当前位置:首页>文档>曲靖一中2025届高考决胜全真模拟卷(二)地理_2025年6月_250601云南省曲靖一中2025届高考决胜全真模拟卷(二)(全科)

曲靖一中2025届高考决胜全真模拟卷(二)地理_2025年6月_250601云南省曲靖一中2025届高考决胜全真模拟卷(二)(全科)

  • 2026-04-08 09:36:47 2026-02-08 20:05:15

文档预览

曲靖一中2025届高考决胜全真模拟卷(二)地理_2025年6月_250601云南省曲靖一中2025届高考决胜全真模拟卷(二)(全科)
曲靖一中2025届高考决胜全真模拟卷(二)地理_2025年6月_250601云南省曲靖一中2025届高考决胜全真模拟卷(二)(全科)
曲靖一中2025届高考决胜全真模拟卷(二)地理_2025年6月_250601云南省曲靖一中2025届高考决胜全真模拟卷(二)(全科)
曲靖一中2025届高考决胜全真模拟卷(二)地理_2025年6月_250601云南省曲靖一中2025届高考决胜全真模拟卷(二)(全科)
曲靖一中2025届高考决胜全真模拟卷(二)地理_2025年6月_250601云南省曲靖一中2025届高考决胜全真模拟卷(二)(全科)
曲靖一中2025届高考决胜全真模拟卷(二)地理_2025年6月_250601云南省曲靖一中2025届高考决胜全真模拟卷(二)(全科)
曲靖一中2025届高考决胜全真模拟卷(二)地理_2025年6月_250601云南省曲靖一中2025届高考决胜全真模拟卷(二)(全科)
曲靖一中2025届高考决胜全真模拟卷(二)地理_2025年6月_250601云南省曲靖一中2025届高考决胜全真模拟卷(二)(全科)
曲靖一中2025届高考决胜全真模拟卷(二)地理_2025年6月_250601云南省曲靖一中2025届高考决胜全真模拟卷(二)(全科)
曲靖一中2025届高考决胜全真模拟卷(二)地理_2025年6月_250601云南省曲靖一中2025届高考决胜全真模拟卷(二)(全科)
曲靖一中2025届高考决胜全真模拟卷(二)地理_2025年6月_250601云南省曲靖一中2025届高考决胜全真模拟卷(二)(全科)
曲靖一中2025届高考决胜全真模拟卷(二)地理_2025年6月_250601云南省曲靖一中2025届高考决胜全真模拟卷(二)(全科)

文档信息

文档格式
docx
文档大小
2.312 MB
文档页数
8 页
上传时间
2026-02-08 20:05:15

文档内容

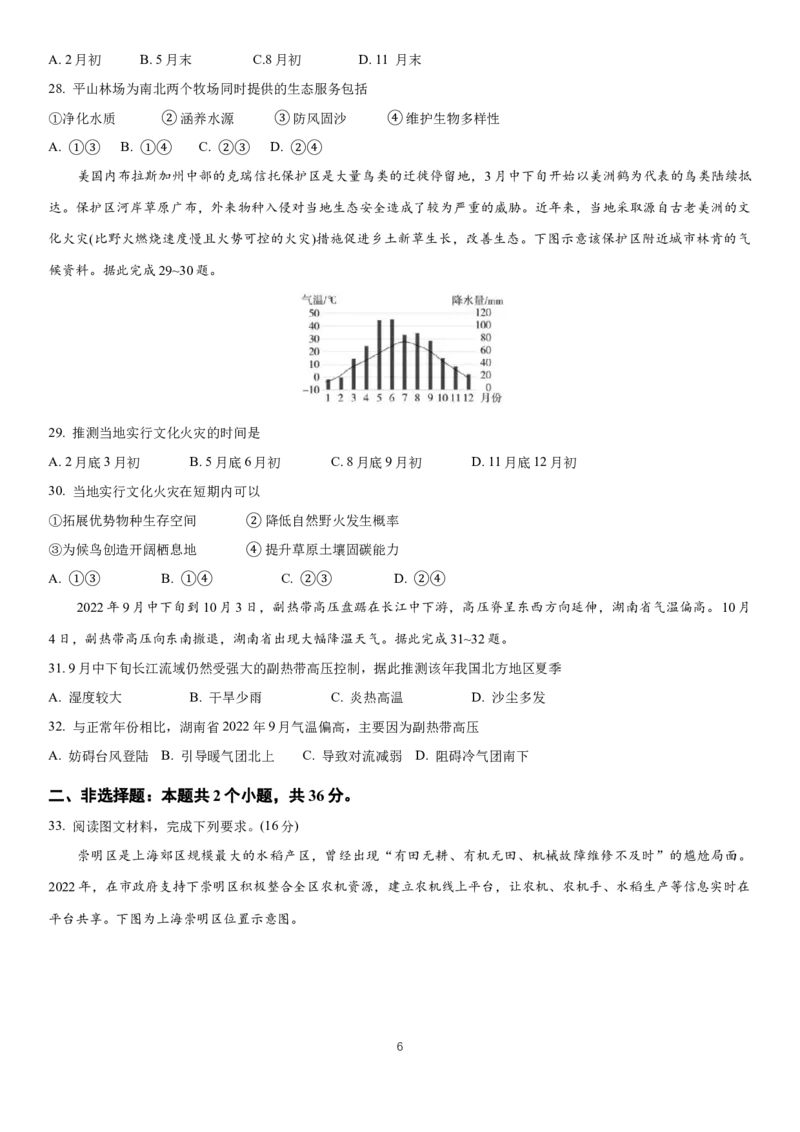
曲靖一中 2025 届高考决胜全真模拟卷(二) 地 理 试 卷 注意事项: 1. 答卷前,考生务必用黑色字迹钢笔或签字笔将自己的姓名、考生号、考场号和座位号填写在 答题卡上。 2. 作答选择题时,选出每小题答案后,用 2B铅笔把答题卡上对应题目选项的答案信息点涂黑; 如需改动,用橡皮擦干净后,再选涂其他答案,答在试卷上无效。 3. 非选择题必须用黑色字迹钢笔或签字笔作答,答案必须写在答题卡各题目指定区域内相应位置 上;如需改动,先划掉原来的答案,然后再写上新的答案。 4. 本试卷共8页,共34小题,满分100分。考试用时75分钟。 一、选择题:本题共32小题,每小题2分,共64分。在每小题给出的四个选项中,只有一项是符合 题目要求的。 某大型乳制品加工企业位于河北省石家庄市,主要从事鲜奶、酸奶等产品的研发和生产。2012年,该企业将加工工 厂和周边牧场共同打造成文化景区,游客可免费参观牧场、生产流水线、研发实验室,并免费试吃和制作美食。据此完 成1~2题。 1. 该企业选址靠近石家庄城区的主要原因是 A.环境质量要求高 B.原料运输成本高 C.产品易腐坏变质 D.劳动力数量需求多 2. 该企业对游客免费开放参观、体验项目的直接目的是 A.接受社会监督 B.推动产业转型 C.降低销售成本 D.提升品牌形象 俄罗斯西伯利亚地区的路网密度远低于全国平均水平,楚科奇自治区的路网密度值约为 0,为全国最低,2005-2019 年,西伯利亚地区的交通网络密度均值增长显著,主要得益于公路网密度的增长,其铁路网密度未有显著变化,其铁路 设施建设和更新缓慢。下图为俄罗斯东部铁路线分布图。据此完成3~4题。 3. 据图文材料推测,西伯利亚公路网密度增加的地区主要分布在其 A. 东部和北部 B. 东部和南部 C. 东部和中部 D. 西部和南部 14. 楚科奇自治区路网密度值为全国最低,主要原因是 A. 气候严寒,冻土广布 B. 位置偏远,人口稀少 C. 港口众多,海运发达 D. 资源贫乏,难以开采 2007年,江苏省太仓市东林村开始探索现代循环农业发展新路径。目前,该村已经形成了以“一片四、一根草、一 只羊、一条肥、一粒米、一棵芽”为核心的现代循环农业高质量发展模式。下图示意东林村生态循环农业发展模式。据 此完成5~6题。 5. 东林村发展生态循环农业的基础是 A. 粮食种植 B. 肉羊养殖 C. 秸秆利用 D. 肥料生产 6. 东林村生态循环农业发展模式有利于 ①扩大农田种植面积 降低农户经营风险 拓宽产品销售渠道 有效提升产品质量 A. B. ② C. ③D. ④ ①在②城市扩张背景下①,③杭州市居住空间形②成④了“本地居民聚③居④老 城区、外来人口聚居老城区外国”的基本格局。萧山 老城区与杭州老城区居民生活习俗截然不同。下图示意杭州社会空间结构模式。据此完成7~8题。 7. 杭州老城区外田吸引外来人口聚居,主要是因为 A. 教育水平的提升 B. 住房数量的增加 C. 产业集聚和发展 D. 河流运输的发展 8. 造成两个老城区居民生活习俗不同的主要因素是 A. 商业变迁 B. 城市规划 C. 人口迁移 D. 江水阻隔 镇区是镇域人口获取公共服务的核心地带。一般用镇区人口占镇域总人口的比重表示该镇域的“镇化”水平。在长 江中下游地区,安徽省总体“镇化”水平较低,但近年来部分远离大城市的山区小城镇“镇化”水平快速提升。据此完 成9~10题。 9. 与江浙沪相比,安徽省总体“镇化”水平较低的主要原因是 2A.人口总数较少 B.农业技术发达 C.交通通达性差 D.经济水平较低 10. 近年来安徽省部分山区小城镇“镇化”水平快速提升的原因较可能是 A.农村人口出生率骤降 B.外地人口大规模迁入 C.接受大城市产业转移 D.农产品直播带货热潮 下表为2000年至2020年黑龙江省和四川省粮食增产因素贡献率统计表。据此完成11~12题。 指标 总增产量 耕地面积 复种指数 粮食作物比例 粮食单产 省份 (万吨) (%) (%) (%) (%) 黑龙江 4995.28 34.88 8.29 12.91 43.92 四川 155.43 -1247.05 1301.98 -237.67 282.74 11.四川省耕地面积和粮食作物比例贡献率为负的主要影响因素分别是 A.城市建设、农业技术 B.耕地整理、政府政策 C.城市建设、人工成本 D.耕地整理、市场需求 12.黑龙江省粮食增产过程中亟需应对的生态问题是 A.极端气候 B.农业污染 C.水源不足 D.土地退化 2025年1月7日,西藏日喀则市定日县发生里氏6.8级地震,震区分布有形变扭曲的带状岩层,易诱发崩塌、泥石 流等次生灾害,水利部迅速启动水利抗震Ⅳ级应急响应。据此完成13~14题。 13.评估水利设施受灾状况主要运用的地理信息技术有 A.遥感技术、地理信息系统 B.全球卫星导航系统、地理信息系统 C.遥感技术、人工智能技术 D.遥感技术、全球卫星导航系统 14.为研究岩层对日喀则泥石流发生概率的影响,应重点研究岩层的 A.延伸方向 B.倾斜角度 C.松散程度 D.埋藏深度 库车河发源于天山南坡,河水汇入塔里木河或消失在河道中。库车河某河段依次呈现山间辫状河(河道多分汉)、冲 积扇、曲流河的变化特征。下图示意该河段12个观测点沉积物平均粒径与该河段起点距离的关系。据此完成15~17题。 15. 库车河冲积扇规模较小的主要原因可能是 A. 河流径流量小 B. 河流含沙量小 C. 风化物供给少 D. 沉积空间有限 16. 位于该河段冲积扇顶端附近的观测点是 A. B. C. D. 17①. 若未来库车河②流域降水量增③加,曲流河段河④道 可能发生的变化是 3A. 砾石沉积减少 B. 稳定性增强 C. 废弃河道增多 D. 河道变“V”形 贺兰山山体高大,地形复杂,植被分异明显,不同海拔和坡向的植被表现出不同的固碳能力。图示意贺兰山东坡和 西坡不同海拔植被固碳量的变化情况。据此完成18~19题。 18. 影响贺兰山东坡和西坡植被单位面积固碳量变化的主导因素是 A. 热量 B. 坡度 C. 光照 D. 水分 19. 贺兰山海拔 1500m附近东坡和西坡植被固碳总量存在差异,据此推测西坡比东坡 A. 植被类型更多 B. 土壤肥力更高 C. 坡面径流更多 D. 山体面积更大 四川省西昌市牦牛山-磨盘山土壤类型分异显著,科研人员采集不同海拔的土壤进行研究。下图为该区域土壤类型 分布图。据此完成20~21题。 102°05′ 102°15′ 20. 到④体现的地域分异规律是 A.纬①度分异 干湿度分异 牦 B.纬度分异 垂直分异 牛 ① 西昌 C.纬度分异 地方性分异 山 ② 城市 27°50′ D.垂直分异 地方性分异 采样点 黑毡土 ③ 21.图示土壤与其主要成土因素组合正确的是 磨 棕壤 黄棕壤 A.水稻土 成土母质 B.红壤 生物 盘 红壤 ④ 紫色土 C.紫色土 人类活动 D.黑毡土 气候 27°40′ 山 水稻土 某日我国某海域发生一次大范围海雾现象。下图为该日某时刻的海平面等压线及气海温差(气温减海表温度)图。 据此完成22~23题。 1000 998 22.黄海东部海域气海温差为负值的原因可能是 40° 1002 1 A.在雾顶长波辐射作用下,雾体不断降温 1.5 0.5 1 B.在海面长波辐射作用下,海面不断增温 3 2 0 2.5 图 例 C.在雾底短波辐射作用下,雾体不断增温 1004 甲 1006 等压线 D.在海面长波辐射作用下,海面不断降温 -0.5 1 0.5 等气海温差线 2 0 1006 35° 0.5 观测站 120° 125° 423.若甲地上空5㎞以下受到相同气压系统控制,甲观测站垂直方向上风向变化可能是 5km 5km 5km 5km 2.5km 2.5km 2.5km 2.5km N N N N 0km 0km 0km 0km A B C D 植物自疏是指高密度植物种群因资源竞争而导致个体数量随时间推移自然减少的现象。我国横断山区某林场采用十 年轮植模式育林,下图示意不同造林年份地块的土壤含水量差异。据此完成24~26题。 24. 推测自疏现象最显著的地块植被为 A. 20龄林 B. 30龄林 C. 40龄林 D. 50龄林 25. 50龄林地块的土壤含水量高于40龄林地块的原因是 A. 林内气温较高 B. 林内光照较强 C. 林木密度较小 D. 土壤肥力较低 26. 为更精准研究土壤含水量与树龄的关系,样本地块的选择还需控制的主要因素包括 ①海拔 坡向 树高 主导风向 A. ②B. ③C. ④D. ①阿②鲁科尔沁草①原③游牧系统是②“④全球重要农业③文④化遗产”,该遗产地位于内蒙古赤峰市,由三片区域构成(下图)。北 部牧场地处内蒙古高原,中北部的罕山林场为大兴安岭南部余脉,南部牧场为开阔的谷地和丘陵。当地牧民每年定期在 两个牧场间转场放牧。据此完成27~28题。 27. 牧民由南部牧场开始迁往北部牧场的时间最可能是 5A. 2月初 B. 5月末 C.8月初 D. 11 月末 28. 平山林场为南北两个牧场同时提供的生态服务包括 ①净化水质 涵养水源 防风固沙 维护生物多样性 A. B. ② C. D③. ④ ①美③国内布拉①斯④加州中部的②克③瑞信托保②护④区是大量鸟类的迁徙停留地,3月中下旬开始以美洲鹤为代表的鸟类陆续抵 达。保护区河岸草原广布,外来物种入侵对当地生态安全造成了较为严重的威胁。近年来,当地采取源自古老美洲的文 化火灾(比野火燃烧速度慢且火势可控的火灾)措施促进乡土新草生长,改善生态。下图示意该保护区附近城市林肯的气 候资料。据此完成29~30题。 29. 推测当地实行文化火灾的时间是 A. 2月底3月初 B. 5月底6月初 C. 8月底9月初 D. 11月底12月初 30. 当地实行文化火灾在短期内可以 ①拓展优势物种生存空间 降低自然野火发生概率 ③为候鸟创造开阔栖息地 ②提升草原土壤固碳能力 A. B. ④ C. D. ①20③22年9月中下旬①到④10月3日,副热带②高③压盘踞在长江中②下④游,高压脊呈东西方向延伸,湖南省气温偏高。10月 4日,副热带高压向东南撤退,湖南省出现大幅降温天气。据此完成31~32题。 31. 9月中下旬长江流域仍然受强大的副热带高压控制,据此推测该年我国北方地区夏季 A. 湿度较大 B. 干旱少雨 C. 炎热高温 D. 沙尘多发 32. 与正常年份相比,湖南省2022年9月气温偏高,主要因为副热带高压 A. 妨碍台风登陆 B. 引导暖气团北上 C. 导致对流减弱 D. 阻碍冷气团南下 二、非选择题:本题共2个小题,共36分。 33. 阅读图文材料,完成下列要求。(16分) 崇明区是上海郊区规模最大的水稻产区,曾经出现“有田无耕、有机无田、机械故障维修不及时”的尴尬局面。 2022年,在市政府支持下崇明区积极整合全区农机资源,建立农机线上平台,让农机、农机手、水稻生产等信息实时在 平台共享。下图为上海崇明区位置示意图。 6(1)从水源的角度,分析崇明区水稻种植的有利区位条件。(4分) (2)说明崇明区建立农机线上平台的上海因素。(6分) (3)简述崇明区农机线上平台对当地水稻生产的有利影响。(6分) 34. 阅读图文资料,完成下列要求。(20分) 腾冲县青海位于云南省西部,为半封闭型的高山湖泊,湖面高程约1885m。该湖无河流汇入,东北部有一垭口,丰 水期湖水可由此溢出,现今水位较为稳定。某研究团队在青海东南部采样点钻孔获取了连续的湖消沉积物,通过分析沉 积物平均粒径和总有机碳等数据,研究流域内的地理环境演化,一般情况下,离湖岸越近,湖泊沉积物粒径越大;当气温 下降或降水减少时,湖泊沉积物的总有机碳减少。下左图示意青海地理位置概况,下右图为该采样点沉积物平均粒径和 总有机碳的分析结果。 7(1)说明现今青海水位较稳定的原因。(6分) (2)结合沉积物平均粒径的分析结果,推测与IV 阶段相比,III 阶段青海面积大小及变化幅度的差异,并说明理由。 (8分) (3)研究团队认为,右图中Y时期的地层记录了一次气候冷湿事件,请说明理由。(6分) 8