4d  12cos2 d   3 2 34 2 2  2  于是  ydxdy I I  4 1 2 2 D   解法2:如图所示,D  (x,y)|2 x 2y y2,0 y 2 2  2yy2 2 2  ydxdy  ydy dx  2 ydy y 2yy2dy 0 2 0 0 D 2 4 y 1(y1)2dy 0 令 y1sint,有dy costdt ,则 2 2  y 1(y1)2dy   (1sint)cos2tdt 0 2 2 2 21cos2t    cos2tdt cos2tsintdt 2 dt0 2 2 0 2 2 五【详解】设两种要素的总投入费用为P,则由题意得P  p x  p x ,题目问产出量为 1 1 2 2 12时,两要素各投入多少可以使得投入总费用最小,即是求函数P  p x  p x 在约束条 1 1 2 2 件Q 2xx 12下的条件最值. 按格朗日数乘法,作函数 1 2 F(x ,x ,)  p x  p x (2xx12) , 1 2 1 1 2 2 1 2 为求驻点求偏导并令其为零,即 9F  p 2x1x0  x 1 1 2  1 F   p 2xx10 x 2 1 2  2 F  2xx120  1 2 p x p p 由前两式可得 1  2 ,解出x 代入第三个式子,得x 6( 2 ) x 6( 1 ), p x 2 1 p 2 p 2 1 1 2 因为驻点唯一,且实际问题在x 0,x 0的范围内存在最小值, 1 2 p p 故x 6( 2 ),x 6( 1 )时P为最小. 1 p 2 p 1 2 六【公式】形如 y p(x)y q(x),方程的通解为 y e p(x)dx (q(x)e p(x)dx dxC) 【详解】由于所求函数 y  y  x 在,1 和 1,都满足所给微分方程,故在两个区间 上分别求微分方程,  2dx 2dx y2y 2, x1  y e (2e dxC 1 ),x1 即  ,解得  ,其中C ,C 为常数. y2y 0, x1  y e 2dx (0 e 2dx dxC ),x1 1 2  2 y 1Ce2x,x1 化简得  1  y C e2x,x1 2 由题设 y  0 0,其中x01,可知y 1Ce2x 1C 0,解得C 1 x0 1 x0 1 1 y 1e2x,x1 所以有   y C e2x,x1 2 又因为 y  y  x 在,内连续,所以lim y  lim y  y(1) x1 x1 即 lim(1e2x) limC e2x  y(1) 2 x1 x1 解之得 C 1e2,y(1)e21 2 故所求连续函数为 e2x 1, x1 y  y  x    (1e2)e2x, x1 10七【详解】 f  2xt 中的变量是2xt,故设法把x“转移”到 f 外, 令u 2xt ,则t 2xu ,所以dt du代入 x tf  2xt  dt  1 arctanx2 0 2 得  x tf  2xt  dt  x (2xu)f  u  du  2x (2xu)f  u  du 0 2x x 2x 2x f  u  du 2x uf  u  du  1 arctanx2 x x 2 方法1:将等式2x 2x f  u  du 2x uf  u  du  1 arctanx2两边对x求导得 x x 2 2 2x f  u  du2x[2f(2x) f(x)][2xf(2x) 2xf(x)] x x 1x4 2x x 化简得 2 f(u)duxf(x)  x 1x4 2 1 令x1得,2 f(u)du f(1)  ,化简得 1 11  2 f(u)du  2 f  x  dx  1 [ 1  f(1)] 1 ( 1 1) 3 1 1 2 2 2 2 4 方法2:引入 f(x)的一个原函数F(x),则F(x) f(x) 于是 2x 2x f  u  du 2x uf  u  du 2x[F(2x)F(x)] 2x udF(u) x x x 2x[F(2x)F(x)]uF(u) 2x  2x F(u)du xF(x) 2x F(u)du x x x 2x 1 所以 xF(x) F(u)du  arctanx2, x 2 x 两边对x求导,得 F(x)xf(x)2F(2x)F(x) 1x4 1 x 即 F(2x)F(x) [ xf(x)] 2 1x4 2x 1 x 即  f(u)du F(2x)F(x) [ xf(x)] x 2 1x4 令x1得, 2 f(u)du  2 f  x  dx  1 [ 1  f(1)] 1 ( 1 1) 3 1 1 2 2 2 2 4 八【详解】(1) 构造函数F(x) f(x)x,则F  x 在区间[0,1]上连续,在(0,1)内可导,且 1 1 1 1 1 F( ) f( ) 1  0,F(1) f(1)10110 , 2 2 2 2 2 1  所以由介值定理得,存在一点  ,1,使得F() f()0 2  1  即存在一点  ,1,使得 f(),原命题得证. 2  11(2) 令 f x   f  x x  1 0, 解微分方程得 f(x) xCex,即 ex(f(x)x)C 令 F(x)ex(f(x)x) 因为 F(0)e0(f(0)0)0,F()e(f())0 , 所以,在(0,)上由罗尔定理知,必然存在点(0,),使得F()0 即 F()e(f())e(f()1) e(f() f ()1)0 即 ff 1   1 1  1  九【详解】(1) 因为  a a  4tannx(1tan2x)dx  4tannxsec2xdx n n n2 n 0 n 0 1  tanxt1 1 1  4tann xdtanx   tndt n 0 n 0 n(n 1) 又由部分和数列 n 1 n 1 n 1 1 1 S   a a  (  )1 , n i i i2 i(i 1) i i 1 n1 i1 i1 i1 有 limS 1, n n  1 因此   a a 1. n n n2 n1 (2) 先估计a 的值,因为 n  dt a  4tann xdx ,令t  tanx,则dt sec2 xdx,即dx  n 0 1t2 1 tn 1 1 所以 a     tndt  , n 01t2 0 n1 a 1 1 所以 n   , n n(n1) n1 12 1  a 由于10,所以 收敛,从而 n 也收敛. n1 n n1 n1 十【详解】 方法1:BT (E ATA)T ET (ATA)T E AT(AT)T E ATA B , 根据实对称矩阵的定义,故B是实对称阵. 对任意的非零向量x,xTAT (Ax)T ,有 xT(EATA)x xT(E)xxT(ATA)x xTxxTATAx xTx(Ax)TAx 因x0,故有xTx 0.(设x a ,a ,,a T 0,则a ,i 1,2,,n中至少一 1 2 n i n 个不为零,则a2,i 1,2,,n中至少一个大于零,故xTx a2 0) i i i1 n (Ax)T Ax 0(设Ax  b ,b ,,b T ,(Ax)T Ax b2 0,因为Ax有可能为 1 2 n i i1 零,即有可能b 0,i 1,2,,n,故这里可能取等号.) i 故当0时,xTx 0.对任意的x0,均有 xTBx  xT(EATA)x xTx(Ax)T Ax 0 由正定矩阵的定义,得证:B是正定矩阵. 方法2:B正定 B的全部特征值大于零 设B有特征值,对应的特征向量为,由特征值和特征向量的定义,B, 将B E ATA代入,得 (E ATA),其中0 上式两边左乘T,得 T(E ATA)TTATA T(A)T(A) T 变形得 (A)T(A) ()T 因0,设 c ,c ,,c T 0 ,则c ,i 1,2,,n 中至少一个不为零,则 1 2 n i n c2,i 1,2,,n中至少一个大于零,故Tc2 0 i i i1 13n (A)T(A)0(设A d ,d ,,d T ,(A)T Ad 2 0,因为A有可 1 2 n i i1 能为零,即有可能d 0,i 1,2,,n,故这里可能取等号.) i (A)T(A) 故   0 T 所以,当0时,有0,故知B的特征值全部大于零,B是正定矩阵. 十一 cov(X,Y) 【定义】(1)相关系数(X,Y)  );(2)协方差cov(U,V) E  UV EUEV ; DX DY (3)离散型随机变量期望EX x p ;(4)方差的定义:DU EU2 EU 2 i i i 【详解】(1) 由题知U和V 均服从01分布, P  U 0 P  X Y ,P  U 1 P  X Y , P  V 0 P  X 2Y ,P  V 1 P  X 2Y  二维随机变量 X,Y 在矩形G   x,y  0 x2,0 y 1  上服从均匀分布(根据二 维均匀分布的性质,各部分所占的概率是其面积与总面积之比) 所以,如图所示: y 1 S 11 1 x y x2y P  X Y  S D 1  2 12  4 1 x y yx2y 总 D D 1 2 x2y D 1 3 12 S 1 P  X 2Y  D 3  2  x S 12 2 O 1 2 总 1 1 1 P  Y  X  2Y 1P  X Y P  X  2Y 1   4 2 4  U,V 有四个可能值: 0,0  ,  0,1  ,  1,0  ,  1,1  1 P  U 0,V 0 P  X Y,X 2Y P  X Y  4 P  U 0,V 1 P  X Y,X 2Y P 0 1 P  U 1,V 0 P  X Y,X 2Y P  Y  X 2Y  4 141 P  U 1,V 1 P  X Y,X 2Y P  X 2Y  2 (2) 由根据边缘概率的定义: p  P  X  x  P  X  x ,Y  y   p ,i 1,2, i i i j ij j j p  P  Y  y   P  X  x ,Y  y   p ,j 1,2, j j i j ij i i 1 1 有 P  U 0 P  U 0,V 0 P  U 0,V 1  0 4 4 1 1 3 P  U 1 P  U 1,V 0 P  U 1,V 1    4 2 4 1 1 1 P  V 0 P  U 0,V 0 P  U 1,V 0    4 4 2 1 1 P  V 1 P  U 0,V 1 P  U 1,V 1 0  2 2 而 P  UV 0 P  U 0,V 0 P  U 0,V 1 P  U 1,V 0  1 1 1  0  4 4 2 1 P  UV 1 P  U 1,V 1  2 即 UV 0 1 U 0 1 V 0 1 1 1 1 3 1 1 p p p 2 2 4 4 2 2 U2 0 1 V2 0 1 1 3 1 1 p p 4 4 2 2 1 1 1 1 3 3 1 1 1 所以 EUV 0 1  ,EU 0 1  ,EV 0 1  2 2 2 4 4 4 2 2 2 1 3 1 1 所以 cov(U,V) E  UV EUEV     2 4 2 8 1 3 3 1 1 1 又 EU2 0 1  ,EV2 0 1  4 4 4 2 2 2 2 2 3 3 3 1 1 1 所以 DU EU2 EU 2      ,DV EV2 EV 2      4 4 16 2 2 4 151 cov(U,V) 8 3 故 r(U,V)   DU DV 3 1 3  4 2 十二【概念和性质】(1) E  aX bY aEX bEY ;(2) D(cX)c2D(X); (3) 若X和Y 独立,则D(X Y)DX DY ; X (4) t分布的定义:若X ~ N(0,1),Y ~2(n),X,Y 独立,则T  ~t(n) Y n Z u (5) 正态分布标准化的定义:若Z ~ N(u,2),则 ~ N(0,1)  【详解】由于X ,,X 是来自总体X 的简单随机样本,故X ,,X 独立. 1 9 1 9 设X ~ N(u,2),则X ,,X ~ N(u,2),又因为服从正态分布的独立随机变量其 1 9 线性组合也服从正态分布,则 1 2 Y   X  X  X  ~N(u, ) 1 6 1 2 6 6 1  1 6u 其中 u E(Y ) E  X  X  X    EX EX EX  u 1  6 1 2 6   6 1 2 6 6 1  1 2  D(Y) D  X  X  X   D  X  X  X  1   6 1 2 6   36 1 2 6 1 6 1 2  DX  DX  36 i 6 6 i1 2 故 Y ~ N(u, ) 1 6 1 2 同理,因为Y   X  X  X ,所以Y ~ N(u, ) 2 3 7 8 9 2 3 又由于Y,Y 独立,且都服从正态分布,故Y Y 也服从正态分布,其期望方差分别为: 1 2 1 2 2 2 2 E(Y Y )EY EY uu 0 ,D(Y Y )DY DY    1 2 1 2 1 2 1 2 6 3 2 2 得 Y Y ~ N(0, ) 1 2 2 16Y Y 0 将Y Y 标准化得 U  1 2 ~ N(0,1) 1 2  2 (n1)S2 2S2 由正态总体样本方差的性质: ~2(n1),推得 2  ~2(2) 2 2 因S2与Y 独立(由于样本方差与样本均值独立) 2 Y Y 0 2S2 而Y与S2独立,故U  1 2 与 独立. 1  2 2 Y Y 0 1 2  U 2 所以由t分布的定义有:  ~t(2) 2 2S2 2 2 2 Y Y 0 1 2  2 2(Y Y ) 2(Y Y ) 化简上式  1 2 即Z  1 2 ~t(2) 2S2 S S 2 2 17