当前位置:首页>文档>2024年湖北云学部分重点高中联盟高三年级10月联考历史试题_2024-2025高三(6-6月题库)_2024年10月试卷_10122025届湖北云学部分重点高中联盟高三年级10月联考

2024年湖北云学部分重点高中联盟高三年级10月联考历史试题_2024-2025高三(6-6月题库)_2024年10月试卷_10122025届湖北云学部分重点高中联盟高三年级10月联考

  • 2026-03-20 00:05:46 2026-02-17 15:59:01

文档预览

2024年湖北云学部分重点高中联盟高三年级10月联考历史试题_2024-2025高三(6-6月题库)_2024年10月试卷_10122025届湖北云学部分重点高中联盟高三年级10月联考
2024年湖北云学部分重点高中联盟高三年级10月联考历史试题_2024-2025高三(6-6月题库)_2024年10月试卷_10122025届湖北云学部分重点高中联盟高三年级10月联考
2024年湖北云学部分重点高中联盟高三年级10月联考历史试题_2024-2025高三(6-6月题库)_2024年10月试卷_10122025届湖北云学部分重点高中联盟高三年级10月联考
2024年湖北云学部分重点高中联盟高三年级10月联考历史试题_2024-2025高三(6-6月题库)_2024年10月试卷_10122025届湖北云学部分重点高中联盟高三年级10月联考
2024年湖北云学部分重点高中联盟高三年级10月联考历史试题_2024-2025高三(6-6月题库)_2024年10月试卷_10122025届湖北云学部分重点高中联盟高三年级10月联考
2024年湖北云学部分重点高中联盟高三年级10月联考历史试题_2024-2025高三(6-6月题库)_2024年10月试卷_10122025届湖北云学部分重点高中联盟高三年级10月联考

文档信息

文档格式
pdf
文档大小
0.482 MB
文档页数
6 页
上传时间
2026-02-17 15:59:01

文档内容

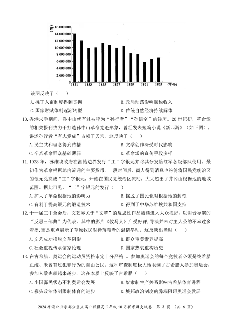
2024 年湖北云学部分重点高中联盟高三年级 10 月联考 历史试卷 命题学校:恩施高中 命题人:骆雪芬 谭盈盈 方旖旎 审题单位:云学研究院 考试时间:2024年10月9日14:30-11:45 时长:75分钟 满分:100分 一、选择题:本题共 15 小题,每小题 3分,共45 分。在每小题给出的四个选项中,只有一 项是符合题目要求的。 1.下表为古代文献对 “万邦 ”时代的相关记载 记载 出处 (大禹)沐甚雨,栉疾风,置万国 《庄子·天下篇》 禹会诸侯于涂山,执玉帛者万国 《左转》 斶闻古大禹之时,诸侯万国……及汤之时,诸侯三千 《战国策·齐策四》 黄帝时万诸候,而神灵之封居七千。天下名山八,而三在 《史记·封禅书》 蛮夷,五在中国 据此可推断,“万邦时代”( ) A.已形成炎黄子孙的国家认同 B.出现了明显的阶级分化 C.正处于社会转型的过渡时期 D.为分封制奠定初步基础 2.学者卜宪群指出:“不能设想,在地主阶级掌握政权和自然经济占统治地位的情况下,可以出 现一个没有专制主义的统一的中央集权的大国。秦汉时期的历史表明,凡是专制主义皇权加强 的时候,往往也是中央集权比较有效和国家统一比较巩固的时候。”卜宪群认为( ) A.秦汉皇权加强体现一定的历史进步性 B.治理思想的完善促进治理能力的提高 C.民间舆论与王朝政治的互动得以延续 D.中央集权的深化反映社会的现实需要 3.“土断”是东晋南朝为解决侨人户籍而推行的户籍管理政策。永嘉之乱后流寓江南的北方 人口称侨人,为控制侨人,在其集中分布的地区暂时借地重置了许多侨人的原籍州郡县, 侨人免除赋税。后东晋南朝废除侨置,实行土断,将侨人户口编入土郡县,一同承担赋役。 东晋户籍管理政策的变化( ) A.导致户籍混乱影响国家财政收入 B.有利于缓和矛盾维护统治秩序 C.顺应了古代赋税改革的总体趋势 D.适应了经济重心的南移的需要 4.唐墓中出土的胡人牵骆驼俑(见下图),表现了一位在丝绸之路上骆驼驮着一捆捆的丝绸 在荒凉的戈壁沙漠行走的西域胡商的形象。据此可见( ) 2024年湖北云学部分重点高中联盟高三年级10月联考历史试卷 第 1 页 (共 6 页)A.西域文化影响唐人审美 B.骆驼普遍见于唐人社会生活 C民族交融推动贸易兴盛 D.唐代手工艺品大量出口西方 5.《宋刑统》规定“脯肉有毒,曾经病人,有余者速焚之,违者杖九十;若故与人食,并出卖令 人病,徒一年;以故致死者绞;即人自食致死者,从过失杀人法(盗而食者不坐)。”这说明 宋代( ) A.社会阶级矛盾尖锐复杂 B.政府重视基层社会治理 C.法律制度体系得以建立 D.农产品商品化程度提高 6.长官司是元朝在西南少数民族地区设立的一种地方政权机构。通过任命当地有威望的人士担任 长官来维护中央集权。长官司职位往往可以世袭,职责包括管理地方事务、维护社会治安以及 征收税赋等。明清继续沿用这种制度,成为土司制度的一部分。这一机构的设立( ) A.体现了因俗而治的统治策略 B.践行了四等人制的选官原则 C.埋下了西南分裂割据的隐患 D.建立了大一统中央集权国家 7.明初设通政司,朱元璋说:“政犹水也,欲其常通,故以‘通政’名官。”其职责是“掌 受内外章疏敷奏封驳之事”,无论什么官署上奏,都必须经过通政司。天启年间魏忠贤擅 权时期,通政司形同虚设,其地位越来越低,最终成为“闲署”。 这一变化反映了( ) A.封建国家更趋稳固 B.中枢权力出现异化 C.中国社会面临危机 D.君主专制日益加强 8.明代民间契约习惯不仅遍及财产关系领域、家庭关系领域、人身关系领域,而且在工商贸易领 域以及民间社会管理领域都普遍出现了契约现象。仅《中国历代契约粹编》中有记载的,包括 买卖契约、契尾、税票等357件;典当契约9件;租佃、佃仆文约26件等。这说明明朝( ) A.政府已放弃重农抑商政策 B.商品交换关系比较发达 C.构建起近代化的金融体系 D.民众有较强的法律意识 9.下图为清朝咸丰同治时期的国家地丁银收入示意图(单位:两) 2024年湖北云学部分重点高中联盟高三年级10月联考历史试卷 第 2 页 (共 6 页)该图反映了( ) A.摊丁入亩制度得到贯彻 B.政局动荡影响赋税收入 C.国家财赋体制逐渐转型 D.传统自然经济持续解体 10.香港求学期间,孙中山就有过被呼为“孙行者”“孙悟空”的经历。20 世纪初,革命派 的相关报刊致力于打造孙中山革命党魁形象,曾经发表短篇小说《新西游》(如下图), 讲述孙行者“有志竟成”占领了天宫。这反映了( ) A.民主共和理念得到传播 B.文学创作深受时代影响 C.辛亥革命群众基础薄弱 D.革命派的宣传手段多样 11.1928 年,苏维埃政府在湘赣边界发行“工”字银元并将其分发给红军各级部队使用。最 初作为革命根据地内流通的主要货币。一段时间后,商人得到消息也纷纷将国民党统治区 的银元兑换成“工”字银元,开始在国民党统治区流动,大大超出了井冈山根据地的地域 范围。据此可见,“工”字银元的发行( ) A.扩大了革命根据地的影响力 B.摆脱了国民党对根据地的封锁 C.有利于提高银元的锻造技术 D.得到了中华苏维埃共和国支持 12.十一届三中全会后,文艺界关于“文革”的反思性作品陆续进入大众视野,以谢晋导演的 “反思三部曲”为代表。其中的影片《牧马人》广受好评,导演并未对主人公的不幸过多 着墨,而是重点展示了草原牧民对待落难者的温情举动。这反映出当时( ) A.文艺成功摆脱文革阴影 B.群众审美素养提高 C.社会重视传承儒家伦理 D.国家热衷重构历史 13.在古希腊,奥运会的运动员资格审定十分严格 。参加奥运会的每个竞技者必须是纯希腊 血统、未曾有过犯罪行为的自由公民。这种审查制度极大地限制了古希腊人参加奥运会, 参加人数也就越来越少。这在本质上反映了古希腊( ) A.小国寡民状态不利奥运会发展 B.奴隶制生产关系影响古希腊体育进程 C.寡头政治体制限制体育的进步 D.城邦政治制度的弊端阻碍奥运会发展 2024年湖北云学部分重点高中联盟高三年级10月联考历史试卷 第 3 页 (共 6 页)14.在18 世纪较长一段时间内,欧洲一度盛行中国风,尤其是中国茶成为进口的关键商品; 但到18世纪后半叶,中国热逐渐降温,中国茶也被英国媒体污名化 ,许多广告将中国茶 叶与劣质茶等同,却极力塑造印度茶叶纯正健康的形象。英国对中国茶的态度变化( ) A.源于印度制茶业的发展 B.扭转了中英贸易的逆差 C.是为了增强在世界市场的竞争力 D.受到了民族主义固有偏见的影响 15.1851年,英国在业女性仅有283万余人,30年后就业女子达到3885万人,女工约占工业劳 动力的25%,分布在纺织、服装、采矿、金属、帮佣、造纸、印刷、食品等行业。19世纪 四五十年代工业革命后期,英国女工占到工人总数的 57.75%。这一状况( ) A.解决了社会的人才缺口 B.优化了社会家庭结构 C.完善了英国的产业体系 D.有助于提升妇女地位 二、非选择题:本题共 4 小题,共55 分。 16.【唐宋变革与财政转型】(14分) 表1 唐宋税收与货币情况比较 岁入粟 岁入布绢绵 户数 平均亩数 税钱 间接税 估算总计 实物 折算额 实物 折算额 (万户) (亿亩) (万贯) (万贯) (万贯) (万石) (万贯) (万匹) (万贯) 天宝 890 6.44 2500 800 2700 1350 20 0 2170 年间 熙宁 1424.5 4.62—6.66 1788.7 1252.1 267 133.6 564.6 4248.4 6198.4 十年 ——摘编自吴松弟《中国人口史》 表2 熙宁十年赋税收入 税种 岁入(万贯) 百分比(%) 两税(税钱) 558.6 8.9 两税(实物) 1462.7 23.3 盐、茶、酒税 2192.4 35.0 商税 868.8 13.9 市易 133.2 2.1 坊场钱 602.7 9.6 市舶 54 0.9 金、银、铜税 397.3 6.3 总计 6269.7 100 ——摘编自刘光临、关檠匀《唐宋变革与宋代财政国家》 (1)根据上表,并结合所学知识,分析唐宋之际财税变化的特点。(6分) (2)根据上表,并结合所学知识,分析唐宋时期财税变化的原因。(8分) 2024年湖北云学部分重点高中联盟高三年级10月联考历史试卷 第 4 页 (共 6 页)17.【督抚制度与国家治理】(15分) 材料一 时间 督抚设置沿革概略 河南水灾,百姓流亡,右都御史王彰巡行河南发放仓米赈济,同 永乐十九年 年,为安抚军民,朝廷还派多名廷臣巡抚天下,“暂遗即还”。 宣德初,命胡概巡抚苏、松、两浙。其后数年,江西、河南诸省 宣德年间(1426---1435 年) 依次专设巡抚官。一般说来,“往来远抚”,与布政司合署办公。 总督、巡抚发展成为凌驾于三司之上的常设机构,三司只是名义 嘉靖年间(1522—1566年) 上法定的省级机构,但仍保持相对的独立性。 总督从一品,“掌厘治军民,综制文人,摹举官受,修饬封疆”, 清代前期 总管一省或二三省的地方最高军政大员。巡抚从二品,主管一省 军政民政。 材料二 督抚制度在清朝已经十分完善。中央政府在日常运作中,对于朝廷与督抚的关系,各个 督抚之间的关系,处理原则就是“大小相制、内外相维”。“大小相制”指通过统辖以大制 小、通过分权以小制大。在督抚制度中,督抚作为地方最高行政长官,统领本省文武官员此 为以大制小。地方上设置的布政使司、按察使司和将军(或提督)分别对中央的户部、刑部和 兵部负责,达到对督抚分权的目的,这是以小制大。“内外相维 ”指在中央,六部有最高行 政管理职权 ;在地方,督抚行使具体行政管理职权。这样督抚虽然拥有重要职责和权力,但 同时,这些都是中央所授 ,督抚的权力被中央严格控制。......依靠一系列制度法规和凡事 必须 “奉旨而行”的原则 ,督抚在行使权力之时受到很大制约。正因如此,中央与地方之 间保持了200多年的权力制衡。直到19世纪中叶,由于战争的原因,这种平衡被打破。 ——摘编自杨明《晚清督抚制度与权力制衡》 (1)根据材料一,指出明清时期督抚制度的变化。(5分) (2)根据材料二并结合所学知识,分析“这种平衡被打破”的含义。(4分) (3)根据材料并结合所学知识,简要评述清朝的督抚制度。(6分) 2024年湖北云学部分重点高中联盟高三年级10月联考历史试卷 第 5 页 (共 6 页)18.【远洋航运与近代化】(14分) 材料一 远洋航运是近代在华侵略势力与其本国联系起来的主要手段,同时也是他们在全世界范 围内进行争夺的重要工具,因此在激烈国际远洋航运竞争中,国家的行政力量在其中一直发 挥着很大的作用。尤其是进入帝国主义时代后,更是“以国家集团间的竞争形式”展开了一 系列激烈的竞争。就以上海为中心的远洋航运竞争而言,各资本主义国家主要是将其在上海 的远洋航运业的竞争,视为与推进本国海外势力密切相关的国力的竞争,把对远东航运业的 投资,视为国策性投资。在具体做法上采取了给予大额航运补贴以及直接行政干预的方式。 另一种行政干预的方式是对本国内航运企业进行有效整合,并以国家集团间的竞争形式展开 竞争。这种干预一方面使得远洋航运充当其对外侵略的主要工具,另一方面也增强了其远洋 航运实力,扩大了其远洋航运的市场。 材料二 远洋航运是直接沟通中西政治、经济、文化交流与发展的纽带与通道。在当时社会条件 限制下,是远洋航运的船舶逐渐将西方先进的制度、理念、文化等西方文明带到了中国,进 而使古老的农业文明开始与先进的工业文明开始发生碰撞。同时,也是远洋航运的船舶将中 国的一批批茶叶、丝绸以及其他一些大宗的原料产品带入了西方社会,进而使东方文明开始 逐渐的融入西方社会。 ——以上摘编自李玉铭《远洋航运与上海城市变迁》 (1)根据材料一并结合所学,指出近代中国远洋航运市场激烈竞争的历史背景。(6分) (2)根据材料二并结合所学,分析近代轮船航运业的兴起对中国产生的影响。(8分) 19.【离异与回归】(12 分) 著名学者章开沅用“离异与回归”高度概括了传统文化与近代化之间“剪不断、理还乱” 的相互依存、相互转换的辩证关系。他认为,传统文化与近代化之间的动态关系,是“从离 异开始,以回归终结;离异之中经常有回归,回归之中继续有离异”;一个民族的现代文化, 只能从本民族传统文化中“生长”出来,而不可能凭空产生。 请围绕“离异与回归”,自拟论题,运用所学知识加以论述。(要求:观点明确、史论 结合、表述成文) 2024年湖北云学部分重点高中联盟高三年级10月联考历史试卷 第 6 页 (共 6 页)