当前位置:首页>文档>高二数学(江苏专用,苏教版2019)(解析版)(1)_1多考区联考_0914黄金卷:2024-2025学年高二上学期入学摸底考试数学试卷21套(含答题卡)

高二数学(江苏专用,苏教版2019)(解析版)(1)_1多考区联考_0914黄金卷:2024-2025学年高二上学期入学摸底考试数学试卷21套(含答题卡)

  • 2026-04-08 18:09:10 2026-02-11 03:05:25

文档预览

高二数学(江苏专用,苏教版2019)(解析版)(1)_1多考区联考_0914黄金卷:2024-2025学年高二上学期入学摸底考试数学试卷21套(含答题卡)
高二数学(江苏专用,苏教版2019)(解析版)(1)_1多考区联考_0914黄金卷:2024-2025学年高二上学期入学摸底考试数学试卷21套(含答题卡)
高二数学(江苏专用,苏教版2019)(解析版)(1)_1多考区联考_0914黄金卷:2024-2025学年高二上学期入学摸底考试数学试卷21套(含答题卡)
高二数学(江苏专用,苏教版2019)(解析版)(1)_1多考区联考_0914黄金卷:2024-2025学年高二上学期入学摸底考试数学试卷21套(含答题卡)
高二数学(江苏专用,苏教版2019)(解析版)(1)_1多考区联考_0914黄金卷:2024-2025学年高二上学期入学摸底考试数学试卷21套(含答题卡)
高二数学(江苏专用,苏教版2019)(解析版)(1)_1多考区联考_0914黄金卷:2024-2025学年高二上学期入学摸底考试数学试卷21套(含答题卡)
高二数学(江苏专用,苏教版2019)(解析版)(1)_1多考区联考_0914黄金卷:2024-2025学年高二上学期入学摸底考试数学试卷21套(含答题卡)
高二数学(江苏专用,苏教版2019)(解析版)(1)_1多考区联考_0914黄金卷:2024-2025学年高二上学期入学摸底考试数学试卷21套(含答题卡)
高二数学(江苏专用,苏教版2019)(解析版)(1)_1多考区联考_0914黄金卷:2024-2025学年高二上学期入学摸底考试数学试卷21套(含答题卡)
高二数学(江苏专用,苏教版2019)(解析版)(1)_1多考区联考_0914黄金卷:2024-2025学年高二上学期入学摸底考试数学试卷21套(含答题卡)
高二数学(江苏专用,苏教版2019)(解析版)(1)_1多考区联考_0914黄金卷:2024-2025学年高二上学期入学摸底考试数学试卷21套(含答题卡)
高二数学(江苏专用,苏教版2019)(解析版)(1)_1多考区联考_0914黄金卷:2024-2025学年高二上学期入学摸底考试数学试卷21套(含答题卡)
高二数学(江苏专用,苏教版2019)(解析版)(1)_1多考区联考_0914黄金卷:2024-2025学年高二上学期入学摸底考试数学试卷21套(含答题卡)
高二数学(江苏专用,苏教版2019)(解析版)(1)_1多考区联考_0914黄金卷:2024-2025学年高二上学期入学摸底考试数学试卷21套(含答题卡)
高二数学(江苏专用,苏教版2019)(解析版)(1)_1多考区联考_0914黄金卷:2024-2025学年高二上学期入学摸底考试数学试卷21套(含答题卡)
高二数学(江苏专用,苏教版2019)(解析版)(1)_1多考区联考_0914黄金卷:2024-2025学年高二上学期入学摸底考试数学试卷21套(含答题卡)
高二数学(江苏专用,苏教版2019)(解析版)(1)_1多考区联考_0914黄金卷:2024-2025学年高二上学期入学摸底考试数学试卷21套(含答题卡)
高二数学(江苏专用,苏教版2019)(解析版)(1)_1多考区联考_0914黄金卷:2024-2025学年高二上学期入学摸底考试数学试卷21套(含答题卡)
高二数学(江苏专用,苏教版2019)(解析版)(1)_1多考区联考_0914黄金卷:2024-2025学年高二上学期入学摸底考试数学试卷21套(含答题卡)
高二数学(江苏专用,苏教版2019)(解析版)(1)_1多考区联考_0914黄金卷:2024-2025学年高二上学期入学摸底考试数学试卷21套(含答题卡)
高二数学(江苏专用,苏教版2019)(解析版)(1)_1多考区联考_0914黄金卷:2024-2025学年高二上学期入学摸底考试数学试卷21套(含答题卡)

文档信息

文档格式
docx
文档大小
1.378 MB
文档页数
17 页
上传时间
2026-02-11 03:05:25

文档内容

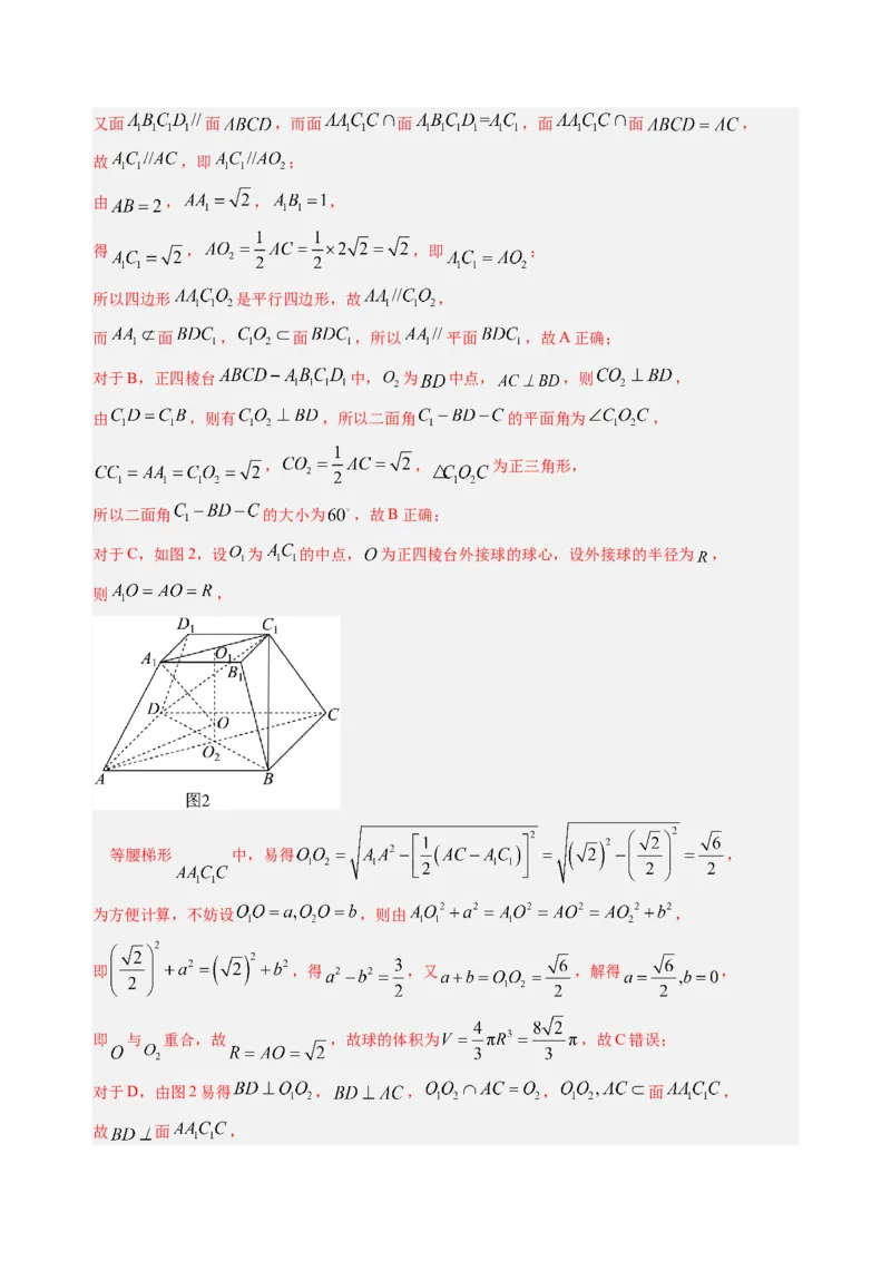
新高二开学摸底考试卷(江苏专用,苏教版 2019) 数 学 (考试时间:120分钟 试卷满分:150分) 注意事项: 1.答卷前,考生务必将自己的姓名、考生号等填写在答题卡和试卷指定位置上。 2.回答选择题时,选出每小题答案后,用铅笔把答题卡对应题目的答案标号涂黑。如需改动,用橡皮 擦干净后,再选涂其他答案标号。回答非选择题时,将答案写在答题卡上。写在本试卷上无效。 3.考试范围:苏教版2019必修第一册、第二册以及选修必修第一册直线与方程 4.考试结束后,将本试卷和答题卡一并交回。 一、选择题:本题共8小题,每小题5分,共40分.在每小题给出的四个选项中,只有一 项是符合题目要求的. 1.已知集合 ,则“ ”是“ ”的( )条件. A. 充分不必要 B. 必要不充分 C. 充要 D. 既不充分又不必要 【答案】C 【分析】根据集合的基本关系以及充分必要条件的判断即可得解. 【详解】因为 ,所以 , 因为 ,所以 , 所以 是 的充要条件, 故选:C. 2.若复数 满足 ,则 等于( ) A. B. C. D. 2 【答案】A 【分析】由复数的除法法则求得 ,可求 . 【详解】由 ,可得 , 所以 , 所以 .故选:A. 3.某射击运动员射击6次,命中的环数如下:7,9,6,9,10,7,则关于这组数据的说法正确的是( ) A. 极差为10 B. 中位数为7.5 C. 平均数为8.5 D. 标准差为 【答案】D 【分析】利用极差、中位数、平均数、标准差的定义,根据条件逐一对各个选项分析判断即可得出结 果. 【详解】某射击运动员射击6次,命中的环数从小到大排列如下:6,7,7,9,9,10, 对A,极差为 ,故A错误; 对B,中位数为 ,故B错误; 对C,平均数为 ,故C错误; 对D,标准差 ,故D正确. 为 故选:D 4.已知向量 ,向量 在 上的投影向量为 ,则 ( ) A. -2 B. -1 C. 1 D. 2 【答案】A 【分析】根据投影向量的定义式,结合题意即可求得. 【详解】由向量 ,可得 , 因向量 在 上的投影向量为 , 由题意, ,解得 . 故选:A. 5.已知直线 与直线 关于点 对称,则实数 的值为( ) A. 2 B. 6 C. D. 【答案】A 【分析】根据线关于点对称即可得两直线平行,进而根据点的对称代入求解即可. 【详解】由于直线 与直线 关于点 对称, 所以两直线平行,故 ,则 ,由于点 在直线 上, 关于点 的对称点为 , 故 在 上,代入可得 ,故 , 故选:A 6.已知 , 是两条不同的直线, , 是两个不同的平面,则下列命题正确的是( ) A. 若 , , ,则 B. 若 , , ,则 C. 若 , , ,则 D. 若 , , ,则 【答案】D 【分析】根据空间中线线、线面、面面的位置关系一一判断即可. 【详解】对于A:若 , ,则 或 ,又 ,则 或 与 相交,故A错 误; 对于B:若 , ,则 或 ,又 ,则 或 与 相交,故B错误; 对于C:若 , ,则 ,又 ,则 与 平行或异面,故C错误; 对于D:若 , ,则 或 , 若 ,则在平面 内存在直线 ,使得 ,又 ,则 , 又 ,所以 ; 若 ,又 ,所以 ; 综上可得,由 , , ,可得 ,故D正确. 故选:D 7.设 为锐角,若 ,则 的值为( ) A. B. C. D. 【答案】B 【分析】根据给定条件,利用诱导公式、同角公式及二倍角公式求解即得. 【详解】由 为锐角,得 ,而 , 因此 , 所以 .故选:B 8.若函数 是定义域为 的奇函数,且 , ,则下列说法不正确的是( ) A. B. 的图象关于点 中心对称 C. 的图象关于直线 对称 D. 【答案】D 【分析】对于A:根据 ,赋值令 ,即可得结果;对于C:根据 结合奇函数定义可得 ,即可得结果;对于B:根据选项B中结论分析可得 ,即可得结果;对于D:分析可知:4为 的周期,结合周期性分析求解. 【详解】因为 , , 对于选项A:令 ,可得 ,故A正确; 对于选项C:因为函数 是定义域为 的奇函数,则 , 则 ,所以 的图象关于直线 对称,故C正确; 对于选项B:因为 ,可得 , 则 , 即 ,所以 的图象关于点 中心对称,故B正确; 对于选项D:因为 , 令 ,可得 , 令 ,可得 , 又因为 ,则 , 可知4为 的周期,可得 ,即 , 因为 ,所以 ,故D错误; 故选:D 二、选择题:本题共3小题,每小题6分,共18分.在每小题给出的选项中,有多项符合 题目要求.全部选对的得6分,部分选对的得部分分,有选错的得0分. 9.盒子里有3个红球和2个白球,从中不放回地依次取出2个球,设事件 “两个球颜色相同”, “第1次取出的是红球”, “第2次取出的是红球”, “两个球颜色不同”.则( ) A. 与 互为对立事件 B. 与 互斥 C. A与B相互独立 D.【答案】AD 【分析】依次列出样本空间,事件 、 、 、 包含的基本事件,由事件的基本关系及概率公式一 一判定选项即可. 【详解】依题意可设 个红球为 , , ,2个白球为 , ,则样本空间为: ,共 个基本事件. 事件 ,共 个基本 事件. 事件 ,共 个基本事件. 事件 ,共 个基本事件. 事件 , 共 个基本事件. 对于A,显然 、 不可能同时发生,且 与 中一定有一个会发生,所以 与 互为对立事件,故 A正确; 对于B:注意到 ,则 与 不互斥,故B错误; 对于C:因为 , 则 ,故 与 不独立,故C错误; 对于D: ,故D正确. 故选:AD 10.已知函数 ,则( ) A. 的最小正周期为 B. C. 的图象关于直线 对称 D. 在区间 上单调递增 【答案】BD 【分析】利用二倍角公式及两角和的正弦公式化简,在根据正弦函数的性质计算可得.【详解】因为 , 所以 的最小正周期 ,故A错误; 因为 ,所以 ,故B正确; 因为 ,所以 的图象不关于直线 对称,故C错误; 当 ,则 ,又 在 上单调递增, 所以 在区间 上单调递增,故D正确. 故选:BD 11.在正四棱台 中, , , ,点E在 内部(含边 界),则( ) A. 平面 B. 二面角 的大小为 C. 该四棱台外接球的体积为 D. 的最小值为 【答案】ABD 【分析】对于A, 为 中点,证明 证得 平面 ;对于B,几何法求二面角的 大小;对于C,先假设球心 的位置,利用勾股定理与半径相等建立方程组进而确定 的位置,可求 得球的半径并计算体积;对于D,先判断 落在 上,再进一步判断 与 重合时, 取 得最小值. 【详解】对于A,如图1,设底面 对角线交于点 , 由棱台的结构特征易知 与 的延长线必交于一点,故 共面,又面 面 ,而面 面 ,面 面 , 故 ,即 ; 由 , , , 得 , ,即 ; 所以四边形 是平行四边形,故 , 而 面 , 面 ,所以 平面 ,故A正确; 对于B,正四棱台 中, 为 中点, ,则 , 由 ,则有 ,所以二面角 的平面角为 , , , 为正三角形, 所以二面角 的大小为 ,故B正确; 对于C,如图2,设 为 的中点, 为正四棱台外接球的球心,设外接球的半径为 , 则 , 等腰梯形 中,易得 , 在 为方便计算,不妨设 ,则由 , 即 ,得 ,又 ,解得 , 即 与 重合,故 ,故球的体积为 ,故C错误; 对于D,由图2易得 , , , 面 , 故 面 ,不妨设 落在图3 (在 外)处,过 作 ,交 于 , 则 面 , 面 ,故 , 故在 中, (直角边小于斜边);同理, , 所以 ,故动点 只有落在 上, 才有可能取得最小值; 再看图4,由AB选项可知, , , 和 都为正三角形, 关于 的对称点为 , 可知 , 即 与 重合时, 有最小值 ,故D正确; 故选:ABD. 三、填空题:本题共3小题,每小题5分,共15分. 12.直线 恒过定点______. 【答案】 ACD 【分析】整理直线方程,可化为 ,当 且 时, 无论 取何值,方程恒成立,解方程组即可解得定点,即可判断正误; 【详解】因为直线 , 即 , 令 ,解得 , 即直线 恒过定点 , 故答案为: 13.已知 是边长为1的正三角形, 是 上一点且 ,则 _________ 【答案】【分析】根据题意得 ,由 三点共线求得 ,利用向量数量积运算求解. 1 2 8 【详解】 , ⃗AN= ⃗AC ,且 ⃗AP=m⃗AB+ ⃗AC=m⃗AB+ ⃗AN , 4 9 9 而 三点共线, ,即 , 1 2 ⃗AP= ⃗AB+ ⃗AC , 9 9 所以 . 故答案为: 14.古希腊数学家托勒密于公元150年在他的名著《数学汇编》里给出了托勒密定理:圆的内接凸四边 形的两对对边乘积的和等于两条对角线的乘积.已知平面凸四边形ABCD外接圆半径为1, .则(1) __________;(2) 的最小值为 __________. 【答案】 ①. ②. 【分析】由正弦定理可得 的比,由余弦定理可得 的值,由正弦定理可得 的值,再由托勒密定理可得 的表达式,由基本不等式可得它的最小值. 【详解】 , 由正弦定理可得: , 设 , 由余弦定理可得 , 在 中, ,可得 ,由正弦定理可得 , , , 设 ,由余弦定理得 , 由托勒密定理得 , 即 ,平方得 , 设 , ,当且仅当 且 ,即 时取等号, 的最小值为 ,即 的最小值为 . 故答案为: ; . 四、解答题:本题共5小题,共77分.解答应写出文字说明、证明过程或演算步骤. 15.2024年5月15日是第15个全国公安机关打击和防范经济犯罪宣传日,某市组织了多个小分队走进 社区,走进群众,开展主题为“与民同心,为您守护”的宣传活动,为了让宣传更加全面有效,某个分队 随机选择了200位市民进行宣传,这些市民年龄的样本数据的频率分布直方图如图:(1)请估计这200位市民的平均年龄(同组数据用组中值代替); (2)现用分层抽样 的方法从年龄在区间 和 两组市民中一共抽取6人,再从这6人中随 机抽取2人进行电话回访,求“抽取的2人的年龄差大于10岁”的概率. 【答案】(1) (2) 【分析】(1)根据频率分布直方图中平均数计算规则计算可得; (2)首先求出年龄在区间 和 中抽取的人数,再列出所有可能结果,最后由古典概型 的概率公式计算可得. 【详解】(1)由频率分布直方图可得这200位市民的平均年龄为: (2)样本中年龄在区间 的频率为 , 年龄在区间 的频率为 , 则年龄在区间 抽取 人,分别记作 、 、 、 , 年龄在区间 抽取 人,分别记作 、 , 从这6人中随机抽取2人进行电话回访可能结果有 、 、 、 、 、 、 、 、 、 、 、 、 、 、 共 个, 其中满足抽取的2人的年龄差大于10岁的有 、 、 、 、 、 、 、 共 个, 所以“抽取的2人的年龄差大于10岁”的概率 . 16.如图,在四棱锥 中,底面ABCD为平行四边形, 底面ABCD, , ,E为PD中点,F为PB中点,M为CE中点.(1)求证:平面 平面PAB; (2)求证: 平面BDM. 【答案】(1)证明见解析 (2)证明见解析 【分析】(1)证明出 即可证明出 平面PAB从而证明出平面 平面 PAB. (2)先证明平面 平面BDM.再利用面面平行的性质证明即可.. 【详解】(1) 底面ABCD. 平面ABCD, . 又 , , 平面PAB 平面PAB. 平面ACE, 平面 平面PAB. (2)连接EF、AE,连接AC交BD于点O,连接OM. 在 中,M,O分别为CE,AC中点, . 又 平面BDM,OM 平面BDM, 平面BDM: 在 中,E,F分别为PD,PB中点, . 又 平面BDM, 平面BDM. 平面BDM; 又AE, 平面AEF, , 平面 平面BDM. 又 平面AEF,所以 平面BDM. 17.已知 的顶点 , , . (1)若直线 过顶点 ,且顶点A, 到直线 的距离相等,求直线 的方程; (2)数学家欧拉于1765年在他的著作《三角形的几何学》中首次提出:三角形的外心、重心、垂心共 线,这条直线称为欧拉线.求 的欧拉线方程.【答案】(1) 或 (2) 【分析】(1)根据题意可设直线 ,结合点到直线的距离公式运算求解; (2)根据外心在 的中垂线为 可设 ,及到顶点距离相等列方程可得 ,结合 重心 求直线方程. 【详解】(1)若直线 的斜率不存在,显然不合题意,可设直线 ,即 , 由题意可得: , 整理得 ,解得 或 , 所以直线 的方程 或 . (2)因为 的中垂线为 ,可设 的外心 , 又因为 ,可得 , 则 ,解得 ,即 , 由题意可知: 的重心 ,则欧拉线的斜率为 , 故 的欧拉线的方程为 ,即 . 18.在 中,已知角 , , 所对的边分别为 , , , . (1)求角 的大小; (2)若 为锐角三角形,求 的取值范围. 【答案】(1) (2) 【分析】(1)由二倍角的正弦和余弦公式,结合余弦定理将角转化为边,可将式子变形为 ,再利用余弦定理即可求解; (2)利用正弦定理将边转化为角,再结合三角恒等变换可得 ,根据锐角三角形 可得 的取值范围,结合三角函数的图象和性质即可求解.【详解】(1)在 中, , 因为 , 所以 , 化简得 ,由余弦定理得 , 又 ,所以 ; (2)由正弦定理知 , 由 为锐角三角形可知 ,而 , 所以 得 , 所以 , 所以 ,即 ,则 的取值范围为 . 19.如图,在四棱柱 中,已知侧面 为矩形, , , , , , ⃗AE=2⃗EA , . 1 (1)求证:平面 平面 ; (2)求证:平面 平面 ; (3)若三棱锥 的体积为 ,求平面 与平面 的夹角的余弦值. 【答案】(1)证明见解析 (2)证明见解析 (3) 或 . 【分析】(1)由已知可得 平面 , 平面 ,从而可证结论; (2)由余弦定理可得 ,从而可证 ,进而结合已知可证 平面 ,可证 结论; (3)延长 交于 ,过 作 于 ,过 作 于 ,连接 ,可得 为平面 与平面 所成二面角的平面角,求解即可. 【详解】(1)因为 ⃗AE=2⃗EA , ,所以 , 1 又 平面 , 平面 ,所以 平面 , , ,可得 ,又 , , 所以 是等边三角形,所以 , , 又 ,所以 ,又 平面 , 平面 , 平面 ,又 ,又 平面 ,所以平面 平面 ; (2)由侧面 为矩形,可得 , 连接 ,可得 是等边三角形,所以 , 所以 ,又 , , 由余弦定理可得 ,所以 , 所以 ,所以 ,所以 ,所以 , 又 , 平面 ,所以 平面 , 又 平面 ,所以平面 平面 ; (3)延长 交于 ,可得 是等边三角形, 过 作 于 , 由(1)可知 平面 ,所以三棱锥 的体积即为三棱锥 的体积, 又三棱锥 的体积等于三棱锥 的体积, 由(2)可知平面 平面ABCD,且两平面的交线为 ,所以 平面 , 所以 , 解得 ,过 作 于 ,连接 , 平面 , 平面 ,所以 , 又 , 平面 ,所以 平面 , 又 平面 , , 所以 为平面 与平面 所成二面角的平面角,若 ,则点 在线段 上,且为 中点, 又 ,由勾股定理可得 , 所以 ,所以 ,所以由勾股定理可得 , 所以 , 所以平面 与平面 的夹角的余弦值为 ; 若 ,则点 在线段 延长线上,此时 , .