当前位置:首页>文档>数学答案_2024-2025高二(7-7月题库)_2024年12月试卷_1217江苏省徐州市铜山区2024-2025学年高二上学期11月期中考试_江苏省徐州市铜山区2024-2025学年高二上学期11月期中考试数学PDF版含答案

数学答案_2024-2025高二(7-7月题库)_2024年12月试卷_1217江苏省徐州市铜山区2024-2025学年高二上学期11月期中考试_江苏省徐州市铜山区2024-2025学年高二上学期11月期中考试数学PDF版含答案

  • 2026-03-30 13:09:53 2026-02-18 10:46:35

文档预览

数学答案_2024-2025高二(7-7月题库)_2024年12月试卷_1217江苏省徐州市铜山区2024-2025学年高二上学期11月期中考试_江苏省徐州市铜山区2024-2025学年高二上学期11月期中考试数学PDF版含答案
数学答案_2024-2025高二(7-7月题库)_2024年12月试卷_1217江苏省徐州市铜山区2024-2025学年高二上学期11月期中考试_江苏省徐州市铜山区2024-2025学年高二上学期11月期中考试数学PDF版含答案
数学答案_2024-2025高二(7-7月题库)_2024年12月试卷_1217江苏省徐州市铜山区2024-2025学年高二上学期11月期中考试_江苏省徐州市铜山区2024-2025学年高二上学期11月期中考试数学PDF版含答案
数学答案_2024-2025高二(7-7月题库)_2024年12月试卷_1217江苏省徐州市铜山区2024-2025学年高二上学期11月期中考试_江苏省徐州市铜山区2024-2025学年高二上学期11月期中考试数学PDF版含答案

文档信息

文档格式
pdf
文档大小
0.888 MB
文档页数
4 页
上传时间
2026-02-18 10:46:35

文档内容

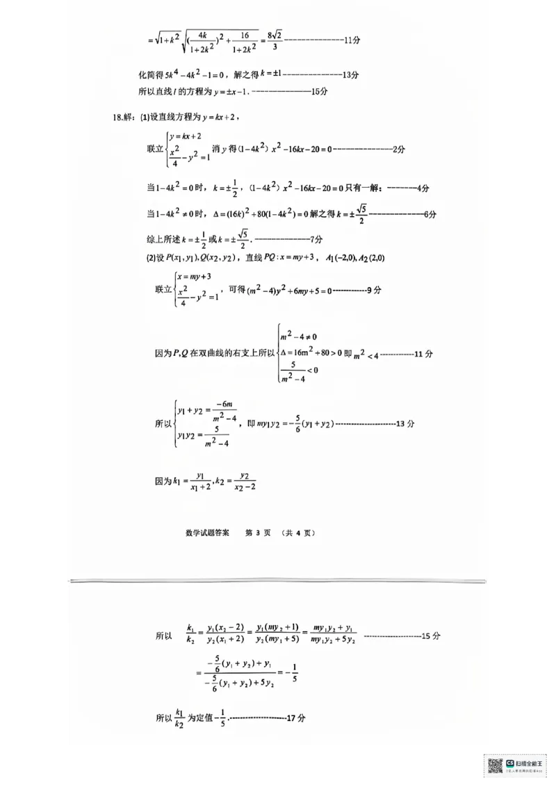
{#{QQABLY4QggAgAhBAAQhCUQUCCkOQkhCACYgOgAAEIAABiQFABAA=}#}{#{QQABLY4QggAgAhBAAQhCUQUCCkOQkhCACYgOgAAEIAABiQFABAA=}#}{#{QQABLY4QggAgAhBAAQhCUQUCCkOQkhCACYgOgAAEIAABiQFABAA=}#}{#{QQABLY4QggAgAhBAAQhCUQUCCkOQkhCACYgOgAAEIAABiQFABAA=}#}