当前位置:首页>文档>高三9月数学答案_2025年9月_250916河南师范大学附属中学2025-2026学年高三上学期9月开学考试(全科)_河南师范大学附属中学2025-2026学年高三上学期9月开学考试数学试题(含答案)

高三9月数学答案_2025年9月_250916河南师范大学附属中学2025-2026学年高三上学期9月开学考试(全科)_河南师范大学附属中学2025-2026学年高三上学期9月开学考试数学试题(含答案)

  • 2026-04-15 04:49:32 2026-02-12 04:00:19

文档预览

高三9月数学答案_2025年9月_250916河南师范大学附属中学2025-2026学年高三上学期9月开学考试(全科)_河南师范大学附属中学2025-2026学年高三上学期9月开学考试数学试题(含答案)
高三9月数学答案_2025年9月_250916河南师范大学附属中学2025-2026学年高三上学期9月开学考试(全科)_河南师范大学附属中学2025-2026学年高三上学期9月开学考试数学试题(含答案)
高三9月数学答案_2025年9月_250916河南师范大学附属中学2025-2026学年高三上学期9月开学考试(全科)_河南师范大学附属中学2025-2026学年高三上学期9月开学考试数学试题(含答案)
高三9月数学答案_2025年9月_250916河南师范大学附属中学2025-2026学年高三上学期9月开学考试(全科)_河南师范大学附属中学2025-2026学年高三上学期9月开学考试数学试题(含答案)
高三9月数学答案_2025年9月_250916河南师范大学附属中学2025-2026学年高三上学期9月开学考试(全科)_河南师范大学附属中学2025-2026学年高三上学期9月开学考试数学试题(含答案)
高三9月数学答案_2025年9月_250916河南师范大学附属中学2025-2026学年高三上学期9月开学考试(全科)_河南师范大学附属中学2025-2026学年高三上学期9月开学考试数学试题(含答案)
高三9月数学答案_2025年9月_250916河南师范大学附属中学2025-2026学年高三上学期9月开学考试(全科)_河南师范大学附属中学2025-2026学年高三上学期9月开学考试数学试题(含答案)
高三9月数学答案_2025年9月_250916河南师范大学附属中学2025-2026学年高三上学期9月开学考试(全科)_河南师范大学附属中学2025-2026学年高三上学期9月开学考试数学试题(含答案)

文档信息

文档格式
docx
文档大小
0.251 MB
文档页数
4 页
上传时间
2026-02-12 04:00:19

文档内容

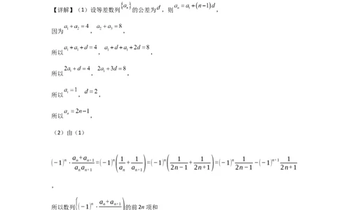
高三 9 月数学答案 1.C 2.A 3.D 4.C 5.A 6.D 7.D 8.A 9.AC 10.ACD 11 AC 12 13. 14. 15.(1) (2)单调递增区间是 ,单调递减区间是 【详解】(1)因 ,则 , 又 ,即切点为 , 故 在点 处的切线方程为 ,即 . (2)因 的定义域为 , 令 得 ,令 得 , 故得 的单调递增区间是 ,单调递减区间是 . 16.(1) (2)8 【详解】(1)由抛物线的性质, ,故抛物线 . (2)由直线 的倾斜角为45°,则斜率为1,直线方程为 , 设 ,联立 , ,故 . 17.(1)婴儿出生的时间与性别无关.(2) 【详解】(1)零假设 :婴儿出生的时间与性别无关.根据小概率值 的独立性检验,我们没有充分的证据推断 不成立, 即婴儿出生的时间与性别无关. (2)根据分层抽样的性质可知:晚上出生的婴儿中男生与女生的比例为 . 因此选出11人中,男婴儿人数为 人,女婴儿人数为 人 , 18.(1)证明见解析(2) 【详解】(1)取 中点 ,连接 , , ∵ , ,点 为 中点, ∴ , 又 ∥ ,∴四边形 为平行四边形, ∴ ∥ , ,∵ 为正方形, ∴ ∥ , ,∴ ∥ , , ∴四边形 为平行四边形,∴ ∥ , 又 平面 , 平面 ,∴ ∥平面 . (2)以 为原点,分别以 , , 为 , , 轴建立如图所示的空间直角坐标系, 可得 , , , , 则 , , , 设平面 的法向量为 , ,令 ,则 , ,所以 , 设平面 的法向量为 , ,令 ,则 , ,所以 ,, 所以平面 与平面 所成角的余弦值为 . 19.(1) (2) 【详解】(1)设等差数列 的公差为 ,则 , 因为 , , 所以 , , 所以 , , 所以 , , 所以 , (2)由(1) (−1) n ⋅ a n +a n+1=(−1) n( 1 + 1 ) =(−1) n( 1 + 1 ) =(−1) n 1 −(−1) n+1 1 a a a a 2n−1 2n+1 2n−1 2n+1 n n+1 n n+1 , 所以数列 { (−1) n ⋅ a n +a n+1 ) 的前2n项和 a a n n+1 ( 1) (1 1) ( 1 1) (1 1) ( 1 1 ) ( 1 1 ) S = −1− + + + − − + + +⋅⋅⋅+ − − + + 2n 3 3 5 5 7 7 9 4n−3 4n−1 4n−1 4n+1 所以 ,所以数列 { (−1) n ⋅ a n +a n+1 ) 的前2n项和 . a a n n+1