当前位置:首页>文档>浙江省A9协作体暑假返校联考数学答案_2025年8月_250828浙江省A9协作体暑假返校联考(全科)

浙江省A9协作体暑假返校联考数学答案_2025年8月_250828浙江省A9协作体暑假返校联考(全科)

  • 2026-04-01 16:24:33 2026-02-11 13:56:29

文档预览

浙江省A9协作体暑假返校联考数学答案_2025年8月_250828浙江省A9协作体暑假返校联考(全科)
浙江省A9协作体暑假返校联考数学答案_2025年8月_250828浙江省A9协作体暑假返校联考(全科)
浙江省A9协作体暑假返校联考数学答案_2025年8月_250828浙江省A9协作体暑假返校联考(全科)
浙江省A9协作体暑假返校联考数学答案_2025年8月_250828浙江省A9协作体暑假返校联考(全科)
浙江省A9协作体暑假返校联考数学答案_2025年8月_250828浙江省A9协作体暑假返校联考(全科)
浙江省A9协作体暑假返校联考数学答案_2025年8月_250828浙江省A9协作体暑假返校联考(全科)

文档信息

文档格式
pdf
文档大小
0.318 MB
文档页数
3 页
上传时间
2026-02-11 13:56:29

文档内容

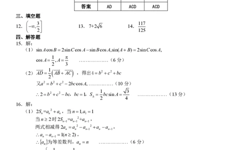
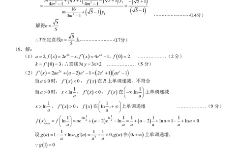
浙江省 A9 协作体 返校联考 高三数学参考答案 一、选择题 题号 1 2 3 4 5 6 7 8 答案 D B D A B C A C 二、多项选择题 题号 9 10 11 答案 AD ACD ACD 三、填空题 12. 浙江省A9协作体 数学答案 第 1 页 共 3 页  −  , 3 2  13. 7 + 2 6 14. 1 1 1 2 7 5 四、解答题 15.解: (1) s in A c o s B = 2 s in C c o s A − s in B c o s A , s in ( A + B ) = 2 s in C c o s A , c o s A = 1 2 , A =  3 ………………(6分) (2) A D = 1 2 ( A B + A C ) , 得 出 4 = b 2 + c 2 + b c 又 a 2 = b 2 + c 2 − 2 b c c o s A , ……………(10分)  2 = b 2 + c 2 − b c , b c = 1 , S  = 1 2 b c s in A = 4 3 ………………(13分) 16.解: (1) 2 S n = a n 2 + a n ,当 n = 1 , a 1 = 1 当 n  2 时 2 S n − 1 = a n − 21 + a n − 1 , 两式相减得 2 a n = a n 2 − a n − 21 + a n − a n − 1 ,  a n − a n − 1 = 1 ( n  2 ) , a 为等差数列,a =n ………………(6分) n n  1 1 = ,n为奇数 (2)b =   a a n(n+2) ………………(8分) n n n+2  a +1=n+1 , n为偶数 n T 2 n = 1 1  3 + 3 + 3 1  5 + 5 + + ( 2 n − 1 1) ( 2 n + 1 ) + 2 n + 1  1 1 1  = + + + +(3+5+ +2n+1)  13 35 (2n−1)(2n+1)   1 1 1 1 1 1  n(3+2n+1) = 1− + − + + − + 2  3 3 5 (2n−1) (2n+1) 2  浙江省A9协作体 数学答案 第 2 页 共 3 页 = 2 n n + 1 + n 2 + 2 n ………………(15分) 17.解: (1)分别取 A D 、 B C 、 P B 的中点为 F 、 M 、 N ,连接EF、FM、MN、EN. P D ⊥ 平面 A B C D , E F ∥ P D , E F ⊥ 平面 A B C D , E F ⊥ B C F M ⊥ B C , E F F M = F , B C ⊥ 平面 E F M N  Q 轨迹是线段 M N , 长度是 2 (5分) (2)如图建系 A ( 2 , 0 , 0 ) , M (1 , 2 , 0 ) , N (1 ,1 ,1 ) , 设 N Q =  N M ,    0 ,1  , ( 7 分 ) D Q = D N +  N M = ( 1 ,1 +  ,1 −  ) , D A = ( 2 , 0 , 0 ) , 可求得平面 Q A D 的法向量 m = ( 0 , − 1 , + 1 ) ,平面 A B D 的法向量 n = ( 0 ,0 ,1 ) , +1 3 10 cos= cosm,n = = ,解得 (−1)2 +(+1)2 10  = 1 2 ,  Q  1 , 3 2 , 1 2  , P ( 0 ,0 , 2 ) , E ( 1 ,0 ,1 ) ,C ( 0 , 2 ,0 ) ,C B = ( 2 ,0 ,0 ) , P C = ( 0 , 2 , − 2 ) , 可求得平面 P B C 的法向量 u = ( 0 ,1 ,1 ) , s in c o s A Q , u 2 2 7 2 2 7 7 .  =   = = 18.解 (1) c a  = x 2 − 5 , y 4 4 2 a 2 = − 1 1 b 2 2 = 1 , c 2 = a 2 + b 2 z P N E D F C y M A B x 4x2 − y2 −4=0 (2) 联立得 ( 4m2 −1 ) y2 +8 5my+16=0, x=my+ 5 已知A(−1,0),B(1,0) 设P(x,y ),Q(x ,y ),T(n,t), 1 1 2 2         ( 1 5 分 ) (12分) (5分)韦达定理得 浙江省A9协作体 数学答案 第 3 页 共 3 页 y 1 + y 2 = − 4 8 m 2 5 − m 1 , y 1 y 2 = 4 m 1 6 2 − 1 , A P : y = x y 1+ 1 1 ( x + 1 ) , B P : y = x y 2 2− 1 ( x − 1 ) , 将 T 代入得 t = x 1 y 1+ 1 ( n + 1 ) , t = x y 2 2− 1 ( n − 1 ) , 两式相除得 n n + − = 1 1 m = (( 4 x + 1 x − 2 1 62 m − ) 1 ) 1 1 m y y + 2 = 1 ( 1 4 m (( 5 62 m m + − y y 1 1 1 2 ) + + + − 8 4 m( 5 + 5 − 5 m 2 − 5 − 1 1 1 1 )) − ) y 2 y 1 ( y 1 = 5 m + y 1 1 ) y y 2 1 + = ( − ) ( 5 + 1 m y y + 1 2 ( 5 + 1 ( ) 5 − 1 y ( ) 1 + 5 y − ) − 2 ) 1 y ( 1 5 + 1 ) y 1 解  得 T 在 n 定 = 直 5 5 线 x = 5 5 上 19.解: (1) a = 2 , f ( x ) = 2 e 2 x − x , f  ( x ) = 4 e 2 x − 1 , f (0)=2 ………………(2分) k = f(0)=3,∴直线为y=3x+2 ………………(5分) (2) f  ( x ) = 2 a e 2 x + ( a − 2 ) e x − 1 = ( 2 e x + 1 ) ( a e x − 1 ) 当 a  0 时, f  ( x )  0 , f (x)在R上单调递减,不符合 当 a  0 时, x  ln 1 a , f  ( x )  0 , f (x)在  −  ,ln 1 a  上单调递减 x  ln 1 a , f  ( x )  0 , f ( x ) 在  ln 1 a +   , 上单调递增 ………………(9分) f ( x ) m in = f  ln 1 a  = a e 2 ln 1a + ( a − 2 ) e ln 1a − ln 1 a = 1 a + ( a − 2 ) 1 a + ln a = 1 − 1 a + ln a  0 . 1 1 1 设g(a)=1− +lna,g(a)= + 0,g(a)在 a a2 a ( 0 , +  ) 上单调递增, g(1)=0 g(a)0得0a1 ………………(12分) (3)当 a  0  1 1 时, f (x) = f ln =1− +lna min  a a 设 h ( a ) = 1 − 1 a + ln a − ( 3 ln a − a 2 − 1 a ) = a 2 − 2 ln a + 1 2 2(a−1)(a+1) h(a)=2a− = a a h(a)在(0,1)单调递减,(1,+)单调递增h(a)h(1)=20 1 f (x)3lna−a2 − ………………(17分) a ( 9 分 ) (14分)         ( 1 7 分 ) (11分)