当前位置:首页>文档>2025年秋学期10月质量调研高三数学答案_2025年10月_12026年试卷教辅资源等多个文件_251024江苏省无锡市三校联考2025-2026学年高三上学期10月月考

2025年秋学期10月质量调研高三数学答案_2025年10月_12026年试卷教辅资源等多个文件_251024江苏省无锡市三校联考2025-2026学年高三上学期10月月考

  • 2026-04-12 09:05:42 2026-02-10 19:42:45

文档预览

2025年秋学期10月质量调研高三数学答案_2025年10月_12026年试卷教辅资源等多个文件_251024江苏省无锡市三校联考2025-2026学年高三上学期10月月考
2025年秋学期10月质量调研高三数学答案_2025年10月_12026年试卷教辅资源等多个文件_251024江苏省无锡市三校联考2025-2026学年高三上学期10月月考
2025年秋学期10月质量调研高三数学答案_2025年10月_12026年试卷教辅资源等多个文件_251024江苏省无锡市三校联考2025-2026学年高三上学期10月月考
2025年秋学期10月质量调研高三数学答案_2025年10月_12026年试卷教辅资源等多个文件_251024江苏省无锡市三校联考2025-2026学年高三上学期10月月考
2025年秋学期10月质量调研高三数学答案_2025年10月_12026年试卷教辅资源等多个文件_251024江苏省无锡市三校联考2025-2026学年高三上学期10月月考
2025年秋学期10月质量调研高三数学答案_2025年10月_12026年试卷教辅资源等多个文件_251024江苏省无锡市三校联考2025-2026学年高三上学期10月月考
2025年秋学期10月质量调研高三数学答案_2025年10月_12026年试卷教辅资源等多个文件_251024江苏省无锡市三校联考2025-2026学年高三上学期10月月考
2025年秋学期10月质量调研高三数学答案_2025年10月_12026年试卷教辅资源等多个文件_251024江苏省无锡市三校联考2025-2026学年高三上学期10月月考

文档信息

文档格式
docx
文档大小
0.025 MB
文档页数
4 页
上传时间
2026-02-10 19:42:45

文档内容

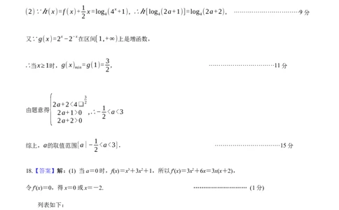
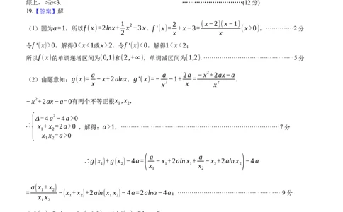
无锡市第六高级中学 2025年10月高三教学质量调研数学试卷 答案和解析 一、单选题 1. 2. 3. 4. D 5. 6. 7. 8. A B D C 二、多选题 9. 10. 11. ACD AC 三、填空题 e2 12. ❑√2 13. ❑√3 14.[ −1,+∞) 4 四、解答题 15.【答案】解: (1) 由题意,设⃗ , b=(x,y) 因为|⃗b|=2,所以√ x2+y2=2,即x2+y2=4,①......................................2分 又因为向量a⃗,⃗b的夹角为60°, ⃗ ⃗ ⟨⃗ ⃗⟩ a·b y 1 所以cos a,b = = = ,解得y=1, ......................................4分 |⃗||⃗| 2 2 a b 将y=1代入①,解得x=±√ 3, 所以⃗ 或⃗ . ......................................6分 b=(√ 3,1) b=(−√ 3,1) 因为 → → → → , (2) (a+b)⊥(a−b),λ∈R 所以 ( ⃗ a+ ⃗ b)·( ⃗ a− ⃗ b)=0 ,即 a⃗ 2=⃗b2 , 所以 , ......................................8分 |a⃗|=|⃗b|=1 所以 |a⃗+λ⃗b|=√ (a⃗+λ⃗b) 2 =√ a⃗ 2+2λa⃗·⃗b+λ2⃗b2=√ λ2+λ+1= √ (λ+ 1 ) 2 + 3, ......................................10分 2 4 所以当λ=− 1 时, ⃗ ⃗ 有最小值 √ 3 . ......................................13分 2 |a+λb| 2 A A 16.【答案】(1)在△ABC中,由asinB=❑√3bsin 及正弦定理,得sinAsinB=❑√3sinBsin ,···········2 2 2 分 A A A A 则2sin cos sinB=❑√3sinBsin ,而A,B∈(0,π),sinBsin >0, 2 2 2 2 A ❑√3 A π π 因此cos = ,解得 = ,所以A= . ·········································································5分 2 2 2 6 3 π 2❑√7 ❑√21 (2)由(1)知A= ,由cosB= ,得sinB=❑√1−cos2B= ,·································7分 3 7 7 ❑√3 2❑√7 1 ❑√21 3❑√21 sinC=sin(A+B)=sinAcosB+cosAsinB= × + × = ,····························11分 2 7 2 7 14 3❑√21 4× bsinC 14 1 由正弦定理得c= = =6,而⃗AD= (⃗AB+⃗AC), sinB ❑√21 2 7 1 1 √ 1 所以|⃗AD|= ❑√⃗AB2+⃗AC2+2⃗AB⋅⃗AC= ❑62+42+2×6×4× =❑√19. ····························15分 2 2 2 17.【答案】解:(1)由于g(x)为奇函数,且定义域为R, 40−n ∴g(0)=0,即 =0,n=1. ······························2分 20 4x−1 当n=1时,g(x)= =2x−2−x, 2x g(−x)=2−x−2x=−g(x), ∴n=1时g(x)为奇函数. ......................................4分 ∵f(x)=log (4x+1)+mx, 4∴f(−x)=log (4−x+1)−mx=log (4x+1)−(m+1)x, 4 4 ∵f(x)是偶函数,∴f(−x)=f(x), m=−m−1, 1 得到m=− , ......................................6分 2 1 由此可得:m+n的值为 . ·································7分 2 1 (2)∵ℎ(x)=f(x)+ x=log (4x+1),∴ℎ[log (2a+1)]=log (2a+2), ·································9分 2 4 4 4 又∵g(x)=2x−2−x在区间[1,+∞)上是增函数, 3 ∴当x≥1时,g(x) =g(1)= , ·································11分 min 2 3 { 2a+2<4❑2 1 由题意得 2a+1>0 ,∴− 0 1 综上,a的取值范围{a|− 0,即a<3, 1 2 所以 …………………………(8分) 因为f(x)+f(x)=(x+3x+ax+1)+(x+3x+ax+1) 1 2 1 2 =(x+x)[(x+x)2-3xx]+3[(x+x)2-2xx]+a(x+x)+2 1 2 1 2 1 2 1 2 1 2 1 2 =(-2)[(-2)2-3×]+3[(-2)2-2×]+a×(-2)+2=6-2a, 又f(x)+f(x)≤5,所以6-2a≤5,解得a≥. 1 2 综上,≤a<3. …………………………(12分) 19.【答案】解 1 2 (x−2)(x−1) (1)因为a=1,所以f(x)=2lnx+ x2−3x,f '(x)= +x−3= (x>0),··············2分 2 x x 令f '(x)>0,解得02,令f '(x)<0,解得10 ∴ x +x =2a>0 ,解得:a>1,···············································································7分 1 2 x x =a>0 1 2 ( a a ) ∴g(x )+g(x )−4a= −x +2alnx + −x +2alnx −4a 1 2 x 1 1 x 2 2 1 2 a(x +x ) = 1 2 −(x +x )+2aln(x x )−4a=2alna−4a;····················································9分 x x 1 2 1 2 1 2 令ℎ(a)=2alna−4a(a>1),则ℎ'(a)=2lna−2, ∴当a∈(1,e)时,ℎ'(a)<0;当a∈(e,+∞)时,ℎ'(a)>0; ∴ℎ(a)在(1,e)上单调递减,在(e,+∞)上单调递增;·························································13分 ∴ℎ(a) = ℎ(e)=2e−4e=−2e, min 即g(x )+g(x )−4a的最小值为−2e. ··········································································15分 1 2